Dummy Template Molecularly Imprinted Polymers for Electrochemical Detection of Cardiac Troponin I: A Combined Computational and Experimental Approach
Abstract
1. Introduction
2. Materials and Methods
2.1. Computational Details
2.1.1. The Design of PoPD Models
2.1.2. Molecular Docking Calculations
2.1.3. Unbiased All-Atom Molecular Dynamics (MDs) Simulations
2.2. Experimental Details
2.2.1. Materials and Instrumentations
2.2.2. Preparation of Imprinted Electrodes
2.2.3. Electroanalytical Measurements
3. Results and Discussion
3.1. Computational Results and Analysis
3.1.1. Molecular Docking
3.1.2. MD Simulations
3.1.3. SIFt and HB Calculations
3.2. Voltammetric Experiments
3.2.1. DT-MIP Electrosynthesis and Characterization
3.2.2. Binding Affinity of Template Molecules into the Imprinted Electrodes
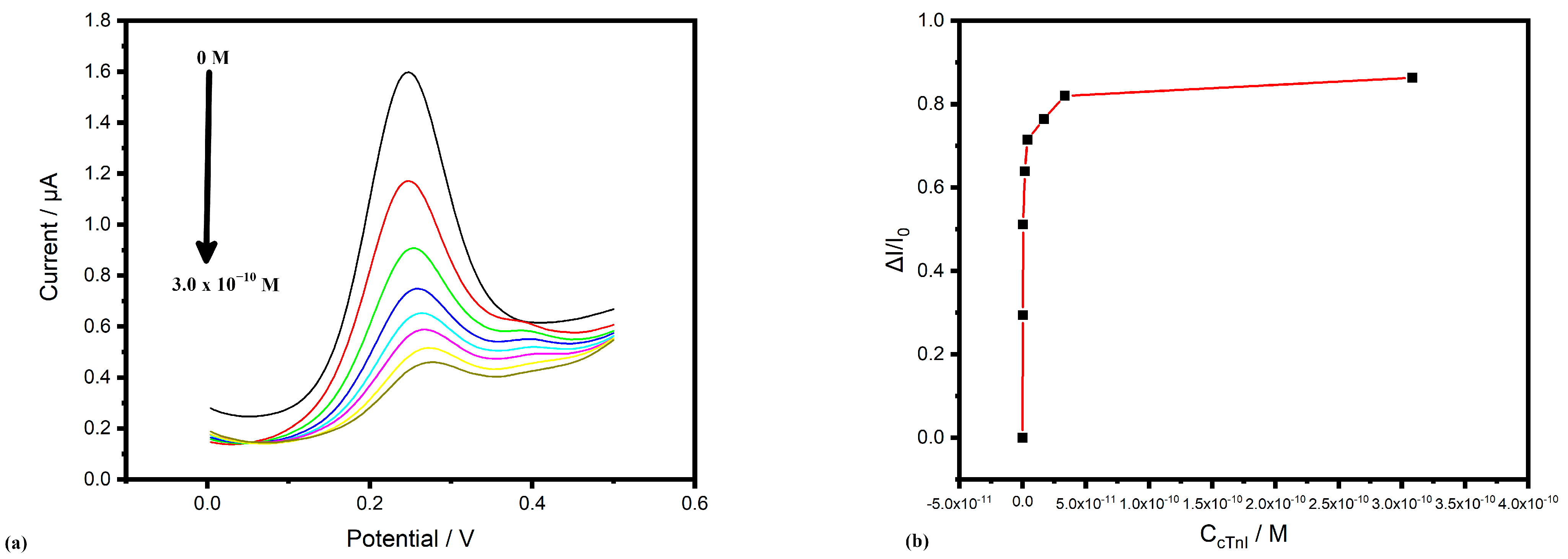
3.2.3. Evaluation of Analytical Performance for Imprinted Electrodes
4. Conclusions
Supplementary Materials
Author Contributions
Funding
Institutional Review Board Statement
Informed Consent Statement
Data Availability Statement
Acknowledgments
Conflicts of Interest
References
- Han, Y.; Tao, J.; Ali, N.; Khan, A.; Malik, S.; Khan, H.; Yu, C.; Yang, Y.; Bilal, M.; Mohamed, A.A. Molecularly imprinted polymers as the epitome of excellence in multiple fields. Eur. Polym. J. 2022, 179, 111582. [Google Scholar] [CrossRef]
- Piletsky, S.A.; Turner, A.P.F. Electrochemical Sensors Based on Molecularly Imprinted Polymers. Electroanalysis 2002, 14, 317–323. [Google Scholar] [CrossRef]
- Li, Y.; Luo, L.; Kong, Y.; Li, Y.; Wang, Q.; Wang, M.; Li, Y.; Davenport, A.; Li, B. Recent advances in molecularly imprinted polymer-based electrochemical sensors. Biosens. Bioelectron. 2024, 249, 116018. [Google Scholar] [CrossRef] [PubMed]
- Liu, Y.; Wang, L.; Li, H.; Zhao, L.; Ma, Y.; Zhang, Y.; Liu, J.; Wei, Y. Rigorous recognition mode analysis of molecularly imprinted polymers—Rational design, challenges, and opportunities. Prog. Polym. Sci. 2024, 150, 101790. [Google Scholar] [CrossRef]
- Ayerdurai, V.; Cieplak, M.; Kutner, W. Molecularly imprinted polymer-based electrochemical sensors for food contaminants determination. TrAC Trends Anal. Chem. 2023, 158, 116830. [Google Scholar] [CrossRef]
- Gkika, D.A.; Tolkou, A.K.; Lambropoulou, D.A.; Bikiaris, D.N.; Kokkinos, P.; Kalavrouziotis, I.K.; Kyzas, G.Z. Application of molecularly imprinted polymers (MIPs) as environmental separation tools. RSC Appl. Polym. 2024, 2, 127–148. [Google Scholar] [CrossRef]
- Sobiech, M.; Luliński, P. Molecularly imprinted solid phase extraction—Recent strategies, future prospects and forthcoming challenges in complex sample pretreatment process. TrAC Trends Anal. Chem. 2024, 174, 117695. [Google Scholar] [CrossRef]
