Abstract
Coffee quality, which ultimately is reflected in the beverage aroma, relies on several aspects requiring multiple approaches to check it, which can be expensive and/or time-consuming. Therefore, this study aimed to develop and calibrate an electronic nose (e-nose) coupled with chemometrics to approach coffee-related quality tasks. Twelve different metal oxide sensors were employed in the e-nose construction. The tasks were (i) the separation of Coffea arabica and Coffea canephora species, (ii) the distinction between roasting profiles (light, medium, and dark), and (iii) the separation of expired and non-expired coffees. Exploratory analysis with principal component analysis (PCA) pointed to a fair grouping of the tested samples according to their specification, indicating the potential of the volatiles in grouping the samples. Moreover, a supervised classification employing soft independent modeling of class analogies (SIMCA), partial least squares discriminant analysis (PLS-DA), and least squares support vector machine (LS-SVM) led to great results with accuracy above 90% for every task. The performance of each model varies with the specific task, except for the LS-SVM models, which presented a perfect classification for all tasks. Therefore, combining the e-nose with distinct classification models could be used for multiple-purpose classification tasks for producers as a low-cost, rapid, and effective alternative for quality assurance.
1. Introduction
Coffee is one of the leading internationally traded commodities []. In addition to widely significant consumption, the arrival of the “third wave of coffee” led consumers to become more interested in the high sensory quality of coffee and in considerations related to the origin, certification, and implementation of sustainable practices, which, in turn, has promoted the expansion of specialty coffee consumption [,].
From this more immersive experience with the coffee, both major cultivated species, Coffea arabica and Coffea canephora, have been produced in specialty quality and explored for their uniqueness [,,]. It is important to highlight that the two species can lead to very different brews, as Arabica coffee is known for its more subtle drink, and Canephora is distinct for having more body as its soluble solids content is higher [].
Moreover, the sensory quality of coffee results from a complex interaction of substances from diverse biosynthetic origins, which affect both aroma and taste. Besides the distinction in the coffee species, these substances arise from several factors ranging from farming to processing, including soil and edaphoclimatic characteristics, to drying and roasting parameters []. The aromatic profile of fresh coffee, which is widely appreciated, is determined by volatile organic compounds (VOCs). More than 1000 VOCs have already been identified in roasted coffee, belonging to different chemical groups [,]. This diversity relates to the roasting process, which largely dictates the final chemical profile by the Maillard reaction [].
In the majority of cases, coffee quality control and assessment are performed by specialists with experience in proving and assessing notes and characteristics []. However, not all producers and industries can afford such experts, leading to the search for instrumental techniques for adequate quality control in production []. Of the analytical options, spectroscopic techniques are the most extensively studied on coffee quality, having several studies in the literature, such as ultraviolet mid-infrared [], near-infrared [,], and ultraviolet–visible [].
Although these techniques have a fingerprinting approach and have been successfully applied to classification and calibration purposes, they cannot consider the coffee aroma []. Assessing the coffee aroma is interesting for several applications, as it is one of the first and strongest impressions that a coffee gives, evoking sensations and likeability for the consumers []. Conventional methods of analyzing volatile compounds often involve using specialized instrumentation, such as gas chromatography (GC) [,]. However, these techniques’ drawbacks include the need for highly trained personnel, time-consuming sample preparation and analysis, and high equipment acquisition and maintenance costs.
On the other hand, electronic noses (e-nose) sensitive to different profiles of volatiles have been employed [,,]. An e-nose comprises a set of gas sensors, each with a distinct sensitivity to a class of volatile compounds, leading to a signal array for each sample studied. Thus, from the non-specific analytical signal of the sensors, complementary statistical tools are required for the data interpretation. Multivariate statistical techniques employed with e-noses can be supervised, leading to classification and calibration models or exploratory techniques that could unravel the natural clustering of the samples []. The growing popularity of e-noses relates to their operation’s simplicity, which does not require sample processing, thus preserving the analyzed material integrity. In addition, thanks to the sensor’s sensitivity, these devices can detect very low concentrations, up to parts per million, of volatile compounds [,].
Therefore, this study aimed to evaluate the feasibility of a lab-made e-nose based on 12 metal oxide semiconductor (MOS) sensors for coffee quality assessments. The suitability of this e-nose for coffee quality assessment was evaluated with three different classification tasks: (i) species differentiation of Coffea arabica and Coffea canephora; (ii) distinction between roasting profiles (light, medium, and dark); and (iii) differentiation of expired and non-expired coffees.
2. Materials and Methods
2.1. Coffee Samples
Several distinct samples were obtained to perform three distinct tasks and assess the e-nose potential. For that, a distinct set of coffee samples was designed for each one of the three tasks assessed.
2.1.1. Species Task
For the species differentiation task, 26 samples of Coffea arabica of distinct cultivars (Arara, Catuiaí amarelo, Bourbon amarelo) were obtained from different Minas Gerais State farms (Brazil). The Coffea canephora were from the Conilon variety, K61 and A1 clones obtained from Itarana (ES, Brazil) producers, totaling 20 samples. After the post-harvest, raw beans retained in 16 or higher sieves were selected, and the fruits were processed using the dry method. Further, defective beans were removed before the samples were roasted to a medium roast profile.
2.1.2. Roasting Level Determination Task
For the roasting degree task, Coffea arabica (Catuaí Vermelho IAC 99) was roasted in a Probat TP2 roaster (Probat Leogap Inc., Curitiba, Brazil) with an initial temperature of 150 °C and a maximum time of 12 min, in different time and temperature curves as in a previous work []. After roasting, the whole grain samples were analyzed using an Agtron spectrophotometer M-basic II (Agtron, Reno, NV, USA) to determine the Agtron value. Samples of Agtron between 71 and 130 were classified as light, 41 and 70 as medium, and 0 and 40 as dark. Of the total 99 samples, 50 belonged to the light class, 25 to the medium class, and 24 to the dark class.
