Abstract
Excessive levels of Pb2+ and Cd2+ in seawater pose significant combined toxicity to marine organisms, resulting in harmful effects and further threatening human health through biomagnification in the food chain. Traditional methods for detecting marine Pb2+ and Cd2+ rely on laboratory analyses, which are hindered by limitations such as sample degradation during transport and complex operational procedures. In this study, we present an electrochemical sensor based on intelligent mobile detection devices. By combining G-COOH-MWCNTs/ZnO with differential pulse voltammetry, the sensor enables the efficient, simultaneous detection of Pb2+ and Cd2+ in seawater. The G-COOH-MWCNTs/ZnO composite film is prepared via drop-coating and is applied to a glassy carbon electrode. The film is characterized using cyclic voltammetry, electrochemical impedance spectroscopy, and scanning electron microscopy, while Pb2+ and Cd2+ are quantified using differential pulse voltammetry. Using a 0.1 mol/L sodium acetate buffer (pH 5.5), a deposition potential of −1.1 V, and an accumulation time of 300 s, a strong linear correlation was observed between the peak response currents of Pb2+ and Cd2+ and their concentrations in the range of 25–450 µg/L. The detection limits were 0.535 µg/L for Pb2+ and 0.354 µg/L for Cd2+. The sensor was applied for the analysis of seawater samples from Maowei Sea, achieving recovery rates for Pb2+ ranging from 97.7% to 103%, and for Cd2+ from 97% to 106.1%. These results demonstrate that the sensor exhibits high sensitivity and stability, offering a reliable solution for the on-site monitoring of heavy metal contamination in marine environments.
1. Introduction
The ocean is a vital component of the Earth’s ecosystem [1]. In recent years, human activities, such as industrial wastewater discharge, mining, and the combustion of fossil fuels, have led to severe heavy metal pollution in marine environments, with Pb2+ and Cd2+ being particularly problematic due to their persistence and synergistic toxic effects [2,3]. These metals cannot be readily degraded in natural environments, but instead undergo transformations, such as adsorption, precipitation, and bioaccumulation, posing long-term ecological risks [4]. Pb2+ and Cd2+ exhibit significant combined toxicity, with their synergistic mechanism primarily attributed to cooperative interactions [5,6]. Both metals interfere with marine organisms’ respiration and osmotic pressure regulation [7], severely inhibiting growth and increasing the risk of developmental deformities [8,9]. Once released into aquatic systems, they tend to adsorb onto sediments and organic matter, but changes in pH or redox conditions may trigger their re-release, perpetuating contamination. Additionally, their bioaccumulation across trophic levels—such as in fish, shellfish, and plankton—facilitates their entry into the human food chain [10,11]. Upon human exposure, Pb2+ and Cd2+ induce gastrointestinal irritation, metabolic dysfunction, and liver damage [12,13,14]. Moreover, their synergistic neurotoxicity allows them to cross the blood–brain barrier, disrupting neurotransmitter metabolism (e.g., acetylcholine imbalance) and impairing neural signaling [15]. According to China’s seawater quality standards (GB 3097–1997), Maowei Sea is classified as a Category II marine area, and the wastewater discharge must meet the standards of Pb ≤ 5 µg/L and Cd ≤ 0.5 µg/L [16]; developing a robust sensor for simultaneous Pb2+ and Cd2+ detection in marine environments is crucial for pollution monitoring and risk mitigation.
Traditional detection techniques, such as atomic absorption spectroscopy (AAS), atomic fluorescence spectroscopy (AFS), and ultraviolet visible spectrophotometry (UV-Vis) [17], each offer distinct advantages but exhibit notable limitations in marine environmental monitoring. For example, AAS suffers from low efficiency in single-element detection and requires specialized equipment; AFS is constrained by the fluorescence characteristics of specific elements; and UV-Vis spectroscopy faces challenges regarding sensitivity and selectivity. Moreover, these laboratory-based analytical methods share common drawbacks, including the need for sophisticated instrumentation and high operator expertise. In contrast, electrochemical techniques offer several advantages, such as simple instrumentation, low cost, excellent selectivity, and the capability for rapid response, making them particularly suitable for the on-site and real-time detection of Pb2+ and Cd2+ [18].
Over the past few years, scientists have developed various electrochemical sensors based on different functional materials. The Shaohua Hu team developed composite materials based on the principle of bismuth oxychloride for the detection of Cd2+ and Pb2+, showing detection limits of 0.87 μg/L and 0.74 μg/L, respectively [19]. The Jadranka Milikić team first synthesized composite materials using different MOF−5 and PANI weight ratios in conductive (ES) or non-conductive (EB) forms for the detection of Cd2+ and Pb2+. The MOF−5/EB−1 electrode demonstrated detection limits of 77 μg/L for Cd2+ and 33 μg/L for Pb2+ [20]. The Shuai Hu team modified a glassy carbon electrode (GCE) with Bi@ZIF−8/CMWCNTs, achieving detection limits of 0.76 μg/L for Pb2+ and 0.87 μg/L for Cd2+ in the range of 2.0–50.0 μg/L [21]. The Liqiang Luo team developed a hybrid electrode based on bismuth–carbon montmorillonite for the simultaneous detection of Cd2+ and Pb2+, with detection limits of 0.20 μg/L for Pb2+ and 0.35 μg/L for Cd2+ [22]. The Dongyue Li team constructed a bismuth membrane-modified graphene nanofiber–nafion composite glassy carbon electrode (BiF/GNFs-NA/GCE) with detection limits of 0.09 μg/L for Cd2+ and 0.02 μg/L for Pb2+ [23]. Despite significant advancements in Pb2+ and Cd2+ detection using electrochemical sensors, the existing electrochemical sensors often require pairing with dedicated electrochemical workstations, which are bulky and consume a high amount of power, posing inherent limitations in terms of size and power consumption.
This study constructed a sensor based on a G-COOH-MWCNTs/ZnO composite-modified electrode. Its advantages are mainly reflected in the following two aspects: (1) Material Synergistic Effect: The high electron transport capability of the graphene framework [24], the increased specific surface area and active site enrichment of carboxylated multiwalled carbon nanotubes [25,26], and the dispersion control and agglomeration inhibition properties of ZnO nanoparticles [27,28,29,30] synergistically achieved high sensitivity for the detection of Pb2+ and Cd2+. (2) System Integration Innovation: By integrating a portable intelligent detection system, the limitations of time and space in traditional laboratory testing were overcome. This system not only eliminates the risk of sample degradation during transportation, but also enables the real-time, on-site monitoring of heavy metal pollution in seawater, offering an appropriate technological solution for marine environmental management. The sensor significantly enhances detection performance through the multi-level synergistic effects of nanomaterials, while the construction of an intelligent mobile detection platform further replaces the complex operational processes of traditional DPV equipment. It offers an innovative solution integrating efficiency, convenience, and practicality for heavy metal pollution prevention and control.

