Metabolism and Chemical Degradation of New Antidiabetic Drugs: A Review of Analytical Approaches for Analysis of Glutides and Gliflozins
Abstract
1. Introduction
2. Analytical Tools for Peptide Drugs Examination
3. Glutides (GLP-1 RAs)
3.1. Metabolic Transformations of Glutides (GLP-1 RAs) and the Methods Used to Examine Their Metabolic Pathways
3.2. Chemical Degradation of Glutides (GLP-1 RAs) and the Methods Used for Elucidate Their Degradation Pathways
4. Gliflozins (SGLT2 Inhibitors)
4.1. Metabolic Transformations of Gliflozins (SGLT2 Inhibitors) and the Methods Used to Examine Their Metabolic Pathways
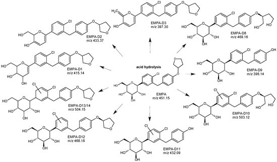
4.2. Chemical Degradation of Gliflozins (SGLT2 Inhibitors) and the Methods Used for Elucidate Their Degradation Pathways
5. Conclusions
Author Contributions
Funding
Institutional Review Board Statement
Informed Consent Statement
Data Availability Statement
Conflicts of Interest
References
- Silva dos Santos, D.; Polidoro, J.Z.; Borges-Júnior, F.A.; Girardi, A.C.C. Cardioprotection conferred by sodium-glucose cotransporter 2 inhibitors: A renal proximal tubule perspective. Am. J. Physiol. Cell Physiol. 2020, 318, C328–C336. [Google Scholar] [CrossRef]
- Scheen, A.J. Clinical pharmacology of antidiabetic drugs: What can be expected of their use? Presse Med. 2023, 52, 104158. [Google Scholar] [CrossRef] [PubMed]
- Williams, D.M.; Nawaz, A.; Evans, M. Sodium-glucose co-transporter 2 (SGLT2) inhibitors: Are they all the same? A narrative review of cardiovascular outcome trials. Diabetes Ther. 2021, 12, 55–70. [Google Scholar] [CrossRef]
- Goncalves, E.; Bell, D.S.H. Combination treatment of SGLT2 Inhibitors and GLP-1 receptor agonists: Symbiotic effects on metabolism and cardiorenal risk. Diabetes Ther. 2018, 9, 919–926. [Google Scholar] [CrossRef]
- Hsia, D.S.; Grove, O.; Cefalu, W.T. An update on sodium-glucose co-transporter-2 inhibitors for the treatment of diabetes mellitus. Curr. Opin. Endocrinol. Diabetes Obes. 2017, 24, 73–79. [Google Scholar] [CrossRef]
- Nnane, I.P.; Tao, X. Encyclopedia of Analytical Science (Second Edition). In Drug Metabolism, Metabolite Isolation and Identification; Elsevier Science Publishing Co. Inc.: Amsterdam, The Netherlands, 2005; pp. 305–311. [Google Scholar]
- Liu, X.; Jia, L. The conduct of drug metabolism studies considered good practice (I): Analytical systems and in vivo studies. Curr. Drug Metab. 2007, 8, 815–821. [Google Scholar] [CrossRef]
- Jia, L.; Liu, X. The conduct of drug metabolism studies considered good practice (II): In vitro experiments. Curr. Drug Metab. 2007, 8, 822–829. [Google Scholar] [CrossRef]
- Larsen, M. Using Stable isotopes to evaluate drug metabolism pathways. J. Pharm. Sci. Emerg. Drugs. 2023, 11, 1. [Google Scholar]
- Chokkathukalam, A.; Kim, D.-H.; Barrett, M.P.; Breitling, R.; Creek, D.J. Stable isotope-labeling studies in metabolomics: New insights into structure and dynamics of metabolic networks. Bioanalysis 2014, 6, 511–524. [Google Scholar] [CrossRef]
- Yao, M.; Chen, B.; Zhao, W.; Mehl, J.T.; Li, L.; Zhu, M. LC-MS differential analysis for fast and sensitive determination of biotransformation of therapeutic proteins. Drug Metab. Dispos. 2018, 46, 451–457. [Google Scholar] [CrossRef] [PubMed]
- Isin, E.M.; Elmore, C.S.; Nilsson, G.N.; Thompson, R.A.; Weidolf, L. Use of radiolabeled compounds in drug metabolism and pharmacokinetic studies. Chem. Res. Toxicol. 2012, 25, 532–542. [Google Scholar] [CrossRef]
- Li, F.; Gonzalez, F.J.; Xiaochao, M. LC-MS-based metabolomics sin profiling of drug metabolism and bioactivation. Acta Pharm. Sin. B 2012, 2, 118–125. [Google Scholar] [CrossRef]
- Rakusanova, S.; Cajka, T. Current analytical methods to monitor type 2 diabetes medication in biological samples. TrAC Trends Anal. Chem. 2023, 158, 116831. [Google Scholar] [CrossRef]
- Neagu, A.-N.; Jayathirtha, M.; Baxter, E.; Donnelly, M.; Petre, B.A.; Darie, C.C. Applications of tandem mass spectrometry (MS/MS) in protein analysis for biomedical research. Molecules 2022, 27, 2411. [Google Scholar] [CrossRef] [PubMed]
- Carr, D. A Guide to the Analysis and Purification of Proteins and Peptides by Reversed-Phase HPLC. 2015. Available online: www.ace-hplc.com (accessed on 20 March 2023).
