Sign in to use this feature.

Years

Between: -

Subjects

remove_circle_outline
remove_circle_outline
remove_circle_outline
remove_circle_outline
remove_circle_outline
remove_circle_outline
remove_circle_outline
remove_circle_outline
remove_circle_outline

Journals

Article Types

Countries / Regions

Search Results (135)

Search Parameters:
Keywords = titin

Order results
Result details
Results per page
Select all
Export citation of selected articles as:
22 pages, 580 KB  
Review
Exploring the Genetic Architecture of Myocarditis and Inherited Cardiomyopathies
by Sukruth Pradeep Kundur, Ali Malik, Rasi Mizori and Sanjay Sivalokanathan
Cardiogenetics 2026, 16(1), 4; https://doi.org/10.3390/cardiogenetics16010004 - 10 Mar 2026
Viewed by 267
Abstract
Myocarditis is a complex inflammatory myocardial disease. Although traditionally regarded as exclusively immune-mediated, recent evidence highlights the significant role of underlying genetics on susceptibility, phenotypic variability, and long-term prognosis. This narrative review examines the evolving genetic architecture of myocarditis and its relationship to [...] Read more.
Myocarditis is a complex inflammatory myocardial disease. Although traditionally regarded as exclusively immune-mediated, recent evidence highlights the significant role of underlying genetics on susceptibility, phenotypic variability, and long-term prognosis. This narrative review examines the evolving genetic architecture of myocarditis and its relationship to inherited cardiomyopathies, integrating mechanistic insights from molecular, imaging, and clinical studies. Variants in desmosomal genes such as desmoplakin (DSP) and plakophilin-2 (PKP2) are increasingly linked to recurrent myocarditis that may evolve into arrhythmogenic cardiomyopathy, supporting the concept of a genetically predisposed myocardium in which inflammatory stressors can act as triggers. Truncating variants in titin (TTN) and Filamin C (FLNC) are associated with fulminant or dilated phenotypes. Conversely, mutations in Lamin A/C (LMNA), Desmin (DES), and BCL2-Associated Athanogene 3 (BAG3) contribute to inflammatory myocardial remodeling and other forms of inherited cardiomyopathies. These findings collectively have the potential to redefine myocarditis as an inflammatory disorder influenced by genetic factors. Furthermore, advancements in genetic testing and multi-omics approaches show promise in enhancing diagnostic accuracy and informing management strategies. Full article
(This article belongs to the Section Molecular Genetics)
Show Figures

Figure 1

11 pages, 758 KB  
Article
Monocyte Titin Gene Expression as a Biomarker of Left Ventricular Dysfunction in Acute Myocarditis
by Spyridon Maragkoudakis, Aleksi Sallo, Ioanna Kontaraki, Emmanouil Marakas Sideras, Gabriela Lilikaki, Onoufrios Malikidis, Konstantinos Fragkiadakis, Eleutherios Kallergis, Nick Kopidakis, Ioannis Kopidakis, Evangelos Zacharis, Vasiliki Katsi, Emmanouil Kampanieris, George Kochiadakis, Emmanouil Simantirakis and Maria Marketou
Genes 2026, 17(3), 268; https://doi.org/10.3390/genes17030268 - 26 Feb 2026
Viewed by 213
Abstract
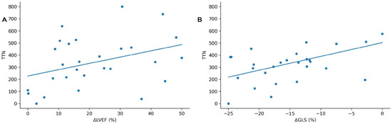
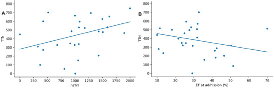
Background: Titin (TTN), a giant structural and signaling protein of striated muscle, participates in intracellular signaling networks and cytoskeletal organization, potentially influencing cell activation, trafficking, and interactions with other tissues, including the heart. Methods: In this pilot study, 29 patients with acute myocarditis [...] Read more.
Background: Titin (TTN), a giant structural and signaling protein of striated muscle, participates in intracellular signaling networks and cytoskeletal organization, potentially influencing cell activation, trafficking, and interactions with other tissues, including the heart. Methods: In this pilot study, 29 patients with acute myocarditis and 10 healthy individuals were prospectively enrolled. Peripheral blood was obtained on the first day of hospital admission, total RNA was isolated from peripheral blood mononuclear cells (PBMCs), and TTN mRNA expression was quantified. Results: TTN expression in PBMCs was significantly higher in patients with acute myocarditis compared with healthy controls (p = 0.015), corresponding to a 2.8-fold median increase. Moreover, TTN expression showed a strong positive correlation with global longitudinal strain impairment (Spearman’s r = 0.576, p < 0.001), a moderate positive correlation with peak hs-cTnI levels (r = 0.435, p = 0.021; and a moderate inverse correlation with baseline LVEF (r = −0.421, p = 0.025). Conclusions: These findings support a pathophysiological link between TTN-related pathways in peripheral immune cells and myocardial injury in acute myocarditis and raise the hypothesis that TTN expression in PBMCs may serve as a novel biomarker of disease severity and long-term ventricular remodeling. Further studies in larger cohorts are warranted to validate these results and to elucidate the mechanistic role of titin in immune–cardiac cross-talk. Full article
(This article belongs to the Special Issue Chromatin Modifications and RNA-Based Regulation of Gene Expression)
Show Figures

