Immunological and Structural Characterization of Titin Main Immunogenic Region; I110 Domain Is the Target of Titin Antibodies in Myasthenia Gravis
Abstract
1. Introduction
2. Materials and Methods
2.1. Sera, Population Sample and Clinical Features of Patients
2.2. Recombinant Production οf Titin Protein Fragments
2.3. Synthetic Peptides
2.4. ELISA and Antibody Competition Assay
2.5. Detection of Antibody Binding to I110 Fragment by Western Blotting
2.6. Crystallization
2.7. Crystallographic Structural Elucidation
3. Results
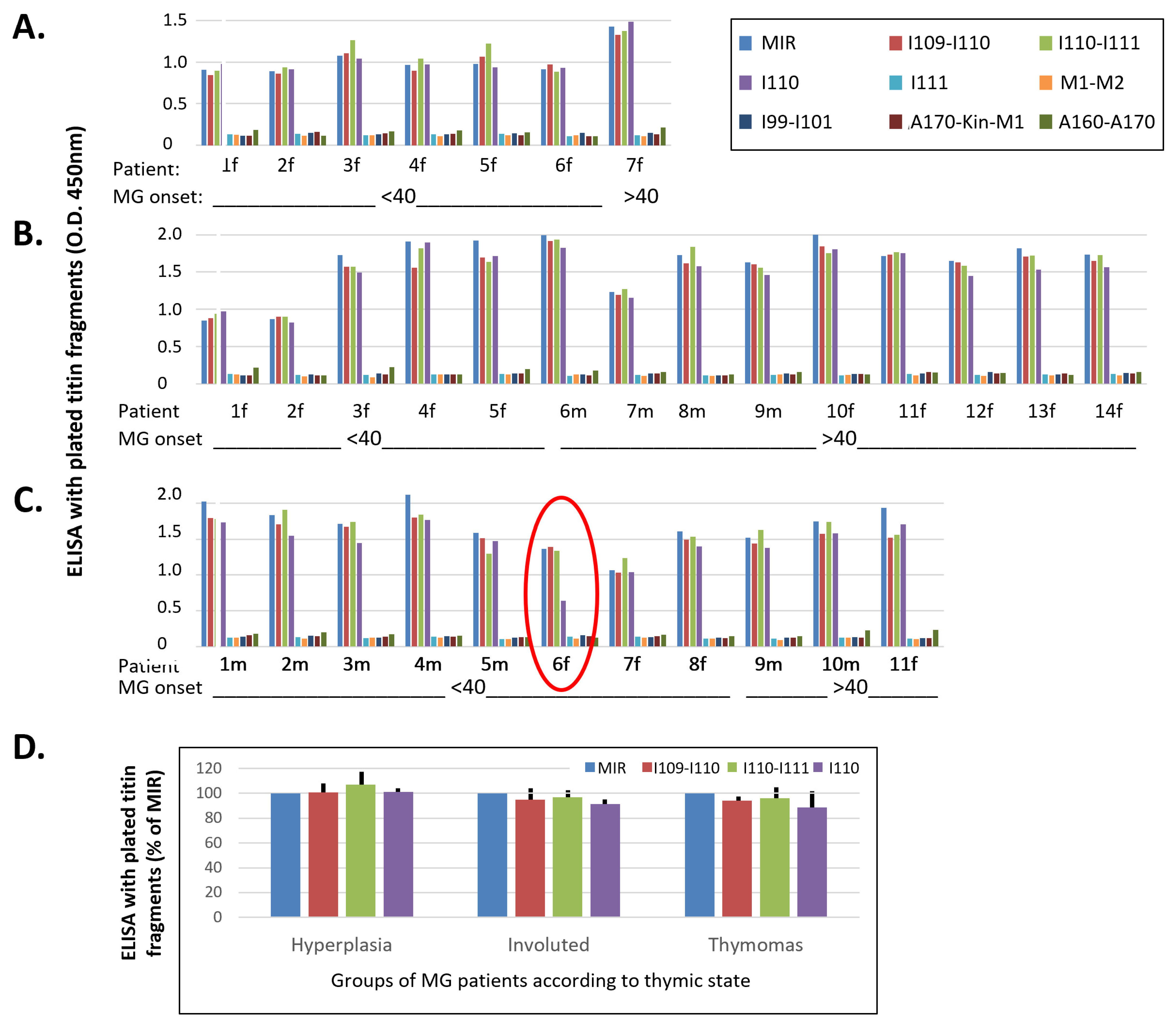
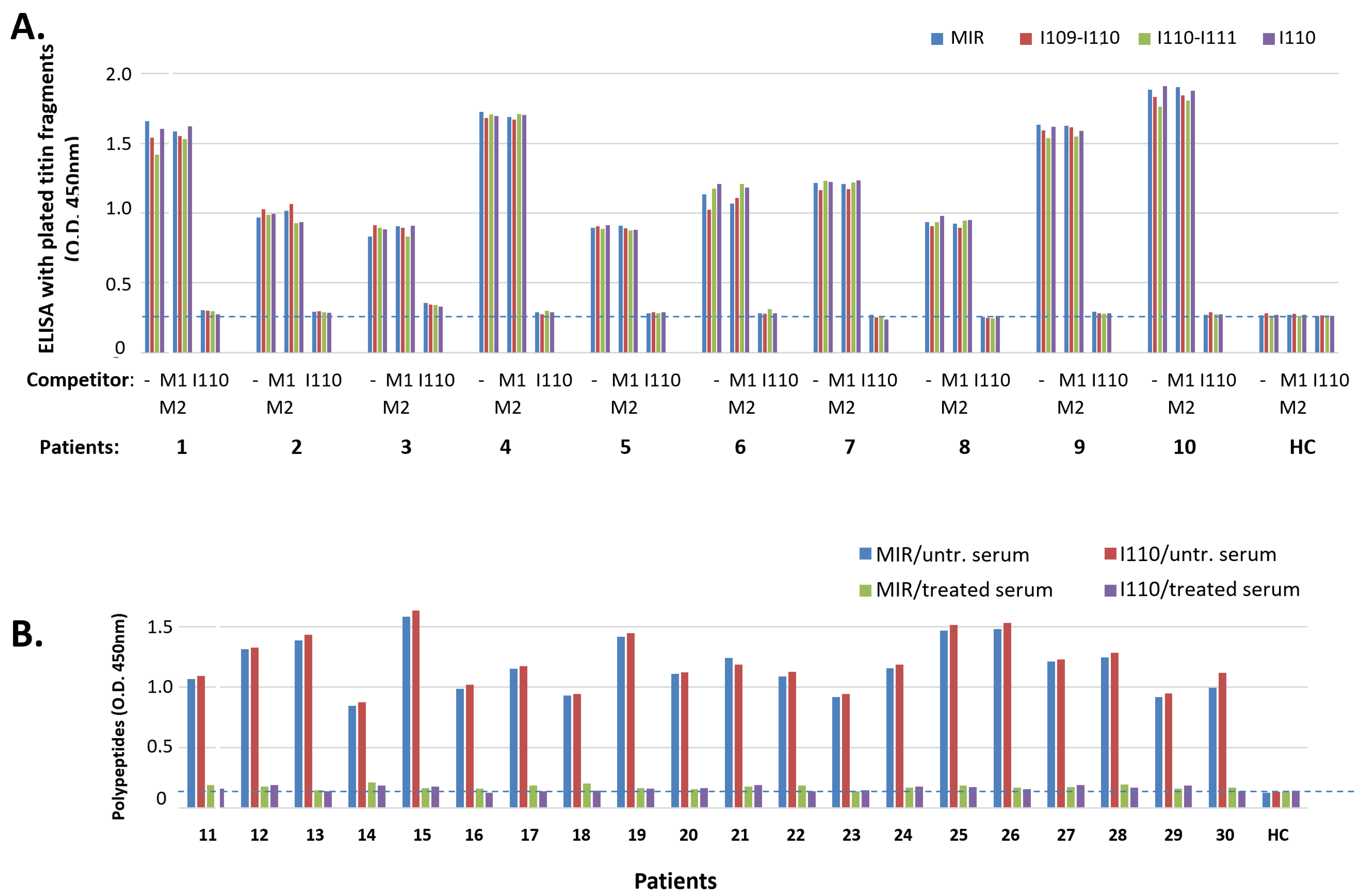
3.1. Patient Sera Showed Binding Exclusively against I110-Containing MIR Protein Fragments
3.2. Titin FnIII Domain I110 May Contain the Binding Epitope(s) for All/Most Anti-Titin Antibodies in MG Patients’ Sera
3.3. Correlation of Antigenic Epitopes with MG Clinical Characteristics
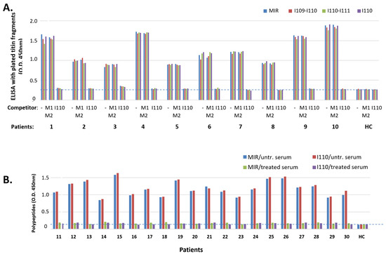
3.4. Titin Antibodies of Sera from Non-MG Patients Also Seem to Bind Exclusively to the I110 MIR Domain
3.5. Antibodies Can Bind to the SDS-Denatured I110 Domain
3.6. The Use of Synthetic Peptides from the I110 Domain Could Not Identify the Exact Antibody Epitope(s)
3.7. Crystal Structure of Titin MIR and Its Subcomponents
4. Discussion
Author Contributions
Funding
Institutional Review Board Statement
Informed Consent Statement
Data Availability Statement
Acknowledgments
Conflicts of Interest
References
- Gilhus, N.E.; Tzartos, S.; Evoli, A.; Palace, J.; Burns, T.M.; Verschuuren, J.J.G.M. Myasthenia gravis. Nat. Rev. Dis. Prim. 2019, 5, 30. [Google Scholar] [CrossRef] [PubMed]
- Hehir, M.K.; Silvestri, N.J. Generalized Myasthenia Gravis: Classification, Clinical Presentation, Natural History, and Epidemiology. Neurol. Clin. 2018, 36, 253–260. [Google Scholar] [CrossRef] [PubMed]
- Phillips, W.D.; Vincent, A. Pathogenesis of myasthenia gravis: Update on disease types, models, and mechanisms. F1000Research 2016, 5, (F1000 Faculty Rev):1513. [Google Scholar] [CrossRef]
- Vrolix, K.; Fraussen, J.; Molenaar, P.C.; Losen, M.; Somers, V.; Stinissen, P.; De Baets, M.H.; Martínez-Martínez, P. The auto-antigen repertoire in myasthenia gravis. Autoimmunity 2010, 43, 380–400. [Google Scholar] [CrossRef] [PubMed]