2.1.3. Coffee Shelf-Life Status Task
Samples for the shelf-life status task were acquired in local supermarkets in Lavras (State of Minas Gerais, Brazil). A total of 54 samples were used, 28 expired and 26 non-expired coffees. All expired coffees had expiration dates between December 2021 and February 2022, approximately two years past their expiration date at the time of analysis. For the fresh samples, coffees from the same producers, brands, and types were also purchased for comparison. All coffees bought were roasted and ground, and their purity was attested by a certification from the Brazilian Association of Coffee Industry (ABIC). All coffees were medium roasted and medium ground to minimize variation from sources other than the expiration.
2.2. E-Nose Structure and Data Acquisition
The lab-made electronic nose was based on 12 MOS sensors, namely MQ-2, MQ-3, MQ-4, MQ-5, MQ-6, MQ-7, MQ-8, MQ-9, MQ-135, MQ-136, MQ-137, and MQ-138 (Henan Hanwei Electronics Co., Ltd., China), arranged in an analysis chamber (350 mL) through which the sample vapors circulated (Figure 1). Each sensor outputs a signal proportional to the presence of vapors it is sensitive to. The sensors were powered by a 5V/3.5A power supply and interfaced with an Arduino Mega, which read their signals as analogical readings at 300 millisecond intervals. The readings were transmitted to a computer through a universal serial bus (USB) and then plotted in real time using the SVisual Monitor [].

Figure 1.
Schematic of the e-nose used to analyze the coffee samples.
The e-nose works by providing signals for different gases passing through the system’s chamber. As different gaseous atmospheres pass through the e-nose chamber, the resistance of each sensor decreases according to its affinity for each gas. This results in an increase in conductivity and consequently an increase in the sensor signal, which is read as an analogical signal (from 0 to 1023) representing the proportion of the voltage at the analogical input to the supply voltage.
Before the analysis, 5 g of coffee was placed in glass jars of 260 mL and sealed. The sealed jars were stored in a BOD incubator at 25 °C for 15 min to release the volatiles and form a sample headspace. After stabilization, the sample headspace analysis was performed with a flow injection using an air pump circulator (Figure 1) at a flow rate of 1.2 L/min for 3 min. A 5-min purge of atmospheric air was performed between each sample reading to allow the recovery of the baseline signals.
The signal acquisition was performed by averaging the 3-min analogical readings for each sensor, for a total of 12 sensor signals for each sample analyzed. Average baseline values were also obtained for the 12 sensors, covering a one-minute window prior to sample injection. The normalized signals for the samples (Sns) and their respective baselines (Snb) were obtained by dividing the difference between the analogical reading (An) and the maximum possible analogical signal (1023) by the analogical reading (An), according to Equation (1):
Subtle changes in atmospheric air caused by breathing and other uncontrollable factors may be present during analysis. Therefore, the use of a relative signal, which includes the signal baseline at the pre-injection of each sample, works to account for this background and make the results not rely solely on the absolute signal of the system. Then, the relative signal (Sr) of the sample was obtained as the ratio between the sample (SnS) and its baseline (SnB) normalized signals, according to Equation (2):
This relative signal has an inverse relationship with gas concentration and can then be inverted so that the increased signals are related to the increase in gas concentration, making it easier to interpret the results (as opposed to an inverse signal relationship). In addition, using logarithmic values makes the relationship of these signals to gas concentration linear. Therefore, the sensor signal (Ss) was obtained using Equation (3):
This produces a dimensionless analytical signal because the resulting response is a pre-unit change from the baseline that compensates for deviations in sensor signals with inherently low or high response levels.
2.3. Data Treatment and Multivariate Statistics
The e-nose data were mean-centered or autoscaled to assess the more effective pre-treatment. Non-supervised analyses were carried out with principal component analysis (PCA) to gain insights into the dataset’s natural clustering of the coffee classes []. The statistical analyses were performed in a Matlab environment (The MathWorks, Natick, MA, USA) with in-house-written routines.
Before the model’s building, the SMOTE (Synthetic Minority Over-sampling Technique) algorithm was implemented to generate synthetic samples and balance the number of samples per class of each task []. Three supervised classification techniques were tested, including two linear techniques: SIMCA and PLS-DA, and a non-linear technique: LS-SVM.
SIMCA belongs to the class modeling techniques, which focus on individual similarities using PCA to reduce the dataset dimensionality and build a class independent of the characteristics of outside samples []. PLS-DA belongs to the discriminant analysis group of classification techniques, which focuses on maximizing a threshold that differentiates samples from distinct classes, focusing on their dissimilarities []. Further, SVM is also a discriminant technique. However, by adopting the radial basis function kernel, the method maps data into higher-dimensional space features capable of approaching linearly inseparable problems. Further, a least squares cost function is adopted in LS-SVM to obtain a linear set of equations, ignoring the large margin of interpretation inherited from SVM [].
For the purposes of external validation, a split into a training set with 70% of the samples of each class and a test set with the remaining 30% was performed for each specific task dataset. The selection of samples to compose the test dataset was performed with the Kennard–Stone algorithm [].
The optimization of the model parameters for SIMCA, PLS-DA, and LS-SVM was performed with leave-one-out cross-validation (LOO-CV). For this cross-validation, one sample at a time was removed from the training dataset and used as an external validation set, while the remaining data were used to construct the model. From that, the parameter setting that minimizes the classification error was chosen at the end of the process.