2. Experimental Section
2.1. Equipment and Reagents
The experiments were conducted using a CHI830D (Shanghai Chen Hua Instrument Co., Ltd. (Shanghai, China)) electrochemical workstation, equipped with a standard three-electrode system, including a 3 mm GCE, a platinum wire as the auxiliary electrode, and an Ag/AgCl electrode as the reference. The CHI830D workstation offers a high scan rate of 100 mV/s and a maximum sampling rate of 300 Hz, making it suitable for DPV measurements. The electronic balance was provided by Shanghai Lichen Instruments Technology Co., Ltd. (Shanghai, China); the electric heating drying oven was from Zhejiang Lichen Instruments Technology Co., Ltd. (Shaoxing, China); the ultrasonic cleaner came from Shenzhen Jie Meng Cleaning Equipment Co., Ltd. (Shenzhen, China); and the scanning electron microscope (SEM) was from Sigma HD-type. The electrochemical detection system for intelligent mobile devices was used for DPV testing.
The intelligent mobile electrochemical detection system consisted of a wireless potentiostat as the lower computer and an Android-based smart mobile device as the upper computer. This system integrates multiple functions, including Bluetooth-controlled potentiostat operation, data preprocessing, curve fitting, curve visualization, peak display, and manual peak calibration. It is capable of performing both CV and DPV measurements.
The reagents used in the experiment included graphitized, carboxylated, multiwalled carbon nanotubes (G-COOH-MWCNTs, purity > 99%) and zinc oxide (ZnO, purity > 99%) from Shanghai Maiklin Biochemical Technology Co., Ltd. (Shanghai, China), and Pb2+ and Cd2+ standard solutions (1000 µg/mL) from the National Non-ferrous Metal and Electronic Analysis and Testing Center. Buffer solutions including HAc-NaAc (0.1 mol/L), KCl, PBS, dimethylformamide (DMF), and K3[Fe(CN)6] were obtained from Shanghai Aladdin Biochemical Technology Co., Ltd. (Shanghai, China).
2.2. Preparation of G-COOH-MWCNTs/ZnO-Modified Electrodes
The 3.0 mm GCE was polished with Al2O3 powders (1.0, 0.3, and 0.5 μm) using a figure-of-eight motion. After polishing, the electrode was sonicated in ultrapure water for approximately 3 min to eliminate any remaining Al2O3 particles adhering to the surface. This sonication step was crucial for removing any abrasive residues that could interfere with the electrochemical analysis. Subsequently, in a 0.1 mol/L sulfuric acid solution, cyclic voltammetry was performed with a potential range from −1 to 1 V, a scan rate of 100 mV/s, and 20 cycles, until the curves completely overlapped. After activation, the electrode was thoroughly rinsed with ultrapure water to remove residual acid, dried, and stored for future use. Activation in an acidic solution is an essential step to enhance the electrochemical properties of the GCE, removing organic contaminants and improving surface reactivity by promoting the formation of surface-active sites.
The G-COOH-MWCNTs/ZnO composite solution was prepared by dispersing 3.5 mg of G-COOH-MWCNTs and 0.8 mg of ZnO nanoparticles in 5 mL of dimethylformamide (DMF), followed by ultrasonication for 3 h to ensure complete dispersion. The GCE surface modification was then performed via a drop-coating technique, wherein 5 μL of the uniformly dispersed composite suspension was carefully drop-cast onto the pretreated GCE surface using a precision microsyringe. Subsequently, the modified electrode was placed in a temperature-controlled drying oven at 28 °C until complete solvent evaporation was achieved.
2.3. Pretreatment of Water Sample Handling
To assess trace metal contamination, water samples were collected from multiple sites across the Maowei Sea, allowed to stand for three days to settle particulate matter, filtered through a 0.45 µm membrane to target dissolved Pb2+ and Cd2+, and analyzed using a multi-point standard addition method with 0.1 mol/L of HAc-NaAc buffer (1:1 v/v) to stabilize ionic strength and pH. To ensure analytical accuracy, all seawater samples were immediately preserved after collection following standard protocols. Preserved samples were stored at 4 °C in the dark.
2.4. Electrochemical Detection
Standard Pb2+ and Cd2+ solutions were diluted to different concentrations and introduced into a 0.1 mol/L HAc-NaAc-supporting electrolyte (pH 5.5). A three-electrode system was employed for detection: the working electrode was a GCE modified with G-COOH-MWCNTs/ZnO, the counter electrode was a platinum wire electrode, and the reference electrode was a silver/silver chloride electrode. Constant potential (i-t) deposition was performed under stirring conditions, with the deposition potential set at −1.1 V and a deposition time of 300 s. The stirring was stopped after the deposition ended. The DPV (100 mV/s scan rate, 0.05 V pulse amplitude, 2 s quiet time, −1.1 V deposition potential, and 300 s deposition time) scan voltage ranged from −0.95 V to −0.2 V. The peak current was directly proportional to the target ion concentration. A linear regression equation was established using the standard curve, and the detection limit was calculated accordingly.
2.5. Data Treatment
In this study, all experimental data were obtained based on three independent replicate measurements (n = 3) to ensure statistical reliability and experimental reproducibility of the results. We used Equations (1) and (2) to calculate the detection limit, with the specific equations expressed as follows:
In Equations (1) and (2), SD is the standard deviation, n is the number of parallel measurements of the blank sample, I0i is the signal value of the blank sample, and K is the slope of the linear equation.
3. Results and Discussion
3.1. Morphological Characterization of Modified Electrodes
SEM images revealed the morphology of G-COOH-MWCNTs, ZnO, and the G-COOH-MWCNTs/ZnO composite material. Figure 1a shows the SEM image of G-COOH-MWCNTs at a magnification of 100 kx, where the tubular structures of G-COOH-MWCNTs are observed to be densely entangled. In Figure 1b, ZnO exhibits a nanoparticle and sheet-like morphology, with some degree of particle aggregation observed between the individual particles. Figure 1c,d show the morphological characterization of the G-COOH-MWCNTs/ZnO composite material, where ZnO particles are embedded within the G-COOH-MWCNTs structure, forming a composite microstructure.
Figure 1.
(a) SEM MAX = 100 kx G-COOH-MWCNTs. (b) SEM MAX = 100 kx ZnO. (c) SEM MAX = 100 kx G-COOH-MWCNTs/ZnO. (d) SEM MAX = 150 kx G-COOH-MWCNTs/ZnO.