- Lazaridis, K.; Tzartos, S.J. Autoantibody Specificities in Myasthenia Gravis; Implications for Improved Diagnostics and Therapeutics. Front. Immunol. 2020, 11, 212. [Google Scholar] [CrossRef] [PubMed]
- Hoch, W.; McConville, J.; Helms, S.; Newsom-Davis, J.; Melms, A.; Vincent, A. Auto-antibodies to the receptor tyrosine kinase MuSK in patients with myasthenia gravis without acetylcholine receptor antibodies. Nat. Med. 2001, 7, 365–368. [Google Scholar] [CrossRef] [PubMed]
- Skriapa, L.; Zisimopoulou, P.; Trakas, N.; Grapsa, E.; Tzartos, S.J. Expression of extracellular domains of muscle specific kinase (MuSK) and use as immunoadsorbents for the development of an antigen-specific therapy. J. Neuroimmunol. 2014, 276, 150–158. [Google Scholar] [CrossRef]
- Zhang, B.; Tzartos, J.S.; Belimezi, M.; Ragheb, S.; Bealmear, B.; Lewis, R.A.; Xiong, W.C.; Lisak, R.P.; Tzartos, S.J.; Mei, L. Autoantibodies to lipoprotein-related protein 4 in patients with double-seronegative myasthenia gravis. Arch. Neurol. 2012, 69, 445–451. [Google Scholar] [CrossRef]
- Zisimopoulou, P.; Evangelakou, P.; Tzartos, J.; Lazaridis, K.; Zouvelou, V.; Mantegazza, R.; Antozzi, C.; Andreetta, F.; Evoli, A.; Deymeer, F.; et al. A comprehensive analysis of the epidemiology and clinical characteristics of anti-LRP4 in myasthenia gravis. J. Autoimmun. 2014, 52, 139–145. [Google Scholar] [CrossRef]
- Chen, Y.; Tao, X.; Wang, Y.; Xu, S.; Yang, Y.; Han, J.; Qiu, F. Clinical Characteristics and Prognosis of Anti-AChR Positive Myasthenia Gravis Combined With Anti-LRP4 or Anti-Titin Antibody. Front. Neurol. 2022, 13, 873599. [Google Scholar] [CrossRef]
- Skeie, G.O.; Aarli, J.A.; Gilhus, N.E. Titin and ryanodine receptor antibodies in myasthenia gravis. Acta Neurol. Scand. Suppl. 2006, 183, 19–23. [Google Scholar] [CrossRef] [PubMed]
- Stergiou, C.; Lazaridis, K.; Zouvelou, V.; Tzartos, J.; Mantegazza, R.; Antozzi, C.; Andreetta, F.; Evoli, A.; Deymeer, F.; Saruhan-Direskeneli, G.; et al. Titin antibodies in “seronegative” myasthenia gravis—A new role for an old antigen. J. Neuroimmunol. 2016, 292, 108–115. [Google Scholar] [CrossRef] [PubMed]
- Hong, Y.; Zisimopoulou, P.; Trakas, N.; Karagiorgou, K.; Stergiou, C.; Skeie, G.O.; Hao, H.J.; Gao, X.; Owe, J.F.; Zhang, X.; et al. Multiple antibody detection in ‘seronegative’ myasthenia gravis patients. Eur. J. Neurol. 2017, 24, 844–850. [Google Scholar] [CrossRef] [PubMed]