Graphical abstract

22 pages, 8802 KB  
Article
Mitochondrial Targeting by Elamipretide Improves Myocardial Bioenergetics Without Translating into Functional Benefits in HFpEF
by Antje Schauer, Daniela Jahn, Beatrice Vahle, Peggy Barthel, Anita Männel, Gunar Fabig, Axel Linke, Volker Adams and Antje Augstein
Int. J. Mol. Sci. 2026, 27(2), 1060; https://doi.org/10.3390/ijms27021060 - 21 Jan 2026
Viewed by 568
Abstract
Mitochondrial dysfunction contributes to impaired myocardial energetics and performance in heart failure with preserved ejection fraction (HFpEF). Elamipretide (Ela) enhances mitochondrial bioenergetics in preclinical models, yet its relevance in HFpEF remains unclear. This study examined the effects of Ela on cardiac mitochondrial function, [...] Read more.
Mitochondrial dysfunction contributes to impaired myocardial energetics and performance in heart failure with preserved ejection fraction (HFpEF). Elamipretide (Ela) enhances mitochondrial bioenergetics in preclinical models, yet its relevance in HFpEF remains unclear. This study examined the effects of Ela on cardiac mitochondrial function, structure, and cardiovascular performance in a rodent HFpEF model. Female obese ZSF1 rats received vehicle or Ela for 12 weeks, with age-matched lean rats as controls. Cardiac function and hemodynamics were assessed by echocardiography and pressure–volume analysis. Mitochondrial respiration was measured in permeabilized fibers and ultrastructure evaluated by transmission electron microscopy. Molecular and histological analyses included cardiolipin lipidomics and mRNA/protein profiling of hypertrophic, fibrotic, and inflammatory markers. Ela modestly improved complex I and II respiration, whereas mitochondrial ultrastructure, cardiolipin composition, and tafazzin expression were unchanged. Diastolic dysfunction persisted, reflected by unchanged E/é, ventricular stiffness factor β, and titin phosphorylation. Compared to untreated HFpEF, systolic performance showed a mild decline, with small reductions in LV ejection fraction and end-systolic elastance. Accordingly, cardiac remodeling, including hypertrophy, fibrosis, and inflammatory activation, remained unaltered. Vascular stiffness slightly increased, while carotid reactivity and morphology were preserved. In conclusion, despite enhanced mitochondrial respiration following Ela treatment, no functional or structural benefits were observed in experimental HFpEF, suggesting limited therapeutic efficacy once HFpEF is established. Full article
(This article belongs to the Special Issue Heart Failure: From Pathogenesis to Innovative Treatments)
Show Figures