- Periyakaruppan, A.; Gandhiraman, R.P.; Meyyappan, M.; Koehne, J.E. Label-Free Detection of Cardiac Troponin-I Using Carbon Nanofiber Based Nanoelectrode Arrays. Anal. Chem. 2013, 85, 3858–3863. [Google Scholar] [CrossRef]
- Haupt, K. Plastic antibodies. Nat. Mater. 2010, 9, 612–614. [Google Scholar] [CrossRef] [PubMed]
- Haupt, K.; Mosbach, K. Molecularly Imprinted Polymers and Their Use in Biomimetic Sensors. Chem. Rev. 2000, 100, 2495–2504. [Google Scholar] [CrossRef] [PubMed]
- Leibl, N.; Duma, L.; Gonzato, C.; Haupt, K. Polydopamine-based molecularly imprinted thin films for electro-chemical sensing of nitro-explosives in aqueous solutions. Bioelectrochemistry 2020, 135, 107541. [Google Scholar] [CrossRef] [PubMed]
- Chen, R.-N.; Kang, S.-H.; Li, J.; Lu, L.-N.; Luo, X.-P.; Wu, L. Comparison and recent progress of molecular imprinting technology and dummy template molecular imprinting technology. Anal. Methods 2021, 13, 4538–4556. [Google Scholar] [CrossRef] [PubMed]
- Fresco-Cala, B.; Mizaikoff, B. Surrogate Imprinting Strategies: Molecular Imprints via Fragments and Dummies. ACS Appl. Polym. Mater. 2020, 2, 3714–3741. [Google Scholar] [CrossRef]
- Wang, L.; Pagett, M.; Zhang, W. Molecularly imprinted polymer (MIP) based electrochemical sensors and their recent advances in health applications. Sens. Actuators Rep. 2023, 5, 100153. [Google Scholar] [CrossRef]
- Amodio, G.; Antonelli, G.; Varraso, L.; Ruggieri, V.; Di Serio, F. Clinical impact of the troponin 99th percentile cut-off and clinical utility of myoglobin measurement in the early management of chest pain patients admitted to the Emergency Cardiology Department. Coron. Artery Dis. 2007, 18, 181–186. [Google Scholar] [CrossRef]
- Cummins, B.; Auckland, M.L.; Cummins, P. Cardiac-specific troponin-l radioimmunoassay in the diagnosis of acute myocardial infarction. Am. Heart J. 1987, 113, 1333–1344. [Google Scholar] [CrossRef] [PubMed]
- Mahmarian, J.J.; Pratt, C.M. Risk stratification after acute myocardial infarction: Is it time to reassess? Implications from the INSPIRE trial. J. Nucl. Cardiol. 2007, 14, 282–292. [Google Scholar] [CrossRef] [PubMed]
- Cho, I.-H.; Paek, E.-H.; Kim, Y.-K.; Kim, J.-H.; Paek, S.-H. Chemiluminometric enzyme-linked immunosorbent assays (ELISA)-on-a-chip biosensor based on cross-flow chromatography. Anal. Chim. Acta 2009, 632, 247–255. [Google Scholar] [CrossRef] [PubMed]
- Han, G.-R.; Kim, M.-G. Highly Sensitive Chemiluminescence-Based Lateral Flow Immunoassay for Cardiac Troponin I Detection in Human Serum. Sensors 2020, 20, 2593. [Google Scholar] [CrossRef] [PubMed]
- Marquette, C.A.; Bouteille, F.; Corgier, B.P.; Degiuli, A.; Blum, L.J. Disposable screen-printed chemiluminescent biochips for the simultaneous determination of four point-of-care relevant proteins. Anal. Bioanal. Chem. 2009, 393, 1191–1198. [Google Scholar] [CrossRef]
