Synthesis of Photoluminescent Carbon Dots Using Hibiscus Tea Waste and Heteroatom Doping for Multi-Metal Ion Sensing: Applications in Cell imaging and Environmental Samples
Abstract
:1. Introduction
2. Materials and Methods
2.1. Materials
2.2. Synthesis of NB-CDs
2.3. Characterizations
2.4. Metal Ions Sensing
2.5. Procedure for Cell Incubation and Imaging
2.6. Determination of Ag+, Cd2+, and Cr3+ Ions in Lake Water Samples
3. Results and Discussion
3.1. Optical Properties of NB-CDs
3.2. Surface Analysis of NB-CDs
3.3. Morphology of NB-CDs
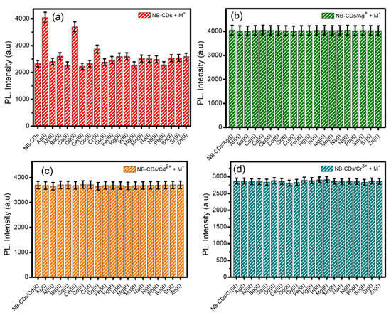
3.4. Chemosensors
3.5. Living Cell Imaging
3.6. Real Sample Analysis
4. Conclusions
Author Contributions
Funding
Institutional Review Board Statement
Informed Consent Statement
Data Availability Statement
Conflicts of Interest
References
- Mitra, S.; Chakraborty, A.J.; Tareq, A.M.; Emran, T.B.; Nainu, F.; Khusro, A.; Idris, A.M.; Khandaker, M.U.; Osman, H.; Alhumaydhi, F.A.; et al. Impact of Heavy Metals on the Environment and Human Health: Novel Therapeutic Insights to Counter the Toxicity. J. King Saud Univ. Sci. 2022, 34, 101865. [Google Scholar] [CrossRef]
- Herschy, R.W. Water Quality for Drinking: WHO Guidelines. In Encyclopedia of Lakes and Reservoirs; Springer: Berlin/Heidelberg, Germany, 2012; pp. 876–883. [Google Scholar] [CrossRef]
- United States Environmental Protection Agency. Us-Epa Guidance for Assessing Chemical Contaminant Data for Use in FIsh Advisories, Volume 2: Risk Assessment and Fish Consumption Limits, 3rd ed.; United States Environmental Protection Agency: Washington, DC, USA, 2000; Volume 1, pp. 1–383.
- Liu, W.; Liu, Y.; Yuan, Z.; Lu, C. Recent Advances in the Detection and Removal of Heavy Metal Ions Using Functionalized Layered Double Hydroxides: A Review. Ind. Chem. Mater. 2023, 1, 79–92. [Google Scholar] [CrossRef]
- Chen, L.; Tian, X.; Xia, D.; Nie, Y.; Lu, L.; Yang, C.; Zhou, Z. Novel Colorimetric Method for Simultaneous Detection and Identification of Multimetal Ions in Water: Sensitivity, Selectivity, and Recognition Mechanism. ACS Omega 2019, 4, 5915–5922. [Google Scholar] [CrossRef]
- Lian, J.; Xu, Q.; Wang, Y.; Meng, F. Recent Developments in Fluorescent Materials for Heavy Metal Ions Analysis from the Perspective of Forensic Chemistry. Front. Chem. 2020, 8, 593291. [Google Scholar] [CrossRef] [PubMed]
- Choi, S.H.; Kim, J.Y.; Choi, E.M.; Lee, M.Y.; Yang, J.Y.; Ho Lee, G.; Kim, K.S.; Yang, J.S.; Russo, R.E.; Yoo, J.H.; et al. Heavy Metal Determination by Inductively Coupled Plasma–Mass Spectrometry (ICP-MS) and Direct Mercury Analysis (DMA) and Arsenic Mapping by Femtosecond (Fs)–Laser Ablation (LA) ICP-MS in Cereals. Anal. Lett. 2019, 52, 496–510. [Google Scholar] [CrossRef]
