Reinitiation and Subsequent Discontinuation of Angiotensin-Converting Enzyme Inhibitors and Angiotensin Receptor Blockers among New and Prevalent Users Aged 65 Years or More with Peripheral Arterial Disease
Abstract
1. Introduction
2. Materials and Methods
2.1. Database and Study Population
2.2. Analysis of Reinitiation and Subsequent Discontinuation
2.3. Factors Associated with Reinitiation/Subsequent Discontinuation of ACEI/ARB Treatment
2.4. Statistical Analysis
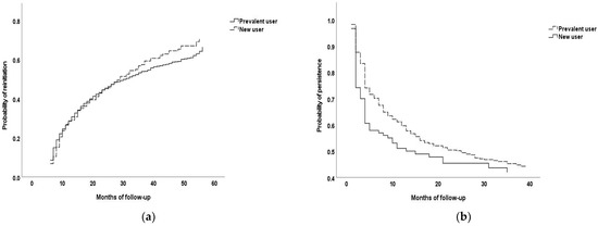
3. Results
4. Discussion
| Analysis of Reinitiation | Analysis of Subsequent Discontinuation | |||||
|---|---|---|---|---|---|---|
| The Whole Study Cohort (n = 1642) | Prevalent Users (n = 1451) | New Users (n = 191) | The Whole Study Cohort (n = 875) | Prevalent Users (n = 754) | New Users (n = 121) | |
| Socio-demographic characteristics | ||||||
| Age | 1.00 (0.99–1.01) | 1.00 (0.98–1.01) | 0.98 (0.92–1.03) | 0.99 (0.97–1.01) | 1.00 (0.98–1.02) | 0.94 (0.85–1.03) |
| Female sex | 0.87 (0.75–1.01) | 0.90 (0.76–1.05) | 0.79 (0.43–1.43) | 0.97 (0.77–1.21) | 0.98 (0.77–1.25) | 0.66 (0.24–1.80) |
| University education | 1.03 (0.79–1.35) | 0.98 (0.73–1.31) | 1.82 (0.71–4.65) | 0.72 (0.47–1.11) | 0.76 (0.47–1.21) | 0.44 (0.10–2.08) |
| Employed patients | 0.99 (0.71–1.37) | 0.95 (0.67–1.35) | 1.03 (0.34–3.13) | 1.16 (0.74–1.81) | 1.33 (0.82–2.15) | 0.48 (0.08–3.07) |
| History of CV eventsa | ||||||
| History of ischemic stroke | 0.98 (0.82–1.17) | 0.96 (0.80–1.16) | 1.12 (0.49–2.55) | 0.77 (0.60–0.98) | 0.73 (0.56–0.95) | 1.01 (0.37–2.75) |
| History of TIA | 0.94 (0.74–1.19) | 0.95 (0.74–1.22) | 0.70 (0.28–1.77) | 0.82 (0.59–1.14) | 0.73 (0.50–1.06) | 1.34 (0.43–4.23) |
| History of MI | 0.97 (0.76–1.22) | 0.88 (0.68–1.14) | 3.10 (1.30–7.35) | 1.11 (0.80–1.53) | 1.09 (0.77–1.54) | 1.04 (0.32–3.40) |
| CV events during non-persistence/the period of reinitiation | ||||||
| Ischemic stroke during non-persistence/the period of reinitiation | 0.95 (0.69–1.30) | 0.94 (0.67–1.33) | 1.16 (0.43–3.13) | 1.55 (1.01–2.38) | 1.70 (1.09–2.66) | 0.17 (0.01–2.56) |
| TIA during non-persistence/the period of reinitiation | 1.14 (0.76–1.73) | 1.07 (0.67–1.69) | 0.97 (0.30–3.19) | 1.41 (0.51–3.94) | 1.31 (0.47–3.69) | |
| MI during non-persistence/the period of reinitiation | 1.64 (1.12–2.39) | 1.65 (1.11–2.46) | 1.10 (0.21–5.79) | 0.38 (0.15–0.95) | 0.46 (0.19–1.15) | 0.72 (0.30–3.12) |
| Comorbid conditions | ||||||
| Number of comorbid conditions | 0.96 (0.84–1.10) | 0.96 (0.83–1.11) | 0.82 (0.46–1.46) | 1.09 (0.90–1.32) | 1.10 (0.89–1.35) | 0.94 (0.41–2.16) |
| Chronic heart failure | 1.11 (0.80–1.53) | 1.10 (0.78–1.55) | 1.76 (0.51–6.00) | 0.78 (0.48–1.28) | 0.75 (0.44–1.29) | 0.33 (0.03–3.80) |
