Long-Term Evaluation of Mid-Cost Optical Particle Counters for PM2.5 Monitoring in an Underground Subway Station: Insights from a 15-Month Study
Abstract
1. Introduction
2. Materials and Methods
2.1. Experimental Apparatus
2.2. Experimental Methods
2.2.1. Experimental Location and Set-Up
2.2.2. Assessing PM2.5 Homogeneity in the Same Platform Space
2.2.3. Comparison of PM2.5 Measurement Data Obtained from OPCs and BAM in the Underground Subway Station
2.2.4. Variations of PM2.5 in the Underground Subway Station with Respect to Various Measurement Locations
3. Results and Discussion
3.1. Precision of Different OPC in Concern
3.2. Assessing PM2.5 Homogeneity in the Same Platform Space
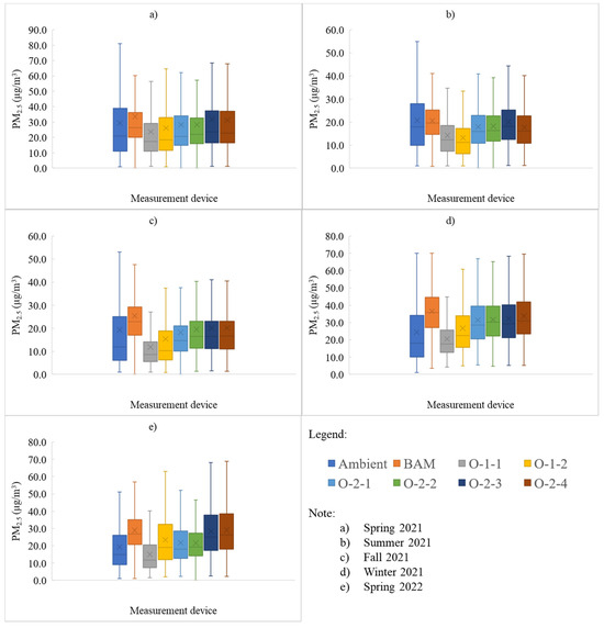
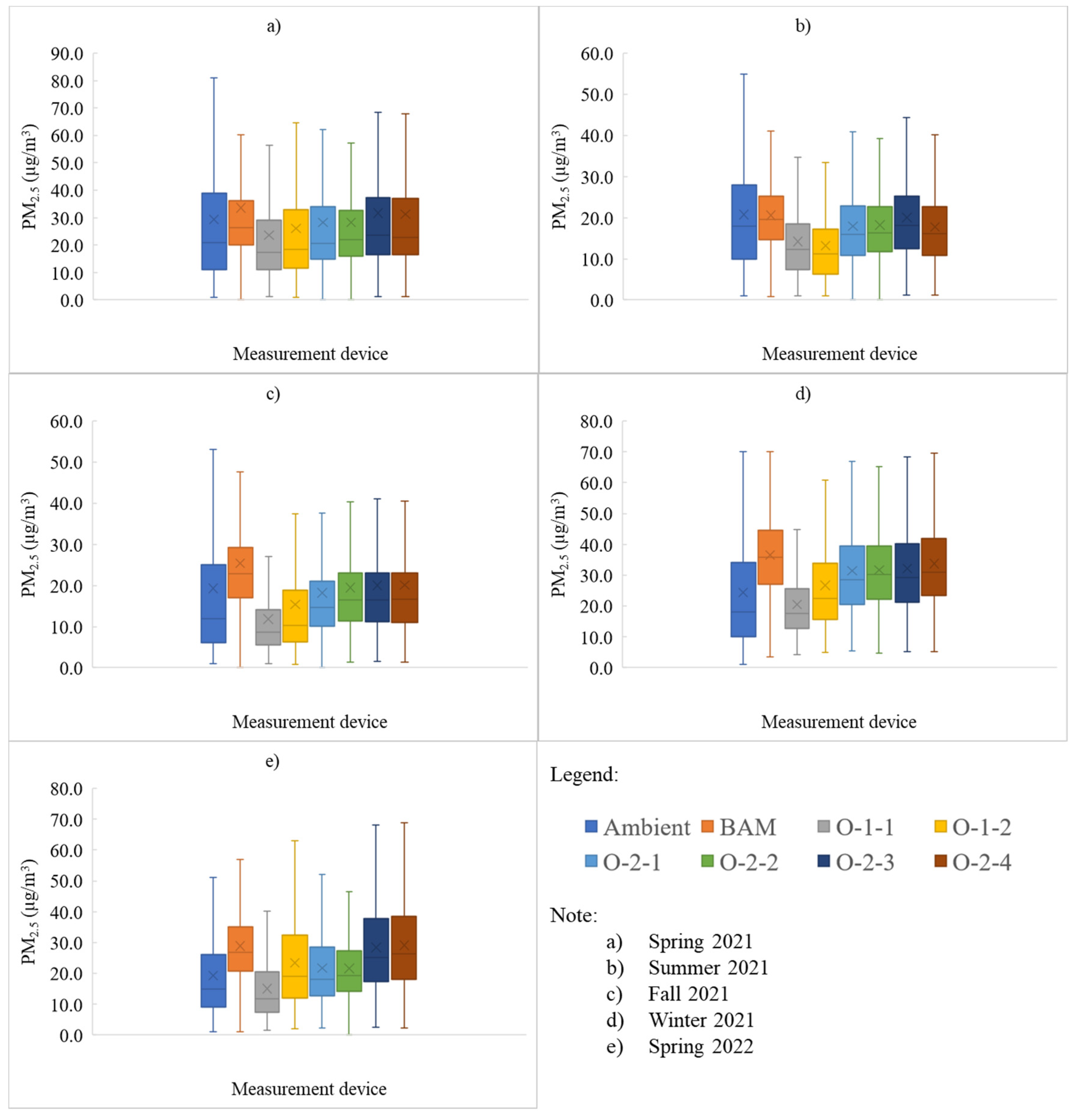
3.3. Comparison of PM2.5 Measurement Data Obtained from OPCs and BAM in the Underground Subway Station
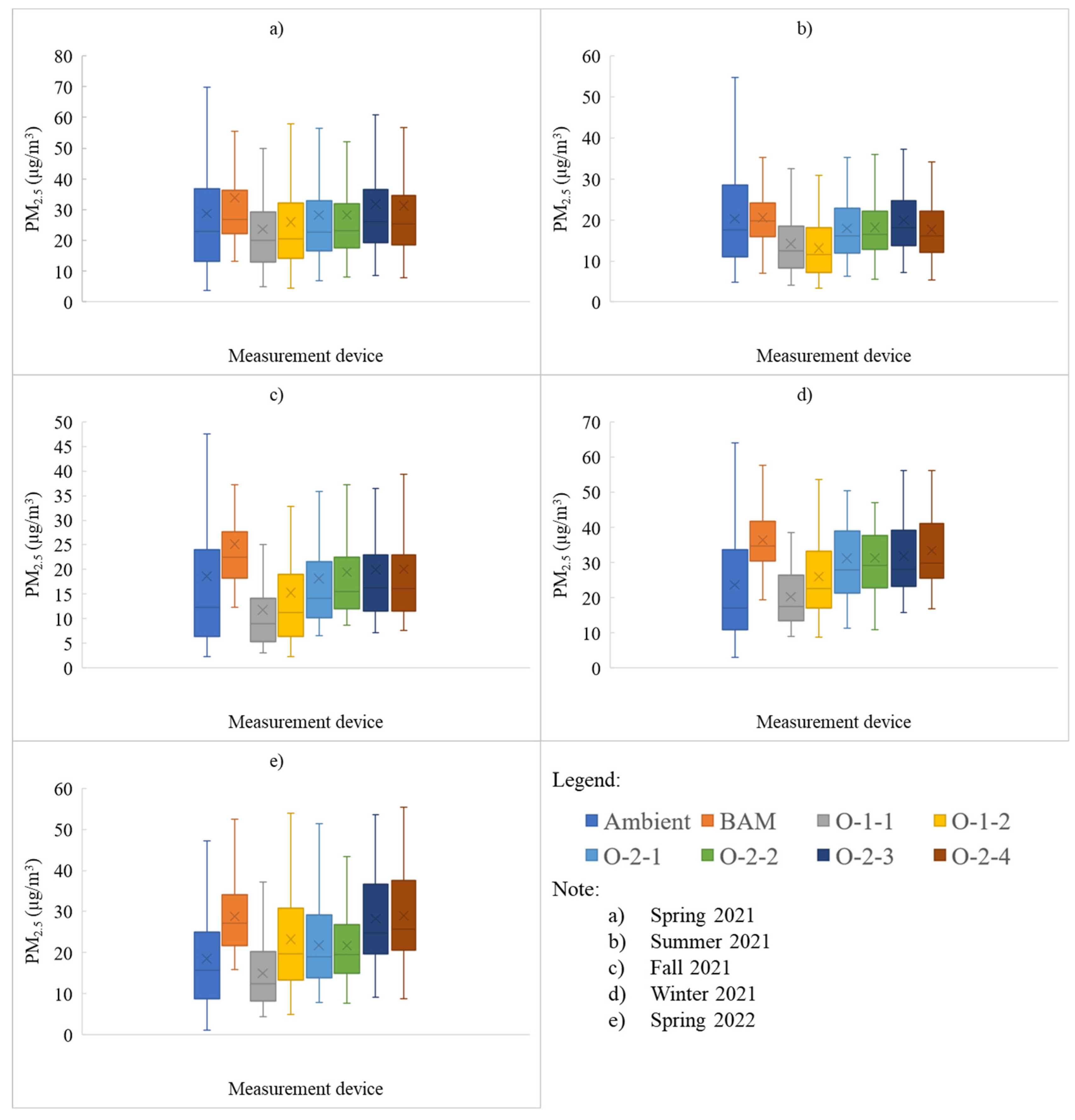
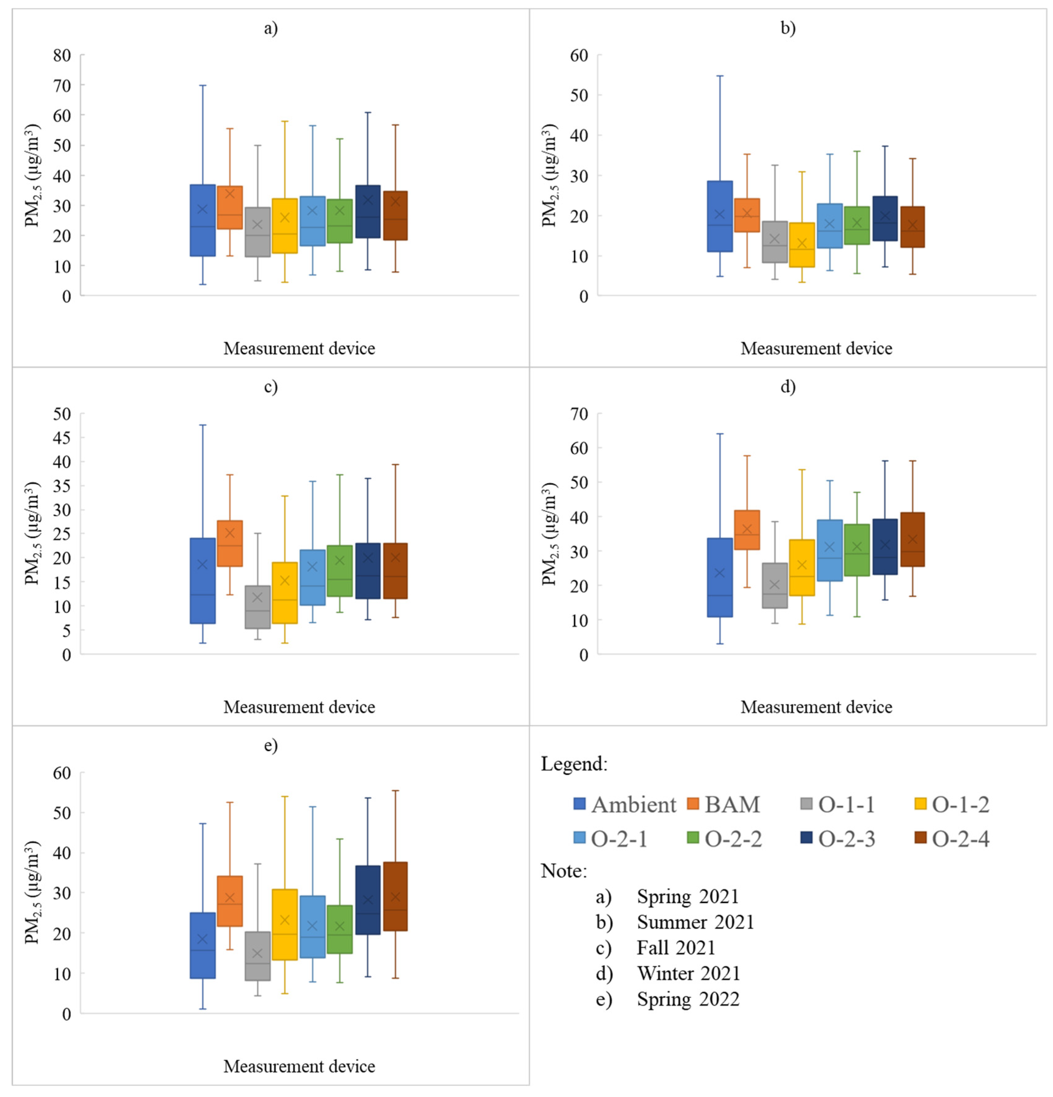
3.4. Variations of PM2.5 in the Underground Subway Station with Respect to Various Measurement Locations
4. Conclusions
Supplementary Materials
Author Contributions
Funding
Institutional Review Board Statement
Informed Consent Statement
Data Availability Statement
Acknowledgments
Conflicts of Interest
References
- Pope, C.A.; Coleman, N.; Pond, Z.A.; Burnett, R.T. Fine particulate air pollution and human mortality: 25+ years of cohort studies. Environ. Res. 2020, 183, 108924. [Google Scholar] [CrossRef] [PubMed]
- Brook, R.D.; Rajagopalan, S.; Pope, C.A.; Brook, J.R.; Bhatnagar, A.; Diez-Roux, A.V.; Holguin, F.; Hong, Y.; Luepker, R.V.; Mittleman, M.A.; et al. Particulate Matter Air Pollution and Cardiovascular Disease. Circulation 2010, 121, 2331–2378. [Google Scholar] [CrossRef] [PubMed]
- Grass, D.S.; Ross, J.M.; Family, F.; Barbour, J.; James Simpson, H.; Coulibaly, D.; Hernandez, J.; Chen, Y.; Slavkovich, V.; Li, Y.; et al. Airborne particulate metals in the New York City subway: A pilot study to assess the potential for health impacts. Environ. Res. 2010, 110, 1–11. [Google Scholar] [CrossRef] [PubMed]
- Colombi, C.; Angius, S.; Gianelle, V.; Lazzarini, M. Particulate matter concentrations, physical characteristics and elemental composition in the Milan underground transport system. Atmos. Environ. 2013, 70, 166–178. [Google Scholar] [CrossRef]
- Nieuwenhuijsen, M.J.; Gómez-Perales, J.E.; Colvile, R.N. Levels of particulate air pollution, its elemental composition, determinants and health effects in metro systems. Atmos. Environ. 2007, 41, 7995–8006. [Google Scholar] [CrossRef]
- Yan, C.; Zheng, M.; Yang, Q.; Zhang, Q.; Qiu, X.; Zhang, Y.; Fu, H.; Li, X.; Zhu, T.; Zhu, Y. Commuter exposure to particulate matter and particle-bound PAHs in three transportation modes in Beijing, China. Environ. Pollut. 2015, 204, 199–206. [Google Scholar] [CrossRef]
- Kang, S.; Hwang, H.; Park, Y.; Kim, H.; Ro, C.-U. Chemical Compositions of Subway Particles in Seoul, Korea Determined by a Quantitative Single Particle Analysis. Environ. Sci. Technol. 2008, 42, 9051–9057. [Google Scholar] [CrossRef]
- Mugica-Álvarez, V.; Figueroa-Lara, J.; Romero-Romo, M.; Sepúlveda-Sánchez, J.; López-Moreno, T. Concentrations and properties of airborne particles in the Mexico City subway system. Atmos. Environ. 2012, 49, 284–293. [Google Scholar] [CrossRef]
- Lee, E.-S.; Park, M.-B.; Lee, T.-J.; Kim, S.-D.; Park, D.-S.; Kim, D.-S. Characterizing Par ticle Matter on the Main Section of the Seoul Subway Line-2 and Developing Fine Particle Pollution Map. J. Korean Soc. Atmos. Environ. 2016, 32, 216–232. [Google Scholar] [CrossRef]
- Roy, D.; Lyou, E.S.; Kim, J.; Lee, T.K.; Park, J. Commuters health risk associated with particulate matter exposures in subway system—Globally. Build. Environ. 2022, 216, 109036. [Google Scholar] [CrossRef]
- Wang, J.; Zhao, L.; Zhu, D.; Gao, H.O.; Xie, Y.; Li, H.; Xu, X.; Wang, H. Characteristics of particulate matter (PM) concentrations influenced by piston wind and train door opening in the Shanghai subway system. Transp. Res. Part D Transp. Environ. 2016, 47, 77–88. [Google Scholar] [CrossRef]
- Shakya, K.M.; Saad, A.; Aharonian, A. Commuter exposure to particulate matter at underground subway stations in Philadelphia. Build. Environ. 2020, 186, 107322. [Google Scholar] [CrossRef]
- Cartenì, A.; Cascetta, F.; Campana, S. Underground and ground-level particulate matter concentrations in an Italian metro system. Atmos. Environ. 2015, 101, 328–337. [Google Scholar] [CrossRef]