- Heo, E.-Y.; Ko, Y.-I.; Bae, J.-S. Detection of Heavy Metal Ions in Aqueous Solution Using Direct Dye Chemosensors. Text. Color. Finish. 2009, 21, 51–57. [Google Scholar] [CrossRef]
- Li, L.; Wang, J.; Xu, S.; Li, C.; Dong, B. Recent Progress in Fluorescent Probes For Metal Ion Detection. Front. Chem. 2022, 10, 875241. [Google Scholar] [CrossRef]
- Torres Landa, S.D.; Reddy Bogireddy, N.K.; Kaur, I.; Batra, V.; Agarwal, V. Heavy Metal Ion Detection Using Green Precursor Derived Carbon Dots. iScience 2022, 25, 103816. [Google Scholar] [CrossRef]
- Soumya, K.; More, N.; Choppadandi, M.; Aishwarya, D.A.; Singh, G.; Kapusetti, G. Biomedical Technology A Comprehensive Review on Carbon Quantum Dots as an Effective Photosensitizer and Drug Delivery System for Cancer Treatment. Biomed. Technol. 2023, 4, 11–20. [Google Scholar] [CrossRef]
- Gao, S.; Yan, S.; Zhao, H.; Nathan, A. Emerging Applications. Touch-Based Hum. Mach. Interact. 2021, 179–229. [Google Scholar] [CrossRef]
- Liu, J.; Li, R.; Yang, B. Carbon Dots: A New Type of Carbon-Based Nanomaterial with Wide Applications. ACS Cent. Sci. 2020, 6, 2179–2195. [Google Scholar] [CrossRef] [PubMed]
- Ghosal, K.; Ghosh, A. Carbon Dots: The next Generation Platform for Biomedical Applications. Mater. Sci. Eng. C 2019, 96, 887–903. [Google Scholar] [CrossRef] [PubMed]
- Jiang, X.; Qin, D.; Mo, G.; Feng, J.; Yu, C.; Mo, W.; Deng, B. Ginkgo Leaf-Based Synthesis of Nitrogen-Doped Carbon Quantum Dots for Highly Sensitive Detection of Salazosulfapyridine in Mouse Plasma. J. Pharm. Biomed. Anal. 2019, 164, 514–519. [Google Scholar] [CrossRef] [PubMed]
- Gupta, D.A.; Desai, M.L.; Malek, N.I.; Kailasa, S.K. Fluorescence Detection of Fe3+ Ion Using Ultra-Small Fluorescent Carbon Dots Derived from Pineapple (Ananas Comosus): Development of Miniaturized Analytical Method. J. Mol. Struct. 2020, 1216, 128343. [Google Scholar] [CrossRef]
- Chen, K.; Qing, W.; Hu, W.; Lu, M.; Wang, Y.; Liu, X. On-off-on Fluorescent Carbon Dots from Waste Tea: Their Properties, Antioxidant and Selective Detection of CrO42−, Fe3+, Ascorbic Acid and L-Cysteine in Real Samples. Spectrochim. Acta Part A Mol. Biomol. Spectrosc. 2019, 213, 228–234. [Google Scholar] [CrossRef]
- Shivaji, K.; Mani, S.; Ponmurugan, P.; De Castro, C.S.; Lloyd Davies, M.; Balasubramanian, M.G.; Pitchaimuthu, S. Green-Synthesis-Derived CdS Quantum Dots Using Tea Leaf Extract: Antimicrobial, Bioimaging, and Therapeutic Applications in Lung Cancer Cells. ACS Appl. Nano Mater. 2018, 1, 1683–1693. [Google Scholar] [CrossRef]
- Jiao, X.Y.; Li, L.S.; Qin, S.; Zhang, Y.; Huang, K.; Xu, L. The Synthesis of Fluorescent Carbon Dots from Mango Peel and Their Multiple Applications. Colloids Surf. A Physicochem. Eng. Asp. 2019, 577, 306–314. [Google Scholar] [CrossRef]