3.2. The Effect of Different Ratio Materials
To verify the contributions of each component, we prepared composites with different ratios (G-COOH-MWCNTs:ZnO = 4:1, 3:1, and 2:1). As shown in Figure 2, the experimental results demonstrate that the optimal response was achieved at a ratio of 4:1. The higher content of G-COOH-MWCNTs likely contributes to enhanced adsorption capacity, conductivity, and larger specific surface area, facilitating the enrichment of heavy metal ions and electron transfer, thereby improving sensitivity.
Figure 2.
(a) Peak current responses of lead and cadmium for different ratios. (b) Different ratios (4:1, 3:1, 2:1) of G-COOH-MWCNTs/ZnO composite materials detect the peak currents of lead and cadmium. Conditions: 100 μg/L of lead and cadmium, deposition potential: −1.1 V, deposition time: 300 s (vs. Ag/AgCl), and 0.1 mol/L HAc-NaAc (pH 5.5).
3.3. Effect of Film Thickness
The corresponding peak current responses are illustrated in Figure 3a. As depicted in Figure 3b, the peak current exhibits a steady increase with increasing film thickness and reaches its maximum at 5 μm. However, when the film thickness was further increased to 6 μm, a noticeable decline in the peak current was observed.
Figure 3.
(a) Peak current responses of lead and cadmium (both at 250 μg/L) for different film thicknesses. (b) Plot of peak current versus film thickness. Conditions: 250 μg/L of lead and cadmium, deposition potential: −1.1 V, deposition time: 300 s (vs. Ag/AgCl), and 0.1 mol/L HAc-NaAc (pH 5.5).
This phenomenon can be attributed to the uneven distribution of active components within thinner films, leading to inefficient electrochemical reactions on the electrode surface and, consequently, lowering peak currents. In contrast, with increasing film thickness, excessive proton transport pathways may hinder the transmission of Pb2+ and Cd2+. Additionally, the limited adsorption capacity hinders electron transfer, thereby restricting redox activity on the electrode surface and leading to a decrease in peak current. All subsequent optimizations (pH, deposition time, etc.) were conducted using the identified optimal thickness.
3.4. Electrochemical Characterization of Modified Electrodes
The electrochemical reaction process of the electrode can be categorized into surface-controlled and diffusion-controlled processes. As shown in Figure 4a, the peak current gradually increases with the increase in the scan rate. Figure 4b further demonstrates that the peak current exhibits a linear relationship with the square root of the scan rate, indicating that the electron transfer process at the G-COOH-MWCNTs/ZnO/GCE-modified electrode is governed by diffusion control.
Figure 4.
(a) Cyclic voltammograms of G-COOH-MWCNTs/ZnO/GCE in 5 mM [Fe(CN)6]3−/4− with 0.1 M KCl at varied scan rates (30–140 mV/s). (b) Relationship between anodic and cathodic peak currents and the square root of the scan rate.
As the electrode reaction was confirmed to be diffusion-controlled (Figure 4), the Randles–Sevcik equation was subsequently applied to calculate the effective electrode surface area. The Randles–Sevcik (RS) equation, based on the diffusion-controlled electrode reaction theory in electrochemistry, defines the correlation between peak current and analyte concentration. Assuming the electrode reaction is a reversible single-electron transfer process, and the concentration distribution of the electroactive species is only influenced by diffusion (neglecting factors such as convection and electromigration), the RS equation can be derived from Fick’s law of diffusion and the Butler–Volmer electrode kinetics equation. Based on the RS equation, the effective surface areas of GCE, G-COOH-MWCNTs/GCE, and G-COOH-MWCNTs/ZnO/GCE were determined as 0.064 cm2, 0.132 cm2, and 0.232 cm2, respectively. These results indicate that the G-COOH-MWCNTs/ZnO/GCE composite-modified electrode accelerates the electron transfer rate on the electrode surface and exhibits excellent conductivity. The RS equation is as follows:
When calculating the active surface area, Ip represents the peak current; n denotes the number of electrons transferred from [Fe(CN)6]3− to [Fe(CN)6]4−, meaning n = 1; C is the electrolyte concentration, which is 5 mM in this study; v represents the scan rate, set as 0.1 V/s here; and D is the diffusion coefficient, which is 6.70 × 10−6 cm2/s at 25 °C.
Figure 5a shows the impedance spectra for bare GCE,ZnO/GCE,G-COOH-MWCNTs/GCE and G-COOH-MWCNTs/ZnO/GCE. As shown in Figure 5a, the G-COOH-MWCNTs/ZnO/GCE-modified electrode exhibits the smallest arc, indicating superior electron conductivity and a larger surface area that facilitates electron transfer compared to GCE, ZnO/GCE, and G-COOH-MWCNTs/GCE.
Figure 5.
(a) Electrochemical impedance spectroscopy of G-COOH-MWCNTs/ZnO/GCE, G-COOH-MWCNTs/GCE, ZnO/GCE, and GCE in 5 mM [Fe(CN)6]3−/4− + 0.1 M KCl (frequency range: 0.1 Hz–100 kHz, amplitude: 5 mV, and open circuit potential). (b) Cyclic voltammograms of different electrodes in 5 mM [Fe(CN)6]3−/4− + 0.1 M KCl (scan rate: 0.1 V/s).
G-COOH-MWCNTs significantly enhance the electrode’s effective surface area through their tubular structure and high aspect ratio, while graphene layers improve conductivity via π-electron overlap. The hydroxyl and carboxyl groups boost stability, dispersion, and adsorption efficiency. When combined with ZnO, a semiconductor with high catalytic activity [31], the composite reconstructs the conductive network. ZnO’s high specific surface area facilitates intimate interface contact with G-COOH-MWCNTs, synergistically enhancing electron transport and electrochemical performance. As shown in Figure 5b, the G-COOH-MWCNTs/ZnO/GCE system exhibits the strongest voltammetric current response, confirming the composite’s synergistic effect.
3.5. Comparison of Detection Performance Among Different Modified Electrodes
As illustrated in Figure 6a, the electrochemical response of the GCE is relatively low, which can be attributed to its limited density of electroactive sites and poor catalytic activity. The smooth surface of the unmodified GCE offers a minimal adsorption capacity for metal ions, resulting in weak preconcentration efficiency and suboptimal charge transfer kinetics. Consequently, the stripping peak current observed during the electrochemical detection of Pb2+ and Cd2+ remains relatively low, limiting the electrode’s sensitivity for trace metal ion detection.
Figure 6.
(a) Differential pulse voltammograms of lead and cadmium. (b) Line chart of measurements obtained with different modified electrodes. Conditions: 150 μg/L of lead and cadmium; deposition: −1.1 V (vs. Ag/AgCl, 300 s).