- Kim, S.-W.; Cho, I.-H.; Park, J.-N.; Seo, S.-M.; Paek, S.-H. A High-Performance Fluorescence Immunoassay Based on the Relaxation of Quenching, Exemplified by Detection of Cardiac Troponin I. Sensors 2016, 16, 669. [Google Scholar] [CrossRef] [PubMed]
- Tran, V.T.; Ju, H. Fluorescence Based on Surface Plasmon Coupled Emission for Ultrahigh Sensitivity Immunoassay of Cardiac Troponin I. Biomedicines 2021, 9, 448. [Google Scholar] [CrossRef] [PubMed]
- Guo, H.; Yang, D.; Gu, C.; Bian, Z.; He, N.; Zhang, J. Development of a low density colorimetric protein array for cardiac troponin I detection. J. Nanosci. Nanotechnol. 2005, 5, 2161–2166. [Google Scholar] [CrossRef]
- Ko, S.; Kim, B.; Jo, S.-S.; Oh, S.Y.; Park, J.-K. Electrochemical detection of cardiac troponin I using a microchip with the surface-functionalized poly(dimethylsiloxane) channel. Biosens. Bioelectron. 2007, 23, 51–59. [Google Scholar] [CrossRef] [PubMed]
- Bhalla, V.; Carrara, S.; Sharma, P.; Nangia, Y.; Raman Suri, C. Gold nanoparticles mediated label-free capacitance detection of cardiac troponin I. Sens. Actuators B Chem. 2012, 161, 761–768. [Google Scholar] [CrossRef]
- Jo, H.; Gu, H.; Jeon, W.; Youn, H.; Her, J.; Kim, S.-K.; Lee, J.; Shin, J.H.; Ban, C. Electrochemical Aptasensor of Cardiac Troponin I for the Early Diagnosis of Acute Myocardial Infarction. Anal. Chem. 2015, 87, 9869–9875. [Google Scholar] [CrossRef]
- Jo, H.; Her, J.; Lee, H.; Shim, Y.-B.; Ban, C. Highly sensitive amperometric detection of cardiac troponin I using sandwich aptamers and screen-printed carbon electrodes. Talanta 2017, 165, 442–448. [Google Scholar] [CrossRef] [PubMed]
- Saczek, J.; Jamieson, O.; McClements, J.; Dann, A.; Johnson, R.E.; Stokes, A.D.; Crapnell, R.D.; Banks, C.; Canfarotta, F.; Spyridopoulos, I. Troponin I Biomarker Sensing Using Molecularly Imprinted Polymer Nanoparticles for Advancing Healthcare Approaches in Cardiovascular Disease; Elsevier BV: Amsterdam, The Netherlands, 2024. [Google Scholar] [CrossRef]
- Mokhtari, Z.; Khajehsharifi, H.; Hashemnia, S.; Solati, Z.; Azimpanah, R.; Shahrokhian, S. Evaluation of molecular imprinted polymerized methylene blue/aptamer as a novel hybrid receptor for Cardiac Troponin I (cTnI) detection at glassy carbon electrodes modified with new biosynthesized ZnONPs. Sens. Actuators B Chem. 2020, 320, 128316. [Google Scholar] [CrossRef]
- Yola, M.L.; Atar, N. Development of cardiac troponin-I biosensor based on boron nitride quantum dots including molecularly imprinted polymer. Biosens. Bioelectron. 2019, 126, 418–424. [Google Scholar] [CrossRef]