- Gallardo, E.; Martínez-Hernández, E.; Titulaer, M.J.; Huijbers, M.G.; Martínez, M.A.; Ramos, A.; Querol, L.; Díaz-Manera, J.; Rojas-García, R.; Hayworth, C.R.; et al. Cortactin autoantibodies in myasthenia gravis. Autoimmun. Rev. 2014, 13, 1003–1007. [Google Scholar] [CrossRef] [PubMed]
- Romi, F.; Skeie, G.O.; Gilhus, N.E.; Aarli, J.A. Striational antibodies in myasthenia gravis: Reactivity and possible clinical significance. Arch. Neurol. 2005, 62, 442–446. [Google Scholar] [CrossRef] [PubMed]
- Gilhus, N.E.; Nacu, A.; Andersen, J.B.; Owe, J.F. Myasthenia gravis and risks for comorbidity. Eur. J. Neurol. 2015, 22, 17–23. [Google Scholar] [CrossRef] [PubMed]
- Bang, M.L.; Centner, T.; Fornoff, F.; Geach, A.J.; Gotthardt, M.; McNabb, M.; Witt, C.C.; Labeit, D.; Gregorio, C.C.; Granzier, H.; et al. The complete gene sequence of titin, expression of an unusual approximately 700-kDa titin isoform, and its interaction with obscurin identify a novel Z-line to I-band linking system. Circ. Res. 2001, 89, 1065–1072. [Google Scholar] [CrossRef]
- Tonino, P.; Kiss, B.; Strom, J.; Methawasin, M.; Smith, J.E.; Kolb, J.; Labeit, S.; Granzier, H. The giant protein titin regulates the length of the striated muscle thick filament. Nat. Commun. 2017, 8, 1041. [Google Scholar] [CrossRef]
- Brynnel, A.; Hernandez, Y.; Kiss, B.; Lindqvist, J.; Adler, M.; Kolb, J.; van der Pijl, R.; Gohlke, J.; Strom, J.; Smith, J.; et al. Downsizing the molecular spring of the giant protein titin reveals that skeletal muscle titin determines passive stiffness and drives longitudinal hypertrophy. Elife 2018, 7, e40532. [Google Scholar] [CrossRef]
- Tskhovrebova, L.; Trinick, J. Properties of titin immunoglobulin and fibronectin-3 domains. J. Biol. Chem. 2004, 279, 46351–46354. [Google Scholar] [CrossRef]
- Zacharchenko, T.; von Castelmur, E.; Rigden, D.J.; Mayans, O. Structural advances on titin: Towards an atomic understanding of multi-domain functions in myofilament mechanics and scaffolding. Biochem. Soc. Trans. 2015, 43, 850–855. [Google Scholar] [CrossRef] [PubMed]
- Amodeo, P.; Fraternali, F.; Lesk, A.M.; Pastore, A. Modularity and homology: Modelling of the titin type I modules and their interfaces. J. Mol. Biol. 2001, 311, 283–296. [Google Scholar] [CrossRef] [PubMed]