- Bendl, J.; Neukirchen, C.; Mudan, A.; Padoan, S.; Zimmermann, R.; Adam, T. Personal measurements and sampling of particulate matter in a subway—Identification of hot-spots, spatio-temporal variability and sources of pollutants. Atmos. Environ. 2023, 308, 119883. [Google Scholar] [CrossRef]
- Azad, S.; Luglio, D.G.; Gordon, T.; Thurston, G.; Ghandehari, M. Particulate matter concentration and composition in the New York City subway system. Atmos. Pollut. Res. 2023, 14, 101767. [Google Scholar] [CrossRef]
- Chan, L.; Lau, W.; Zou, S.; Cao, Z.; Lai, S. Exposure level of carbon monoxide and respirable suspended particulate in public transportation modes while commuting in urban area of Guangzhou, China. Atmos. Environ. 2002, 36, 5831–5840. [Google Scholar] [CrossRef]
- Shen, J.; Gao, Z. Commuter exposure to particulate matters in four common transportation modes in Nanjing. Build. Environ. 2019, 156, 156–170. [Google Scholar] [CrossRef]
- Ren, J.; He, J.; Kong, X.; Xu, W.; Kang, Y.; Yu, Z.; Li, H. A field study of CO2 and particulate matter characteristics during the transition season in the subway system in Tianjin, China. Energy Build. 2022, 254, 111620. [Google Scholar] [CrossRef]
- Park, D.-U.; Ha, K.-C. Characteristics of PM10, PM2.5, CO2 and CO monitored in interiors and platforms of subway train in Seoul, Korea. Environ. Int. 2008, 34, 629–634. [Google Scholar] [CrossRef]
- Pan, S.; Du, S.; Wang, X.; Zhang, X.; Xia, L.; Liu, J.; Pei, F.; Wei, Y. Analysis and interpretation of the particulate matter (PM10 and PM2.5) concentrations at the subway stations in Beijing, China. Sustain. Cities Soc. 2019, 45, 366–377. [Google Scholar] [CrossRef]
- Martins, V.; Moreno, T.; Minguillón, M.C.; Amato, F.; de Miguel, E.; Capdevila, M.; Querol, X. Exposure to airborne particulate matter in the subway system. Sci. Total Environ. 2015, 511, 711–722. [Google Scholar] [CrossRef] [PubMed]
- Kim, K.Y.; Kim, Y.S.; Roh, Y.M.; Lee, C.M.; Kim, C.N. Spatial distribution of particulate matter (PM10 and PM2.5) in Seoul Metropolitan Subway stations. J. Hazard. Mater. 2008, 154, 440–443. [Google Scholar] [CrossRef] [PubMed]
- Kam, W.; Cheung, K.; Daher, N.; Sioutas, C. Particulate matter (PM) concentrations in underground and ground-level rail systems of the Los Angeles Metro. Atmos. Environ. 2011, 45, 1506–1516. [Google Scholar] [CrossRef]
- Cusack, M.; Talbot, N.; Ondráček, J.; Minguillón, M.C.; Martins, V.; Klouda, K.; Schwarz, J.; Ždímal, V. Variability of aerosols and chemical composition of PM10, PM2.5 and PM1 on a platform of the Prague underground metro. Atmos. Environ. 2015, 118, 176–183. [Google Scholar] [CrossRef]
- Cheng, Y.-H.; Lin, Y.-L.; Liu, C.-C. Levels of PM10 and PM2.5 in Taipei Rapid Transit System. Atmos. Environ. 2008, 42, 7242–7249. [Google Scholar] [CrossRef]
- Son, Y.-S.; Salama, A.; Jeong, H.-S.; Kim, S.; Jeong, J.-H.; Lee, J.; Sunwoo, Y.; Kim, J.-C. The Effect of Platform Screen Doors on PM10 Levels in a Subway Station and a Trial to Reduce PM10 in Tunnels. Asian J. Atmos. Environ. 2013, 7, 38–47. [Google Scholar] [CrossRef]
- Park, J.H.; Young Woo, H.; Chuel Park, J. Major factors affecting the aerosol particulate concentration in the underground stations. Indoor Built Environ. 2014, 23, 629–639. [Google Scholar] [CrossRef]
- Liu, H.; Yoo, C. A robust localized soft sensor for particulate matter modeling in Seoul metro systems. J. Hazard. Mater. 2016, 305, 209–218. [Google Scholar] [CrossRef]
- Lee, S.; Liu, H.; Kim, M.; Kim, J.T.; Yoo, C. Online monitoring and interpretation of periodic diurnal and seasonal variations of indoor air pollutants in a subway station using parallel factor analysis (PARAFAC). Energy Build. 2014, 68, 87–98. [Google Scholar] [CrossRef]
- Aarnio, P.; Yli-Tuomi, T.; Kousa, A.; Mäkelä, T.; Hirsikko, A.; Hämeri, K.; Räisänen, M.; Hillamo, R.; Koskentalo, T.; Jantunen, M. The concentrations and composition of and exposure to fine particles (PM2.5) in the Helsinki subway system. Atmos. Environ. 2005, 39, 5059–5066. [Google Scholar] [CrossRef]
- Korea Environment Cooperation in Air. Available online: https://www.inair.or.kr/info/ (accessed on 15 June 2023).
- Denker, B.; Shklovsky, E. Handbook of Solid-State Lasers; Woodhead Publishing Limited: Sawston, UK, 2013; ISBN 978-0-85709-272-4. [Google Scholar]
- Burkart, J.; Steiner, G.; Reischl, G.; Moshammer, H.; Neuberger, M.; Hitzenberger, R. Characterizing the performance of two optical particle counters (Grimm OPC1.108 and OPC1.109) under urban aerosol conditions. J. Aerosol Sci. 2010, 41, 953–962. [Google Scholar] [CrossRef] [PubMed]
- Shukla, K.; Aggarwal, S.G. A Technical Overview on Beta-Attenuation Method for the Monitoring of Particulate Matter in Ambient Air. Aerosol Air Qual. Res. 2022, 22, 220195. [Google Scholar] [CrossRef]