- McClements, J.; Seumo Tchekwagep, P.M.; Vilela Strapazon, A.L.; Canfarotta, F.; Thomson, A.; Czulak, J.; Johnson, R.E.; Novakovic, K.; Losada-Pérez, P.; Zaman, A.; et al. Immobilization of Molecularly Imprinted Polymer Nanoparticles onto Surfaces Using Different Strategies: Evaluating the Influence of the Functionalized Interface on the Performance of a Thermal Assay for the Detection of the Cardiac Biomarker Troponin I. ACS Appl. Mater. Interfaces 2021, 13, 27868–27879. [Google Scholar] [CrossRef]
- Ayman Saleh, M.; Khorrami Jahromi, A.; Shieh, H.; Siavash Moakhar, R.; del Real Mata, C.; Mahshid, S. A reagentless molecularly imprinted polymer-based electrochemical biosensor for single-step detection of troponin I in biofluids. Analyst 2024, 149, 4020–4028. [Google Scholar] [CrossRef]
- Kanchan, S.; Balasubramanian, S.; Rani, B.E.A. Computational and Experimental Studies of Molecularly Imprinted Polymers for Organochlorine Pesticides Heptachlor and DDT. Curr. Anal. Chem. 2012, 8, 562–568. [Google Scholar] [CrossRef]
- Neres, L.C.S.; Feliciano, G.T.; Dutra, R.F.; Sotomayor, M.D.P.T. Development of a selective molecularly imprinted polymer for troponin T detection: A theoretical-experimental approach. Mater. Today Commun. 2022, 30, 102996. [Google Scholar] [CrossRef]
- Cowen, T.; Karim, K.; Piletsky, S. Computational approaches in the design of synthetic receptors—A review. Anal. Chim. Acta 2016, 936, 62–74. [Google Scholar] [CrossRef] [PubMed]
- Zhang, B.; Fan, X.; Zhao, D. Computer-Aided Design of Molecularly Imprinted Polymers for Simultaneous Detection of Clenbuterol and Its Metabolites. Polymers 2019, 11, 17. [Google Scholar] [CrossRef] [PubMed]
- Liu, Z.; Xu, Z.; Wang, D.; Yang, Y.; Duan, Y.; Ma, L.; Lin, T.; Liu, H. A Review on Molecularly Imprinted Polymers Preparation by Computational Simulation-Aided Methods. Polymers 2021, 13, 2657. [Google Scholar] [CrossRef]
- Reyes, N.B.D.; Pajarito, B.B. Computational design of dummy molecularly imprinted polymers via hydrogen bonding investigation for oxytetracycline determination. IOP Conf. Ser. Mater. Sci. Eng. 2019, 634, 012035. [Google Scholar] [CrossRef]
- Jamieson, O.; Mecozzi, F.; Crapnell, R.D.; Battell, W.; Hudson, A.; Novakovic, K.; Sachdeva, A.; Canfarotta, F.; Herdes, C.; Banks, C.E.; et al. Approaches to the Rational Design of Molecularly Imprinted Polymers Developed for the Selective Extraction or Detection of Antibiotics in Environmental and Food Samples. Phys. Status Solidi A 2021, 218, 2100021–2100040. [Google Scholar] [CrossRef]
- Lakshmi, D.; Akbulut, M.; Ivanova-Mitseva, P.K.; Whitcombe, M.J.; Piletska, E.V.; Karim, K.; Güven, O.; Piletsky, S.A. Computational Design and Preparation of MIPs for Atrazine Recognition on a Conjugated Polymer-Coated Microtiter Plate. Ind. Eng. Chem. Res. 2013, 52, 13910–13916. [Google Scholar] [CrossRef]