| Atrial fibrillation | 1.14 (0.86–1.52) | 1.18 (0.87–1.60) | 0.33 (0.08–1.42) | 1.10 (0.72–1.67) | 1.20 (0.77–1.87) | 1.03 (0.11–9.45) |
| Diabetes mellitus | 0.96 (0.78–1.19) | 0.92 (0.73–1.15) | 1.36 (0.61–3.02) | 0.90 (0.67–1.21) | 0.83 (0.60–1.15) | 1.82 (0.56–5.89) |
| Hypercholesterolemia | 1.07 (0.87–1.32) | 1.07 (0.86–1.33) | 1.04 (0.43–2.51) | 0.78 (0.58–1.06) | 0.76 (0.55–1.05) | 0.85 (0.23–3.07) |
| Dementia | 1.19 (0.87–1.64) | 1.17 (0.84–1.63) | 1.68 (0.36–7.79) | 0.95 (0.60–1.50) | 0.91 (0.55–1.49) | 0.96 (0.16–5.93) |
| Depression | 1.02 (0.78–1.32) | 0.97 (0.74–1.29) | 0.93 (0.30–2.90) | 0.96 (0.65–1.42) | 1.09 (0.73–1.64) | 0.19 (0.03–1.18) |
| Anxiety disorders | 1.05 (0.85–1.30) | 1.07 (0.86–1.34) | 0.97 (0.33–2.83) | 0.96 (0.70–1.32) | 0.97 (0.69–1.35) | 1.15 (0.25–5.32) |
| Parkinson’s disease | 1.37 (0.95–1.99) | 1.23 (0.82–1.85) | 3.46 (0.91–13.12) | 1.05 (0.64–1.72) | 1.01 (0.58–1.74) | 2.92 (0.41–20.65) |
| Epilepsy | 1.28 (0.84–1.94) | 1.35 (0.88–2.06) | 0.82 (0.28–3.32) | 0.92 (0.50–1.68) | 0.97 (0.53–1.77) | |
| Bronchial asthma/COPD | 0.94 (0.75–1.18) | 0.93 (0.73–1.19) | 2.03 (0.75–5.50) | 1.16 (0.84–1.61) | 1.16 (0.81–1.64) | 3.71 (0.81–17.12) |
| ACEI/ARB related characteristics | ||||||
| ACEI/ARB agent b | ||||||
| Perindopril | 1.00 | 1.00 | 1.00 | 1.00 | 1.00 | 1.00 |
| Lisinopril | 0.87 (0.62–1.22) | 0.86 (0.60–1.25) | 1.26 (0.37–4.28) | 1.28 (0.70–2.33) | 1.02 (0.54–1.91) | 7.93 (0.27–17.72) |
| Ramipril | 1.07 (0.86–1.32) | 1.12 (0.89–1.41) | 0.55 (0.26–1.18) | 0.89 (0.64–1.24) | 0.73 (0.51–1.06) | 4.35 (1.23–15.35) |
| Enalapril | 0.52 (0.19–1.41) | 0.53 (0.20–1.44) | 3.40 (0.77–15.01) | 3.41 (0.77–15.17) | ||
| Spirapril | 0.88 (0.12–6.44) | 0.90 (0.12–6.62) | 0.95 (0.13–6.95) | 0.95 (0.13–6.99) | ||
| Trandolapril | 0.95 (0.77–1.17) | 0.98 (0.78–1.23) | 0.81 (0.39–1.69) | 0.99 (0.74–1.32) | 1.02 (0.74–1.40) | 0.86 (0.30–2.44) |
| Quinapril | 1.21 (0.92–1.60) | 1.29 (0.97–1.73) | 0.60 (0.15–2.35) | 0.69 (0.41–1.16) | 0.62 (0.37–1.05) | |
| Imidapril | 0.75 (0.42–1.34) | 0.75 (0.41–1.39) | 0.78 (0.05–11.40) | 1.27 (0.39–4.16) | 1.22 (0.37–4.01) | |
| Fosinopril | 0.49 (0.20–1.19) | 0.50 (0.20–1.21) | 1.55 (0.37–6.59) | 1.61 (0.38–6.88) | ||
| Valsartan | 1.07 (0.75–1.55) | 1.11 (0.77–1.60) | 0.71 (0.22–3.02) | 1.21 (0.64–2.26) | 1.20 (0.64–2.26) | |
| Losartan | 1.33 (0.83–2.13) | 1.27 (0.78–2.06) | 8.03 (0.43–15.55) | 1.60 (0.68–3.76) | 1.23 (0.49–3.11) | 8.85 (2.22–18.34) |
| Telmisartan | 1.58 (0.97–2.56) | 1.56 (0.95–2.57) | 3.91 (0.84–9.82) | 1.32 (0.60–2.90) | 0.96 (0.41–2.26) | 0.54 (0.01–4.80) |
| Candesartan | 0.84 (0.44–1.58) | 0.86 (0.45–1.63) | 0.62 (0.20–2.98) | 0.67 (0.23–3.04) | ||