- Wang, P.; Xu, F.; Gui, H.; Wang, H.; Chen, D.-R. Effect of relative humidity on the performance of five cost-effective PM sensors. Aerosol Sci. Technol. 2021, 55, 957–974. [Google Scholar] [CrossRef]
- Martens, A.E. Errors in Measurement and Counting of Particles Using Light Scattering. J. Air Pollut. Control Assoc. 1968, 18, 661–663. [Google Scholar] [CrossRef]
- Crilley, L.R.; Singh, A.; Kramer, L.J.; Shaw, M.D.; Alam, M.S.; Apte, J.S.; Bloss, W.J.; Hildebrandt Ruiz, L.; Fu, P.; Fu, W.; et al. Effect of aerosol composition on the performance of low-cost optical particle counter correction factors. Atmos. Meas. Tech. 2020, 13, 1181–1193. [Google Scholar] [CrossRef]
- Knibbs, L.D.; de Dear, R.J. Exposure to ultrafine particles and PM2.5 in four Sydney transport modes. Atmos. Environ. 2010, 44, 3224–3227. [Google Scholar] [CrossRef]
- Targino, A.C.; Krecl, P.; Brimblecombe, P.; Oukawa, G.Y.; Danziger Filho, J.E.; Moreno, F.L. Spatio-temporal variability of airborne particulate matter in the São Paulo subway. Build. Environ. 2021, 189, 107526. [Google Scholar] [CrossRef]
- Zhang, M.; Shao, L.; Jones, T.; Feng, X.; Ge, S.; Yang, C.-X.; Cao, Y.; BéruBé, K.; Zhang, D. Atmospheric iron particles in PM2.5 from a subway station, Beijing, China. Atmos. Environ. 2022, 283, 119175. [Google Scholar] [CrossRef]
- He, S.; Shen, F.; Jin, L.; Song, D.; He, X.; Khan, M. Characteristics of subway air quality and favorable locations for passengers waiting and taking the subway. Atmos. Pollut. Res. 2022, 13, 101482. [Google Scholar] [CrossRef]
- Huang, S.; Ma, R.; Zhang, P.; Hu, C.; Wu, D.; Sun, L.; Deng, M. Characteristics and health risk assessments of fine particulate matter at the overground and underground subway sites in Chengdu. Build. Environ. 2023, 242, 110577. [Google Scholar] [CrossRef]
- Huang, S.; Chen, P.; Hu, K.; Qiu, Y.; Feng, W.; Ren, Z.; Wang, X.; Huang, T.; Wu, D. Characteristics and source identification of fine particles in the Nanchang subway, China. Build. Environ. 2021, 199, 107925. [Google Scholar] [CrossRef]
- Ji, W.; Liu, Z.; Liu, C.; Wang, C.; Li, X. Characteristics of fine particulate matter and volatile organic compounds in subway station offices in China. Build. Environ. 2021, 188, 107502. [Google Scholar] [CrossRef]
- Ji, W.; Zhao, K.; Liu, C.; Li, X. Spatial characteristics of fine particulate matter in subway stations: Source apportionment and health risks. Environ. Pollut. 2022, 305, 119279. [Google Scholar] [CrossRef]
- Zhang, X.; Xu, Y.; Su, J. Temporal and spatial characteristics of particulate matters in metro stations of Shanghai, China. Build. Environ. 2020, 179, 106956. [Google Scholar] [CrossRef]
- Kappelt, N.; Russell, H.S.; Fessa, D.; Van Ryswyk, K.; Hertel, O.; Johnson, M.S. Particulate air pollution in the Copenhagen metro part 1: Mass concentrations and ventilation. Environ. Int. 2023, 171, 107621. [Google Scholar] [CrossRef]
- Kim, K.-H.; Ho, D.X.; Jeon, J.-S.; Kim, J.-C. A noticeable shift in particulate matter levels after platform screen door installation in a Korean subway station. Atmos. Environ. 2012, 49, 219–223. [Google Scholar] [CrossRef]
- Loy-Benitez, J.; Tariq, S.; Nguyen, H.T.; Safder, U.; Nam, K.; Yoo, C. Neural circuit policies-based temporal flexible soft-sensor modeling of subway PM2.5 with applications on indoor air quality management. Build. Environ. 2022, 207, 108537. [Google Scholar] [CrossRef]
- Dinh, T.-V.; Park, B.-G.; Lee, S.-W.; Park, J.-H.; Baek, D.-H.; Choi, I.-Y.; Seo, Y.-B.; Kim, J.-C. Comparison of PM2.5 Monitoring Data Using Light Scattering and Beta Attenuation Methods: A Case Study in Seoul Metro Subway. Asian J. Atmos. Environ. 2022, 16, 43–53. [Google Scholar] [CrossRef]
- Johansson, C.; Johansson, P.-Å. Particulate matter in the underground of Stockholm. Atmos. Environ. 2003, 37, 3–9. [Google Scholar] [CrossRef]
- Onat, B.; Stakeeva, B. Assessment of fine particulate matters in the subway system of Istanbul. Indoor Built Environ. 2014, 23, 574–583. [Google Scholar] [CrossRef]
- Seaton, A. The London Underground: Dust and hazards to health. Occup. Environ. Med. 2005, 62, 355–362. [Google Scholar] [CrossRef]
- Luglio, D.G.; Huynh, T.; Saporito, A.; Gordon, T. Investigation of a river-tunnel effect on PM2.5 concentrations in New York City subway stations. Transp. Res. Part D Transp. Environ. 2023, 115, 103579. [Google Scholar] [CrossRef] [PubMed]
- US EPA. Quality Assurance Guidance Document 2.12. Monitoring PM2.5 in Ambient Air Using Designated Reference or Class I Equivalent Methods; US EPA: Washington, DC, USA, 2016; p. 174.