- ICH Topic Q1A(R2). Stability Testing of New Drug Substances and Products. Available online: https://www.ema.europa.eu/en/documents/scientific-guideline/ich-q-1-r2-stability-testing-new-drug-substances-products-step-5_en.pdf (accessed on 10 March 2023).
- Zeng, K.; Geerlof-Vidavisky, I.; Gucinski, A.; Jiang, X.; Boyne, M.T. Liquid chromatography-high resolution mass spectrometry for peptide drug quality control. AAPS J. 2015, 17, 643–651. [Google Scholar] [CrossRef] [PubMed]
- Patel, S.; Vyas, V.K.; Mehta, P.J. A Review on Forced Degradation Strategies to Establish the Stability of Therapeutic Peptide Formulations. Int. J. Pept. Res. Ther. 2023, 29, 22. [Google Scholar] [CrossRef]
- Sfairopoulos, D.; Liatis, S.; Tigas, S.; Liberopoulos, E. Clinical pharmacology of glucagon-like peptide-1 receptor agonists. Hormones 2018, 17, 333–350. [Google Scholar] [CrossRef] [PubMed]
- Seino, Y.; Fukushima, M.; Yabe, D. GIP and GLP-1, the two incretin hormones: Similarities and differences. J. Diabetes Investig. 2010, 1, 8–23. [Google Scholar] [CrossRef]
- Liu, B.; Dong, Q.; Wang, M.; Shi, L.; Wu, Y.; Yu, X.; Shi, Y.; Shan, Y.; Jiang, C.; Zhang, X.; et al. Preparation, characterization, and pharmacodynamics of exenatide-loaded poly(DL-lactic-co-glycolic acid) microspheres. Chem. Pharm. Bull. 2010, 58, 1474–1479. [Google Scholar] [CrossRef]
- Nadkarni, P.; Chepurny, O.G.; Holz, G.G. Regulation of glucose homeostasis by GLP-1. Prog. Mol. Biol. Transl. Sci. 2014, 121, 23–65. [Google Scholar]
- Jimenez-Solem, E.; Rasmussen, M.H.; Christensen, M.; Knop, F.K. Dulaglutide, a long-acting GLP-1 analog fused with an Fc antibody fragment for the potential treatment of type 2 Diabetes. Curr. Opin. Mol. Ther. 2010, 12, 790–797. [Google Scholar] [PubMed]
- Knudsen, L.B.; Lau, J. The discovery and development of liraglutide and semaglutide. Front. Endocrinol. 2019, 10, 155. [Google Scholar] [CrossRef] [PubMed]
- Esposito, S.; de Leonibus, M.L.; Ingenito, R.; Bianchi, E.; Orsatti, L.; Monteagudo, E. A liquid chromatography high-resolution mass spectrometry in vitro assay to assess metabolism at the injection site of subcutaneously administered therapeutic peptides. J. Pharm. Biomed. Anal. 2018, 159, 449–458. [Google Scholar] [CrossRef]
- Jensen, L.; Helleberg, H.; Roffel, A.; van Lier, J.J.; Bjørnsdottir, I.; Pedersen, P.J.; Rowe, E.; Derving Karsbøl, J.; Pedersen, M.L. Absorption, metabolism and excretion of the GLP-1 analogue semaglutide in humans and nonclinical species. Eur. J. Pharm. Sci. 2017, 104, 31–41. [Google Scholar] [CrossRef]
- Zhang, W.; Li, X.; Ding, H.; Lu, Y.; Stilwell, G.E.; Halvorsen, Y.D.; Welihinda, A. Metabolism and disposition of the SGLT2 inhibitor bexagliflozin in rats, monkeys and humans. Xenobiotica 2020, 50, 559–569. [Google Scholar] [CrossRef]
- Dong, S.-T.; Niu, H.-M.; Wu, Y.; Jiang, J.-L.; Li, Y.; Jiang, K.-Y.; Wang, X.; Zhang, M.-F.; Han, M.-F.; Meng, S.-N. Plasma pharmacokinetic determination of canagliflozin and its metabolites in a type 2 diabetic rat model by UPLC-MS/MS. Molecules 2018, 23, 1229. [Google Scholar] [CrossRef]