Figure 1

14 pages, 2225 KB  
Article
Genetic Spectrum, Clinical Characteristics, and Molecular Pathogenesis of Hypertrophic Cardiomyopathy Requiring Heart Transplantation
by Sofiya Andreeva, Lyubov Korneva, Mariya Marusova, Yulia Sazonova, Alexandra Gudkova, Anna Streltsova, Svetlana Fetisova, Maria Simonenko, Anna Fanta, Andrei Semenov, Maria Bortsova, Lubov Mitrofanova, Olga Moiseeva, Alexandr Bobylev, Lidiya Gavrilova, Ivan Vikhlyantsev, Petr Fedotov and Anna Kostareva
J. Cardiovasc. Dev. Dis. 2025, 12(12), 499; https://doi.org/10.3390/jcdd12120499 - 17 Dec 2025
Viewed by 511
Abstract
Hypertrophic cardiomyopathy (HCM) progressing to end-stage heart failure and heart transplantation (HT) is a rare clinical scenario with an insufficiently explored genetic background. In this single-center retrospective cohort study, we aimed to characterize the genetic spectrum, variants of HCM adverse remodeling, and aspects [...] Read more.
Hypertrophic cardiomyopathy (HCM) progressing to end-stage heart failure and heart transplantation (HT) is a rare clinical scenario with an insufficiently explored genetic background. In this single-center retrospective cohort study, we aimed to characterize the genetic spectrum, variants of HCM adverse remodeling, and aspects of molecular pathogenesis of this subgroup. The study included 14 patients (9 females), among whom 10 developed a dilated/hypokinetic phenotype and 4 a restrictive phenotype. In 13 patients (93%), at least one pathogenic or likely pathogenic genetic variant was identified. Dilated remodeling/hypokinesis was associated with loss-of-function variants in LAMP2 (3) in females, ALPK3homo (1), MYH7 (1), MYBPC3 (1), a heterozygous missense variant in TRIM63 (1), FLNCtv (1), TTNtv (2). For the latter two, electrophoretic analysis of titin isoform composition and protein content in myocardial fragments from explanted hearts confirmed the functional significance of TTN gene variants. The restrictive phenotype in the adult group was associated with carriage of multiple pathogenic sarcomere gene variants: MYL3homo (1), MYBPC3+TPM1 (1), an MYH7 converter domain variant (1), and, in one child, with a TNNT2 variant. This findings support HCM progressing to HT is characterized by a higher frequency of variants in non-sarcomeric genes and Danon disease compared to the general HCM cohort. Full article
Show Figures

Figure 1

18 pages, 4490 KB  
Article
Influence of Layer Configuration on the Mechanical, Tribological and Corrosion Performance of Ti/TiN Multilayer Coatings
by Zarina Aringozhina, Nurtoleu Magazov, Bauyrzhan Rakhadilov, Yelaman Batanov, Ainur Serikbaikyzy and Arystanbek Kussainov
Coatings 2025, 15(11), 1313; https://doi.org/10.3390/coatings15111313 - 11 Nov 2025
Viewed by 693
Abstract
This study investigates the influence of multilayer architecture on the mechanical, corrosion, and tribological properties of Ti/TiN coatings deposited on biomedical Ti-6Al-4V alloy. Nine multilayer configurations were prepared by DC/RF magnetron sputtering using metallic Ti and ceramic TiN targets, with a fixed TiN/Ti [...] Read more.
This study investigates the influence of multilayer architecture on the mechanical, corrosion, and tribological properties of Ti/TiN coatings deposited on biomedical Ti-6Al-4V alloy. Nine multilayer configurations were prepared by DC/RF magnetron sputtering using metallic Ti and ceramic TiN targets, with a fixed TiN/Ti ratio of 3:1 and varying total numbers of layers (3, 5, and 7) and deposition times (30, 60, and 120 min). A strict application of the 10% indentation depth rule was implemented to eliminate substrate effects, which revealed significantly higher intrinsic hardness values (540–740 HV) and indentation moduli (124–143 GPa) compared to the substrate (353 HV; 114 GPa). In contrast, conventional higher-load testing underestimated coating performance due to substrate dominance. Among the investigated architectures, the Ti/TiN-7 configuration exhibited the best balance of properties, combining high hardness (~690 HV), modulus (~137 GPa), improved corrosion resistance (Ecorr up to −0.13 V, Icorr reduced by an order of magnitude), and stable abrasive wear behavior. These findings demonstrate that both bilayer number and deposition time critically determine the mechanical and functional response of Ti/TiN multilayers. The results provide practical guidelines for the reliable characterization and design of multilayer coatings for biomedical and aerospace applications. Full article
(This article belongs to the Section Tribology)
Show Figures