- Marino, M.; Svergun, D.I.; Kreplak, L.; Konarev, P.V.; Maco, B.; Labeit, D.; Mayans, O. Poly-Ig tandems from I-band titin share extended domain arrangements irrespective of the distinct features of their modular constituents. J. Muscle Res. Cell Motil. 2005, 26, 355–365. [Google Scholar] [CrossRef] [PubMed]
- Bucher, R.M.; Svergun, D.I.; Muhle-Goll, C.; Mayans, O. The structure of the FnIII Tandem A77-A78 points to a periodically conserved architecture in the myosin-binding region of titin. J. Mol. Biol. 2010, 401, 843–853. [Google Scholar] [CrossRef] [PubMed]
- Gautel, M.; Lakey, A.; Barlow, D.P.; Holmes, Z.; Scales, S.; Leonard, K.; Labeit, S.; Mygland, A.; Gilhus, N.E.; Aarli, J.A. Titin antibodies in myasthenia gravis: Identification of a major immunogenic region of titin. Neurology 1993, 43, 1581–1585. [Google Scholar] [CrossRef]
- Yamamoto, A.M.; Gajdos, P.; Eymard, B.; Tranchant, C.; Warter, J.M.; Gomez, L.; Bourquin, C.; Bach, J.F.; Garchon, H.J. Anti-titin antibodies in myasthenia gravis: Tight association with thymoma and heterogeneity of nonthymoma patients. Arch. Neurol. 2001, 58, 885–890. [Google Scholar] [CrossRef]
- Voltz, R.D.; Albrich, W.C.; Nägele, A.; Schumm, F.; Wick, M.; Freiburg, A.; Gautel, M.; Thaler, H.T.; Aarli, J.; Kirchner, T.; et al. Paraneoplastic myasthenia gravis: Detection of anti-MGT30 (titin) antibodies predicts thymic epithelial tumor. Neurology 1997, 49, 1454–1457. [Google Scholar] [CrossRef]
- Buckley, C.; Newsom-Davis, J.; Willcox, N.; Vincent, A. Do titin and cytokine antibodies in MG patients predict thymoma or thymoma recurrence? Neurology 2001, 57, 1579–1582. [Google Scholar] [CrossRef]
- Cavalcante, P.; Cufi, P.; Mantegazza, R.; Berrih-Aknin, S.; Bernasconi, P.; Le Panse, R. Etiology of myasthenia gravis: Innate immunity signature in pathological thymus. Autoimmun. Rev. 2013, 12, 863–874. [Google Scholar] [CrossRef]
- Mao, Z.F.; Mo, X.A.; Qin, C.; Lai, Y.R.; Hackett, M.L. Incidence of thymoma in myasthenia gravis: A systematic review. J. Clin. Neurol. 2012, 8, 161–169. [Google Scholar] [CrossRef]