- US EPA. List of Designated Reference and Equivalent Methods; US EPA: Washington, DC, USA, 2024; p. 80.
- Kwon, M.-S.; Yoo, M.; Park, J.; Lee, M.-H. Combined inertial and pleated filter for efficient PM1.0 separation and sampling. Sep. Purif. Technol. 2025, 359, 130510. [Google Scholar] [CrossRef]
- Bein, K.J.; Wallis, C.D.; Silverman, J.L.; Lein, P.J.; Wexler, A.S. Emulating Near-Roadway Exposure to Traffic-Related Air Pollution via Real-Time Emissions from a Major Freeway Tunnel System. Environ. Sci. Technol. 2022, 56, 7083–7095. [Google Scholar] [CrossRef] [PubMed]
- Baheti, B.; Chen, G.; Ding, Z.; Wu, R.; Zhang, C.; Zhou, L.; Liu, X.; Song, X.; Wang, C. Residential greenness alleviated the adverse associations of long-term exposure to ambient PM1 with cardiac conduction abnormalities in rural adults. Environ. Res. 2023, 237, 116862. [Google Scholar] [CrossRef]
- Malik, A.; Aggarwal, S.G.; Kunwar, B.; Deshmukh, D.K.; Shukla, K.; Agarwal, R.; Singh, K.; Soni, D.; Sinha, P.R.; Ohata, S.; et al. Physical and chemical properties of PM1 in Delhi: A comparison between clean and polluted days. Sci. Total Environ. 2023, 892, 164266. [Google Scholar] [CrossRef]
- Vilcassim, R.; Thurston, G.D. Gaps and future directions in research on health effects of air pollution. eBioMedicine 2023, 93, 104668. [Google Scholar] [CrossRef]
- Zhang, M.; Yang, B.-Y.; Zhang, Y.; Sun, Y.; Liu, R.; Zhang, Y.; Su, S.; Zhang, E.; Zhao, X.; Chen, G.; et al. Association of ambient PM1 exposure with maternal blood pressure and hypertensive disorders of pregnancy in China. iScience 2023, 26, 106863. [Google Scholar] [CrossRef]
- Aix, M.-L.; Schmitz, S.; Bicout, D.J. Calibration methodology of low-cost sensors for high-quality monitoring of fine particulate matter. Sci. Total Environ. 2023, 889, 164063. [Google Scholar] [CrossRef]
- Amoah, N.A.; Xu, G.; Kumar, A.R.; Wang, Y. Calibration of low-cost particulate matter sensors for coal dust monitoring. Sci. Total Environ. 2023, 859, 160336. [Google Scholar] [CrossRef]
- Hodoli, C.G.; Coulon, F.; Mead, M.I. Source identification with high-temporal resolution data from low-cost sensors using bivariate polar plots in urban areas of Ghana. Environ. Pollut. 2023, 317, 120448. [Google Scholar] [CrossRef] [PubMed]
- Raysoni, A.U.; Pinakana, S.D.; Mendez, E.; Wladyka, D.; Sepielak, K.; Temby, O. A Review of Literature on the Usage of Low-Cost Sensors to Measure Particulate Matter. Earth 2023, 4, 168–186. [Google Scholar] [CrossRef]
- Tang, M.; Shen, Y.; Ge, Y.; Gao, J.; Wang, C.; Wu, L.; Si, S. Laboratory and field evaluation of a low-cost optical particle sizer. J. Environ. Sci. 2023, 142, 215–225. [Google Scholar] [CrossRef]
- Molina Rueda, E.; Carter, E.; L’Orange, C.; Quinn, C.; Volckens, J. Size-Resolved Field Performance of Low-Cost Sensors for Particulate Matter Air Pollution. Environ. Sci. Technol. Lett. 2023, 10, 247–253. [Google Scholar] [CrossRef]
- Malyan, V.; Kumar, V.; Sahu, M. Significance of sources and size distribution on calibration of low-cost particle sensors: Evidence from a field sampling campaign. J. Aerosol Sci. 2023, 168, 106114. [Google Scholar] [CrossRef]
- Ministry of Environment. Indoor Air Quality Management Act; Ministry of Environment: Sejong, Republic of Korea, 2022.
- Korea Environment Corporation Air Korea. Available online: https://www.airkorea.or.kr/web/ (accessed on 16 June 2023).
- Giordano, M.R.; Malings, C.; Pandis, S.N.; Presto, A.A.; McNeill, V.F.; Westervelt, D.M.; Beekmann, M.; Subramanian, R. From low-cost sensors to high-quality data: A summary of challenges and best practices for effectively calibrating low-cost particulate matter mass sensors. J. Aerosol Sci. 2021, 158, 105833. [Google Scholar] [CrossRef]
- Kang, Y.; Aye, L.; Ngo, T.D.; Zhou, J. Performance evaluation of low-cost air quality sensors: A review. Sci. Total Environ. 2022, 818, 151769. [Google Scholar] [CrossRef] [PubMed]
- Adams, H.; Nieuwenhuijsen, M.; Colvile, R.; McMullen, M.A.; Khandelwal, P. Fine particle (PM2.5) personal exposure levels in transport microenvironments, London, UK. Sci. Total Environ. 2001, 279, 29–44. [Google Scholar] [CrossRef] [PubMed]
- Gómez-Perales, J.; Colvile, R.; Nieuwenhuijsen, M.; Fernández-Bremauntz, A.; Gutiérrez-Avedoy, V.; Páramo-Figueroa, V.; Blanco-Jiménez, S.; Bueno-López, E.; Mandujano, F.; Bernabé-Cabanillas, R.; et al. Commuters’ exposure to PM2.5, CO, and benzene in public transport in the metropolitan area of Mexico City. Atmos. Environ. 2004, 38, 1219–1229. [Google Scholar] [CrossRef]














| City and Country | Study Period | Sampling Duration | Measurement Technique | Study Objectives |
|---|---|---|---|---|
| Sydney, Australia [38] | 27 September~1 October 2004 | 7~9 a.m. and 4~6 p.m. | Light scattering | Investigate the exposure of fine and ultra-fine particles |
| São Paulo, Brazil [39] | 2~8 August 2017 | 2 min for each sample, 2 h per day | Light scattering | Investigate the temporal and spatial characteristics of black carbon and particle number |
| Beijing, China [40] | September 2018 | 500 s, during off-peak hour | Gravimetric | Investigate atmospheric Fe particle in PM2.5 |
| Beijing, China [41] | 11~14, 18~20 December 2016 | 20 min, 0.1 min data-logging interval | Light scattering | Investigate the effect of various kinds of screen door on PM2.5 and PM10 |
| Beijing, China [20] | 9~22 October 2016 | Two weeks, 1 min data-logging interval | Light scattering | Characterize PM10 and PM2.5 |
| Chengdu, China [42] | 24~29 September 2022; 26~31 October 2022 | 24 h | Gravimetric | Investigate PM2.5 characteristic and assess health risk of PM2.5 |
| Nanchang, China [43] | 14~18 January, 1~5 May, 29 June~4 July, 1~7 October, 25~27 October, 14~17 November 2019 | 8 a.m.~7 p.m. | Gravimetric | Investigate PM2.5 characteristic |
| Nanjing, China [17] | 7~13 May 2017; 11~18 December 2017 | 8:00–10:00, 12:00–14:00 and 17:00–19:00, 1 s data-logging interval | Light scattering | Investigate personal exposure of PM2.5 and PM1 |
| Nanjing, China [44] | 15~28 July, 9~22 December, 2019 | 24 h | Gravimetric | Characterize PM2.5 in subway station offices |
| Nanjing, China [45] | July and December 2019 | 24 h | Gravimetric | Investigate the spatial characteristics of PM2.5 and health risks |