Figure 1

24 pages, 4679 KB  
Article
Gene Expression Dynamics Underlying Muscle Aging in the Hawk Moth Manduca sexta
by Avery Del Grosso, Beate Wone, Connor McMahon, Hallie Downs and Bernard W. M. Wone
Genes 2025, 16(11), 1306; https://doi.org/10.3390/genes16111306 - 1 Nov 2025
Viewed by 1291
Abstract
Background/Objectives: Muscle aging is a complex, dynamic process that impairs overall metabolism and physiological function. The molecular mechanisms underlying declines in muscle performance and metabolic efficiency remain poorly understood, largely due to the time and resource demands of traditional model organisms. The hawk [...] Read more.
Background/Objectives: Muscle aging is a complex, dynamic process that impairs overall metabolism and physiological function. The molecular mechanisms underlying declines in muscle performance and metabolic efficiency remain poorly understood, largely due to the time and resource demands of traditional model organisms. The hawk moth Manduca sexta offers a promising alternative, with a short adult lifespan (~10 days) and notable similarities to vertebrate muscle systems, making it well-suited for time-course molecular dissection of muscle aging. Methods: In this study, we performed high-resolution temporal analysis of muscle tissues from aging M. sexta, spanning the physiomuscular aging process from middle age to advanced age. Results: We observed decreased expression of genes involved in fatty acid β-oxidation, ATP synthase subunits, superoxide dismutase, glutathione S-transferases, and heat shock proteins. In contrast, genes associated with proteolysis, catabolic processes, insulin signaling, akirin, titin, high-affinity choline transporters, and vesicular acetylcholine transporters were increased in expression. Conclusions: These changes suggest a shift toward increased proteolysis and protein catabolism with age. Our findings support the use of M. sexta as a complementary model for muscle aging research. However, it remains unclear whether the observed gene expression changes are driven by intrinsic, sex-specific age-related muscle aging or confounded by potential starvation effects in older males. Full article
(This article belongs to the Section Molecular Genetics and Genomics)
Show Figures

Figure 1

21 pages, 4067 KB  
Article
HDAC5 Inhibition as a Therapeutic Strategy for Titin Deficiency-Induced Cardiac Remodeling: Insights from Human iPSC Models
by Arif Ul Hasan, Sachiko Sato, Mami Obara, Yukiko Kondo and Eiichi Taira
Medicines 2025, 12(4), 26; https://doi.org/10.3390/medicines12040026 - 27 Oct 2025
Viewed by 1227
Abstract
Background/Objectives: Dilated cardiomyopathy (DCM) is a prevalent and life-threatening heart muscle disease often caused by titin (TTN) truncating variants (TTNtv). While TTNtvs are the most common genetic cause of heritable DCM, the precise downstream regulatory mechanisms linking TTN [...] Read more.
Background/Objectives: Dilated cardiomyopathy (DCM) is a prevalent and life-threatening heart muscle disease often caused by titin (TTN) truncating variants (TTNtv). While TTNtvs are the most common genetic cause of heritable DCM, the precise downstream regulatory mechanisms linking TTN deficiency to cardiac dysfunction and maladaptive fibrotic remodeling remain incompletely understood. This study aimed to identify key epigenetic regulators of TTN-mediated gene expression and explore their potential as therapeutic targets, utilizing human patient data and in vitro models. Methods: We analyzed RNA sequencing (RNA-seq) data from left ventricles of non-failing donors and cardiomyopathy patients (DCM, HCM, PPCM) (GSE141910). To model TTN deficiency, we silenced TTN in human iPSC-derived cardiomyocytes (iPSC-CMs) and evaluated changes in cardiac function genes (MYH6, NPPA) and fibrosis-associated genes (COL1A1, COL3A1, COL14A1). We further tested the effects of TMP-195, a class IIa histone deacetylase (HDAC) inhibitor, and individual knockdowns of HDAC4/5/7/9. Results: In both human patient data and the TTN knockdown iPSC-CM model, TTN deficiency suppressed MYH6 and NPPA while upregulating fibrosis-associated genes. Treatment with TMP-195 restored NPPA and MYH6 expression and suppressed collagen genes, without altering TTN expression. Among the HDACs tested, HDAC5 knockdown was most consistently associated with improved cardiac markers and reduced fibrotic gene expression. Co-silencing TTN and HDAC5 replicated these beneficial effects. Furthermore, the administration of TMP-195 enhanced the modulation of NPPA and COL1A1, though its impact on COL3A1 and COL14A1 was not similarly enhanced. Conclusions: Our findings identify HDAC5 as a key epigenetic regulator of maladaptive gene expression in TTN deficiency. Although the precise mechanisms remain to be clarified, the ability of pharmacological HDAC5 inhibition with TMP-195 to reverse TTN-deficiency-induced gene dysregulation highlights its promising translational potential for TTN-related cardiomyopathies. Full article
Show Figures