- Maggi, L.; Andreetta, F.; Antozzi, C.; Baggi, F.; Bernasconi, P.; Cavalcante, P.; Cornelio, F.; Muscolino, G.; Novellino, L.; Mantegazza, R. Thymoma-associated myasthenia gravis: Outcome, clinical and pathological correlations in 197 patients on a 20-year experience. J. Neuroimmunol. 2008, 201–202, 237–244. [Google Scholar] [CrossRef] [PubMed]
- Aarli, J.A. Myasthenia gravis in the elderly: Is it different? Ann. N. Y. Acad. Sci. 2008, 1132, 238–243. [Google Scholar] [CrossRef]
- Szczudlik, P.; Szyluk, B.; Lipowska, M.; Ryniewicz, B.; Kubiszewska, J.; Dutkiewicz, M.; Gilhus, N.E.; Kostera-Pruszczyk, A. Antititin antibody in early- and late-onset myasthenia gravis. Acta Neurol. Scand. 2014, 130, 229–233. [Google Scholar] [CrossRef]
- Murakami, M.; Kaneko, T.; Nakatsuji, T.; Kameda, K.; Okazaki, H.; Dai, X.; Hanakawa, Y.; Tohyama, M.; Ishida-Yamamoto, A.; Sayama, K. Vesicular LL-37 contributes to inflammation of the lesional skin of palmoplantar pustulosis. PLoS ONE 2014, 9, e110677. [Google Scholar] [CrossRef] [PubMed]
- Chen, X.J.; Qiao, J.; Xiao, B.G.; Lu, C.Z. The significance of titin antibodies in myasthenia gravis--correlation with thymoma and severity of myasthenia gravis. J. Neurol. 2004, 251, 1006–1011. [Google Scholar] [CrossRef] [PubMed]
- Adams, M.; Fleming, J.R.; Riehle, E.; Zhou, T.; Zacharchenko, T.; Markovic, M.; Mayans, O. Scalable, Non-denaturing Purification of Phosphoproteins Using Ga. Protein J. 2019, 38, 181–189. [Google Scholar] [CrossRef]
- Bogomolovas, J.; Fleming, J.R.; Franke, B.; Manso, B.; Simon, B.; Gasch, A.; Markovic, M.; Brunner, T.; Knöll, R.; Chen, J.; et al. Titin kinase ubiquitination aligns autophagy receptors with mechanical signals in the sarcomere. EMBO Rep. 2021, 22, e48018. [Google Scholar] [CrossRef]
- Bogomolovas, J.; Gravenhorst, P.; Mayans, O. Production and analysis of titin kinase: Exploiting active/inactive kinase homologs in pseudokinase validation. Methods Enzymol. 2022, 667, 147–181. [Google Scholar] [CrossRef]
- Kabsch, W. XDS. Acta Crystallogr. D Biol. Crystallogr. 2010, 66, 125–132. [Google Scholar] [CrossRef]
- McCoy, A.J.; Grosse-Kunstleve, R.W.; Adams, P.D.; Winn, M.D.; Storoni, L.C.; Read, R.J. Phaser crystallographic software. J. Appl. Crystallogr. 2007, 40, 658–674. [Google Scholar] [CrossRef]
- Mrosek, M.; Labeit, D.; Witt, S.; Heerklotz, H.; von Castelmur, E.; Labeit, S.; Mayans, O. Molecular determinants for the recruitment of the ubiquitin-ligase MuRF-1 onto M-line titin. FASEB J. 2007, 21, 1383–1392. [Google Scholar] [CrossRef] [PubMed]