| Irbesartan | 1.42 (0.58–3.50) | 0.84 (0.21–3.46) | 6.41 (1.09–14.71) | 1.08 (0.26–4.50) | 1.12 (0.27–4.67) | |
| Patient´s co-payment (EUR) c | 1.01 (0.99–1.03) | 1.01 (0.99–1.03) | 0.96 (0.88–1.04) | 1.00 (0.97–1.04) | 0.99 (0.96–1.03) | 1.14 (0.99–1.30) |
| New ACEI/ARB agent user d | 1.04 (0.82–1.31) | 1.41 (1.02–1.95) | ||||
| General practitioner as index prescriber | 1.05 (0.88–1.24) | 1.00 (0.84–1.20) | 1.68 (0.92–3.05) | 0.88 (0.69–1.12) | 0.90 (0.69–1.18) | 1.29 (0.55–2.98) |
| CV co-medication | ||||||
| Number of medications | 1.01 (0.98–1.05) | 1.02 (0.99–1.06) | 0.96 (0.83–1.12) | 0.98 (0.94–1.03) | 0.97 (0.92–1.03) | 1.09 (0.88–1.34) |
| Number of CV medications | 0.95 (0.88–1.02) | 0.94 (0.87–1.01) | 1.14 (0.83–1.55) | 1.06 (0.95–1.19) | 1.11 (0.99–1.26) | 0.72 (0.43–1.20) |
| Antiplatelet agents | 0.95 (0.80–1.13) | 0.97 (0.81–1.16) | 0.81 (0.39–1.69) | 1.02 (0.81–1.30) | 0.97 (0.75–1.25) | 3.42 (1.18–9.94) |
| Anticoagulants | 0.91 (0.74–1.11) | 0.97 (0.78–1.20) | 0.57 (0.25–1.28) | 0.84 (0.62–1.12) | 0.83 (0.61–1.14) | 0.75 (0.21–2.67) |
| Cardiac glycosides | 1.03 (0.74–1.42) | 1.01 (0.71–1.42) | 3.25 (0.76–13.93) | 1.13 (0.70–1.82) | 1.11 (0.66–1.87) | 1.53 (0.12–19.65) |
| Antiarrhythmic agents | 1.03 (0.75–1.42) | 1.04 (0.74–1.45) | 3.22 (0.67–15.36) | 1.18 (0.73–1.89) | 0.94 (0.57–1.57) | 2.90 (0.28–21.93) |
| Beta-blockers | 1.22 (0.99–1.49) | 1.20 (0.97–1.48) | 1.06 (0.46–2.45) | 0.85 (0.63–1.15) | 0.90 (0.65–1.25) | 1.16 (0.35–3.88) |
| Thiazide diuretics | 1.07 (0.88–1.31) | 1.08 (0.87–1.33) | 1.01 (0.44–2.31) | 0.97 (0.72–1.30) | 0.96 (0.70–1.31) | 1.35 (0.40–4.52) |
| Loop diuretics | 0.98 (0.78–1.24) | 0.98 (0.77–1.24) | 1.04 (0.40–2.71) | 0.82 (0.58–1.15) | 0.70 (0.48–1.01) | 3.89 (0.75–20.25) |
| Mineralocorticoid receptor antagonists | 0.98 (0.71–1.37) | 1.02 (0.72–1.43) | 0.35 (0.06–1.99) | 0.83 (0.48–1.42) | 0.77 (0.44–1.36) | 3.71 (0.12–14.88) |
| Calcium channel blockers | 1.02 (0.85–1.23) | 1.04 (0.86–1.26) | 0.41 (0.16–1.06) | 0.89 (0.67–1.19) | 0.76 (0.56–1.04) | 2.25 (0.41–12.33) |
| Statins | 1.18 (0.98–1.41) | 1.17 (0.97–1.42) | 1.01 (0.47–2.17) | 0.77 (0.60–0.99) | 0.78 (0.59–1.02) | 0.45 (0.14–1.42) |
| Lipid-lowering agents other than statins e | 0.99 (0.76–1.28) | 0.99 (0.75–1.30) | 1.58 (0.56–4.45) | 0.88 (0.60–1.30) | 0.91 (0.61–1.36) | 0.45 (0.10–2.09) |
| Duration of persistence/non-persistence (months) f | 0.98 (0.97–0.99) | 0.98 (0.97–0.99) | 1.02 (0.99–1.04) | 1.00 (0.99–1.01) | 1.00 (0.99–1.01) | 1.00 (0.97–1.03) |
5. Conclusions
Supplementary Materials
Author Contributions
Funding
Institutional Review Board Statement
Informed Consent Statement
Data Availability Statement
Conflicts of Interest
References