GCE was modified with G-COOH-MWCNTs, leading to a significant enhancement in the current response. This improvement can be attributed to the distinctive physicochemical properties of G-COOH-MWCNTs, which exhibit a remarkably high specific surface area, excellent electrical conductivity, and robust mechanical stability. The large surface area of G-COOH-MWCNTs increases the density of electroactive sites available for metal ion adsorption, thereby enhancing the preconcentration efficiency of target analytes. Furthermore, the superior electrical conductivity of G-COOH-MWCNTs facilitates efficient charge transfer, contributing to an overall improvement in electrochemical performance. As a result, the modified electrode exhibits a significantly increased stripping peak current, demonstrating its potential for highly sensitive electrochemical detection.
The significantly enhanced current response of the G-COOH-MWCNTs/ZnO/GCE electrode in Cd2 and Pb2+ detection (Figure 6b) clearly demonstrates the synergistic effect between ZnO nanoparticles and carboxyl-functionalized carbon nanotubes. This superior electrochemical performance stems from two complementary mechanisms: (1) ZnO nanoparticles introduce abundant active sites for Cd2+ and Pb2+ adsorption while facilitating charge transfer through their intrinsic redox activity, and (2) the uniform dispersion of ZnO on G-COOH-MWCNTs creates an interconnected conductive network that dramatically improves electron mobility. The resulting composite electrode exhibits remarkably accelerated redox kinetics for Pb2+ reduction compared to its individual components, highlighting the critical role of interfacial electronic interactions in optimizing electrocatalytic performance.
3.6. Optimization of Electrochemical Detection Conditions
3.6.1. Effect of Buffer Solution and pH
Three representative buffer systems were comparatively investigated: (i) 0.1 mol/L KCl; (ii) 0.1 mol/L HAc-NaAc; and (iii) phosphate-buffered saline (PBS), all adjusted to pH 5.5 ± 0.1 using a calibrated pH meter (Leici PHS−25) and spiked with 100 µg/L Pb2+ and Cd2+ standard solutions. As shown in Figure 7a, the highest peak current can be observed in the HAc-NaAc buffer solution, which contained a weak acid and a conjugate base, providing a stable pH environment conducive to the electrochemical detection of Pb2+ and Cd2+. The enhanced response in the HAc-NaAc solution can be attributed to the optimal interaction between the metal ions and the electrode surface, as well as the buffer’s ability to maintain a consistent pH during the accumulation and stripping steps. Therefore, HAc-NaAc was chosen as the optimal electrolyte to ensure stable and reliable electrochemical measurements.
Figure 7.
(a) Peak currents in different buffer solutions. (b) Effect of pH on peak currents. Conditions: 100 μg/L of lead and cadmium; deposition potential: −1.2 V (vs. Ag/AgCl, 300 s).
During the experimental optimization process, we systematically investigated the effect of pH 2–6 on the detection signals of 100 µg/L Cd2+ and Pb2+. As shown in Figure 7b, the results indicate that as the pH increases from 2 to 5.5, the peak currents of Cd2+ and Pb2+ exhibit a significant upward trend. This phenomenon is primarily attributed to the fact that, under highly acidic conditions, the carboxyl groups (–COOH) on the G-COOH-MWCNTs surface are prone to protonation, thereby reducing their binding capacity with metal ions. As the pH approached the near-neutral range, the carboxyl groups gradually deprotonated, leading to an increase in the peak current. However, when the pH exceeded 5.5, the detection signals sharply declined due to the formation of metal hydroxide complexes, which hindered the accumulation of Cd2+ and Pb2+ on the electrode surface. Based on considerations of signal intensity and stability, pH 5.5 was ultimately selected as the optimal detection condition.
3.6.2. Effect of Deposition Potential and Deposition Time
As illustrated in Figure 8a, the peak currents of Pb2+ and Cd2+ exhibit a substantial increase as the deposition time extends from 100 s to 400 s. This trend can be attributed to the prolonged accumulation of metal ions onto the modified electrode surface, leading to enhanced preconcentration and, consequently, an increased electrochemical signal. However, when the deposition time exceeds 300 s, a decline in the peak current can be observed. The subsequent decrease in the peak current at longer deposition times is likely due to the saturation of active sites on the electrode surface, limiting further ion adsorption. Additionally, prolonged deposition may lead to increased background noise and signal instability, reducing the overall detection sensitivity. As depicted in Figure 8b, the highest peak current was recorded at 300 s, indicating that this duration allows for an optimal balance between ion accumulation and potential saturation effects. Consequently, a deposition time of 300 s was identified as the optimal parameter, striking a balance between maximizing the electrochemical response and ensuring reliable measurement accuracy.
Figure 8.
(a) Effect of different deposition times on the peak current responses of lead and cadmium (100 μg/L each). (b) Plot of peak current versus deposition time. Conditions: 100 μg/L of lead and cadmium; deposition potential: −1.1 V (vs. Ag/AgCl), 0.1 mol/L HAc-NaAc (pH 5.5).