- Silva, W.R.; Soté, W.O.; da Silveira Petruci, J.F.; Batista, A.D.; Junior, M.C. The use of in silico models for the rationalization of molecularly imprinted polymer synthesis. Eur. Polym. J. 2022, 166, 111024. [Google Scholar] [CrossRef]
- Bianco, P.; Taye, A.; Haladjian, J. Incorporation of cytochrome c and cytochrome c3 within poly(ester-sulfonic acid) films cast on pyrolytic graphite electrodes. J. Electroanal. Chem. 1994, 377, 299–303. [Google Scholar] [CrossRef]
- Ugo, P.; Zangrando, V.; Moretto, L.M.; Brunetti, B. Ion-exchange voltammetry and electrocatalytic sensing capabilities of cytochrome c at polyestersulfonated ionomer coated glassy carbon electrodes. Biosens. Bioelectron. 2002, 17, 479–487. [Google Scholar] [CrossRef]
- Liu, C.; Kubo, T.; Otsuka, K. Specific recognition of a target protein, cytochrome c, using molecularly imprinted hydrogels. J. Mater. Chem. B 2022, 10, 6800–6807. [Google Scholar] [CrossRef]
- Kaniraja, G.; Karthikeyan, M.; Dhinesh Kumar, M.; Ananthappan, P.; Arunsunai Kumar, K.; Shanmugaiah, V.; Sivasamy Vasantha, V.; Karunakaran, C. Cytochrome c electrochemical detection utilizing molecularly imprinted poly(3, 4-ethylenedioxythiophene) on a disposable screen printed carbon electrode. Anal. Biochem. 2024, 692, 115557. [Google Scholar] [CrossRef] [PubMed]
- Qin, Y.-P.; Li, D.-Y.; He, X.-W.; Li, W.-Y.; Zhang, Y.-K. Preparation of High-Efficiency Cytochrome c-Imprinted Polymer on the Surface of Magnetic Carbon Nanotubes by Epitope Approach via Metal Chelation and Six-Membered Ring. ACS Appl. Mater. Interfaces 2016, 8, 10155–10163. [Google Scholar] [CrossRef]
- Yarman, A.; Dechtrirat, D.; Bosserdt, M.; Jetzschmann, K.J.; Gajovic-Eichelmann, N.; Scheller, F.W. Cytochrome c-Derived Hybrid Systems Based on Moleculary Imprinted Polymers. Electroanalysis 2015, 27, 573–586. [Google Scholar] [CrossRef]
- Campagnol, D.; Karimian, N.; Paladin, D.; Rizzolio, F.; Ugo, P. Molecularly imprinted electrochemical sensor for the ultrasensitive detection of cytochrome c. Bioelectrochemistry 2022, 148, 108269. [Google Scholar] [CrossRef] [PubMed]
- Martin, C.S.; Olean-Oliveira, A.; Teixeira, M.F.S. A new polymeric thin film by using electropolymerization:thin film of poly(phenazine-salen) obtained from 2,2′-[1,2-ethanediylbis(nitrilomethylidyne)]-bis[4-amino-phenol]. J. Electroanal. Chem. 2020, 873, 114404. [Google Scholar] [CrossRef]
- Zivari-Moshfegh, F.; Nematollahi, D.; Khoram, M.M.; Rahimi, A. Electrochemical oxidation of o-phenylenediamine and 1,3 dihydrospiro[benzo[d]imidazole-2,1′-cyclohexane]. A comprehensive study and introducing a novel case of CE mechanism. Electrochim. Acta 2020, 354, 136700. [Google Scholar] [CrossRef]
- Yano, J. Electrochemical and structural studies on soluble and conducting polymer from o-phenylenediamine. J. Polym. Sci. Part A Polym. Chem. 1995, 33, 2435–2441. [Google Scholar] [CrossRef]