- Baira, S.M.; Kalariya, P.D.; Nimbalkar, R.; Garg, P.; Srinivas, R.; Talluri, M.V.N.K. Characterization of forced degradation products of canagliflozine by liquid chromatography/quadrupole time-of-flight tandem mass spectrometry and in silico toxicity predictions. Rapid Commun. Mass Spectrom. 2018, 32, 212–220. [Google Scholar] [CrossRef]
- Karumanchi, K.; Natarajan, S.K.; Chavakula, R.; Korupolu, R.B.; Bonige, K.B.; Peruri, B.G. Synthesis of metabolites of dapagliflozin: An SGLT2 inhibitor. J. Chem. Sci. 2020, 132, 42. [Google Scholar] [CrossRef]
- Manoel, J.W.; Primieri, G.B.; Bueno, L.M.; Giordani, C.F.A.; Sorrentino, J.M.; Dallegrave, A.; Paim, C.S.; Schapoval, E.E.S.; Garcia, C.V.; Steppe, M. Determination of empagliflozin in the presence of its organic impurities and identification of two degradation products using UHPLC-QTOF/MS. Microchem. J. 2021, 161, 105795. [Google Scholar] [CrossRef]
- Niguram, P.; Kate, A.S. Structural characterization of forced degradation products of empagliflozin by high resolution mass spectrometry. J. Liq. Chromatogr. Relat. Technol. 2019, 42, 417–428. [Google Scholar] [CrossRef]
- Elhassan, M.M.; Mahmoud, A.M.; Hegazy, M.A.; Mowaka, S. Kinetic Degradation Study of ipragliflozin coupled with MS/MS structural elucidation. Chromatographia 2022, 85, 233–245. [Google Scholar] [CrossRef]
- Benet, A.; Halseth, T.; Kang, J.; Kim, A.; Ackermann, R.; Srinivasan, S.; Schwendeman, S.; Schwendeman, A. The effects of pH and excipients on exenatide stability in solution. Pharmaceutics 2021, 13, 1263. [Google Scholar] [CrossRef] [PubMed]
- Manasa, M.; Vijey Aanandhi, M. Stability indicating assay method (siam) for determination of semaglutide by HPLC using qbd approach. Int. J. Res. Pharm. Sci. 2021, 12, 1367–1374. [Google Scholar] [CrossRef]
- Zhang, B.; Xu, W.; Yin, C.; Tang, Y. Characterization of low-level D-amino acid isomeric impurities of semaglutide using liquid chromatography-high resolution tandem mass spectrometry. J. Pharm. Biomed. Anal. 2023, 224, 115164. [Google Scholar] [CrossRef] [PubMed]
- Francke, S.; Mamidi, R.N.V.S.; Solanki, B.; Scheers, E.; Jadwin, A.; Favis, R.; Devineni, D. In vitro metabolism of canagliflozin in human liver, kidney, intestine microsomes, and recombinant uridine diphosphate glucuronosyltransferases (UGT) and the effect of genetic variability of UGT enzymes on the pharmacokinetics of canagliflozin in humans. J. Clin. Pharmacol. 2015, 55, 1061–1072. [Google Scholar] [CrossRef]
- Algeelani, S.; Alkhelb, D.; Greenblatt, D.J. Inhibitory effects of sulfonylureas and non-steroidal anti-inflammatory drugs on in vitro metabolism of canagliflozin in human liver microsomes. Biopharm. Drug Dispos. 2018, 39, 135–142. [Google Scholar] [CrossRef]
- De Jesus, J.B.; Da Conceição, R.A.; Machado, T.R.; Barbosa, M.L.C.; Domingos, T.F.S.; Cabral, L.M.; Rodrigues, C.R.; Abrahim-Vieira, B.; De Souza, A.M.T. Toxicological assessment of SGLT2 inhibitors metabolites using in silico approach. An. Acad. Bras. Cienc. 2022, 94, e20211287. [Google Scholar] [CrossRef]