| Shanghai, China [46] | 6 days in each season from March 2013 to February 2014 | 7:00–9:00, 12:00–14:00 and 17:00–19:00, | Light scattering | Investigate the temporal and spatial characteristics of PM10 and PM2.5 |
| Shanghai, China [11] | 7~10 April, 22, 27; 15 July 2015 | April: 1 p.m.~4 p.m. July: 2 p.m.~3:30 p.m. | Light scattering | Investigate the effect of piston wind and train door opening on PM characteristics |
| Tianjin, China [18] | 24~30 April, 17~30 May 2021 | 20 min, three times per day | Light scattering | Investigate the relationship between PM characteristics and environmental parameter during the transition season |
| Prague, Czech [24] | October 2013 | 24 h, 3 min data-logging interval | Light scattering and scanning mobility particle sizer | Investigate characteristics of PM10, PM2.5 and PM1 on a platform |
| Copenhagen, Denmark [47] | 26, 29, 30, 31 March and 20~23 April 2012 | 20 min for measurement 22.5 h, 19.2 h, and 12 h for manual sampling | Light scattering and gravimetric | Measure the concentration and composition of PM2.5 |
| Munich, Germany [14] | 19, 26,27 October 2021; 4~5, 17, 24 November 2021; 7 December 2021; 17 May 2022; 19 July 2022; 28 August 2022 | 1 h, 1 h data-logging interval | Light scattering | Identify of hot-spots, spatial-temporal variability, and sources of PM |
| Naples, Italia [13] | January 2014 | 5 h per day | Light scattering | Investigate real-time PM10 and PM2.5 variations on platforms and inside cabin of the train |
| Seoul, South Korea [22] | November 2004~February 2005 | 24 h | Light scattering | Investigate the spatial distribution of PM10 and PM2.5 |
| Seoul, South Korea [19] | 4 days in January | 1 p.m.~6 p.m., 30 s data-logging interval | Light scattering | Compare PM10 and PM2.5 among various locations in a subway station |
| Seoul, South Korea [48] | October 2007~April 2008 | 20 h, 5 a.m. to 1 a.m. | Gravimetric | Investigate the effect of platform screen door on PM10 and PM2.5 |
| Seoul, South Korea [28] | 4~26 January 2010 | 24 h, 1 h data-logging interval | Beta-ray attenuation | Predict PM2.5 by soft sensors |
| Seoul, South Korea [27] | 7~11 September 2009; 28 February~3 March 2011 | 24 h, 30 min data-logging interval | Beta-ray attenuation | Determine major factors affecting PM10 in underground stations |
| Seoul, South Korea [26] | August~September 2010 | 24 h, 1 h data-logging interval | Beta-ray attenuation | Investigate the effect of platform screen door on PM10 |
| Seoul, South Korea [49] | 1 month | 24 h, 10 min data-logging interval | Beta-ray attenuation | Forecast future indoor PM2.5 using a data-driven soft-sensor model based on the NCP network |
| Seoul, South Korea [50] | 1 month | 1 h and 24 h data | Light scattering and beta-ray attenuation | Compare measurement data between two methods |
| Barcelona, Spain [21] | Hot season: 2 April~3 July 2013; Cold season: 28 October 2013~10 March 2014 | 24 h, 5 min data-logging interval | Light scattering | Investigate the temporal and spatial characteristics of PM10, PM2.5, PM1 and the effect of screen doors |
| Stockholm, Sweden [51] | January 19~23 February 2000 | 24 h | Tapered Element Oscillating Microbalance | Investigate the temporal variations of PM10 and PM2.5 |
| Taipei, Taiwan [25] | October~December 2007 | 1 h, 1 min data-logging interval | Light scattering | Measure PM10 and PM2.5 with respect to train duration |
| Istanbul, Turkey [52] | 28 September 2007~18 January 2008 | 6 a.m.~12 p.m., 15 min data-logging interval | Light scattering | Determine PM2.5 concentration |
| London, UK [53] | 3 days | 7 a.m.~5 p.m. | Light scattering | Characterize PM2.5 concentration and particle number |
| Los Angeles, USA [23] | 3 May–13 August 2010 | 30 s data-logging interval | Light scattering and gravimetric | Investigate relationship between PM level in subway station and ambient air |
| New York City, USA [54] | Weekdays in February and March 2022 | 10~15 min at station, 1.5 round trips inside the train | Light scattering and gravimetric | Investigate the effect of a river tunnel on PM2.5 concentration in subway stations |
| New York City, USA [15] | 11 October, 7~10 December 2021 | On-train: 60~105 min On platform: 3~8.5 h | Light scattering and gravimetric | Investigate PM2.5 concentration and composition at various locations in subway stations |
| Philadelphia, USA [12] | 4~9 March 2018; 1 February~12 April 2019 | 4~9 March: 8 a.m.~11 a.m., 12 p.m.~4 p.m. 1 February~12 April: 1:30 p.m.~6:30 p.m. | Light scattering | Compare PM, black carbon and CO2 of subway stations with ambient air |
| Parameter | BAM | OPC |
|---|---|---|
| Model number | 5028i | AQM-06 |
| Sampling flow rate | 16.67 L/min | 1.2 L/min |
| Sampling interval time | 1 h | 1 h |
| Measurement size range | <2.5 µm | 0.25−10 µm (16 size channels) |
| Measurement mass range | 0−1 mg/m3 | 0−2 mg/m3 |
| Precision | ±2 µg/m3 | <3% of full range |
| OPC | O-1-2 | O-2-1 | O-2-2 | O-2-3 | O-2-4 |
|---|---|---|---|---|---|
| RMSE | 0.99 | 1.22 | 0.55 | 1.50 | 0.94 |
| MNE (%) | 1.3 | 1.7 | 0.6 | 2.1 | 1.2 |
| MNB (%) | 1.3 | 1.7 | 0.5 | 2.1 | 1.2 |
| Device | O-2-3 vs. BAM | |||||||||||||
| Month | 21 March | 21 April | 21 May | 21 June | 21 July | 21 August | 21 September | 21 October | 21 November | 21 December | 22 January | 22 February | 22 March | 22 April |
| RMSE | 14.1 | 11.7 | 14.6 | 7.31 | 5.23 | 5.20 | 7.15 | 6.83 | 9.78 | 10.1 | 8.96 | 13.0 | 7.23 | 0.70 |
| MNE (%) | 24.1 | 42.7 | 36.0 | 23.9 | 27.1 | 24.7 | 30.9 | 27.0 | 28.9 | 23.5 | 19.9 | 26.3 | 19.0 | 21.6 |
| MNB (%) | 5.15 | 11.7 | −0.4 | 6.05 | 9.12 | −10.4 | −24.4 | −16.1 | −4.15 | −12.2 | −3.79 | −19.2 | −10.7 | −11.6 |
| Device | O-2-4 vs. BAM | |||||||||||||
| Month | 21 March | 21 April | 21 May | 21 June | 21 July | 21 August | 21 September | 21 October | 21 November | 21 December | 22 January | 22 February | 22 March | 22 April |
| RMSE | 13.5 | 11.6 | 14.9 | 7.24 | 5.17 | 5.85 | 7.33 | 6.39 | 9.24 | 8.72 | 8.15 | 11.6 | 7.06 | 7.43 |
| MNE (%) | 24.1 | 42.0 | 38.2 | 23.2 | 24.8 | 27.9 | 32.1 | 26.5 | 27.2 | 20.8 | 18.3 | 23.8 | 18.7 | 20.7 |
| MNB (%) | 5.78 | 10.9 | −13.9 | −2.24 | −7.34 | −21.2 | −28.3 | −11.3 | −4.16 | −7.48 | 0.82 | −14.9 | −9.76 | −8.54 |
| Device | O-2-3 vs. BAM | O-2-4 vs. BAM | ||||||||