- Song, P.; Rudan, D.; Zhu, Y.; Fowkes, F.J.I.; Rahimi, K.; Fowkes, F.G.R.; Rahimi, K.; Fowkes, F.G.R.; Rudan, I. Global, Regional, and National Prevalence and Risk Factors for Peripheral Artery Disease in 2015: An Updated Systematic Review and Analysis. Lancet Glob. Health 2019, 7, e1020–e1030. [Google Scholar] [CrossRef] [PubMed]
- Fowkes, F.G.; Rudan, D.; Rudan, I.; Aboyans, V.; Denenberg, J.O.; McDermott, M.M.; Norman, P.E.; Sampson, U.K.; Williams, L.J.; Mensah, G.A.; et al. Comparison of Global Estimates of Prevalence and Risk Factors for Peripheral Artery Disease in 2000 and 2010: A Systematic Review and Analysis. Lancet 2013, 382, 1329–1340. [Google Scholar] [CrossRef] [PubMed]
- Bevan, G.H.; White Solaru, K.T. Evidence-Based Medical Management of Peripheral Artery Disease. Arterioscler. Thromb. Vasc. Biol. 2020, 40, 541–553. [Google Scholar] [CrossRef] [PubMed]
- Firnhaber, J.M.; Powell, C.S. Lower Extremity Peripheral Artery Disease: Diagnosis and Treatment. Am. Fam. Physician 2019, 99, 362–369. [Google Scholar] [PubMed]
- Shammas, N.W. Epidemiology, Classification, and Modifiable Risk Factors of Peripheral Arterial Disease. Vasc. Health Risk Manag. 2007, 3, 229–234. [Google Scholar] [CrossRef] [PubMed]
- Aboyans, V.; Ricco, J.B.; Bartelink, M.E.L.; Björck, M.; Brodmann, M.; Cohnert, T.; Collet, J.P.; Czerny, M.; De Carlo, M.; Debus, S.; et al. 2017 ESC Guidelines on the Diagnosis and Treatment of Peripheral Arterial Diseases, in Collaboration with the European Society for Vascular Surgery (ESVS): Document Covering Atherosclerotic Disease of Extracranial Carotid and Vertebral, Mesenteric, Renal, Upper and Lower Extremity Arteries. Eur. Heart J. 2018, 39, 763–816. [Google Scholar] [CrossRef] [PubMed]
- Gerhard-Herman, M.D.; Gornik, H.L.; Barrett, C.; Barshes, N.R.; Corriere, M.A.; Drachman, D.E.; Fleisher, L.A.; Fowkes, F.G.; Hamburg, N.M.; Kinlay, S.; et al. 2016 AHA/ACC Guideline on the Management of Patients with Lower Extremity Peripheral Artery Disease: A Report of the American College of Cardiology/American Heart Association Task Force on Clinical Practice Guidelines. Circulation 2017, 135, e726–e779. [Google Scholar] [CrossRef] [PubMed]
- Blaschke, T.F.; Osterberg, L.; Vrijens, B.; Urquhart, J. Adherence to medications: Insights arising from studies on the unreliable link between prescribed and actual drug dosing histories. Annu. Rev. Pharmacol. Toxicol. 2012, 52, 275–301. [Google Scholar] [CrossRef] [PubMed]
- De Geest, S.; Zullig, L.L.; Dunbar-Jacob, J.; Helmy, R.; Hughes, D.A.; Wilson, I.B.; Vrijens, B. ESPACOMP Medication Adherence Reporting Guideline (EMERGE). Ann. Intern. Med. 2018, 169, 30–35. [Google Scholar] [CrossRef] [PubMed]