The robustness of the models was assessed using the y-randomization test, which consists of fixing the X matrix (independent variables) and shuffling the y vector (dependent variables, classes) to obtain new models. The sample’s classes from the calibration dataset were randomly shuffled 10 times, and each time, a model was calculated. The final classification metrics obtained were an average of the 10 iterations. The predictive performance of the y-randomization models is expected to decrease as the response is indeed related to its predictor, thus validating the relationship between independent and dependent variables.
The classification performance parameters calculated were sensitivity, specificity, accuracy, and Matthew’s correlation coefficient (MCC), using the following equations:
where TP and TN are the true positive and true negative rates; FP and FN are the false positive and false negative rates, respectively.
The classification performance parameters were calculated for the calibration, y-randomization, cross-validation, and external validation. All the supervised classification analyses were performed with in-house-written routines in a Matlab environment. LS-SVM, employing a radial basis function, was implemented through the LS-SVMlab toolbox version 1.8 [].
3. Results and Discussion
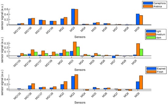
The average signals of the e-nose sensors for each coffee class are shown in Figure 2. Multiple distinctions of the average signal value among coffee classes can be found for each task. In general, when looking among classes at a specific task, the intensity of the average signals indicates the differences among the coffees, where some sensors have a more meaningful impact than others. It can be seen that the sensors with low intensity are similar among the different tasks (Figure 2a–c).

Figure 2.
Average e-nose sensor signals for coffees of different species, roasting degree, and shelf-life status.
Hence, from an initial interpretation, it can be stated that volatile fingerprinting was successfully obtained for each coffee. Therefore, multivariate statistical approaches were employed to assess whether the volatile fingerprint led to natural coffee class clustering.
3.1. Exploratory Analysis
PCA was employed as an exploratory analysis for the initial evaluation of the e-nose capability of group samples due to their intrinsic characteristics. Moreover, each of the three tasks will be discussed separately.
3.1.1. Coffee Species
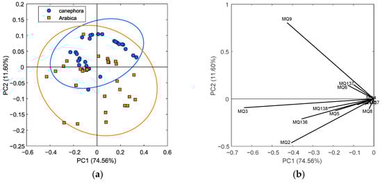
The distinction between roasted Arabica and Canephora coffee was approached for the first task. Both mean-centered and autoscaled data were assessed in a PCA, and the mean-centered e-nose data captured species grouping better. The PCA results are shown in Figure 3.

Figure 3.
PCA score (a) and loading (b) plots for the coffee species task.
The score plot shows that Canephora coffees (blue circles) are majorly distributed on the positive part of the second PC and the negative part of the first PC. Moreover, the 95% confidence ellipse shows that the Canephora samples are closely clustered. On the other hand, the Arabica coffees are more sparsely distributed. The sample distribution in the PC space attests to the similarity in volatile nature among the samples. However, the chemistry of coffee flavor is complex, as more than 1000 distinct aroma compounds can emerge from the roasting process, making each roasted coffee unique (. The basis for the coffee volatile distinction among and within species is multifactorial, ranging from farming to post-harvest factors, including varietal and edaphoclimatic characteristics (latitude, altitude, solar exposition, terrain aspects), fermentation, drying, and roasting [,,].
To understand the nature of the volatile composition of each species headspace and its contribution to sample grouping in PCA, we can analyze Figure 3b, which presents the loading plot, i.e., the contribution of each sensor for PC construction and sample arrangement. As can be seen, the greatest contribution for the first PC was from MQ3, followed by the MQ9 and MQ2 sensors. The MQ9 and MQ2 sensors are also the greatest contributors to PC2, having positive and negative values, respectively, for this PC. As the only sensor with a significant relation to PC2 and a positive value for it, MQ9 can be seen to have a good correlation with the Canephora coffees. This sensor affinity relates to hydrocarbons and correlates positively with one of the Canephora coffee clusters and negatively with the other as per their location along the PC2 axis. As for the other sensors with a solid contribution to the PC constructions, MQ3, MQ2, and MQ136, it can be visually assessed that a negative correlation is present. Therefore, there is a negative correlation between Canephora and the classes of alcohol and sulfur compounds, which relates to its specific volatile nature. Nonetheless, as the Arabica coffees are widely distributed among the PC spaces, these samples are correlated diffusely with the sensors and their representative classes.
The roasting process can lead to myriad compounds, such as hydrocarbons, alcohols, ketones, and sulfur compounds, which have been described to distinguish between Canephora and Arabica species []. The chemical distinctions among the Arabica and Canephora species are remarkable from the main constituents’ point of view. The unroasted Arabica coffee presents higher sucrose and lipids while having lower polysaccharides, caffeine, and chlorogenic acids than the Canephora []. As for the volatile profile, the coffee aroma is a highly complex blend of several volatile chemicals with varying characteristics, intensities, and concentrations combined []. According to the review from Toledo et al. (2016), when comparing the species, Arabica can be highlighted by their caramel, spicy, and oil-buttery notes, while Canephora, on the other hand, have more phenolic and clove aromatic notes []. As the MOS sensors of the e-nose are more general and unspecific, the distinction in functional groups must be the key related to their possible grouping.
3.1.2. Coffee Roasting Degrees
For the second task, a distinction between light, medium, and dark roasting profiles was attempted. Autoscaling did not contribute to the sample grouping, so mean-centering of the e-nose data was used. The score and loading plots are shown in Figure 4.

Figure 4.
PCA score (a) and loading (b) plots for the coffee roasting degree task.