| Season | Spring 2021 | Summer 2021 | Fall 2021 | Winter 2021 | Spring 2022 | Spring 2021 | Summer 2021 | Fall 2021 | Winter 2021 | Spring 2022 |
| RMSE | 13.5 | 5.94 | 8.23 | 10.30 | 7.59 | 13.40 | 6.12 | 7.88 | 9.15 | 7.24 |
| MNE (%) | 34.1 | 25.2 | 28.7 | 22.6 | 20.3 | 34.6 | 25.5 | 28.2 | 20.4 | 19.7 |
| MNB (%) | 2.09 | 0.78 | −13.3 | −10.2 | −11.1 | 0.90 | −11.0 | −12.6 | −5.54 | −9.18 |
| PM2.5/PM10 Ratio | Correlation of BAM and O-2-3 | Correlation of BAM and O-2-4 | ||||||||
| Spring 2021 | Summer 2021 | Fall 2021 | Winter 2021 | Spring 2022 | Spring 2021 | Summer 2021 | Fall 2021 | Winter 2021 | Spring 2022 | |
| 40~50% | m = 0.7943 r2 = 0.9315 | m = 0.8898 r2 = 0.9176 | m = 0.3729 r2 = 0.4402 | m = 0.3245 r2 = 0.2701 | m = 0.5102 r2 = 0.451 | m = 0.8521 r2 = 0.9172 | m = 0.3306 r2 = 0.1484 | m = 0.6161 r2 = 0.6617 | m = 0.4559 r2 = 0.3029 | m = 0.7023 r2 = 0.5142 |
| 50~60% | y = 0.7796 r2 = 0.8196 | m = 0.3806 r2 = 0.2985 | m = 0.5915 r2 = 0.58 | m = 0.4401 r2 = 0.4034 | m = 0.5765 r2 = 0.5308 | m = 0.7707 r2 = 0.8831 | m = 0.4632 r2 = 0.5012 | m = 0.6102 r2 = 0.5833 | m = 0.5155 r2 = 0.4519 | m = 0.6634 r2 = 0.5819 |
| 60~70% | m = 0.6913 r2 = 0.7885 | m = 0.5377 r2 = 0.4607 | m = 0.6887 r2 = 0.5252 | m = 0.8473 r2 = 0.6469 | m = 0.6401 r2 = 0.5345 | m = 0.7219 r2 = 0.8106 | m = 0.6700 r2 = 0.5751 | m = 0.6563 r2 = 0.469 | m = 0.7279 r2 = 0.6092 | m = 0.8238 r2 = 0.6764 |
| 70~80% | m = 0.8079 r2 = 0.8071 | m = 0.8264 r2 = 0.6275 | m = 0.8841 r2 = 0.7656 | m = 0.8473 r2 = 0.6469 | m = 0.9346 r2 = 0.7438 | m = 0.8513 r2 = 0.8293 | m = 0.8108 r2 = 0.5856 | m = 0.8677 r2 = 0.8167 | m = 0.9961 r2 = 0.7216 | m = 0.9453 r2 = 0.7904 |
| 80~90% | m = 0.9215 r2 = 0.7507 | m = 1.0617 r2 = 0.6153 | m = 0.9032 r2 = 0.8678 | m = 1.0194 r2 = 0.7543 | m = 0.9803 r2 = 0.7973 | m = 0.8468 r2 = 0.8095 | m = 0.9296 r2 = 0.5744 | m = 0.8898 r2 = 0.9053 | m = 1.0043 r2 = 0.7655 | m = 0.9521 r2 = 0.779 |
| Device | O-2-3 vs. BAM | |||||||||||||
| Month | 21 March | 21 April | 21 May | 21 June | 21 July | 21 August | 21 September | 21 October | 21 November | 21 December | 22 January | 22 February | 22 March | 22 April |
| RMSE | 7.19 | 4.04 | 8.97 | 3.84 | 3.45 | 2.95 | 4.89 | 4.93 | 6.62 | 7.01 | 5.39 | 10.04 | 4.52 | 5.49 |
| MNE (%) | 10.6 | 14.6 | 23.1 | 12.5 | 14.6 | 16.2 | 26.4 | 20.8 | 18.7 | 19.0 | 12.4 | 23.8 | 14.0 | 16.4 |
| MNB (%) | −0.39 | −9.59 | −18.7 | 2.65 | 2.46 | −14.3 | −26.4 | −19.7 | −12.1 | −16.1 | −6.94 | −23.8 | −13.2 | −14.2 |
| Device | O-2-4 vs. BAM | |||||||||||||
| Month | 21 March | 21 April | 21 May | 21 June | 21 July | 21 August | 21 September | 21 October | 21 November | 21 December | 22 January | 22 February | 22 March | 22 April |
| RMSE | 7.19 | 4.04 | 8.97 | 3.84 | 3.45 | 2.95 | 4.89 | 4.93 | 6.62 | 7.01 | 5.39 | 10.04 | 4.52 | 5.49 |
| MNE (%) | 10.6 | 14.6 | 23.1 | 12.5 | 14.6 | 16.2 | 26.4 | 20.8 | 18.7 | 19.0 | 12.4 | 23.8 | 14.0 | 16.4 |
| MNB (%) | −0.39 | −9.59 | −18.7 | 2.65 | 2.46 | −14.3 | −26.4 | −19.7 | −12.1 | −16.1 | −6.94 | −23.8 | −13.2 | −14.2 |
| Device | O-2-3 vs. BAM | O-2-4 vs. BAM | ||||||||
| Season | Spring 2021 | Summer 2021 | Fall 2021 | Winter 2021 | Spring 2022 | Spring 2021 | Summer 2021 | Fall 2021 | Winter 2021 | Spring 2022 |
| RMSE | 7.03 | 3.40 | 5.63 | 7.19 | 5.06 | 7.25 | 3.89 | 5.53 | 6.00 | 4.67 |
| MNE (%) | 16.1 | 14.6 | 21.2 | 17.4 | 15.5 | 17.1 | 17.8 | 20.7 | 13.9 | 14.7 |
| MNB (%) | −9.45 | −3.67 | −18.3 | −14.1 | −13.7 | −11.1 | −14.9 | −17.7 | −9.05 | −11.6 |
| Season | Compared Instrument | RPD (%) |
|---|---|---|
| Spring 2021 | BAM vs. OPC_2-3 | 7.26 ± 1.07 |
| BAM vs. OPC_2-4 | 9.00 ± 1.82 | |
| Summer 2021 | BAM vs. OPC_2-3 | 3.07 ± 3.30 |
| BAM vs. OPC_2-4 | 9.40 ± 7.70 | |
| Fall 2021 | BAM vs. OPC_2-3 | 14.7 ± 7.79 |
| BAM vs. OPC_2-4 | 14.6 ± 8.25 | |
| Winter 2021 | BAM vs. OPC_2-3 | 12.6 ± 9.80 |
| BAM vs. OPC_2-4 | 8.04 ± 7.73 | |
| Spring 2022 | BAM vs. OPC_2-3 | 10.8 ± 8.30 |
| BAM vs. OPC_2-4 | 8.50 ± 7.50 |
| PM2.5/PM10 Ratio | Correlation of BAM and O-2-3 | Correlation of BAM and O-2-4 | ||||||||
| Spring 2021 | Summer 2021 | Fall 2021 | Winter 2021 | Spring 2022 | Spring 2021 | Summer 2021 | Fall 2021 | Winter 2021 | Spring 2022 | |
| 50~60% | m = 0.6034 r2 = 0.7384 | - | m = 0.7239 r2 = 0.8364 | m = 0.9786 r2 = 0.7822 | m = 0.7526 r2 = 0.8333 | m = 0.5522 r2 = 0.6681 | m = 0.8703 r2 = 0.9216 | m = 0.7778 r2 = 0.8751 | m = 0.6566 r2 = 0.5763 | m = 0.9375 r2 = 0.9347 |
| 60~70% | m = 0.9509 r2 = 0.9396 | m = 1.0404 r2 = 0.8987 | m = 1.1243 r2 = 0.8748 | m = 0.7691 r2 = 0.6586 | m = 1.0128 r2 = 0.8771 | m = 0.9744 r2 = 0.8546 | m = 1.0341 r2 = 0.8376 | m = 1.1109 r2 = 0.7925 | m = 0.9214 r2 = 0.7002 | y = 1.1915 r2 = 0.8914 |
| 70~80% | m = 0.8074 r2 = 0.8911 | y = 1.0195 r2 = 0.8375 | m = 1.3155 r2 = 0.9354 | m = 0.9718 r2 = 0.4981 | m = 1.1406 r2 = 0.9352 | m = 0.8412 r2 = 0.9305 | m = 1.1987 r2 = 0.9135 | m = 1.369 r2 = 0.9563 | m = 1.113 r2 = 0.6958 | m = 1.0849 r2 = 0.9189 |
| City, Country | PM2.5 (µg/m3) | PM10(µg/m3) | PM2.5/PM10 in Platform | ||||||
|---|---|---|---|---|---|---|---|---|---|
| Platform_G | Platform_U | Concourse | Cabin | Platform_G | Platform_U | Concourse | Cabin | ||
| New York, USA [15] | 29 ± 20 | 142 ± 69 | - | 88 ± 14 | - | - | - | - | - |
| Philadelphia, USA [12] | - | 45.1 ± 27.8 | - | - | - | 53.6 ± 32.7 | - | - | 84.1 |
| Los Angeles, USA [23] | - | 56.7 ± 11.3 | - | 24.2 ± 6.9 | - | 78.0 ± 16.5 | - | 31.5 ± 10.8 | 72.7 |
| Munich, Germany [14] | - | 27 ± 14 | - | - | - | 59 ± 26 | - | - | 45.8 |
| Munich, Germany [14] | - | 80 ± 18 | - | - | - | 205 ± 72 | - | - | 39.0 |
| Munich, Germany [14] | - | 70 ± 20 | - | - | - | 179 ± 52 | - | - | 39.1 |
| Munich, Germany [14] | 11 ± 1 | 72 ± 7 | - | - | 26 ± 9 | 220 ± 32 | - | - | 32.7 |
| Taipei, Taiwan [25] | - | 34.7 ± 13.8 | - | 31.5 ± 9.75 | - | 49 ± 20.8 | - | 41 ± 14 | 70.8 |
| Prague, Czech [24] | - | 108 ± 24.2 | - | - | 193 ± 49.7 | - | - | 56.0 | |
| London, UK [53] | - | 420 ± 14 | - | 200 ± 1 | - | 1500 ± 120 | - | - | 28.0 |
| Istanbul, Turkey [52] | - | 49.3~1.6.8 | - | 50.8~107.9 | - | - | - | - | - |
| Chengdu, China [42] | 20.78 ± 7.62 | 42.53 ± 13.98 | - | 45.94 ± 12.91 | - | - | - | - | - |
| Nanchang, China [42] | - | 122 ± 21.8 | - | 179 ± 47.7 | - | - | - | - | - |