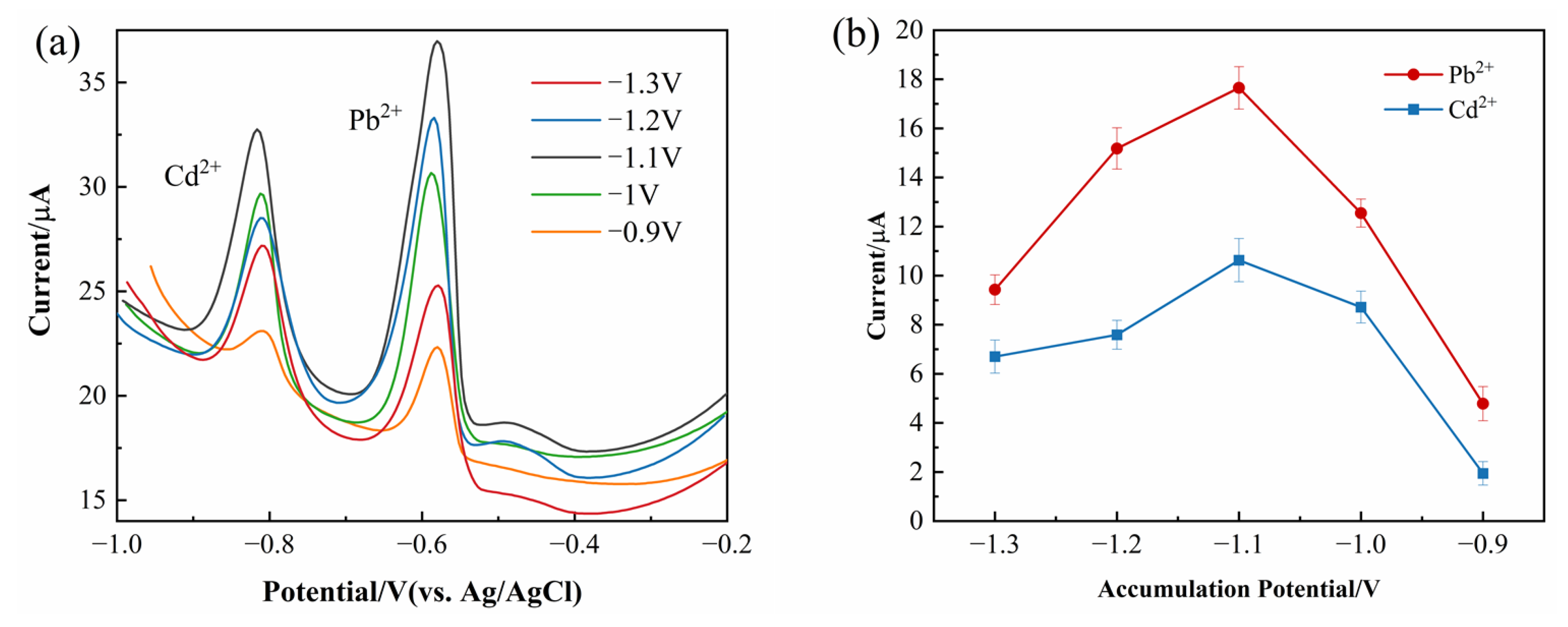
In addition to the deposition time, the selection of an appropriate deposition potential is a critical factor in optimizing the sensitivity of the electrochemical detection system. Figure 9a presents the effect of varying deposition potentials on the peak current response of Pb2+ and Cd2+. As shown in Figure 9b, the peak current increased significantly within the potential range from −0.9 V to −1.1 V, reaching its maximum at −1.1 V. This trend suggests that more metal ions were successfully reduced and accumulated on the electrode surface within this potential range, leading to an enhanced stripping response. When the deposition potential was adjusted to values more negative than −1.1 V, a noticeable decrease in the peak current was recorded. This reduction can be primarily attributed to the onset of the hydrogen evolution reaction (HER) at highly negative potentials [32], which results in the formation of gas bubbles on the electrode surface. The presence of these bubbles disrupts the uniform deposition of Pb2+ and Cd2+, reducing the effective electrode area and hindering ion accumulation. As the stripping peak currents for Pb2+ and Cd2+ reached their maximum at −1.1 V, this potential was determined to be the most effective for facilitating metal ion deposition. The selection of −1.1 V as the optimal deposition potential ensures enhanced sensitivity and accuracy in subsequent electrochemical analyses by maximizing ion accumulation while minimizing potential interference from competing reactions.
Figure 9.
(a) Effect of different deposition potentials on the peak current responses of lead and cadmium. (b) Plot of peak current versus deposition potential. Conditions: 100 μg/L of lead and cadmium; deposition time: 300 s (vs. Ag/AgCl), 0.1 mol/L HAc-NaAc (pH 5.5).
3.6.3. Simultaneous Detection of Heavy Metal Ions
The characteristic DPV peaks of Cd2+ and Pb2+ were determined through experimental measurements combined with the electrochemical theory. In the experiments, by recording the voltage changes and current responses of the electrode, distinct DPV peaks for Cd2+ at −0.8 V and for Pb2+ at −0.65 V were observed. The assignment of these peak potentials is based on the redox properties of the ions and their reaction kinetics at the electrode surface. The specific peak potentials for Cd2+ and Pb2+ arise from their different standard reduction potentials in the electrochemical system. Since Cd2+ exhibits a higher redox potential, its DPV peak appears at a more positive potential, while Pb2+, having a lower redox potential, shows its peak at a more negative potential.
Figure 10a illustrates the relationship between the stripping peak current and concentration, while Figure 10b presents the linear regression equations for Pb2+ and Cd2+. The linear regression equation for Pb2+ is Y = 0.15303X − 2.8715 with a correlation coefficient of 0.99977, while that for Cd2+ is Y = 0.10136X − 2.478 with a correlation coefficient of 0.9988. The LODs for Pb2+ and Cd2+ were determined to be as low as 0.354 μg/L and 0.535 μg/L, respectively.
Figure 10.
(a) Differential pulse stripping voltammograms of G-COOH-MWCNTs/ZnO/GCE on the dissolution of lead and cadmium at different concentrations (25–450 μg/L). (b) Linear regression curves for lead and cadmium. Conditions: deposition potential: −1.1 V, deposition time: 300 s (vs. Ag/AgCl), and 0.1 mol/L HAc-NaAc (pH 5.5).
3.7. Sensitivity Analysis
To further evaluate the detection performance of Pb2+ and Cd2+ electrodes, a comparative study of different electrodes was conducted. As shown in Table 1, the developed G-COOH-MWCNTs/ZnO/GCE electrode was found to exhibit satisfactory comparability.
Table 1.
Comparison of different electrodes for Pb2+ and Cd2+ detection.
3.8. Anti-Interference and Repeatability
To further evaluate the detection capability and specificity of the G-COOH-MWCNTs/ZnO/GCE electrode, the influence of potential interfering ions on its performance was systematically investigated. This interference study is critical for assessing the electrode’s selectivity and reliability in complex sample matrices, where other metal ions commonly coexist with Pb2+ and Cd2+ and may compromise analytical accuracy. In this experiment, Cr6+, Mn2+, Cu2+, and Zn2+ ions were selected due to their frequent occurrence in environmental and industrial water samples. Each interfering ion was introduced at a 150-fold molar excess relative to the target analytes.
The DPV of Pb2+ and Cd2+ in the presence of these interfering ions are shown in Figure 11a. The results demonstrate that Cu2+ exerted the most significant inhibitory effect, reducing the peak currents of Pb2+ and Cd2+ by approximately 24% and 23%, respectively. Zn2+ caused moderate decreases in peak currents of approximately 10% and 11%.
Figure 11.
(a) Peak current response of lead and cadmium solutions after adding chromium, manganese, copper, and zinc at 150-fold excess concentrations. (b) Peak current response of five different batches of G-COOH-MWCNTs/ZnO/GCE in differential pulse voltammogram detection. Conditions: 200 μg/L of lead and cadmium, deposition potential: −1.1 V, deposition time: 300 s (vs. Ag/AgCl), and 0.1 mol/L HAc-NaAc (pH 5.5).
In addition to evaluating the anti-interference capability of the electrode, the reproducibility of the sensor was also investigated to verify its reliability across multiple measurements and different electrode devices. To this end, five independently modified G-COOH-MWCNTs/ZnO/GCE electrodes were fabricated, and each was tested under identical experimental conditions in an HAc-NaAc buffer solution containing 150 µg/L of Pb2+ and Cd2+, with all measurements performed in triplicate (n = 3). As shown in Figure 11b, the relative standard deviations (RSDs) of the peak current variations across the five electrodes are all less than 8.68%. This low RSD value demonstrates that the G-COOH-MWCNTs/ZnO/GCE sensor exhibits excellent reproducibility.