Graphical abstract

47 pages, 2233 KB  
Review
Synergistic Approaches for Navigating and Mitigating Agricultural Pollutants
by Swati Srivastava, Dheeraj Raya, Rajni Sharma, Shiv Kumar Giri, Kanu Priya, Anil Kumar, Gulab Singh and Saurabh Sudha Dhiman
Pollutants 2025, 5(4), 37; https://doi.org/10.3390/pollutants5040037 - 20 Oct 2025
Viewed by 2598
Abstract
The alarming increase in the use of chemically driven pesticides for enhanced crop productivity has severely affected soil fertility, ecosystem balance, and consumer health. Inadequate handling protocols and ineffective remediation strategies have led to elevated pesticide concentrations, contributing to human respiratory and metabolic [...] Read more.
The alarming increase in the use of chemically driven pesticides for enhanced crop productivity has severely affected soil fertility, ecosystem balance, and consumer health. Inadequate handling protocols and ineffective remediation strategies have led to elevated pesticide concentrations, contributing to human respiratory and metabolic disorders in humans. In the current context, where agricultural activities and pesticide applications are intertwined, strong and sustainable remediation strategies are essential for environmental protection without sacrificing crop productivity. Various bio-inspired methods have been reported, such as phytoremediation, bioremediation, and in situ remediation; however, limited success has been observed with either single or combined approaches. Consequently, biopolymer biomanufacturing, nanoparticle-based bioengineering, and computational biology for improved understanding of mechanisms have been revisited to incorporate updated methodologies that detail the fate and action of harmful chemical pesticides in agriculture. An in silico mechanistic approach has been emphasized to understand the molecular mechanisms involved in agricultural pesticides’ degradation using nanomaterials. A roadmap has been created by integrating cutting-edge machine learning techniques to develop nature-inspired sustainable agricultural practices and contaminant disposal methods. This review represents a pioneering effort to explore the roles of wet-lab chemistry and in silico methods in mitigating the effects of agricultural pesticides, providing a comprehensive strategy for balancing environmental sustainability and agricultural practices. Full article
Show Figures

Figure 1

32 pages, 6119 KB  
Review
The Brown Bear and Hibernating Mammals as a Translational Model for Human Resilience: Insights for Space Medicine, Critical Care, and Austere Environments
by Jainam Shah, Ryung Lee, Sachin Pathuri, Jason Zheng, Joshua Ong, Alex Suh, Kimia Rezaei, Gagandeep Mudhar, Andrew D. Parsons, Jaewoo Park and Andrew G. Lee
Biology 2025, 14(10), 1434; https://doi.org/10.3390/biology14101434 - 17 Oct 2025
Viewed by 3205
Abstract
Long-term spaceflight induces multisystem stress, including cardiovascular deconditioning, skeletal muscle atrophy, immune suppression, and neuro-ocular syndromes. Current countermeasures reduce symptoms but cannot replicate the synergistic resilience needed for extended missions or critical illness. Hibernating animals, specifically brown bears (Ursus arctos), survive [...] Read more.
Long-term spaceflight induces multisystem stress, including cardiovascular deconditioning, skeletal muscle atrophy, immune suppression, and neuro-ocular syndromes. Current countermeasures reduce symptoms but cannot replicate the synergistic resilience needed for extended missions or critical illness. Hibernating animals, specifically brown bears (Ursus arctos), survive prolonged immobility, starvation, and bradycardia without resultant pathology. This review incorporates adaptations observed in bears and certain torpid species, including reversible insulin resistance, suppression of muscle atrophy genes MuRF1 and Atrogin-1, and maintenance of the heart despite seasonal production decline. The thirteen-lined ground squirrels (Ictidomys tridecemlineatus) maintain retinal structure and synaptic stability throughout torpor, avoiding neuro-ocular complications despite prolonged inactivity. Mechanisms span from RBM3-dependent synaptic maintenance, titin isoform remodeling under the control of RBM20, mTOR and FOXO pathway regulation, remodeled hydrogen sulfide metabolism, and microbiome-mediated nitrogen salvage. These adaptations are different from human adaptation to microgravity and disuse and offer translational candidates for synthetic torpor, probiotic engineering, neuroprotection, and protein-sparing therapy. Hibernators are not passive stress subjects; they perform coordinated anticipatory responses in multiple organs. Comparing these systems in large and small hibernators, we aim to uncover a biologically realistic path to human resilience. These findings guide a shift from reactive, pharmacological measures for preserving human health during space flight, intensive care, and extreme environments towards proactive, biologically initiated measures. Full article
(This article belongs to the Section Physiology)
Show Figures