| Shanghai, China [11] | - | 39.2 ± 3.7 | - | 24.4 ± 3.7 | - | - | - | - | - |
| Beijing, China [20] | - | 161 ± 23 | 156 ± 19.2 | - | - | 254 ± 37.8 | 251 ± 28.6 | - | 63.5 |
| Beijing, China [40] | - | 90 ± 3 | 101 ± 1.8 | 76 ± 3.8 | - | - | - | - | - |
| Tianjin, China [18] | 36.3 ± 3.7 | 64.0 ± 8.8 | - | 23.1 ± 6.5 | 99.6 ± 22.8 | 148 ± 32.3 | 68.8 ± 15.5 | - | 43.2 |
| Barcelona, Spain [21] | - | 10~90 | - | 20~110 | - | - | 50~81 | ||
| Naples, Italia [13] | 10 ± 1 | 52.3 ± 12.2 | - | 29 ± 8.2 | 16 ± 10 | 195 ± 37.8 | - | 89 ± 21.2 | 26.8 |
| Stockholm, Sweden [51] | 199 ± 104 | - | - | - | 357 ± 185 | - | - | 55.7 | |
| Seoul, South Korea [22] | - | 129 ± 67 | 87.7 ± 39 | 126 ± 14.5 | - | 359 ± 171.3 | 182 ± 97.2 | 311 ± 26.6 | 35.9 |
| Seoul, South Korea [19] | 115.6 ± 8.6 | 105 ± 14.4 | - | 117 ± 14.2 | 123.0 ± 6.6 | 129 ± 20.9 | - | 145 ± 12.8 | 81.5 |
| Seoul, South Korea [48] | - | 58.1 ± 29.2 | - | - | - | 97.2 ± 44.7 | - | - | 59.8 |
| Seoul, South Korea [28] | - | 45 ± 17 | - | - | - | 77 ± 30 | - | - | 58.4 |
| Seoul, South Korea [27] | - | - | - | - | - | 124 ± 55 | 61 ± 18 | - | - |
| Seoul, South Korea [26] | - | - | - | - | - | 33 ± 18 | 30 ± 14 | - | - |
| Seoul, South Korea [49] | - | 39.8 ± 19.6 | - | - | - | 75.6 ± 39.4 | - | - | 52.6 |
| Device | O-1-1 vs. O-1-2 | ||||||||||||||
| Month | 21 March | 21 April | 21 May | 21 June | 21 July | 21 August | 21 September | 21 October | 21 November | 21 December | 22 January | 22 February | 22 March | 22 April | 22 May |
| RMSE | 7.43 | 2.80 | 8.17 | 3.58 | 2.77 | 2.15 | 1.78 | 5.06 | 9.29 | 6.98 | 8.55 | 7.76 | 9.85 | 12.5 | 7.52 |
| MNE (%) | 13.7 | 9.73 | 30.9 | 9.47 | 10.8 | 18.4 | 25.4 | 35.6 | 30.1 | 27.4 | 30.2 | 28.7 | 45.1 | 62.4 | 69.2 |
| MNB (%) | 9.51 | 4.46 | 19.5 | −4.33 | −5.04 | −18.27 | 6.16 | 34.9 | 29.6 | 27.2 | 30.0 | 28.7 | 44.7 | 62.4 | 69.1 |
| Device | O-1-1 vs. O-2-1 | ||||||||||||||
| Month | 21 March | 21 April | 21 May | 21 June | 21 July | 21 August | 21 September | 21 October | 21 November | 21 December | 22 January | 22 February | 22 March | 22 April | 22 May |
| RMSE | 10.6 | 4.69 | 8.23 | 5.35 | 4.61 | 5.20 | 5.14 | 6.00 | 10.6 | 10.8 | 12.8 | 11.6 | 9.38 | 9.68 | 6.80 |
| MNE (%) | 22.5 | 27.2 | 45.2 | 25.0 | 36.1 | 57.3 | 83.8 | 62.9 | 59.0 | 57.7 | 53.3 | 66.0 | 60.9 | 65.6 | 73.5 |
| MNB (%) | 21.0 | 25.9 | 40.0 | 22.8 | 34.1 | 56.8 | 83.2 | 61.9 | 58.8 | 57.7 | 53.3 | 66.0 | 60.8 | 65.3 | 73.1 |
| Device | O-1-1 vs. O-2-2 | ||||||||||||||
| Month | 21 March | 21 April | 21 May | 21 June | 21 July | 21 August | 21 September | 21 October | 21 November | 21 December | 22 January | 22 February | 22 March | 22 April | 22 May |
| RMSE | 10.8 | 5.93 | 9.48 | 6.27 | 4.10 | 6.50 | 7.66 | 7.34 | 11.34 | 12.24 | 12.84 | 11.91 | 7.09 | 9.37 | 8.83 |
| MNE (%) | 23.5 | 36.5 | 57.4 | 33.0 | 33.2 | 76.1 | 122.7 | 79.1 | 67.9 | 68.2 | 55.9 | 65.2 | 53.3 | 70.9 | 100.2 |
| MNB (%) | 15.8 | 33.2 | 51.8 | 30.3 | 29.1 | 75.7 | 121.8 | 77.7 | 67.6 | 68.1 | 55.9 | 65.0 | 52.4 | 70.8 | 99.8 |
| Device | O-1-1 vs. O-2-3 | ||||||||||||||
| Month | 21 March | 21 April | 21 May | 21 June | 21 July | 21 August | 21 September | 21 October | 21 November | 21 December | 22 January | 22 February | 22 March | 22 April | 22 May |
| RMSE | 14.9 | 6.78 | 13.28 | 6.89 | 6.85 | 7.24 | 6.71 | 7.97 | 14.10 | 12.78 | 13.77 | 12.01 | 10.94 | 11.64 | − |
| MNE (%) | 31.4 | 38.1 | 68.4 | 32.9 | 51.4 | 80.1 | 105.7 | 82.0 | 72.0 | 67.3 | 56.9 | 59.1 | 66.5 | 78.0 | − |
| MNB (%) | 29.4 | 36.6 | 65.3 | 31.4 | 53.1 | 79.5 | 104.5 | 81.7 | 71.8 | 67.3 | 56.9 | 59.1 | 66.4 | 78.0 | − |
| Device | O-1-1 vs. O-2-4 | ||||||||||||||
| Month | 21 March | 21 April | 21 May | 21 June | 21 July | 21 August | 21 September | 21 October | 21 November | 21 December | 22 January | 22 February | 22 March | 22 April | 22 May |
| RMSE | 15.5 | 6.13 | 10.8 | 4.92 | 4.01 | 5.26 | 6.36 | 8.70 | 13.6 | 14.7 | 15.21 | 13.83 | 11.70 | 12.57 | − |
| MNE (%) | 32.0 | 36.5 | 59.1 | 22.8 | 29.7 | 59.0 | 99.3 | 97.8 | 73.4 | 79.6 | 65.9 | 68.6 | 67.7 | 85.1 | − |
| MNB (%) | 30.3 | 34.8 | 54.9 | 20.5 | 26.6 | 58.2 | 98.8 | 97.3 | 73.2 | 79.6 | 65.9 | 68.5 | 67.3 | 85.1 | − |
| Device | O-1-1 vs. BAM | ||||||||||||||
| Month | 21 March | 21 April | 21 May | 21 June | 21 July | 21 August | 21 September | 21 October | 21 November | 21 December | 22 January | 22 February | 22 March | 22 April | 22 May |
| RMSE | 23.8 | 10.0 | 18.1 | 8.3 | 6.8 | 9.8 | 12.4 | 12.1 | 18.8 | 18.4 | 16.1 | 22.4 | 15.1 | 15.5 | 15.3 |
| MNE (%) | 45.3 | 65.0 | 119.0 | 45.3 | 57.6 | 122.6 | 195.3 | 136.7 | 115.4 | 110.5 | 61.0 | 115.7 | 102.6 | 129.7 | 187.0 |
| MNB (%) | 36.3 | 61.7 | 114.0 | 38.2 | 52.4 | 121.1 | 195.2 | 136.2 | 114.2 | 110.3 | 74.9 | 114.1 | 102.3 | 129.6 | 186.5 |
| Device | O-1-1 vs. O-1-2 | O-1-1 vs. O-2-1 | O-1-1 vs. O-2-2 | ||||||||||||
| Season | Spring 2021 | Summer 2021 | Fall 2021 | Winter 2021 | Spring 2022 | Spring 2021 | Summer 2021 | Fall 2021 | Winter 2021 | Spring 2022 | Spring 2021 | Summer 2021 | Fall 2021 | Winter 2021 | Spring 2022 |
| RMSE | 6.71 | 2.11 | 6.17 | 7.78 | 10.1 | 8.24 | 5.20 | 7.63 | 11.7 | 8.62 | 9.03 | 6.51 | 8.94 | 12.1 | 8.64 |
| MNE (%) | 18.8 | 18.3 | 30.4 | 28.7 | 58.8 | 32.2 | 57.4 | 68.5 | 67.1 | 67.4 | 39.9 | 76.4 | 89.8 | 67.5 | 77.6 |
| MNB (%) | 11.6 | −18.2 | 23.7 | 28.7 | 58.6 | 29.5 | 57.0 | 67.9 | 67.1 | 67.1 | 34.3 | 76.1 | 88.9 | 67.5 | 77.1 |
| Device | O-1-1 vs. O-2-3 | O-1-1 vs. O-2-4 | O-1-1 vs. BAM | ||||||||||||
| Season | Spring 2021 | Summer 2021 | Fall 2021 | Winter 2021 | Spring 2022 | Spring 2021 | Summer 2021 | Fall 2021 | Winter 2021 | Spring 2022 | Spring 2021 | Summer 2021 | Fall 2021 | Winter 2021 | Spring 2022 |
| RMSE | 12.2 | 7.25 | 10.1 | 12.1 | − | 11.5 | 5.26 | 10.1 | 13.9 | − | 18.3 | 9.81 | 15.7 | 22.5 | 15.3 |
| MNE (%) | 45.9 | 80.4 | 86.5 | 59.5 | − | 42.5 | 59.1 | 89.8 | 69.1 | − | 78.3 | 123.0 | 142.2 | 116.3 | 139.6 |
| MNB (%) | 43.7 | 79.8 | 86.2 | 59.5 | − | 39.9 | 58.4 | 89.4 | 69.1 | − | 72.5 | 121.5 | 141.5 | 114.6 | 139.3 |
| Device | O-1-1 vs. O-1-2 | ||||||||||||||
| Month | 21 March | 21 April | 21 May | 21 June | 21 July | 21 August | 21 September | 21 October | 21 November | 21 December | 22 January | 22 February | 22 March | 22 April | 22 May |