- Long, J.W.; Rhodes, C.P.; Young, A.L.; Rolison, D.R. Ultrathin, Protective Coatings of Poly(o-phenylenediamine) as Electrochemical Proton Gates: Making Mesoporous MnO2 Nanoarchitectures Stable in Acid Electrolytes. Nano Lett. 2003, 3, 1155–1161. [Google Scholar] [CrossRef]
- Ullah, H.; Shah, A.-u.-H.A.; Ayub, K.; Bilal, S. Density Functional Theory Study of Poly(o-phenylenediamine) Oligomers. J. Phys. Chem. C 2013, 117, 4069–4078. [Google Scholar] [CrossRef]
- Couto, R.A.S.; Costa, S.S.; Mounssef, B.; Pacheco, J.G.; Fernandes, E.; Carvalho, F.; Rodrigues, C.M.P.; Delerue-Matos, C.; Braga, A.A.C.; Moreira Gonçalves, L.; et al. Electrochemical sensing of ecstasy with electropolymerized molecularly imprinted poly(o-phenylenediamine) polymer on the surface of disposable screen-printed carbon electrodes. Sens. Actuators B Chem. 2019, 290, 378–386. [Google Scholar] [CrossRef]
- Becke, A.D. Density-functional thermochemistry. III. The role of exact exchange. J. Chem. Phys. 1993, 98, 5648–5652. [Google Scholar] [CrossRef]
- Stephens, P.J.; Devlin, F.J.; Chabalowski, C.F.; Frisch, M.J. Ab Initio Calculation of Vibrational Absorption and Circular Dichroism Spectra Using Density Functional Force Fields. J. Phys. Chem. 1994, 98, 11623–11627. [Google Scholar] [CrossRef]
- Rassolov, V.A.; Pople, J.A.; Ratner, M.A.; Windus, T.L. 6-31G* basis set for atoms K through Zn. J. Chem. Phys. 1998, 109, 1223–1229. [Google Scholar] [CrossRef]
- Frisch, M.J.; Trucks, G.T.; Schlegel, H.B.; Scuseria, G.E.; Robb, M.A.; Cheeseman, J.R.; Scalmani, G.; Barone, V.; Mennucci, B.; Petersson, G.A. Gaussian∼09 Revision D.01. 2014. Available online: https://www.scienceopen.com/document?vid=839f33cc-9114-4a55-8f1a-3f1520324ef5 (accessed on 14 January 2025).
- Wang, F.; Becker, J.P.; Cieplak, P.; Dupradeau, F.Y.R.E.D. Python: Object Oriented Programming for Amber Force Fields 2013. Available online: https://upjv.q4md-forcefieldtools.org/REDServer-Development (accessed on 30 November 2024).
- Pérez, S.; Tvaroška, I. Carbohydrate-protein interactions: Molecular modeling insights. Adv. Carbohydr. Chem. Biochem. 2014, 71, 9–136. [Google Scholar] [CrossRef] [PubMed]
- Roy, K.; Kar, S.; Das, R.N. Understanding the Basics of QSAR for Applications in Pharmaceutical Sciences and Risk Assessment; Academic Press: Cambridge, MA, USA, 2015; pp. 1–479. [Google Scholar] [CrossRef]
- Banci, L.; Bertini, I.; Gray, H.B.; Luchinat, C.; Reddig, T.; Rosato, A.; Turano, P. Solution Structure of Oxidized Horse Heart Cytochrome c. Biochemistry 1997, 36, 9867–9877. [Google Scholar] [CrossRef]
- Available online: https://doi.org/10.2210/pdb4y99/pdb (accessed on 30 December 2024).
- Available online: https://www.rcsb.org (accessed on 30 December 2024).