- Liebschner, D.; Afonine, P.V.; Baker, M.L.; Bunkóczi, G.; Chen, V.B.; Croll, T.I.; Hintze, B.; Hung, L.W.; Jain, S.; McCoy, A.J.; et al. Macromolecular structure determination using X-rays, neutrons and electrons: Recent developments in Phenix. Acta Crystallogr. D Struct. Biol. 2019, 75, 861–877. [Google Scholar] [CrossRef] [PubMed]
- Berger, B.; Stich, O.; Labeit, S.; Rauer, S. Screening for anti-titin antibodies in patients with various paraneoplastic neurological syndromes. J. Neuroimmunol. 2016, 295–296, 18–20. [Google Scholar] [CrossRef]
- Tappatà, M.; Giannoccaro, M.P.; Romoli, M.; Testoni, S.; Arnone, G.; Piccolo, L.; Solli, P.; Zaniboni, A.; Naldi, F.; Moghadam, K.K.; et al. GABAA receptor and anti-titin antibody encephalitis in a patient with thymoma. Neurol. Sci. 2022, 43, 5633–5636. [Google Scholar] [CrossRef] [PubMed]







| I110 | I110-I111 | I109-I111 (MIR) | |
|---|---|---|---|
| PDB code | 8BW6 | 8BVO | 8BXR |
| Space group | P41212 | P21 | P212121 |
| Cell dimensions | |||
| a,b,c (Å) | 45.86, 45.86, 112.02 | 34.28, 46.26, 71.34 | 30.36, 89.11, 128.05 |
| α,β,γ (°) | 90, 90, 90 | 90, 100.73, 90 | 90, 90, 90 |
| Copies in ASU | 1 | 1 | 1 |
| Data Processing | |||
| Beamline | I02 (Diamond) | I02 (Diamond) | I02 (Diamond) |
| Detector | PILATUS 6M | PILATUS 6M | PILATUS 6M |
| Wavelength (Å) | 0.9795 | 0.9795 | 0.9700 |
| Resolution (Å) | 42.4–1.95 | 30.0–2.55 | 30.0–2.7 |
| (2.00–1.95) a | (2.60–2.55) a | (2.8–2.7) a | |
| No. Reflections | 9305 (651) | 7239 (401) | 8696 (893) |
| Rsym(I) (%) | 4.6 (240.3) | 16.0 (152.6) | 19.3 (178.5) |
| 23.09 (0.93) | 6.04 (1.13) | 8.32 (1.18) | |
| CC1/2 (%) | 100.0 (52.1) | 98.2 (42.4) | 99.2 (51.5) |
| Completeness (%) | 100.0 (100.0) | 98.9 (100) | 85.3 (87.6) |
| Multiplicity | 12.36 (12.43) | 3.19 (3.32) | 8.04 (8.19) |
| Model Refinement | |||
| No. working/free | |||
| Reflections | 8834/466 | 6715/509 | 8235/435 |
| Rwork/Rfree (%) | 21.74/25.39 | 22.35/28.72 | 22.54/27.14 |
| No. Atoms Protein | 805 | 1559 | 2326 |
| No. Atoms Solvent | 61 b | 44 | 61 c |
| R.m.s.d.: | |||
| Bond length (Å) | 0.008 | 0.008 | 0.003 |
| Angles (°) | 0.975 | 1.016 | 0.532 |
| Ramachandran plot | |||