- Nguyen, T.N.; Le, P.A.; Phung, V.B.T. Facile Green Synthesis of Carbon Quantum Dots and Biomass-Derived Activated Carbon from Banana Peels: Synthesis and Investigation. Biomass Convers. Biorefinery 2022, 12, 2407–2416. [Google Scholar] [CrossRef]
- Quan, C.; Zhou, Y.; Wang, J.; Wu, C.; Gao, N. Biomass-Based Carbon Materials for CO2 capture: A Review. J. CO2 Util. 2023, 68, 102373. [Google Scholar] [CrossRef]
- McKay, D.L.; Chen, C.Y.O.; Saltzman, E.; Blumberg, J.B. Hibiscus sabdariffa L. Tea (Tisane) Lowers Blood Pressure in Prehypertensive and Mildly Hypertensive Adults. J. Nutr. 2010, 140, 298–303. [Google Scholar] [CrossRef]
- Malacrida, A.; Erriquez, J.; Hashemi, M.; Rodriguez-Menendez, V.; Cassetti, A.; Cavaletti, G.; Miloso, M. Evaluation of Antitumoral Effect of Hibiscus Sabdariffa Extract on Human Breast Cancer Cells. Biochem. Biophys. Rep. 2022, 32, 101353. [Google Scholar] [CrossRef] [PubMed]
- Zulfiqar, S.; Marshall, L.J.; Boesch, C. Hibiscus Sabdariffa Inhibits α-Glucosidase Activity in Vitro and Lowers Postprandial Blood Glucose Response in Humans. Hum. Nutr. Metab. 2022, 30, 200164. [Google Scholar] [CrossRef]
- Frész, T.; Nagy, E.; Hilbert, Á.; Tomcsányi, J. The Role of Flavonoids in False Positive Digoxin Assays Caused by the Consumption of Hibiscus Flower and Rose Hip Tea. Int. J. Cardiol. 2014, 171, 273–274. [Google Scholar] [CrossRef] [PubMed]
- Gallaher, R.N.; Gallaher, K.; Marshall, A.J.; Marshall, A.C. Mineral Analysis of Ten Types of Commercially Available Tea. J. Food Compos. Anal. 2006, 19, 53–57. [Google Scholar] [CrossRef]
- Judith, J.V.; Vasudevan, N. Synthesis of Nanomaterial from Industrial Waste and Its Application in Environmental Pollutant Remediation. Environ. Eng. Res. 2022, 27, 200672. [Google Scholar] [CrossRef]
- Abd Elkodous, M.; Hamad, H.A.; Abdel Maksoud, M.I.A.; Ali, G.A.M.; El Abboubi, M.; Bedir, A.G.; Eldeeb, A.A.; Ayed, A.A.; Gargar, Z.; Zaki, F.S.; et al. Cutting-Edge Development in Waste-Recycled Nanomaterials for Energy Storage and Conversion Applications. Nanotechnol. Rev. 2022, 11, 2215–2294. [Google Scholar] [CrossRef]
- Barman, M.K.; Patra, A. Current Status and Prospects on Chemical Structure Driven Photoluminescence Behaviour of Carbon Dots. J. Photochem. Photobiol. C Photochem. Rev. 2018, 37, 1–22. [Google Scholar] [CrossRef]
- Deng, Y.; Long, Y.; Song, A.; Wang, H.; Xiang, S.; Qiu, Y.; Ge, X.; Golberg, D.; Weng, Q. Boron Dopants in Red-Emitting B and N Co-Doped Carbon Quantum Dots Enable Targeted Imaging of Lysosomes. ACS Appl. Mater. Interfaces 2023, 15, 17045–17053. [Google Scholar] [CrossRef]