- Vrijens, B.; De Geest, S.; Hughes, D.A.; Przemyslaw, K.; Demonceau, J.; Ruppar, T.; Dobbels, F.; Fargher, E.; Morrison, V.; Lewek, P.; et al. ABC Project Team. A New Taxonomy for Describing and Defining Adherence to Medications. Br. J. Clin. Pharmacol. 2012, 73, 691–705. [Google Scholar] [CrossRef] [PubMed]
- Vinogradova, Y.; Coupland, C.; Brindle, P.; Hippisley-Cox, J. Discontinuation and Restarting in Patients on Statin Treatment: Prospective Open Cohort Study Using a Primary Care Database. BMJ 2016, 353, i3305. [Google Scholar] [CrossRef] [PubMed]
- Wawruch, M.; Murin, J.; Tesar, T.; Paduchova, M.; Petrova, M.; Celovska, D.; Havelkova, B.; Trnka, M.; Masarykova, L.; Alfian, S.D.; et al. Gender Differences in Non-Persistence with Angiotensin-Converting Enzyme Inhibitors and Angiotensin Receptor Blockers among Older Hypertensive Patients with Peripheral Arterial Disease. Biomedicines 2022, 10, 1479. [Google Scholar] [CrossRef] [PubMed]
- Newman, S.C. Biostatistical Methods in Epidemiology; Wiley: Chichester, UK, 2001; p. 382. [Google Scholar]
- Si, S.; Ofori-Asenso, R.; Briffa, T.; Sanfilippo, F.M.; Ilomaki, J.; Qin, X.; Tacey, M.; Reid, C.M.; Liew, D. Long-term Persistence and Adherence to Blood Pressure Lowering Agents Among Older Australians. Pharmacoepidemiol. Drug Saf. 2019, 28, 788–795. [Google Scholar] [CrossRef] [PubMed]
- Alfian, S.D.; Denig, P.; Coelho, A.; Hak, E. Pharmacy-based Predictors of Non-adherence, Non-persistence and Reinitiation of Antihypertensive Drugs among Patients on Oral Diabetes Drugs in the Netherlands. PLoS ONE 2019, 14, e0225390. [Google Scholar] [CrossRef] [PubMed]
- van Wijk, B.L.; Avorn, J.; Solomon, D.H.; Klungel, O.H.; Heerdink, E.R.; de Boer, A.; Brookhart, A.M. Rates and Determinants of Reinitiating Antihypertensive Therapy after Prolonged Stoppage: A Population-based Study. J. Hypertens. 2007, 25, 689–697. [Google Scholar] [CrossRef] [PubMed]
- Mahmoudpour, S.H.; Asselbergs, F.W.; Souverein, P.C.; de Boer, A.; Maitland-van der Zee, A.H. Prescription Patterns of Angiotensin-converting Enzyme Inhibitors for Various Indications: A UK Population-based Study. Br. J. Clin. Pharmacol. 2018, 84, 2365–2372. [Google Scholar] [CrossRef] [PubMed]
- Williams, B.; Mancia, G.; Spiering, W.; Agabiti Rosei, E.; Azizi, M.; Burnier, M.; Clement, D.L.; Coca, A.; de Simone, G.; Dominiczak, A.; et al. 2018 ESC/ESH Guidelines for the Management of Arterial Hypertension: The Task Force for the Management of Arterial Hypertension of the European Society of Cardiology and the European Society of Hypertension. J. Hypertens. 2018, 36, 1953–2041. [Google Scholar] [CrossRef] [PubMed]