| Favored (%) | 91.75 | 91.33 | 94.59 |
| Disallowed (%) | 0 | 0 | 0 |
Disclaimer/Publisher’s Note: The statements, opinions and data contained in all publications are solely those of the individual author(s) and contributor(s) and not of MDPI and/or the editor(s). MDPI and/or the editor(s) disclaim responsibility for any injury to people or property resulting from any ideas, methods, instructions or products referred to in the content. |
© 2023 by the authors. Licensee MDPI, Basel, Switzerland. This article is an open access article distributed under the terms and conditions of the Creative Commons Attribution (CC BY) license (https://creativecommons.org/licenses/by/4.0/).
Share and Cite
Stergiou, C.; Williams, R.; Fleming, J.R.; Zouvelou, V.; Ninou, E.; Andreetta, F.; Rinaldi, E.; Simoncini, O.; Mantegazza, R.; Bogomolovas, J.; et al. Immunological and Structural Characterization of Titin Main Immunogenic Region; I110 Domain Is the Target of Titin Antibodies in Myasthenia Gravis. Biomedicines 2023, 11, 449. https://doi.org/10.3390/biomedicines11020449
Stergiou C, Williams R, Fleming JR, Zouvelou V, Ninou E, Andreetta F, Rinaldi E, Simoncini O, Mantegazza R, Bogomolovas J, et al. Immunological and Structural Characterization of Titin Main Immunogenic Region; I110 Domain Is the Target of Titin Antibodies in Myasthenia Gravis. Biomedicines. 2023; 11(2):449. https://doi.org/10.3390/biomedicines11020449
Chicago/Turabian StyleStergiou, Christos, Rhys Williams, Jennifer R. Fleming, Vasiliki Zouvelou, Elpinickie Ninou, Francesca Andreetta, Elena Rinaldi, Ornella Simoncini, Renato Mantegazza, Julius Bogomolovas, and et al. 2023. "Immunological and Structural Characterization of Titin Main Immunogenic Region; I110 Domain Is the Target of Titin Antibodies in Myasthenia Gravis" Biomedicines 11, no. 2: 449. https://doi.org/10.3390/biomedicines11020449
APA StyleStergiou, C., Williams, R., Fleming, J. R., Zouvelou, V., Ninou, E., Andreetta, F., Rinaldi, E., Simoncini, O., Mantegazza, R., Bogomolovas, J., Tzartos, J., Labeit, S., Mayans, O., & Tzartos, S. (2023). Immunological and Structural Characterization of Titin Main Immunogenic Region; I110 Domain Is the Target of Titin Antibodies in Myasthenia Gravis. Biomedicines, 11(2), 449. https://doi.org/10.3390/biomedicines11020449