- Lapham, K.; Callegari, E.; Cianfrogna, J.; Lin, J.; Niosi, M.; Orozco, C.C.; Sharma, R.; Goosen, T.C. In vitro characterization of ertugliflozin metabolism by UDP-glucuronosyltransferase and cytochrome P450 enzymes. Drug Metab. Dispos. 2020, 48, 1350–1363. [Google Scholar] [CrossRef]
- Miyata, A.; Hasegawa, M.; Hachiuma, K.; Mori, H.; Horiuchi, N.; Mizuno-Yasuhira, A.; Chino, Y.; Jingu, S.; Sakai, S.; Samukawa, Y.; et al. Metabolite profiling and enzyme reaction phenotyping of luseogliflozin, a sodium-glucose cotransporter 2 inhibitor, in humans. Xenobiotica 2017, 47, 332–345. [Google Scholar] [CrossRef]
- Samukawa, Y.; Haneda, M.; Seino, Y.; Sasaki, T.; Fukatsu, A.; Kubo, Y.; Sato, Y.; Sakai, S. Pharmacokinetics and pharmacodynamics of luseogliflozin, a selective SGLT2 Inhibitor, in Japanese patients with Type 2 Diabetes with mild to severe renal impairment. Clin. Pharmacol. Drug Dev. 2018, 7, 820–828. [Google Scholar] [CrossRef]
- Zell, M.; Husser, C.; Kuhlmann, O.; Schwab, D.; Uchimura, T.; Kemei, T.; Kawashima, K.; Yamane, M.; Pähler, A. Metabolism and mass balance of SGLT2 inhibitor tofogliflozin following oral administration to humans. Xenobiotica 2014, 44, 369–378. [Google Scholar] [CrossRef]
- Schwab, D.; Portron, A.; Backholer, Z.; Lausecker, B.; Kawashima, K.A. Novel double-tracer technique to characterize absorption, distribution, metabolism and excretion (ADME) of [14C]Tofogliflozin after oral administration and concomitant intravenous microdose administration of [13C]tofogliflozin in humans. Clin. Pharmacokinet. 2013, 52, 463–473. [Google Scholar] [CrossRef] [PubMed]
- Emam, A.A.; Abdelwahab, N.S. Stability-indicating chromatographic and chemometric methods for environmentally benign determination of canagliflozin and its major degradation product; a comparative study and greenness assessment. Biomed. Chromatogr. 2019, 33, e4612. [Google Scholar] [CrossRef] [PubMed]
- Devrukhakar, P.S.; Shankar, M.S. Degradation pathway proposal, structure elucidation, and in silico toxicity prediction of dapagliflozin propane diol hydrolytic degradation products. Chromatographia 2020, 83, 1233–1245. [Google Scholar] [CrossRef]
- Zaghary, W.A.; Mowaka, S.; Hendy, M.S. Kinetic degradation study of dapagliflozin coupled with UHPLC separation in the presence of major degradation product and metformin. Chromatographia 2019, 82, 777–789. [Google Scholar] [CrossRef]
- Vichare, V.; Choudhari, V.; Tambe, V.; Dhole, S. Inherent stability testing of empagliflozin in the presence of metformin HCl by HPTLC and characterization of degradation products of empagliflozin by LC-ESI-QTOF-MS/MS. JPC-J. Planar Chromatogr. 2022, 35, 61–71. [Google Scholar] [CrossRef]















| Compound | Conditions | Ref. |
|---|---|---|
| EXE LIRA LIXI SEMA | Waters XSelect CSH C18 XP column (2.1 × 50 mm, 2.5 µm) or Waters UPLC Peptide CSH C18 column (2.1 mm × 50 mm, 1.7 µm) and gradient elution with (A) 0.1% HCOOH in H2O and (B) 0.1% HCOOH in ACN, 0.4 mL/min; column temperature 60 °C. Orbitrap mass spectrometer operating in ESI positive full scan/data-dependent MS/MS. | [26] |