Figure 1

16 pages, 534 KB  
Review
The Diagnostic Potential of Urinary Titin Fragment in Neuromuscular Diseases
by Andrea Sipos, Dávid Varga and Endre Pál
Int. J. Mol. Sci. 2025, 26(19), 9652; https://doi.org/10.3390/ijms26199652 - 3 Oct 2025
Cited by 1 | Viewed by 1282
Abstract
Biomarkers are important for the diagnosis and follow-up of neuromuscular diseases. Creatine kinase (CK) is a widely used marker of active muscle damage; however, it is not suitable for assessing muscle mass loss. Therefore, additional biomarkers are required to monitor skeletal muscle damage [...] Read more.
Biomarkers are important for the diagnosis and follow-up of neuromuscular diseases. Creatine kinase (CK) is a widely used marker of active muscle damage; however, it is not suitable for assessing muscle mass loss. Therefore, additional biomarkers are required to monitor skeletal muscle damage and loss. Titin plays an essential role in the structure and function of muscle fibers. It provides stability and elasticity to the sarcomeres. During sarcomere damage, fragments of titin and other proteins are released from muscle fibers and can be detected in blood and urine. Urinary titin-N fragment (UTN) detection is a noninvasive method for assessing and monitoring the extent of muscle damage. In addition to muscular dystrophies, elevated UTN levels have been observed in patients with sarcopenia. The UTN level increased significantly during eccentric muscle strain, indicating muscle damage, whereas the concentric load was associated with only a minimal increase in UTN. As titin is also present in the heart muscle, UTN can help diagnose cardiomyopathies and predict disease prognosis. In summary, the detection of urinary titin fragments is a promising tool for diagnosing and monitoring neuromuscular and cardiac diseases. While both CK and UTN rise and are related in acute conditions, their relationship is less clear in chronic diseases where muscle tissue damage and muscle mass loss are combined. Full article
(This article belongs to the Section Molecular Neurobiology)
Show Figures

Figure 1

26 pages, 6772 KB  
Article
Adaptive and Pathological Changes of the Cardiac Muscle in a Mouse Model of Renocardiac Syndrome: The Role of Nestin-Positive Cells
by Polina A. Abramicheva, Ilya A. Sokolov, Arina A. Druzhinina, Daria M. Potashnikova, Nadezda V. Andrianova, Dmitry S. Semenovich, Vasily N. Manskikh, Ljubava D. Zorova, Elmira I. Yakupova, Ivan M. Vikhlyantsev, Olga S. Tarasova, Dmitry B. Zorov and Egor Y. Plotnikov
Int. J. Mol. Sci. 2025, 26(16), 8100; https://doi.org/10.3390/ijms26168100 - 21 Aug 2025
Viewed by 1598
Abstract
Renocardiac syndrome type 4 (RCS4) is a common comorbid pathology, but the mechanisms of kidney dysfunction-induced cardiac remodeling and the involvement of cardiac progenitor cells (CPCs) in this process remain unclear. The aim of this study was to investigate the structural and functional [...] Read more.
Renocardiac syndrome type 4 (RCS4) is a common comorbid pathology, but the mechanisms of kidney dysfunction-induced cardiac remodeling and the involvement of cardiac progenitor cells (CPCs) in this process remain unclear. The aim of this study was to investigate the structural and functional changes in the cardiac muscle in RCS4 induced by unilateral ureteral obstruction (UUO) and the role of nestin+ CPCs in these. Heart function and localization of nestin+ cells in the myocardium were assessed using nestin-GFP transgenic mice subjected to UUO for 14 and 28 days. UUO resulted in cardiac hypertrophy, accompanied by an elongation of the QRS wave on the ECG, decreased expression of Cxcl1, Cxcl9, and Il1b, reduced the number of CD11b+ cells, and increased in titin isoform parameters, such as T1/MHC and TT/MHC ratios, without changes in fibrosis markers. The number of nestin+ cells increased in the myocardium with increased duration of UUO and displayed an SCA-1+TBX5+ phenotype, consistent with CPCs. Thus, cardiac pathology in RCS4 was manifested by cardiomyocyte hypertrophy with changes in the electrophysiological phenotype of the heart, not accompanied by fibrosis or inflammation. Nestin+ cardiac cells retained the CPC phenotype during UUO, and their number increased, which suggests their participation in regenerative processes in the heart. Full article
Show Figures