- Morris, G.M.; Huey, R.; Lindstrom, W.; Sanner, M.F.; Belew, R.K.; Goodsell, D.S.; Olson, A.J. AutoDock4 and AutoDockTools4: Automated docking with selective receptor flexibility. J. Comput. Chem. 2009, 30, 2785–2791. [Google Scholar] [CrossRef]
- Eberhardt, J.; Santos-Martins, D.; Tillack, A.F.; Forli, S. AutoDock Vina 1.2.0: New Docking Methods, Expanded Force Field, and Python Bindings. J. Chem. Inf. Model. 2021, 61, 3891–3898. [Google Scholar] [CrossRef]
- Páll, S.; Abraham, M.J.; Kutzner, C.; Hess, B.; Lindahl, E. Tackling exascale software challenges in molecular dynamics simulations with GROMACS. In Solving Software Challenges for Exascale: International Conference on Exascale Applications and Software, EASC 2014, Stockholm, Sweden, 2–3 April 2014, Revised Selected Papers 2; Springer International Publishing: Berlin/Heidelberg, Germany, 2015; pp. 3–27. [Google Scholar] [CrossRef]
- Hornak, V.; Abel, R.; Okur, A.; Strockbine, B.; Roitberg, A.; Simmerling, C. Comparison of multiple Amber force fields and development of improved protein backbone parameters. Proteins Struct. Funct. Bioinform. 2006, 65, 712–725. [Google Scholar] [CrossRef] [PubMed]
- Sousa da Silva, A.W.; Vranken, W.F. ACPYPE-Antechamber python parser interface. BMC Res. Notes 2012, 5, 367. [Google Scholar] [CrossRef] [PubMed]
- Wang, J.; Wolf, R.M.; Caldwell, J.W.; Kollman, P.A.; Case, D.A. Development and testing of a general amber force field. J. Comput. Chem. 2004, 25, 1157–1174. [Google Scholar] [CrossRef] [PubMed]
- Breneman, C.M.; Wiberg, K.B. Determining atom-centered monopoles from molecular electrostatic potentials. The need for high sampling density in formamide conformational analysis. J. Comput. Chem. 1990, 11, 361–373. [Google Scholar] [CrossRef]
- Vanquelef, E.; Simon, S.; Marquant, G.; Garcia, E.; Klimerak, G.; Delepine, J.C.; Cieplak, P.; Dupradeau, F.-Y. RED Server: A web service for deriving RESP and ESP charges and building force field libraries for new molecules and molecular fragments. Nucleic Acids Res. 2011, 39, W511–W517. [Google Scholar] [CrossRef]
- Price, D.J.; Brooks III, C.L. A modified TIP3P water potential for simulation with Ewald summation. J. Chem. Phys. 2004, 121, 10096–10103. [Google Scholar] [CrossRef] [PubMed]
- Olsson, M.H.; Søndergaard, C.R.; Rostkowski, M.; Jensen, J.H. PROPKA3: Consistent treatment of internal and surface residues in empirical p K a predictions. J. Chem. Theory Comput. 2011, 7, 525–537. [Google Scholar] [CrossRef]
- Bussi, G.; Donadio, D.; Parrinello, M. Canonical sampling through velocity rescaling. J. Chem. Phys. 2007, 126, 014101. [Google Scholar] [CrossRef]
- Parrinello, M.; Rahman, A. Polymorphic transitions in single crystals: A new molecular dynamics method. J. Appl. Phys. 1981, 52, 7182–7190. [Google Scholar] [CrossRef]
- Darden, T.; York, D.; Pedersen, L. Particle mesh Ewald: An N⋅log (N) method for Ewald sums in large systems. J. Chem. Phys. 1993, 98, 10089–10092. [Google Scholar] [CrossRef]
- Hess, B.; Bekker, H.; Berendsen, H.J.; Fraaije, J.G. LINCS: A linear constraint solver for molecular simulations. J. Comput. Chem. 1997, 18, 1463–1472. [Google Scholar] [CrossRef]
- Valdés-Tresanco, M.S.; Valdés-Tresanco, M.E.; Valiente, P.A.; Moreno, E. gmx_MMPBSA: A new tool to perform end-state free energy calculations with GROMACS. J. Chem. Theory Comput. 2021, 17, 6281–6291. [Google Scholar] [CrossRef]
- Singh, J.; Deng, Z.; Narale, G.; Chuaqui, C. Structural interaction fingerprints: A new approach to organizing, mining, analyzing, and designing protein–small molecule complexes. Chem. Biol. Drug Des. 2006, 67, 5–12. [Google Scholar] [CrossRef]