| EXE | LC-PDA: C4-Pack column and gradient elution with mobile phases consisted of ACN with 0.1% TFA and H2O with 0.1% TFA, 1.0 mL/min. LC-MS-Q-TOF: C4-Pack column and gradient elution using a mobile phase of ACN with 0.05% TFA and H2O with 0.05% TFA, 0.3 mL/min. Positive ESI: capillary voltage 1.2–2.0 kV, a drying gas temperature of 325 °C, a drying gas flow rate of 12 L/min, a nebulizer pressure of 45 psi and a fragmentor voltage of 225 V. | [27] |
| EXE | UPLC: Waters BEH C18 column (2.1 × 100 mm, 1.7 μm) and gradient elution with 0.1% HCOOH in H2O and 0.1% HCOOH in ACN, 0.3 mL/min; column temperature 30 °C, autosampler temperature 4 °C. Positive ESI: source gas temperature 350 °C, Vcap at 4000 V, fragmentor voltage at 210 V, skimmer 1 at 80.0 V, and octopole RF peak at 750 V. | [18] |
| BEXA | Triple quadrupole-APCI: Capcell Pak C18 MG column from Osaka Soda (Osaka, Japan) (4.6 × 100 mm, 5 µm) and isocratic elution with ACN: MeOH:H2O:10 mM ammonium acetate; 0.7 mL/min, MRM mode, collision energy 19, 22 or 37 eV. LC-MS/MS with turbo ion spray (ESI): Waters Nova-Pack VR C18 column (3.9 × 150 mm, 4 µm) and gradient elution with (A) 0.1% HCOOH in 0.5 mM ammonium acetate under positive and 5 mM ammonium acetate under negative mode, and (B) 0.1% HCOOH in mixture of ACN/MeOH (50/50), 0.8 mL/min. The ESI conditions: 4500 or 5500 V spray voltage, source temperature 550 °C, sheath gas N2, gas flow 60 psi; MRM mode; collision energy 37, 38, 45 or 47 eV. UPLC-Q-TOF: Waters ACQUITY HSS T3 C18 column (2.1 × 100 mm, 1.7 µm) and gradient elution with (A) 10 mM ammonium acetate and (B) ACN with 0.05% HCOOH, 0.5 mL/min; column temperature 40 °C; positive or negative ESI: source temperature 120 °C, the desolvation gas temperature 400 °C, the capillary voltage 3.0 kV and the cone voltage 20 V; desolvation gas N2 and the collision gas Ar. | [28] |
| CANA | UPLC-TOF-MS/MS: Waters XBridge BEH C18 column (2.1 × 100 mm, 2.5 µm) using 0.1% ACN-HCOOH (75:15, v/v), 0.7 mL/min; positive ESI: ion spray voltage, 5500 V; turbo spray temperature, 550 °C; declustering potential, 100 V; collision energy, 35 eV; N2 as the nebulizer and the auxiliary gas, and the nebulizer gas (gas 1), the heater gas (gas 2), and the curtain gas 55, 55, and 35 psi; collision energy, 35 eV; collision energy scope, 15 eV. | [29] |
| CANA | LC-PDA: Waters Acquity CSH C18 column (2.1 × 100 mm, 1.7 μm) with gradient elution using ACN-MeOH (70:30, v/v) and HCOOH; UV 291 nm. LC/ESI-Q-TOF-MS/MS: positive ESI with capillary voltage, 4000 V; fragmentor voltage, 150V; skimmer, 65 V; collision energy, 15–30 eV; drying gas, 320 °C, 10 L/min; nebulizing gas, 35 psi; N2 as drying gas, nebulizing gas and collision gas. | [30] |
| DAPA | LC-PDA: Zorbax Eclipse C8 column from Agilent Technologies (Santa Clara, CA, USA) (4.6 × 150 mm, 5 μm) and gradient elution with (A) 10 mM ammonium formate of pH 4 and (B) ACN, 1.0 mL/min; column temperature 30 °C and autosampler temperature 25 °C, UV 237 nm. Q-TOF MS: fragmentor voltage, 170 V; 3500 V; skimmer, 60 V; the drying gas at 350 °C, 10 L/min; N2 nebulizing gas 45 psi; MSn studies: capillary voltage, 15–20 V; capillary temperature, 200 °C; spray voltage, 5 kV; tube lens offset voltage, 20 V; sheath gas N2, 30 psi pressure, and damping gas He; the 20–35 eV collision energies with 30 ms excitation time for CID. | [31] |