It can be observed in the score plot that there is a distinction among light, medium, and dark roast samples with some overlapping on the negative part of the PC2 among all classes as evidenced by their confidence ellipses (Figure 4a). The loading plot indicates that all sensors are in the positive part of the PC1 axis and the majority in the positive axis of the PC2, except MQ2, MQ9, and MQ136 (Figure 4b). Further, correlating the sample groups to the sensors, we can see that the light roast samples are located on the negative part of the PC1, thus being negatively correlated with all e-nose sensors.
The scientific literature indicates that darker roasts increase the concentration of several classes of volatile in coffee, such as pyrazines, pyrroles, pyridines, and even phenolics, all aromatic compounds that are intermediates of the Maillard reaction []. The Maillard reaction widely occurs in foodstuff, as its precursors are a carbonyl and an amine group, i.e., sugars and amino acids, which are common in food []. As the reaction rate increases in a temperature-dependent manner, a light roast would be less rich in volatiles, corroborating the finding of a negative correlation to the e-nose sensors. However, in prolonged roasting, the heterocyclic products, which are intermediates of the reaction, tend to condense into melanoidins, a class of high-molecular-weight nitrogenous polymers, which contribute to the intense color of roasted products [].
Therefore, the positive correlation of many sensors to the medium roast can be attributed to its rich volatile profile from the Maillard reaction, while the light roast shows a negative correlation for a less developed volatile profile. Lastly, the dark roast samples, which would be full of melanoidins, are located relatively close to the origin of the PCs, indicating a low characterization by their components, which could relate to the less volatile richness once the melanoidins do not contribute to the volatile profile [].
3.1.3. Coffee Shelf-Life Status
The third task assessed the distinction between expired and non-expired (fresh) coffee. As for the other tasks, the data were best described in PCA by mean-centering. The PCA of the e-nose data is shown in Figure 5. The confidence ellipses evidence that the e-nose information led to a clear distinction between expired and fresh coffees. As for the influence of the sensors, the loadings show that MQ9 has the most significant value in PC1, followed by MQ2 and MQ3, which, together with sensors with lesser contributions, are correlated to the fresh sample cluster. On the other hand, the MQ5, MQ7, and MQ8, which are of great importance to PC2, correlate to the expired coffee.

Figure 5.
PCA score (a) and loading (b) plots for the coffee shelf-life status task.
The sensors that positively correlate with fresh coffee attest to abundant volatiles from alcohols, linear and cyclic hydrocarbons, sulfur and nitrogenous derivatives, water vapor, and CO2. On the other hand, expired coffee is more broadly distributed, correlating positively to signals from sensors sensitive to hydrocarbons, alcohols, H2, CO, and NO derivatives and negatively with water vapor and CO2.
Coffee stalling happens throughout storage and continues even after expiration as a multifactorial process involving degradation and formation reactions []. Through evaporation and transpiration processes, coffee volatiles are lost during storage, especially CO2 produced from the roasting process which accounts for more than 80% of the package’s gaseous atmosphere [,]. In the degassing process during storage, together with the CO2, water vapor and coffee volatiles are released from the coffee, which may relate to the abundance correlated to the fresh coffee, while expired coffees negatively correlated to water vapor and CO2 and positively with CO, H2, and hydrocarbons that may be formed by stalling reactions such as oxidative ones [,,].
3.2. Supervised Classification
All the non-supervised analyses tended to cluster among the tested groups according to their characteristics (species, roast profile, and shelf-life status). Therefore, a supervised approach was assessed to evaluate whether a classification rule could be established. For that, three distinct classification techniques were evaluated: two discriminant analyses, LS-SVM and PLS, and a class modeling approach, SIMCA. Of the three techniques assessed, two are linear (SIMCA and PLS-DA), and one is a non-linear (LS-SVM) technique. All three classification techniques were employed for each task’s mean-centered and autoscaled data.
3.2.1. Classification of Coffee Species
Table 1 shows the classification parameters for species differentiation based on the signals from the e-nose sensors. As can be seen, the three models performed with suitable classification parameters for the calibration and test datasets. The test set metrics show that the models achieved a perfect classification regarding specificity, selectivity, and accuracy. Moreover, the MCC for the models indicated a perfect agreement between the predicted and real classes. It is crucial to assess the model performance with test sets once their variance is not accounted for in the modeling []. Although distinct approaches were assessed, the equal metrics for SIMCA and LS-SVM indicate no better suitability of the data toward a discriminant or a class-modeling technique nor a superiority from a non-linear technique as could be expected.

Table 1.
Model classification parameters for differentiation of coffee species.
Moreover, overly accurate predictions raise suspicions of possible overfit, i.e., an over-adjustment of the model trained in the dataset, leading to a lack of generalization power and thus undermining the model []. Therefore, a y-randomization assay consisting of random permutations of the y-data label is a valuable way to assess the model prediction power and possible overfit. As shown in Table 1, the classification measures for the y-randomization models built from all selected sensors are inferior to the calibration and test set metrics. Therefore, the models’ classification is due to the sample classes and not a random fit or an overfit [,].
The scientific literature presents studies on the differentiation of Arabica and Canephora species through several approaches such as near-infrared hyperspectral imaging [], portable NIR [], and even a single gas sensor []. As the two species are very distinct, even their morphology could be employed in classification tasks, which resulted in 100% classification efficiency (the geometric mean between sensitivity and specificity) for individual whole coffee beans and between 80 and 90% efficiency in an image containing the two species []. Using a portable NIR spectrometer, a separation between ground roasted Arabica and Canephora coffee achieved 90–98% accuracy using the SIMCA technique []. Therefore, our results are generally on par with those from other analytical techniques related to such a task in the scientific literature. Moreover, using a single gas sensor coupled with non-linear techniques led to a 71% accuracy with a support vector machine for separating ground–roasted Arabica and Canephora coffees []. This result, in particular, is interesting as it approaches an analytical technique similar to the present e-nose. However, it can be observed that using a single sensor did not lead to a high accuracy, independent of the complexity of the classification technique.