- Ibanez, B.; James, S.; Agewall, S.; Antunes, M.J.; Bucciarelli-Ducci, C.; Bueno, H.; Caforio, A.L.P.; Crea, F.; Goudevenos, J.A.; Halvorsen, S.; et al. 2017 ESC Guidelines for the Management of Acute Myocardial Infarction in Patients Presenting with ST-segment Elevation: The Task Force for the Management of Acute Myocardial Infarction in Patients Presenting with ST-segment Elevation of the European Society of Cardiology (ESC). Eur. Heart J. 2018, 39, 119–177. [Google Scholar] [CrossRef] [PubMed]
- Elliott, W.J.; Plauschinat, C.A.; Skrepnek, G.H.; Gause, D. Persistence, Adherence, and Risk of Discontinuation Associated with Commonly Prescribed Antihypertensive Drug Monotherapies. J. Am. Board Fam. Med. 2007, 20, 72–80. [Google Scholar] [CrossRef] [PubMed]
- Wogen, J.; Kreilick, C.A.; Livornese, R.C.; Yokoyama, K.; Frech, F. Patient Adherence with Amlodipine, Lisinopril, or Valsartan Therapy in a Usual-care Setting. J. Manag. Care Pharm. 2003, 9, 424–429. [Google Scholar] [CrossRef] [PubMed]

| Initially Non-Persistent (n = 1642) | Reinitiators (n = 875) | |||||
|---|---|---|---|---|---|---|
| Factor | Without Reinitiation (n = 767) | Reinitiators (n = 875) | p | Persistent (n = 461) | Non-Persistent (n = 414) | p |
| Socio-demographic characteristics | ||||||
| Age | 74.3 ± 6.4 | 73.9 ± 6.0 | 0.241 * | 74.0 ± 6.0 | 73.7 ± 6.0 | 0.482 * |
| Female sex | 465 (60.6) | 492 (56.2) | 0.071 | 260 (56.4) | 232 (56.0) | 0.915 |
| University education | 51 (6.6) | 66 (7.5) | 0.483 | 38 (8.2) | 28 (6.8) | 0.408 |
| Employed patients | 37 (4.8) | 46 (5.3) | 0.689 | 21 (4.6) | 25 (6.0) | 0.326 |
| History of CV eventsa | ||||||
| History of ischemic stroke | 206 (26.9) | 208 (23.8) | 0.151 | 159 (34.5) | 97 (23.4) | <0.001 |
| History of TIA | 90 (11.7) | 92 (10.5) | 0.432 | 70 (15.2) | 46 (11.1) | 0.076 |
| History of MI | 106 (13.8) | 87 (9.9) | 0.015 | 68 (14.8) | 52 (12.6) | 0.347 |
| CV events during non-persistence/the period of reinitiation | ||||||
| Ischemic stroke during non-persistence/the period of reinitiation | 80 (10.4) | 48 (5.5) | <0.001 | 31 (6.7) | 25 (6.0) | 0.679 |
| TIA during non-persistence/the period of reinitiation | 35 (4.6) | 26 (3.0) | 0.089 | 10 (2.2) | 5 (1.2) | 0.274 |
| MI during non-persistence/the period of reinitiation | 39 (5.1) | 33 (3.8) | 0.195 | 33 (7.2) | 6 (1.4) | <0.001 |
| Comorbid conditions | ||||||
| Number of comorbid conditions | 2.7 ± 1.6 | 2.5 ± 1.6 | 0.053 * | 2.5 ± 1.7 | 2.5 ± 1.6 | 0.613 * |
| Chronic heart failure | 54 (7.0) | 58 (6.6) | 0.741 | 34 (7.4) | 24 (5.8) | 0.349 |
| Atrial fibrillation | 95 (12.4) | 108 (12.3) | 0.979 | 54 (11.7) | 54 (13.0) | 0.550 |
| Diabetes mellitus | 298 (38.9) | 301 (34.4) | 0.061 | 160 (34.7) | 141 (34.1) | 0.840 |
| Hypercholesterolemia | 290 (37.8) | 317 (36.2) | 0.508 | 174 (37.7) | 143 (34.5) | 0.325 |