Figure 1

10 pages, 453 KB  
Article
Clinicopathological Features and Pathogenesis of Thymoma Complicated with Alopecia Areata: A Multicenter, Matched Case Analysis
by Xin Du, Xuehan Gao, Jian Cui, Xintao Yu, Cheng Huang, Yeye Chen, Chao Guo, Ye Zhang, Chao Gao, Xiayao Diao, Lei Yu and Shanqing Li
Cancers 2025, 17(16), 2672; https://doi.org/10.3390/cancers17162672 - 16 Aug 2025
Viewed by 1181
Abstract
Background: Thymoma is a malignant tumor originating from the thymic epithelium and can be associated with over 100 paraneoplastic syndromes (PNSs). Due to the low incidence of thymoma and the relative rarity of alopecia areata (AA) as an associated autoimmune disease, patients with [...] Read more.
Background: Thymoma is a malignant tumor originating from the thymic epithelium and can be associated with over 100 paraneoplastic syndromes (PNSs). Due to the low incidence of thymoma and the relative rarity of alopecia areata (AA) as an associated autoimmune disease, patients with thymoma combined with AA are relatively uncommon in clinical practice. As a result, the clinicopathological features and pathogenesis of such patients have been rarely investigated. Methods: This study retrospectively analyzed the clinical records of thymoma patients who underwent surgical treatment at Peking Union Medical College Hospital and Beijing Tongren Hospital from August 2014 to July 2019, with a focus on the clinicopathological features of thymoma patients with AA. Propensity score matching (PSM) was employed to create a 1:5 matched comparison group with thymoma patients without AA. Results: A total of 428 thymoma patients were included, among which 9 had AA. Using PSM, we matched 45 control patients without AA based on age and gender. The analysis revealed that thymoma patients with AA had a significantly higher proportion of myasthenia gravis (MG) [100.00% (9/9) vs. 66.67% (30/45), p = 0.049], although there were no significant differences between the AChR antibodies, Titin antibodies, MG severity, and the incidence of postoperative myasthenic crisis. However, the proportion of thymoma patients with AA who also had other PNSs besides MG was significantly higher [88.89% (8/9) vs. 6.67% (3/45), p < 0.001]. Additionally, CD4+/CD8+ T-cell inversion in the serum was observed at a much higher rate in thymoma patients with AA [100.00% (9/9) vs. 24.44% (11/45), p < 0.001]. Conclusions: We hypothesize that the pathogenesis of thymoma with AA differs from that of thymoma with MG, though there may be a correlation. The etiology of thymoma with AA may be attributed to abnormal autoimmune CD8+ T lymphocytes produced by the thymoma, which can also lead to other cytotoxic T-cell-mediated autoimmune diseases. Full article
(This article belongs to the Section Cancer Pathophysiology)
Show Figures

Graphical abstract

9 pages, 550 KB  
Brief Report
Elevated Urinary Titin in Adult Spinal Muscular Atrophy: A Multicenter, Cross-Sectional Observational Study
by Andrea Sipos, Emese Rebeka Ripszám, Judit Mária Molnár, Zoltán Grosz, Judit Boczán, Melinda Borbála Altorjay, Livia Dézsi, Anett Csáti, Kristóf Babarczy, Norbert Kovács, Nándor Hajdú and Endre Pál
Neurol. Int. 2025, 17(8), 114; https://doi.org/10.3390/neurolint17080114 - 22 Jul 2025
Viewed by 858
Abstract
Background: Spinal muscular atrophy (SMA) is a treatable motor neuron disease. Biomarkers for skeletal muscle atrophy are extremely important for measuring the effects of treatment and monitoring the natural course of the disease. The urinary titin N fragment (UNT) has recently been proven [...] Read more.
Background: Spinal muscular atrophy (SMA) is a treatable motor neuron disease. Biomarkers for skeletal muscle atrophy are extremely important for measuring the effects of treatment and monitoring the natural course of the disease. The urinary titin N fragment (UNT) has recently been proven to be related to muscle damage. Methods: The UNT was measured in 41 patients with SMA and 41 healthy controls. Clinical data, functional tests, and laboratory findings were also recorded. Results: We found significantly higher UNT levels in the patient samples than in the healthy subjects. The UNT was not related to disease type, functional test results, or serum creatine kinase levels. Conclusions: This cross-sectional study highlights the importance of the UNT as a potential noninvasive biomarker for spinal muscular atrophy. Its role can potentially be verified through longitudinal studies. Full article
(This article belongs to the Special Issue Biomarker Research in Neuromuscular Diseases)
Show Figures