3.2.2. Classification of Coffee Roasting Degrees
Regarding differentiation between roasting degrees, the classification performance indices of the three techniques and two sets of sensors are shown in Table 2. All methods using all sensors presented high classification metrics for the calibration and test sets, with accuracies above 90%. According to its accuracy in the test set, the best model was the LS-SVM, followed by the PLS-DA and SIMCA, with the lowest metric.

Table 2.
Model classification parameters for differentiation of coffee roasting degree.
These results indicate that, for this task, discrimination techniques are better suited than class modeling ones to which SIMCA belongs. The class modeling approaches work by finding similarities among the individuals of the specific class to build a classification rule that defines the class itself []. On the other hand, discriminant techniques work by finding distinctions among individuals of different classes to build a discrimination threshold among them []. LS-SVM had a perfect classification among the two discriminant techniques, while the PLS-DA had slightly inferior values, indicating that a non-linear, more complex model solved the task better. As a non-linear technique, SVM can perform more effectively in more complex tasks, such as the case of the three classes approached in this task.
Moreover, the comparison against the y-randomized models showed that all models for both sensor configurations lack evidence of overfitting. Lastly, the MCC of both LS-SVM models implies a great correlation between the test set prediction and the true observed values. It is crucial to evaluate the MCC, as it conjointly takes into account the true and false positive and negative rates, besides being more indicative than other metrics such as the F1 score, since it does not consider the true negative rate [].
Studies on the scientific literature approaching the alternative classification of coffee roasting profiles vary in analytical technique. Chu et al. (2018) employed hyperspectral imaging to classify coffee among seven classes by the Agtron values from unroasted to dark roast. The authors tested several variable selection algorithms to choose effective wavelengths, followed by modeling with LS-SVM, achieving an overall accuracy between 88.7 and 90.3% []. In another study, Green et al. (2024) used NIR spectroscopy and PLS-DA to predict three roasting profiles: light, medium, and dark. The authors obtained a prediction accuracy of over 89% for all classes []. Further, Astuti et al. (2024) employed an e-nose composed of six gas sensors and modeled roast profiles of Robusta coffee from Indonesia using artificial neural networks, achieving accuracy between 96 and 98% in cross-validation []. Although these results are only for cross-validation and not an external test set, the gas-sensor-based technology is promising for coffee classification. Therefore, the presented results show that our e-nose prediction is on par with alternative methods for roasting profile prediction.
3.2.3. Classification of Coffee Shelf-Life Status
In classifying expired and fresh coffees, the e-nose profiles led to perfect classification for the discriminant models, PLS-DA and LS-SVM, as depicted in their metrics in the calibration and test dataset (Table 3). Similar to the roasting task, the SIMCA classification parameters were lower than the PLS-DA and LS-SVM; however, they only achieved 75% accuracy.

Table 3.
Model classification parameters for differentiation of coffee expiration status.
Unlike the previous roasting task, the PLS-DA and LS-SVM models performed with equal accuracy, as well as MCC for the calibration and test sets for the shelf-life status classification. Therefore, no distinction between a linear or non-linear technique stood out for classifying expired and fresh coffee. Moreover, this indicates that the simplicity of the challenge, which may relate to the distinction in the volatile profiles, allowed the simpler linear PLS-DA models to perform on par with LS-SVM. However, the SIMCA models showed decreased accuracy due to the model’s 100% specificity and 0% selectivity on fresh samples. This type of result indicates that the classification rule built is too strict, and therefore, besides ruling samples out of the fresh class, the model also does not recognize true positive samples.
Data on the y-randomization test show that the randomly labeled PLS-DA and LS-SVM models performed below the calibration and test ones, thus not indicating overfitting or random adjustments for any model. However, in SIMCA models, the y-randomization accuracy exceeds the test set’s. Therefore, this model is further ruled out as it indicates overfitting or random adjustment.
Results from the literature show UV-Vis and NIR spectroscopy discriminating between expired and fresh instant coffee, with efficiency (the geometric mean of training and test sensitivity, and test specificity) between 40 and 95% using the DD-SIMCA technique []. In another study, caffeinated and decaffeinated roasted ground coffee was classified with 96% accuracy using UV-Vis spectrophotometry and SPA-LDA (successive projections algorithm–linear discriminant analysis) []. Indeed, the prolonged storage of coffee leads to distinct changes from the degradation and formation of compounds resulting from degassing and the conditions of storage [,]. Therefore, the general distinction between expired and fresh coffee seems to be accurately captured by the proposed e-nose, which presented classification performance on par with/better than spectroscopic methods described in the scientific literature.
4. Conclusions
Overall, through the performance of distinct tasks, the MOS-based e-nose showed adequate performance on applications related to coffee quality. The optimization of the chemometric model seems to relate to the specific task at hand. However, independent of the task, the LS-SVM model resulted in perfect classification, indicating the adaptive power of the non-linear model. The use of this inexpensive equipment and its integration with chemometric models offers a promising tool for multiple coffee quality assessment measures through a simple and rapid methodology. Nonetheless, it could be possible to obtain a multiple-quality check from a single measurement, which could be attractive for industrial in-line applications.