| EMPA | UHPLC-Q-TOF-MS: Zorbax Eclipse Plus C18 column from Agilent Technologies (2.1 × 50 mm, 1.8 µm) and mobile phase consisted of ACN and H2O Q-TOF-MS: positive ESI with capillary voltage, 4000 V; end plate offset, 500 V; nebulizer pressure, 4 bar (N2); drying gas, 8 L/min (N2); and drying temperature, 200 °C. | [32] |
| EMPA | LC-UV: Kromasil 100 C18 column from Merck kGaA (Darmstadt, Germany) (4.6 × 250 mm, 5 µm) and isocratic elution with 10 mM ammonium acetate buffer in H2O:ACN (63:37, % v/v), 1 mL/min; UV 226 nm. UHPLC-MS: Eclipse plus C18 RRHD column from Agilent Technologies (2.1 × 50 mm, 1.8 µm) and a mobile phase comprising of H2O with 0.1% HCOOH and MeOH. LC-MS/MS: positive ESI mode with fragmentor voltage, 160 V; collision energy, 30 eV; capillary voltage, 3000 V; skimmer at 65 V; drying gas temperature (350 °C; 10 L/min); nebulizing gas (35 psi); temperature of sheath gas and flow (300 °C; 11 L/min); N2 as a drying gas. | [33] |
| IPRA | UPLC-UV: Hypersil Gold UPLC C18 column from Thermo Fisher Scientific (Waltham, MA, USA) (3 × 50 mm, 1.9 μm) and isocratic elution with 25 mM potassium phosphate of pH 3, adjusted using H3PO4 and ACN (50:50, v/v), 0.6 mL/min; UV 230 nm. Triple quadrupole-MS/MS: positive ion mode; capillary voltage 3 kV and the sampling cone voltage 20 V; the source temperature 120 °C, the desolvation temperature 400 °C, desolvation gas flow rate 600 L/h. | [34] |
Disclaimer/Publisher’s Note: The statements, opinions and data contained in all publications are solely those of the individual author(s) and contributor(s) and not of MDPI and/or the editor(s). MDPI and/or the editor(s) disclaim responsibility for any injury to people or property resulting from any ideas, methods, instructions or products referred to in the content. |
© 2023 by the authors. Licensee MDPI, Basel, Switzerland. This article is an open access article distributed under the terms and conditions of the Creative Commons Attribution (CC BY) license (https://creativecommons.org/licenses/by/4.0/).
Share and Cite
Gumieniczek, A.; Berecka-Rycerz, A. Metabolism and Chemical Degradation of New Antidiabetic Drugs: A Review of Analytical Approaches for Analysis of Glutides and Gliflozins. Biomedicines 2023, 11, 2127. https://doi.org/10.3390/biomedicines11082127
Gumieniczek A, Berecka-Rycerz A. Metabolism and Chemical Degradation of New Antidiabetic Drugs: A Review of Analytical Approaches for Analysis of Glutides and Gliflozins. Biomedicines. 2023; 11(8):2127. https://doi.org/10.3390/biomedicines11082127
Chicago/Turabian StyleGumieniczek, Anna, and Anna Berecka-Rycerz. 2023. "Metabolism and Chemical Degradation of New Antidiabetic Drugs: A Review of Analytical Approaches for Analysis of Glutides and Gliflozins" Biomedicines 11, no. 8: 2127. https://doi.org/10.3390/biomedicines11082127
APA StyleGumieniczek, A., & Berecka-Rycerz, A. (2023). Metabolism and Chemical Degradation of New Antidiabetic Drugs: A Review of Analytical Approaches for Analysis of Glutides and Gliflozins. Biomedicines, 11(8), 2127. https://doi.org/10.3390/biomedicines11082127