| RMSE | 4.57 | 1.48 | 5.11 | 1.51 | 1.19 | 1.69 | 1.42 | 4.37 | 8.54 | 6.39 | 8.01 | 7.06 | 9.31 | 11.8 | 7.05 |
| MNE (%) | 9.14 | 5.74 | 25.8 | 6.36 | 7.89 | 18.7 | 22.3 | 35.4 | 29.4 | 27.4 | 31.9 | 27.8 | 43.8 | 62.0 | 67.4 |
| MNB (%) | 9.11 | 3.93 | 20.7 | −4.44 | −7.05 | −18.7 | 4.18 | 35.4 | 29.4 | 27.4 | 28.6 | 27.8 | 43.8 | 62.0 | 67.4 |
| Device | O-1-1 vs. O-2-1 | ||||||||||||||
| Month | 21 March | 21 April | 21 May | 21 June | 21 July | 21 August | 21 September | 21 October | 21 November | 21 December | 22 January | 22 February | 22 March | 22 April | 22 May |
| RMSE | 9.00 | 3.89 | 5.84 | 4.10 | 3.89 | 4.66 | 4.72 | 5.60 | 10.1 | 10.1 | 13.5 | 10.4 | 9.03 | 9.30 | 6.47 |
| MNE (%) | 19.4 | 23.2 | 40.0 | 19.8 | 30.0 | 53.1 | 80.4 | 59.5 | 58.0 | 56.2 | 52.3 | 62.9 | 55.9 | 62.3 | 70.4 |
| MNB (%) | 19.4 | 22.0 | 39.0 | 18.2 | 30.0 | 53.1 | 80.4 | 59.5 | 58.0 | 56.2 | 52.3 | 62.9 | 55.9 | 78.9 | 70.4 |
| Device | O-1-1 vs. O-2-2 | ||||||||||||||
| Month | 21 March | 21 April | 21 May | 21 June | 21 July | 21 August | 21 September | 21 October | 21 November | 21 December | 22 January | 22 February | 22 March | 22 April | 22 May |
| RMSE | 7.07 | 4.63 | 7.14 | 4.70 | 2.84 | 5.80 | 6.83 | 6.59 | 10.5 | 11.1 | 12.3 | 9.73 | 6.13 | 8.47 | 8.16 |
| MNE (%) | 13.8 | 28.7 | 49.2 | 25.3 | 23.3 | 70.1 | 119.6 | 73.8 | 66.6 | 65.9 | 53.6 | 59.6 | 44.9 | 63.5 | 93.2 |
| MNB (%) | 12.3 | 27.9 | 49.2 | 24.3 | 46.0 | 70.1 | 119.6 | 73.8 | 66.6 | 65.9 | 53.4 | 59.6 | 44.9 | 63.5 | 93.2 |
| Device | O-1-1 vs. O-2-3 | ||||||||||||||
| Month | 21 March | 21 April | 21 May | 21 June | 21 July | 21 August | 21 September | 21 October | 21 November | 21 December | 22 January | 22 February | 22 March | 22 April | 22 May |
| RMSE | 12.5 | 5.62 | 10.16 | 5.76 | 6.59 | 6.64 | 6.08 | 7.34 | 13.3 | 12.0 | 13.1 | 10.9 | 10.5 | 11.0 | − |
| MNE (%) | 26.8 | 33.6 | 64.2 | 27.9 | 51.0 | 74.9 | 103 | 78.4 | 70.9 | 66.1 | 55.5 | 57.7 | 62.3 | 74.4 | − |
| MNB (%) | 26.8 | 33.6 | 64.2 | 27.9 | 51.0 | 74.9 | 103 | 78.4 | 70.9 | 66.1 | 55.5 | 57.7 | 62.3 | 74.4 | − |
| Device | O-1-1 vs. O-2-4 | ||||||||||||||
| Month | 21 March | 21 April | 21 May | 21 June | 21 July | 21 August | 21 September | 21 October | 21 November | 21 December | 22 January | 22 February | 22 March | 22 April | 22 May |
| RMSE | 13.2 | 5.31 | 8.25 | 3.46 | 3.70 | 4.75 | 5.61 | 8.53 | 12.8 | 13.7 | 14.4 | 12.6 | 11.2 | 11.9 | − |
| MNE (%) | 27.6 | 32.2 | 54.0 | 17.4 | 27.7 | 54.6 | 98.4 | 97.3 | 72.2 | 78.2 | 64.3 | 67.5 | 63.4 | 81.3 | − |
| MNB (%) | 27.6 | 32.2 | 53.6 | 17.4 | 27.7 | 54.6 | 98.4 | 97.3 | 72.2 | 78.2 | 64.3 | 67.5 | 63.4 | 81.3 | − |
| Device | O-1-1 vs. BAM | ||||||||||||||
| Month | 21 March | 21 April | 21 May | 21 June | 21 July | 21 August | 21 September | 21 October | 21 November | 21 December | 22 January | 22 February | 22 March | 22 April | 22 May |
| RMSE | 17.6 | 8.3 | 15.9 | 5.7 | 6.1 | 8.9 | 11.4 | 11.4 | 17.0 | 16.6 | 14.2 | 20.9 | 13.9 | 14.3 | 14.4 |
| MNE (%) | 32.8 | 53.7 | 111 | 31.2 | 49.4 | 110 | 191 | 134 | 111 | 107 | 70.9 | 118 | 94.9 | 118 | 174 |
| MNB (%) | 30.4 | 53.1 | 110 | 30.6 | 49.4 | 110 | 191 | 130 | 111 | 107 | 70.9 | 118 | 94.9 | 118 | 174 |
| Device | O-1-1 vs. O-1-2 | O-1-1 vs. O-2-1 | O-1-1 vs. O-2-2 | ||||||||||||
| Season | Spring-2021 | Summer 2021 | Fall 2021 | Winter 2021 | Spring 2022 | Spring-2021 | Summer 2021 | Fall 2021 | Winter 2021 | Spring 2022 | Spring-2021 | Summer 2021 | Fall 2021 | Winter 2021 | Spring 2022 |
| RMSE | 4.11 | 1.48 | 5.59 | 7.17 | 9.55 | 6.59 | 4.23 | 7.20 | 11.7 | 8.24 | 6.43 | 4.61 | 8.15 | 11.54 | 7.84 |
| MNE (%) | 14.1 | 11.0 | 29.1 | 29.2 | 57.9 | 28.0 | 34.6 | 65.9 | 55.0 | 63.9 | 31.3 | 39.9 | 86.6 | 59.9 | 70.6 |
| MNB (%) | 11.6 | −10.1 | 23.1 | 27.9 | 57.9 | 27.3 | 34.1 | 65.9 | 55.0 | 63.9 | 30.5 | 39.6 | 86.6 | 59.8 | 70.6 |
| Device | O-1-1 vs. O-2-3 | O-1-1 vs. O-2-4 | O-1-1 vs. BAM | ||||||||||||
| Season | Spring-2021 | Summer 2021 | Fall 2021 | Winter 2021 | Spring 2022 | Spring-2021 | Summer 2021 | Fall 2021 | Winter 2021 | Spring 2022 | Spring-2021 | Summer 2021 | Fall 2021 | Winter 2021 | Spring 2022 |
| RMSE | 9.88 | 6.38 | 9.41 | 12.3 | − | 9.54 | 4.05 | 9.50 | 13.8 | − | 14.6 | 7.06 | 13.8 | 16.8 | 14.2 |
| MNE (%) | 41.4 | 52.9 | 83.9 | 60.2 | − | 37.8 | 34.4 | 89.1 | 70.4 | − | 67.4 | 64.2 | 139 | 95.0 | 130 |
| MNB (%) | 41.4 | 52.9 | 83.9 | 60.2 | − | 37.6 | 34.4 | 89.1 | 70.4 | − | 66.3 | 64.0 | 139 | 95.0 | 130 |
Disclaimer/Publisher’s Note: The statements, opinions and data contained in all publications are solely those of the individual author(s) and contributor(s) and not of MDPI and/or the editor(s). MDPI and/or the editor(s) disclaim responsibility for any injury to people or property resulting from any ideas, methods, instructions or products referred to in the content. |
© 2025 by the authors. Licensee MDPI, Basel, Switzerland. This article is an open access article distributed under the terms and conditions of the Creative Commons Attribution (CC BY) license (https://creativecommons.org/licenses/by/4.0/).
Share and Cite
Dinh, T.-V.; Park, B.-G.; Lee, S.-W.; Choi, I.-Y.; Baek, D.-H.; Kim, J.-C. Long-Term Evaluation of Mid-Cost Optical Particle Counters for PM2.5 Monitoring in an Underground Subway Station: Insights from a 15-Month Study. Chemosensors 2025, 13, 25. https://doi.org/10.3390/chemosensors13010025
Dinh T-V, Park B-G, Lee S-W, Choi I-Y, Baek D-H, Kim J-C. Long-Term Evaluation of Mid-Cost Optical Particle Counters for PM2.5 Monitoring in an Underground Subway Station: Insights from a 15-Month Study. Chemosensors. 2025; 13(1):25. https://doi.org/10.3390/chemosensors13010025
Chicago/Turabian StyleDinh, Trieu-Vuong, Byeong-Gyu Park, Sang-Woo Lee, In-Young Choi, Da-Hyun Baek, and Jo-Chun Kim. 2025. "Long-Term Evaluation of Mid-Cost Optical Particle Counters for PM2.5 Monitoring in an Underground Subway Station: Insights from a 15-Month Study" Chemosensors 13, no. 1: 25. https://doi.org/10.3390/chemosensors13010025
APA StyleDinh, T.-V., Park, B.-G., Lee, S.-W., Choi, I.-Y., Baek, D.-H., & Kim, J.-C. (2025). Long-Term Evaluation of Mid-Cost Optical Particle Counters for PM2.5 Monitoring in an Underground Subway Station: Insights from a 15-Month Study. Chemosensors, 13(1), 25. https://doi.org/10.3390/chemosensors13010025