Author Contributions
Conceptualization, Y.S.M., L.S.A. and C.A.N.; methodology, Y.S.M. and C.A.N.; software, Y.S.M.; validation, Y.S.M., S.M.M. and L.L.G.T.; formal analysis, Y.S.M., S.M.M., L.S.A. and L.P.F.; resources, C.A.N., L.P.F., D.K.A.d.R. and P.C.B.; data curation, Y.S.M., N.d.O.S., L.S.A. and M.M.d.B.; writing—original draft preparation, Y.S.M., L.L.G.T., N.d.O.S. and M.M.d.B.; writing—review and editing, Y.S.M. and C.A.N.; visualization, C.A.N.; supervision, C.A.N., L.P.F., D.K.A.d.R. and P.C.B.; funding acquisition, C.A.N. All authors have read and agreed to the published version of the manuscript.
Funding
This research was financed in party by Conselho Nacional de Desenvolvimento Científico e Tecnológico (CNPq), grant 305628/2022-4 and 173330/2023-1, Fundação de Amparo à Pesquisa de Minas Gerais (FAPEMIG) grant PPM 00429/15, Coordenação de Aperfeiçoamento de Pessoal de Nível Superior (CAPES), and São Paulo Research Foundation (FAPESP) grant 2023/00474-4 and #2021/06968-3.
Institutional Review Board Statement
Not applicable.
Informed Consent Statement
Not applicable.
Data Availability Statement
The data presented in this study are available on request from the corresponding author.
Acknowledgments
The authors are thankful to Professor Marcelo Braga Bueno Guerra for the donation of the samples for the shelf-life challenge.
Conflicts of Interest
The authors declare no conflicts of interest.
References
- ICO, International Coffee Organization. International Coffe Day. 2022. Available online: https://icocoffee.org/international-coffee-day/ (accessed on 20 May 2024).
- Conforte, A.J.; Guimarães-Dias, F.; Neves-Borges, A.C.; Bencke-Malato, M.; Felix-Whipps, D.; Alves-Ferreira, M. Isolation and characterization of a promoter responsive to salt, osmotic and dehydration stresses in soybean. Genet. Mol. Biol. 2017, 40 (Suppl. S1), 226–237. Available online: https://www.scielo.br/j/gmb/a/K6yGhSZx8SdQRKm6zy7WGTQ/ (accessed on 20 May 2024). [CrossRef] [PubMed]
- Torrez, V.; Benavides-Frias, C.; Jacobi, J.; Speranza, C.I. Ecological quality as a coffee quality enhancer. A review. Agron. Sustain. Dev. 2023, 43, 19. [Google Scholar] [CrossRef] [PubMed]
- Bressani, A.P.P.; Batista, N.N.; Ferreira, G.; Martinez, S.J.; Simão, J.B.P.; Dias, D.R.; Schwan, R.F. Characterization of bioactive, chemical, and sensory compounds from fermented coffees with different yeasts species. Food Res. Int. 2021, 150, 110755. [Google Scholar] [CrossRef] [PubMed]
- de Cassimiro, D.M.J.; Batista, N.N.; Fonseca, H.C.; Oliveira Naves, J.A.; Coelho, J.M.; Bernardes, P.C.; Dias, D.R.; Schwan, R.F. Wet fermentation of Coffea canephora by lactic acid bacteria and yeasts using the self-induced anaerobic fermentation (SIAF) method enhances the coffee quality. Food Microbiol. 2023, 110, 104161. [Google Scholar] [CrossRef] [PubMed]
- da Silva, B.L.; Pereira, P.V.; Bertoli, L.D.; Silveira, D.L.; Batista, N.N.; Pinheiro, P.F.; de Souza Carneiro, J.; Schwan, R.F.; de Assis Silva, S.; Coelho, J.M.; et al. Fermentation of Coffea canephora inoculated with yeasts: Microbiological, chemical, and sensory characteristics. Food Microbiol. 2021, 98, 103786. [Google Scholar] [CrossRef] [PubMed]
- Toledo, P.R.A.B.; Pezza, L.; Pezza, H.R.; Toci, A.T. Relationship Between the Different Aspects Related to Coffee Quality and Their Volatile Compounds. Compr. Rev. Food Sci. Food Saf. 2016, 15, 705–719. [Google Scholar] [CrossRef] [PubMed]
- Mutz, Y.S.; do Rosario, D.; Silva, L.R.G.; Galvan, D.; Stefano, J.S.; Janegitz, B.C.; Weitz, D.A.; Bernardes, P.C.; Conte-Junior, C.A. Lab-made 3D printed electrochemical sensors coupled with chemometrics for Brazilian coffee authentication. Food Chem. 2023, 403, 134411. [Google Scholar] [CrossRef] [PubMed]
- Cui, D.D.; Liu, Y.; Chen, Y.P.; Feng, X.; Lu, Y.; Yu, B. Application of SPME-GC-TOFMS, E-nose, and sensory evaluation to investigate the flavor characteristics of Chinese Yunnan coffee at three different conditions (beans, ground powder, and brewed coffee). Flavour. Fragr. J. 2020, 35, 541–560. [Google Scholar] [CrossRef]
- Tormena, C.D.; Rutledge, D.N.; Rakocevic, M.; Bruns, R.E.; Scarminio, I.S.; Marcheafave, G.G.; Pauli, E.D. Exogenous application of bioregulators in Coffea arabica beans during ripening: Investigation of UV–Visible and NIR mixture design-fingerprints using AComDim-ICA. Microchem. J. 2022, 181, 107702. [Google Scholar] [CrossRef]