| Dementia | 41 (5.3) | 55 (6.3) | 0.418 | 30 (6.5) | 25 (6.0) | 0.775 |
| Depression | 94 (12.3) | 103 (11.8) | 0.763 | 55 (11.9) | 48 (11.6) | 0.877 |
| Anxiety disorders | 240 (31.3) | 255 (29.1) | 0.344 | 128 (27.8) | 127 (30.7) | 0.344 |
| Parkinson’s disease | 25 (3.3) | 41 (4.7) | 0.142 | 19 (4.1) | 22 (5.3) | 0.405 |
| Epilepsy | 17 (2.2) | 28 (3.2) | 0.223 | 14 (3.0) | 14 (3.4) | 0.772 |
| Bronchial asthma/COPD | 169 (22.0) | 160 (18.3) | 0.058 | 74 (16.1) | 86 (20.8) | 0.071 |
| ACEI/ARB-related characteristics | ||||||
| ACEI/ARB agent b | ||||||
| Perindopril | 355 (46.3) | 408 (46.6) | 0.379 | 250 (54.2) | 224 (54.1) | 0.858 |
| Lisinopril | 44 (5.7) | 41 (4.7) | 9 (2.0) | 14 (3.4) | ||
| Ramipril | 113 (14.7) | 133 (15.2) | 71 (15.4) | 55 (13.3) | ||
| Enalapril | 7 (0.9) | 4 (0.5) | 0 (0.0) | 2 (0.5) | ||
| Spirapril | 1 (0.1) | 1 (0.1) | 1 (0.2) | 1 (0.2) | ||
| Trandolapril | 119 (15.5) | 123 (14.1) | 76 (16.5) | 69 (16.7) | ||
| Quinapril | 43 (5.6) | 63 (7.2) | 26 (5.6) | 18 (4.3) | ||
| Imidapril | 13 (1.7) | 12 (1.4) | 2 (0.4) | 3 (0.7) | ||
| Fosinopril | 13 (1.7) | 5 (0.6) | 2 (0.4) | 2 (0.5) | ||
| Valsartan | 24 (3.1) | 33 (3.8) | 9 (2.0) | 11 (2.7) | ||
| Losartan | 11 (1.4) | 19 (2.2) | 6 (1.3) | 6 (1.4) | ||
| Telmisartan | 10 (1.3) | 18 (2.1) | 5 (1.1) | 7 (1.7) | ||
| Candesartan | 12 (1.6) | 10 (1.1) | 1 (0.2) | 0 (0.0) | ||
| Irbesartan | 2 (0.3) | 5 (0.6) | 3 (0.7) | 2 (0.5) | ||
| Patient´s co-payment (EUR) c | 3.1 ± 2.8 | 3.0 ± 2.6 | 0.340 * | 2.9 ± 2.4 | 3.1 ± 2.4 | 0.172 * |
| New ACEI/ARB agent user d | 70 (9.1) | 121 (13.8) | 0.003 | 57 (12.4) | 64 (15.5) | 0.186 |
| General practitioner as index prescriber | 593 (77.3) | 660 (75.4) | 0.370 | 357 (77.4) | 303 (73.2) | 0.145 |
| CV co-medication | ||||||
| Number of medications | 7.7 ± 2.8 | 7.4 ± 3.0 | 0.044 * | 7.6 ± 2.9 | 7.2 ± 3.1 | 0.028 * |
| Number of CV medications | 4.7 ± 2.2 | 4.5 ± 2.2 | 0.042 * | 4.6 ± 2.2 | 4.5 ± 2.2 | 0.207 * |
| Antiplatelet agents | 550 (71.7) | 596 (68.1) | 0.114 | 322 (69.8) | 274 (66.2) | 0.246 |
| Anticoagulants | 189 (24.6) | 195 (22.3) | 0.261 | 106 (23.0) | 89 (21.5) | 0.596 |
| Cardiac glycosides | 59 (7.7) | 49 (5.6) | 0.088 | 25 (5.4) | 24 (5.8) | 0.810 |
| Antiarrhythmic agents | 52 (6.8) | 60 (6.9) | 0.950 | 26 (5.6) | 34 (8.2) | 0.133 |
| Beta-blockers | 129 (16.8) | 158 (18.1) | 0.510 | 90 (19.5) | 68 (16.4) | 0.234 |
| Thiazide diuretics | 145 (18.9) | 163 (18.6) | 0.886 | 87 (18.9) | 76 (18.4) | 0.845 |
| Loop diuretics | 163 (21.3) | 155 (17.7) | 0.070 | 91 (19.7) | 64 (15.5) | 0.098 |
| Mineralocorticoid receptor antagonists | 56 (7.3) | 50 (5.7) | 0.192 | 32 (6.9) | 18 (4.3) | 0.099 |
| Calcium channel blockers | 210 (27.4) | 216 (24.7) | 0.214 | 117 (25.4) | 99 (23.9) | 0.615 |