Figure 1

14 pages, 3713 KB  
Article
Titin’s Intrinsically Disordered PEVK Domain Modulates Actin Polymerization
by Áron Gellért Altorjay, Hedvig Tordai, Ádám Zolcsák, Nikoletta Kósa, Tamás Hegedűs and Miklós Kellermayer
Int. J. Mol. Sci. 2025, 26(14), 7004; https://doi.org/10.3390/ijms26147004 - 21 Jul 2025
Viewed by 1459
Abstract
The multi-domain muscle protein titin provides elasticity and mechanosensing functions to the sarcomere. Titin’s PEVK domain is intrinsically disordered due to the presence of a large number of prolines and highly charged residues. Although PEVK does not have canonical actin-binding motifs, it has [...] Read more.
The multi-domain muscle protein titin provides elasticity and mechanosensing functions to the sarcomere. Titin’s PEVK domain is intrinsically disordered due to the presence of a large number of prolines and highly charged residues. Although PEVK does not have canonical actin-binding motifs, it has been shown to bind F-actin. Here, we explored whether the PEVK domain may also affect actin assembly. We cloned the middle, 733-residue-long segment (called PEVKII) of the full-length PEVK domain, expressed in E. coli and purified by using His- and Avi-tags engineered to the N- and C-termini, respectively. Actin assembly was monitored by the pyrene assay in the presence of varying PEVKII concentrations. The structural features of PEVKII-associated F-actin were studied with atomic force microscopy. The added PEVKII enhanced the initial and log-phase rates of actin assembly and the peak F-actin quantity in a concentration-dependent way. However, the critical concentration of actin polymerization was unaltered. Thus, PEVK accelerates actin polymerization by facilitating its nucleation. This effect was highlighted in the AFM images of F-actin–PEVKII adsorbed to the supported lipid bilayer. The sample was dominated by radially symmetric complexes of short actin filaments. PEVK’s actin polymerization-modulating effect may, in principle, have a function in regulating sarcomeric actin length and turnover. Altogether, titin’s PEVK domain is not only a non-canonical actin-binding protein that regulates sarcomeric shortening, but one that may modulate actin polymerization as well. Full article
(This article belongs to the Special Issue Biomolecular Structure, Function and Interactions: 2nd Edition)
Show Figures

Figure 1

17 pages, 10557 KB  
Article
Formation of an Amyloid-like Structure During In Vitro Interaction of Titin and Myosin-Binding Protein C
by Tatiana A. Uryupina, Liya G. Bobyleva, Nikita V. Penkov, Maria A. Timchenko, Azat G. Gabdulkhakov, Anna V. Glyakina, Vadim V. Rogachevsky, Alexey K. Surin, Oxana V. Galzitskaya, Ivan M. Vikhlyantsev and Alexander G. Bobylev
Int. J. Mol. Sci. 2025, 26(14), 6910; https://doi.org/10.3390/ijms26146910 - 18 Jul 2025
Cited by 1 | Viewed by 1428
Abstract
Protein association and aggregation are fundamental processes that play critical roles in a variety of biological phenomena from cell signaling to the development of incurable diseases, including amyloidoses. Understanding the basic biophysical principles governing protein aggregation processes is of crucial importance for developing [...] Read more.
Protein association and aggregation are fundamental processes that play critical roles in a variety of biological phenomena from cell signaling to the development of incurable diseases, including amyloidoses. Understanding the basic biophysical principles governing protein aggregation processes is of crucial importance for developing treatment strategies for diseases associated with protein aggregation, including sarcopenia, as well as for the treatment of pathological processes associated with the disruption of functional protein complexes. This work, using a set of methods such as atomic force microscopy (AFM), transmission electron microscopy (TEM), Fourier transform infrared spectroscopy (FTIR), and X-ray diffraction, as well as bioinformatics analysis, investigated the structures of complexes formed by titin and myosin-binding protein C (MyBP-C). TEM revealed the formation of morphologically ordered aggregates in the form of beads during co-incubation of titin and MyBP-C under close-to-physiological conditions (175 mM KCl, pH 7.0). AFM showed the formation of a relatively homogeneous film with local areas of relief change. Fluorimetry with thioflavin T, as well as FTIR spectroscopy, revealed signs of an amyloid-like structure, including a signal in the cross-β region. X-ray diffraction showed the presence of a cross-β structure characteristic of amyloid aggregates. Such structural features were not observed in the control samples of the investigated proteins separately. In sarcomeres, these proteins are associated with each other, and this interaction plays a partial role in the formation of a strong sarcomeric cytoskeleton. We found that under physiological ionic-strength conditions titin and MyBP-C form complexes in which an amyloid-like structure is present. The possible functional significance of amyloid-like aggregation of these proteins in muscle cells in vivo is discussed. Full article
Show Figures

Figure 1

Back to TopTop