- Kawai, C.; Prado, F.M.; Nunes, G.L.C.; Di Mascio, P.; Carmona-Ribeiro, A.M.; Nantes, I.L. pH-dependent Interaction of Cytochrome c with Mitochondrial Mimetic Membranes: THE ROLE OF AN ARRAY OF POSITIVELY CHARGED AMINO ACIDS*. J. Biol. Chem. 2005, 280, 34709–34717. [Google Scholar] [CrossRef] [PubMed]
- Milorey, B.; Schweitzer-Stenner, R.; Kurbaj, R.; Malyshka, D. pH-Induced Switch between Different Modes of Cytochrome c Binding to Cardiolipin-Containing Liposomes. ACS Omega 2019, 4, 1386–1400. [Google Scholar] [CrossRef]
- Liu, J.; Chakraborty, S.; Hosseinzadeh, P.; Yu, Y.; Tian, S.; Petrik, I.; Bhagi, A.; Lu, Y. Metalloproteins Containing Cytochrome, Iron–Sulfur, or Copper Redox Centers. Chem. Rev. 2014, 114, 4366–4469. [Google Scholar] [CrossRef] [PubMed]
- Marston, S.; Zamora, J.E. Troponin structure and function: A view of recent progress. J. Muscle Res. Cell Motil. 2020, 41, 71–89. [Google Scholar] [CrossRef] [PubMed]
- Sabek, J.; Martínez-Pérez, P.; García-Rupérez, J. Computational binding study of cardiac troponin I antibody towards cardiac versus skeletal troponin I. Comput. Biol. Chem. 2019, 80, 147–151. [Google Scholar] [CrossRef] [PubMed]
- Pettersen, E.F.; Goddard, T.D.; Huang, C.C.; Couch, G.S.; Greenblatt, D.M.; Meng, E.C.; Ferrin, T.E. UCSF Chimera—A visualization system for exploratory research and analysis. J. Comput. Chem. 2004, 25, 1605–1612. [Google Scholar] [CrossRef] [PubMed]
- The PyMOL Molecular Graphics System, V.S., LLC. Available online: https://www.pymol.org (accessed on 30 December 2024).







| 5PoPD | Cyt c | cTnI |
|---|---|---|
| 5PHRed | −9.13 | −17.06 |
| 5PHOx | −14.13 | −33.06 |
| 5BQRed | −30.71 | −34.73 |
| 5BQOx | −15.86 | −19.39 |
| Protein | Ka/M−1 |
|---|---|
| cTnI | 6 × 1011 |
| Cyt c | 5 × 1011 |
| Lysozyme | 6.8 × 1010 |
| Hemoglobin | 5.6 × 1010 |
| Bovin Serum Albumin | 4.4 × 1010 |
Disclaimer/Publisher’s Note: The statements, opinions and data contained in all publications are solely those of the individual author(s) and contributor(s) and not of MDPI and/or the editor(s). MDPI and/or the editor(s) disclaim responsibility for any injury to people or property resulting from any ideas, methods, instructions or products referred to in the content. |
© 2025 by the authors. Licensee MDPI, Basel, Switzerland. This article is an open access article distributed under the terms and conditions of the Creative Commons Attribution (CC BY) license (https://creativecommons.org/licenses/by/4.0/).
Share and Cite
Sadeghi Googheri, M.S.; Campagnol, D.; Ugo, P.; Hozhabr Araghi, S.; Karimian, N. Dummy Template Molecularly Imprinted Polymers for Electrochemical Detection of Cardiac Troponin I: A Combined Computational and Experimental Approach. Chemosensors 2025, 13, 26. https://doi.org/10.3390/chemosensors13010026
Sadeghi Googheri MS, Campagnol D, Ugo P, Hozhabr Araghi S, Karimian N. Dummy Template Molecularly Imprinted Polymers for Electrochemical Detection of Cardiac Troponin I: A Combined Computational and Experimental Approach. Chemosensors. 2025; 13(1):26. https://doi.org/10.3390/chemosensors13010026
Chicago/Turabian StyleSadeghi Googheri, Mohammad Sadegh, Davide Campagnol, Paolo Ugo, Samira Hozhabr Araghi, and Najmeh Karimian. 2025. "Dummy Template Molecularly Imprinted Polymers for Electrochemical Detection of Cardiac Troponin I: A Combined Computational and Experimental Approach" Chemosensors 13, no. 1: 26. https://doi.org/10.3390/chemosensors13010026
APA StyleSadeghi Googheri, M. S., Campagnol, D., Ugo, P., Hozhabr Araghi, S., & Karimian, N. (2025). Dummy Template Molecularly Imprinted Polymers for Electrochemical Detection of Cardiac Troponin I: A Combined Computational and Experimental Approach. Chemosensors, 13(1), 26. https://doi.org/10.3390/chemosensors13010026