- Marie, L.; Breitler, J.C.; Bamogo, P.K.A.; Bordeaux, M.; Lacombe, S.; Rios, M.; Lebrun, M.; Boulanger, R.; Lefort, E.; Nakamura, S.; et al. Combined sensory, volatilome and transcriptome analyses identify a limonene terpene synthase as a major contributor to the characteristic aroma of a Coffea arabica L. specialty coffee. BMC Plant Biol. 2024, 24, 238. [Google Scholar] [CrossRef]
- de Pires, F.C.; Pereira, R.G.F.A.; Baqueta, M.R.; Valderrama, P.; Alves da Rocha, R. Near-infrared spectroscopy and multivariate calibration as an alternative to the Agtron to predict roasting degrees in coffee beans and ground coffees. Food Chem. 2021, 365, 130471. [Google Scholar] [CrossRef]
- de Carvalho Pires, F.; da Silva Mutz, Y.; de Carvalho, T.C.L.; Lorenzo, N.D.; Pereira, R.G.F.A.; da Rocha, R.A.; Nunes, C.A. Feasibility of using colorimetric devices for whole and ground coffee roasting degrees prediction. J. Sci. Food Agric. 2024, 104, 5435–5441. [Google Scholar] [CrossRef]
- Correia, R.M.; Tosato, F.; Domingos, E.; Rodrigues, R.R.T.; Aquino, L.F.M.; Filgueiras, P.R.; Lacerda, V., Jr.; Romão, W. Portable near infrared spectroscopy applied to quality control of Brazilian coffee. Talanta 2018, 176, 59–68. [Google Scholar] [CrossRef] [PubMed]
- Mutz, Y.S.; do Rosario, D.; Galvan, D.; Schwan, R.F.; Bernardes, P.C.; Conte-Junior, C.A. Feasibility of NIR spectroscopy coupled with chemometrics for classification of Brazilian specialty coffee. Food Control 2023, 149, 109696. [Google Scholar] [CrossRef]
- Souto, U.T.C.P.; Pontes, M.J.C.; Silva, E.C.; Galvão, R.K.H.; Araújo, M.C.U.; Sanches, F.A.C.; Cunha, F.A.S.; Oliveira, M.S.R. UV-Vis spectrometric classification of coffees by SPA-LDA. Food Chem. 2010, 119, 368–371. [Google Scholar] [CrossRef]
- da Silva Ferreira, M.V.; de Moraes, I.A.; Passos, R.V.L.; Barbin, D.F.; Barbosa, J.L. Determination of pitaya quality using portable NIR spectroscopy and innovative low-cost electronic nose. Sci. Hortic. 2023, 310, 111784. [Google Scholar] [CrossRef]
- Guimarães, E.R.; Leme, P.H.M.V.; De Rezende, D.C.; Pereira, S.P.; Dos Santos, A.C. The brand new Brazilian specialty coffee market. J. Food Prod. Mark. 2019, 25, 49–71. [Google Scholar] [CrossRef]
- do Rosário, D.K.A.; da Silva Mutz, Y.; Vieira, K.M.; Schwan, R.F.; Bernardes, P.C. Effect of self-induced anaerobiosis fermentation (SIAF) in the volatile compounds and sensory quality of coffee. Eur. Food Res. Technol. 2024, 250, 667–675. [Google Scholar] [CrossRef]
- Aghdamifar, E.; Sharabiani, V.R.; Taghinezhad, E.; Szymanek, M.; Dziwulska-Hunek, A. E-nose as a non-destructive and fast method for identification and classification of coffee beans based on soft computing models. Sens. Actuators B Chem. 2023, 393, 134229. [Google Scholar] [CrossRef]
- Lee, C.H.; Rianto, B. An AI-powered e-nose system using a density-based clustering method for identifying adulteration in specialty coffees. Microchem. J. 2024, 197, 109844. [Google Scholar] [CrossRef]
- Palacín, J.; Rubies, E.; Clotet, E. Application of a Single-Type eNose to Discriminate the Brewed Aroma of One Caffeinated and Decaffeinated Encapsulated Espresso Coffee Type. Chemosensors 2022, 10, 421. [Google Scholar] [CrossRef]
- Galvan, D.; Aquino, A.; Effting, L.; Mantovani, A.C.G.; Bona, E.; Conte-Junior, C.A. E-sensing and nanoscale-sensing devices associated with data processing algorithms applied to food quality control: A systematic review. Crit. Rev. Food Sci. Nutr. 2022, 62, 6605–6645. [Google Scholar] [CrossRef] [PubMed]
- Wei, G.; Dan, M.; Zhao, G.; Wang, D. Recent advances in chromatography-mass spectrometry and electronic nose technology in food flavor analysis and detection. Food Chem. 2023, 405, 134814. [Google Scholar] [CrossRef] [PubMed]
- Medvedev, A. SVisual. 2018. Available online: https://github.com/Tyill/SVisual (accessed on 20 May 2024).
- Bro, R.; Smilde, A.K. Principal component analysis. Anal. Methods 2014, 6, 2812–2831. [Google Scholar] [CrossRef]
- Chawla, N.V.; Bowyer, K.W.; Hall, L.O.; Kegelmeyer, W.P. SMOTE: Synthetic Minority Over-sampling Technique. J. Artif. Intell. Res. 2002, 16, 321–357. Available online: https://www.jair.org/index.php/jair/article/view/10302 (accessed on 20 May 2024). [CrossRef]
- Kennard, R.W.; Stone, L.A. Technometrics Computer Aided Design of Experiments. Technometric 1969, 11, 137–148. [Google Scholar] [CrossRef]
- Suykens, J.A.K.; Van Gestel, T.; De Brabanter, J.; De Moor, B.; Vandewalle, J. Least Squares Support Vector Machines; World Scientific: Singapore, 2002; Available online: https://www.worldscientific.com/worldscibooks/10.1142/5089 (accessed on 20 May 2024).