| Statins | 543 (70.8) | 650 (74.3) | 0.113 | 362 (78.5) | 288 (69.6) | 0.002 |
| Lipid-lowering agents other than statins e | 78 (10.2) | 73 (8.3) | 0.201 | 38 (8.2) | 35 (8.5) | 0.910 |
| Duration of persistence/non-persistence (months) f | 25.4 ± 16.1 | 15.5 ± 13.7 | <0.001 * | 17.3 ± 13.1 | 15.0 ± 9.5 | 0.485 * |
Disclaimer/Publisher’s Note: The statements, opinions and data contained in all publications are solely those of the individual author(s) and contributor(s) and not of MDPI and/or the editor(s). MDPI and/or the editor(s) disclaim responsibility for any injury to people or property resulting from any ideas, methods, instructions or products referred to in the content. |
© 2023 by the authors. Licensee MDPI, Basel, Switzerland. This article is an open access article distributed under the terms and conditions of the Creative Commons Attribution (CC BY) license (https://creativecommons.org/licenses/by/4.0/).
Share and Cite
Wawruch, M.; Murin, J.; Tesar, T.; Petrova, M.; Paduchova, M.; Celovska, D.; Havelkova, B.; Trnka, M.; Masarykova, L.; Alfian, S.D.; et al. Reinitiation and Subsequent Discontinuation of Angiotensin-Converting Enzyme Inhibitors and Angiotensin Receptor Blockers among New and Prevalent Users Aged 65 Years or More with Peripheral Arterial Disease. Biomedicines 2023, 11, 368. https://doi.org/10.3390/biomedicines11020368
Wawruch M, Murin J, Tesar T, Petrova M, Paduchova M, Celovska D, Havelkova B, Trnka M, Masarykova L, Alfian SD, et al. Reinitiation and Subsequent Discontinuation of Angiotensin-Converting Enzyme Inhibitors and Angiotensin Receptor Blockers among New and Prevalent Users Aged 65 Years or More with Peripheral Arterial Disease. Biomedicines. 2023; 11(2):368. https://doi.org/10.3390/biomedicines11020368
Chicago/Turabian StyleWawruch, Martin, Jan Murin, Tomas Tesar, Miriam Petrova, Martina Paduchova, Denisa Celovska, Beata Havelkova, Michal Trnka, Lucia Masarykova, Sofa D. Alfian, and et al. 2023. "Reinitiation and Subsequent Discontinuation of Angiotensin-Converting Enzyme Inhibitors and Angiotensin Receptor Blockers among New and Prevalent Users Aged 65 Years or More with Peripheral Arterial Disease" Biomedicines 11, no. 2: 368. https://doi.org/10.3390/biomedicines11020368
APA StyleWawruch, M., Murin, J., Tesar, T., Petrova, M., Paduchova, M., Celovska, D., Havelkova, B., Trnka, M., Masarykova, L., Alfian, S. D., & Aarnio, E. (2023). Reinitiation and Subsequent Discontinuation of Angiotensin-Converting Enzyme Inhibitors and Angiotensin Receptor Blockers among New and Prevalent Users Aged 65 Years or More with Peripheral Arterial Disease. Biomedicines, 11(2), 368. https://doi.org/10.3390/biomedicines11020368