3.9. Stability
To assess short-term stability, six successive DPV measurements were conducted. As illustrated in Figure 12a, the fluctuation in the peak current remains within 7.30% across the six consecutive tests, demonstrating the excellent short-term stability of the G-COOH-MWCNTs/ZnO/GCE. This minimal deviation in the current response suggests that the electrode maintains consistent performance even after repeated measurements. Such stability is critical to ensure the reproducibility and reliability of the sensor during frequent testing and iterative analysis.
Figure 12.
(a) Peak current response of G-COOH-MWCNTs/ZnO/GCE over six consecutive differential pulse voltammogram measurements. (b) Peak current response of G-COOH-MWCNTs/ZnO/GCE over a 30-day period. Conditions: 180 μg/L of lead and cadmium, deposition potential: −1.1 V, deposition time: 300 s (vs. Ag/AgCl), and 0.1 mol/L HAc-NaAc (pH 5.5).
Long-term stability, on the other hand, is equally important for assessing how well the electrode retains its performance over extended periods, especially for applications involving long-term environmental monitoring or infrequent use. To evaluate this, DPV measurements were performed on the same electrode over a 30-day period, with all experimental conditions kept constant. As illustrated in Figure 12b, the peak current exhibits a slight decrease over the 30 days, which is a common phenomenon observed in electrochemical sensors due to factors such as the gradual degradation of the electrode material or the accumulation of non-ideal substances on the electrode surface. Despite this gradual decline, the variation in peak current was found to remain within 6.64%, indicating that the G-COOH-MWCNTs/ZnO/GCE electrode retains its electrochemical activity over a prolonged period. The relatively small change in the peak current demonstrates the excellent long-term stability of the sensor, confirming its suitability for long-term environmental monitoring or other applications where a consistent performance is critical.
Overall, the G-COOH-MWCNTs/ZnO/GCE electrode not only exhibits robust short-term stability, but also maintains a high level of performance over an extended period. This combination of short-term and long-term stability ensures that the sensor is reliable for routine analysis, with minimal signal degradation over time.
While the sensor demonstrates excellent stability and reproducibility, future studies could cross-validate its performance with ICP-MS or AAS to confirm accuracy in complex matrices with potential interferents. This would further solidify its applicability for real-world environmental monitoring.
4. On-Site Detection of Pb2+ and Cd2+ Using a Miniaturized Intelligent Mobile Detection Device
The miniaturized intelligent mobile detection device integrates an electrochemical sensing module with wireless communication technology, enabling the rapid on-site detection of Pb2+ and Cd2+ in seawater. The device adopts a modular design, consisting of a wireless potentiostat (lower unit) and an Android-based smart mobile terminal (upper unit). The two units communicate in real time via a low-power Bluetooth protocol, ensuring efficient data transmission and control. The detection system is compatible with a standard three-electrode configuration, and DPV measurements of Pb2+ and Cd2+ within a potential range from −1.1 to −0.4 V are shown in Figure 13. The mobile application of the upper unit integrates signal acquisition, baseline correction, and peak current calibration functionalities, allowing for the real-time display of voltammetric curves and direct visualization of peak current values. Compared to traditional electrochemical workstations, this device achieves an 80% reduction in size (dimensions: 158 mm × 90 mm × 75 mm) and a 65% reduction in power consumption, eliminating the need for specialized personnel for operation. This feature makes it highly suitable for deployment in complex environments, such as coastal waters and ports within an Internet of Things (IoT) platform.
Figure 13.
DPV detection of lead and cadmium using the intelligent mobile detection device.
Sample Analysis
The Maowei Sea, located in southern Qinzhou, is a major water body within the Qinzhou Bay marine region, covering an area of approximately 135 km2. As a semi-enclosed inland sea, it is primarily influenced by the inflow of freshwater from two major rivers: the Qinjiang and Maoling Rivers. These rivers introduce a complex mixture of freshwater, nutrients, and various pollutants originating from surrounding industrial, agricultural, and urban areas, thereby significantly affecting the chemical composition and ecological quality of the seawater. Given its geographical location and hydrological characteristics, the Maowei Sea is classified as a coastal water body, where interactions between freshwater and seawater play a pivotal role in determining the overall biogeochemical dynamics.
Quantitative measurements were carried out using DPSV under optimized conditions, including a deposition potential of –1.1 V, a deposition time of 300 s, and other relevant experimental parameters. To ensure the repeatability and robustness of the method, each concentration level was measured in triplicate.
The results of the standard addition recovery test are summarized in Table 2 and Table 3. The recovery rates for Pb2+ and Cd2+ ranged from 97.7% to 103% and from 97% to 106.1%, respectively, demonstrating the high accuracy and precision of the method. These findings confirm that the G-COOH-MWCNTs/ZnO-modified electrode is a reliable and effective tool for the detection of trace Pb2+ and Cd2+ ions in real seawater samples.
Table 2.
Determination of Cd2+ concentration in real seawater samples.
Table 3.
Determination of Pb2+ concentration in real seawater samples.
5. Conclusions
The G-COOH-MWCNTs/ZnO/GCE sensor developed in this work demonstrates a superior detection performance, stemming from the unique synergistic enhancement mechanism between its two components. A sensor was developed for the detection of Pb2+ and Cd2+ in seawater, and DPV was conducted using a miniaturized mobile detection device. The modified electrode was characterized using SEM and CV. The detection of Pb2+ and Cd2+ was performed under optimized experimental conditions, including a 0.1 mol/L sodium acetate buffer (pH 5.5), a deposition potential of −1.1 V, and an accumulation time of 300 s. The results indicate a pronounced linear relationship between the peak current response and the concentrations of Pb2+ and Cd2+ within the 25–450 µg/L range, with detection limits of 0.535 µg/L and 0.354 µg/L, respectively. The application of the sensor in the analysis of coastal seawater from the Maowei Sea yielded Pb2+ recovery rates of 97.7%~103% and Cd2+ recovery rates of 97%~106%. Based on these findings, the developed sensor exhibits excellent stability and reproducibility, enabling the highly sensitive detection of Pb2+ and Cd2+ in real seawater samples.
Author Contributions
Conceptualization, W.Q. and C.Q.; methodology, Y.Z.; software, W.W.; validation, K.C., Y.Q. and H.L.; formal analysis, H.H.; investigation, H.L. and J.S.; resources, Y.Q.; data curation, J.S.; writing—original draft preparation, Z.Z.; writing—review and editing, Z.Z. and H.H.; visualization, W.W.; supervision, K.C.; project administration, Y.Z.; funding acquisition, W.Q. and C.Q. All authors have read and agreed to the published version of the manuscript.