- Farah, A. Coffee as a Speciality and Functional Beverage; Woodhead Publishing Limited: Sawston, UK, 2009. [Google Scholar] [CrossRef]
- Bona, E.; Da Silva, R.S.D.S.F. Coffee and the Electronic Nose. In Electronic Noses and Tongues in Food Science; Academic Press: Cambridge, MA, USA, 2016; pp. 31–38. [Google Scholar]
- Wu, H.; Lu, P.; Liu, Z.; Sharifi-Rad, J.; Suleria, H.A.R. Impact of roasting on the phenolic and volatile compounds in coffee beans. Food Sci. Nutr. 2022, 10, 2408–2425. [Google Scholar] [CrossRef] [PubMed]
- Martins, S.I.F.S.; Jongen, W.M.F.; Van Boekel, M.A.J.S. A review of Maillard reaction in food and implications to kinetic modelling. Trends food Sci. Technol. 2001, 11, 364–373. [Google Scholar] [CrossRef]
- De Oliveira, F.C.; Coimbra, J.S.D.R.; de Oliveira, E.B.; Zuñiga, A.D.G.; Rojas, E.E.G. Food Protein-polysaccharide Conjugates Obtained via the Maillard Reaction: A Review. Crit. Rev. Food Sci. Nutr. 2016, 56, 1108–1125. [Google Scholar] [CrossRef]
- Vanderhaegen, B.; Neven, H.; Verachtert, H.; Derdelinckx, G. The chemistry of beer aging—A critical review. Food Chem. 2006, 95, 357–381. [Google Scholar] [CrossRef]
- Smrke, S.; Adam, J.; Mühlemann, S.; Lantz, I.; Yeretzian, C. Effects of different coffee storage methods on coffee freshness after opening of packages. Food Packag. Shelf Life 2022, 33, 100893. [Google Scholar] [CrossRef]
- Anese, M.; Manzocco, L.; Nicoli, M.C. Modeling the secondary shelf life of ground roasted coffee. J. Agric. Food Chem. 2006, 54, 5571–5576. [Google Scholar] [CrossRef] [PubMed]
- Wang, X.; Lim, L.T. Effect of roasting conditions on carbon dioxide degassing behavior in coffee. Food Res. Int. 2014, 61, 144–151. [Google Scholar] [CrossRef]
- Cotter, A.R.; Hopfer, H. The effects of storage temperature on the aroma of whole bean arabica coffee evaluated by coffee consumers and hs-spme-gc-ms. Beverages 2018, 4, 68. [Google Scholar] [CrossRef]
- de Oliveira, M.A.; Ribeiro, M.N.; Valente, H.M.; da Silva Mutz, Y.; Pinheiro, A.C.M.; Nunes, C.A. Feasibility of Using Reflectance Spectra from Smartphone Digital Images to Predict Quality Parameters of Bananas and Papayas. Food Anal. Methods 2024, 17, 145–153. [Google Scholar] [CrossRef]
- Mitra, I.; Saha, A.; Roy, K. Exploring quantitative structure-activity relationship studies of antioxidant phenolic compounds obtained from traditional Chinese medicinal plants. Mol. Simul. 2010, 36, 1067–1079. [Google Scholar] [CrossRef]
- Calvini, R.; Ulrici, A.; Amigo, J.M. Practical comparison of sparse methods for classification of Arabica and Robusta coffee species using near infrared hyperspectral imaging. Chemom. Intell. Lab. Syst. 2015, 146, 503–511. [Google Scholar] [CrossRef]
- Magfira, D.B.; Sarno, R. Classification of Arabica and Robusta coffee using electronic nose. In Proceedings of the 2018 International Conference on Information and Communications Technology (ICOIACT), Yogyakarta, Indonesia, 6–7 March 2018; pp. 645–650. [Google Scholar]
- Chicco, D.; Jurman, G. The advantages of the Matthews correlation coefficient (MCC) over F1 score and accuracy in binary classification evaluation. BMC Genom. 2020, 21, 6. [Google Scholar] [CrossRef] [PubMed]
- Chu, B.; Yu, K.; Zhao, Y.; He, Y. Development of noninvasive classification methods for different roasting degrees of coffee beans using hyperspectral imaging. Sensors 2018, 18, 1259. [Google Scholar] [CrossRef] [PubMed]
- Green, S.; Fanning, E.; Sim, J.; Eyres, G.T.; Frew, R.; Kebede, B. The Potential of NIR Spectroscopy and Chemometrics to Discriminate Roast Degrees and Predict Volatiles in Coffee. Molecules 2024, 29, 318. [Google Scholar] [CrossRef]
- Astuti, S.D.; Wicaksono, I.R.; Soelistiono, S.; Permatasari, P.A.D.; Yaqubi, A.K.; Susilo, Y.; Putra, C.D.; Syahrom, A. Electronic nose coupled with artificial neural network for classifying of coffee roasting profile. Sens. Bio-Sens. Res. 2024, 43, 100632. [Google Scholar] [CrossRef]
- de Araújo, T.K.L.; da Lyra, W.S.; da Silva, J.D.S.; de Fernandes, D.D.S.; Diniz, P.H.G.D. Authentication of the shelf-life and decaffeination process of instant coffee samples using UV–Vis and NIR spectral fingerprints. Food Control 2024, 155, 110098. [Google Scholar] [CrossRef]
Disclaimer/Publisher’s Note: The statements, opinions and data contained in all publications are solely those of the individual author(s) and contributor(s) and not of MDPI and/or the editor(s). MDPI and/or the editor(s) disclaim responsibility for any injury to people or property resulting from any ideas, methods, instructions or products referred to in the content. |
© 2025 by the authors. Licensee MDPI, Basel, Switzerland. This article is an open access article distributed under the terms and conditions of the Creative Commons Attribution (CC BY) license (https://creativecommons.org/licenses/by/4.0/).