Funding
This work was financially supported by the Guangxi Natural Science Foundation—Joint Special Project (Grant No. 2025GXNSFHA069069).
Institutional Review Board Statement
Not applicable.
Informed Consent Statement
Not applicable.
Data Availability Statement
The original contributions presented in the study are included in the article, further inquiries can be directed to the corresponding author.
Conflicts of Interest
The authors declare no conflicts of interest.
References
- Jung, J.-M.; Kim, C.-J.; Chung, C.-S.; Kim, T.; Gu, H.-S.; Kim, H.-E.; Choi, K.-Y. Applying New Regional Background Concentration Criteria to Assess Heavy Metal Contamination in Deep-Sea Sediments at an Ocean Dumping Site, Republic of Korea. Mar. Pollut. Bull. 2024, 200, 116065. [Google Scholar] [CrossRef] [PubMed]
- Hao, H.; Qiu, C.; Qu, W.; Zhuang, Y.; Han, X.; Tao, W.; Gu, Y.; Zhao, Z.; Liu, H.; Wang, W. Research on the Detection of Hg(II) in Seawater Using GR-MWCNTs/CeO2-Modified Electrodes. Chemosensors 2024, 12, 128. [Google Scholar] [CrossRef]
- Sulthana, S.F.; Iqbal, U.M.; Suseela, S.B.; Anbazhagan, R.; Chinthaginjala, R.; Chitathuru, D.; Ahmad, I.; Kim, T. Electrochemical Sensors for Heavy Metal Ion Detection in Aqueous Medium: A Systematic Review. ACS Omega 2024, 9, 25493–25512. [Google Scholar] [CrossRef] [PubMed]
- Sunda, W.G. Feedback Interactions between Trace Metal Nutrients and Phytoplankton in the Ocean. Front. Microbiol. 2012, 3, 204. [Google Scholar] [CrossRef]
- Brix, K.V.; Tellis, M.S.; Crémazy, A.; Wood, C.M. Characterization of the Effects of Binary Metal Mixtures on Short-Term Uptake of Cd, Pb, and Zn by Rainbow Trout (Oncorhynchus Mykiss). Aquat. Toxicol. 2017, 193, 217–227. [Google Scholar] [CrossRef]
- Gu, Y.; Qiu, C.; Qu, W.; Tao, W.; Zhao, Z.; Hao, H. rGO/MWCNT-COOH-Modified Electrodes for the Detection of Trace Cd(II) and Zn(II) in Coastal Seawater. Water 2024, 16, 2026. [Google Scholar] [CrossRef]
- Yin, J.; Wang, A.-P.; Li, W.-F.; Shi, R.; Jin, H.-T.; Wei, J.-F. Sensitive Biomarkers Identification for Differentiating Cd and Pb Induced Toxicity on Zebrafish Embryos. Environ. Toxicol. Pharmacol. 2017, 56, 340–349. [Google Scholar] [CrossRef]
- Younis, A.M.; Hanafy, S.; Elkady, E.M.; Alluhayb, A.H.; Alminderej, F.M. Assessment of Health Risks Associated with Heavy Metal Contamination in Selected Fish and Crustacean Species from Temsah Lake, Suez Canal. Sci. Rep. 2024, 14, 18706. [Google Scholar] [CrossRef]
- Sheydaei, M. Investigation of Heavy Metals Pollution and Their Removal Methods: A Review. Geomicrobiol. J. 2024, 41, 213–230. [Google Scholar] [CrossRef]
- Santhosh, K.; Kamala, K.; Ramasamy, P.; Musthafa, M.S.; Almujri, S.S.; Asdaq, S.M.B.; Sivaperumal, P. Unveiling the Silent Threat: Heavy Metal Toxicity Devastating Impact on Aquatic Organisms and DNA Damage. Mar. Pollut. Bull. 2024, 200, 116139. [Google Scholar] [CrossRef]
- Danovaro, R.; Cocozza Di Montanara, A.; Corinaldesi, C.; Dell’Anno, A.; Illuminati, S.; Willis, T.J.; Gambi, C. Bioaccumulation and Biomagnification of Heavy Metals in Marine Micro-Predators. Commun. Biol. 2023, 6, 1206. [Google Scholar] [CrossRef] [PubMed]
- Şirin, M.; Bayrak, E.Y.; Baltaş, H. Human Health Risk Assessment of Heavy Metals Accumulation in Different Genders and Tissues of Whiting Fish (Merlangius Merlangus Euxinus Nordmann, 1840) from Rize, Turkey. J. Food Compos. Anal. 2024, 127, 105971. [Google Scholar] [CrossRef]
- Jalali Sarvestani, M.R.; Madrakian, T.; Afkhami, A. Simultaneous Electrochemical Determination of Pb2+ and Cd2+ Ions in Food Samples by a Silver Nanoparticle/COF Composite Modified Glassy Carbon Electrode. J. Food Meas. Charact. 2023, 17, 3505–3514. [Google Scholar] [CrossRef]
- Denaro, G.; Curcio, L.; Borri, A.; D’Orsi, L.; De Gaetano, A. A Dynamic Integrated Model for Mercury Bioaccumulation in Marine Organisms. Ecol. Inform. 2023, 75, 102056. [Google Scholar] [CrossRef]
- Godt, J.; Scheidig, F.; Grosse-Siestrup, C.; Esche, V.; Brandenburg, P.; Reich, A.; Groneberg, D.A. The Toxicity of Cadmium and Resulting Hazards for Human Health. J. Occup. Med. Toxicol. 2006, 1, 22. [Google Scholar] [CrossRef]
- Standards for Drinking Water Quality. 1998. Available online: https://www.codeofchina.com/standard/GB3097-1997.html (accessed on 26 June 2025).
- Zhang, X.; Sun, C.; Zhang, L.; Liu, H.; Cao, B.; Liu, L.; Gong, W. Adsorption Studies of Cadmium onto Magnetic Fe3O4@FePO4 and Its Preconcentration with Detection by Electrothermal Atomic Absorption Spectrometry. Talanta 2018, 181, 352–358. [Google Scholar] [CrossRef]
- Ding, Q.; Li, C.; Wang, H.; Xu, C.; Kuang, H. Electrochemical Detection of Heavy Metal Ions in Water. Chem. Commun. 2021, 57, 7215–7231. [Google Scholar] [CrossRef]
- Hu, S.; Su, J.; Meng, M.; Zhang, L.; Ge, X.; Song, Y.; Liu, K.; Wu, S.; An, Y.; Gu, Y. Bismuthene-BiOCl Composite Nanomaterial with Exposed Edge-Rich Unsaturated Bonds for the Efficient Detection of Cadmium and Lead Ions. Electrochim. Acta 2025, 535, 146641. [Google Scholar] [CrossRef]
- Milikić, J.; Savić, M.; Janošević Ležaić, A.; Šljukić, B.; Ćirić-Marjanović, G. Electrochemical Sensing of Cadmium and Lead Ions in Water by MOF-5/PANI Composites. Polymers 2024, 16, 683. [Google Scholar] [CrossRef]
- Hu, S.; Zhang, S.; Qin, J.; Cai, K.; Peng, C.; Luo, L.; Gu, Y.; Mei, Y. Simultaneous Determination of Lead and Cadmium in Water by Metal Oxide Framework Complex-Modified Glassy Carbon Electrodes. Microchem. J. 2024, 205, 111154. [Google Scholar] [CrossRef]
- Luo, L.; Wang, X.; Ding, Y.; Li, Q.; Jia, J.; Deng, D. Voltammetric Determination of Pb2+ and Cd2+ with Montmorillonite-Bismuth-Carbon Electrodes. Appl. Clay Sci. 2010, 50, 154–157. [Google Scholar] [CrossRef]
- Li, D.; Jia, J.; Wang, J. Simultaneous Determination of Cd(II) and Pb(II) by Differential Pulse Anodic Stripping Voltammetry Based on Graphite Nanofibers–Nafion Composite Modified Bismuth Film Electrode. Talanta 2010, 83, 332–336. [Google Scholar] [CrossRef] [PubMed]
- Zhang, H.; Liu, X.; Tian, L.; Tang, Y.; Shi, Z.; Xiao, Y.; Wu, Z.; Zhu, Y.; Guo, Q.; Peng, Z. Preparation of Functionalized Graphene Oxide Composite Spheres and Removal of Cu2+ and Pb2+ from Wastewater. Water Air Soil Pollut. 2022, 233, 512. [Google Scholar] [CrossRef]
- Dinu (Iacob), A.; Bounegru, A.V.; Iticescu, C.; Georgescu, L.P.; Apetrei, C. Electrochemical Detection of Cd2+, Pb2+, Cu2+ and Hg2+ with Sensors Based on Carbonaceous Nanomaterials and Fe3O4 Nanoparticles. Nanomaterials 2024, 14, 702. [Google Scholar] [CrossRef]
- Alhashmi Alamer, F.; Almalki, G.A. Fabrication of Conductive Fabrics Based on SWCNTs, MWCNTs and Graphene and Their Applications: A Review. Polymers 2022, 14, 5376. [Google Scholar] [CrossRef]
- Xu, J.; Cao, Z.; Zhang, Y.; Yuan, Z.; Lou, Z.; Xu, X.; Wang, X. A Review of Functionalized Carbon Nanotubes and Graphene for Heavy Metal Adsorption from Water: Preparation, Application, and Mechanism. Chemosphere 2018, 195, 351–364. [Google Scholar] [CrossRef]
- Maheshwaran, S.; Chen, W.-H.; Lin, S.-L.; Ghorbani, M.; Hoang, A.T. Metal Oxide-Based Electrochemical Sensors for Pesticide Detection in Water and Food Samples: A Review. Environ. Sci. Adv. 2024, 3, 154–176. [Google Scholar] [CrossRef]
- Grilli, M.L. Metal Oxides. Metals 2020, 10, 820. [Google Scholar] [CrossRef]
- Oliveira, A.R.; Correia, A.A.; Rasteiro, M.G. Heavy Metals Removal from Aqueous Solutions by Multiwall Carbon Nanotubes: Effect of MWCNTs Dispersion. Nanomaterials 2021, 11, 2082. [Google Scholar] [CrossRef]
- Payra, S.; Ganeshan, S.K.; Challagulla, S.; Roy, S. A Correlation Story of Syntheses of ZnO and Their Influence on Photocatalysis. Adv. Powder Technol. 2020, 31, 510–520. [Google Scholar] [CrossRef]
- Dubouis, N.; Grimaud, A. The Hydrogen Evolution Reaction: From Material to Interfacial Descriptors. Chem. Sci. 2019, 10, 9165–9181. [Google Scholar] [CrossRef] [PubMed]
- Xuan, X.; Park, J.Y. A Miniaturized and Flexible Cadmium and Lead Ion Detection Sensor Based on Micro-Patterned Reduced Graphene Oxide/Carbon Nanotube/Bismuth Composite Electrodes. Sens. Actuators B Chem. 2018, 255, 1220–1227. [Google Scholar] [CrossRef]
- Luyen, N.D.; Trang, H.T.; Khang, P.Y.; Thanh, N.M.; Vu, H.X.A.; Phong, N.H.; Khieu, D.Q. Simultaneous Determination of Pb(II) and Cd(II) by Electrochemical Method Using ZnO/ErGO-Modified Electrode. J. Appl. Electrochem. 2024, 54, 917–933. [Google Scholar] [CrossRef]
- Wang, W.-J.; Lu, X.-Y.; Kong, F.-Y.; Li, H.-Y.; Wang, Z.-X.; Wang, W. A Reduced Graphene Oxide Supported Au-Bi Bimetallic Nanoparticles as an Enhanced Sensing Platform for Simultaneous Voltammetric Determination of Pb (II) and Cd (II). Microchem. J. 2022, 175, 107078. [Google Scholar] [CrossRef]
- Liu, F.; Huang, W.; Zhang, Z.; Zhang, C.; Huang, Q.; Xiang, G.; Liang, M.; Peng, J. Simultaneous Detection of Cd2+ and Pb2+ with a Bismuth Film/Sulfur and Nitrogen Co-Doped Porous Graphene Electrode. Int. J. Electrochem. Sci. 2021, 16, 210610. [Google Scholar] [CrossRef]
- Bahinting, S.E.D.; Rollon, A.P.; Garcia-Segura, S.; Garcia, V.C.C.; Ensano, B.M.B.; Abarca, R.R.M.; Yee, J.-J.; De Luna, M.D.G. Bismuth Film-Coated Gold Ultramicroelectrode Array for Simultaneous Quantification of Pb(II) and Cd(II) by Square Wave Anodic Stripping Voltammetry. Sensors 2021, 21, 1811. [Google Scholar] [CrossRef]
Disclaimer/Publisher’s Note: The statements, opinions and data contained in all publications are solely those of the individual author(s) and contributor(s) and not of MDPI and/or the editor(s). MDPI and/or the editor(s) disclaim responsibility for any injury to people or property resulting from any ideas, methods, instructions or products referred to in the content. |
© 2025 by the authors. Licensee MDPI, Basel, Switzerland. This article is an open access article distributed under the terms and conditions of the Creative Commons Attribution (CC BY) license (https://creativecommons.org/licenses/by/4.0/).