- Nabid, M.R.; Bide, Y.; Fereidouni, N. Boron and Nitrogen Co-Doped Carbon Dots as a Metal-Free Catalyst for Hydrogen Generation from Sodium Borohydride. New J. Chem. 2016, 40, 8823–8828. [Google Scholar] [CrossRef]
- Cheng, S.; Zhang, J.; Liu, Y.; Wang, Y.; Xiao, Y.; Zhang, Y. High Quantum Yield Nitrogen and Boron Co-Doped Carbon Dots for Sensing Ag+, Biological Imaging and Fluorescent Inks. Anal. Methods 2021, 13, 5523–5531. [Google Scholar] [CrossRef]
- Luo, B.; Yang, H.; Zhou, B.; Ahmed, S.M.; Zhang, Y.; Liu, H.; Liu, X.; He, Y.; Xia, S. Facile Synthesis of Luffa Sponge Activated Carbon Fiber Based Carbon Quantum Dots with Green Fluorescence and Their Application in Cr(VI) Determination. ACS Omega 2020, 5, 5540–5547. [Google Scholar] [CrossRef] [PubMed]
- Ustun, O.; Karadag, S.N.; Mazlumoglu, H.; Yilmaz, A. PH-Sensitive Fluorescence Emission of Boron/Nitrogen. Coatings 2023, 13, 456. [Google Scholar] [CrossRef]
- Wang, S.; Sun, W.; Yang, D.S.; Yang, F. Soybean-Derived Blue Photoluminescent Carbon Dots. Beilstein J. Nanotechnol. 2020, 11, 606–619. [Google Scholar] [CrossRef]
- Bissinger, P.; Braunschweig, H.; Damme, A.; Hörl, C.; Krummenacher, I.; Kupfer, T. Boron as a Powerful Reductant: Synthesis of a Stable Boron-Centered Radical-Anion Radical-Cation Pair. Angew. Chem. Int. Ed. 2015, 54, 359–362. [Google Scholar] [CrossRef]
- Zhu, S.; Zhang, J.; Tang, S.; Qiao, C.; Wang, L.; Wang, H.; Liu, X.; Li, B.; Li, Y.; Yu, W.; et al. Surface Chemistry Routes to Modulate the Photoluminescence of Graphene Quantum Dots: From Fluorescence Mechanism to up-Conversion Bioimaging Applications. Adv. Funct. Mater. 2012, 22, 4732–4740. [Google Scholar] [CrossRef]
- Hossain, M.D.; Zhang, Q.; Cheng, T.; Goddard, W.A.; Luo, Z. Graphitization of Low-Density Amorphous Carbon for Electrocatalysis Electrodes from ReaxFF Reactive Dynamics. Carbon 2021, 183, 940–947. [Google Scholar] [CrossRef]
- Mohandoss, S.; Palanisamy, S.; You, S.; Shim, J.J.; Lee, Y.R. Rapid Detection of Silver Ions Based on Luminescent Carbon Nanodots for Multicolor Patterning, Smartphone Sensors, and Bioimaging Applications. Anal. Methods 2021, 13, 5719–5726. [Google Scholar] [CrossRef]
- Mohandoss, S.; Palanisamy, S.; Priya, V.V.; Mohan, S.K.; Shim, J.-J.; Yelithao, K.; You, S.; Lee, Y.R. Excitation-Dependent Multiple Luminescence Emission of Nitrogen and Sulfur Co-Doped Carbon Dots for Cysteine Sensing, Bioimaging, and Photoluminescent Ink Applications. Microchem. J. 2021, 167, 106280. [Google Scholar] [CrossRef]
- Issa, M.A.; Abidin, Z.Z. Sustainable Development of Enhanced Luminescence Polymer-Carbon Dots Composite Film for Rapid Cd2+ Removal from Wastewater. Molecules 2020, 25, 3541. [Google Scholar] [CrossRef]
- Lei, M.; Xie, Y.; Chen, L.; Liu, X.; Yang, Y.; Zheng, J.; Li, Q. Surface State Modulation of Blue-Emitting Carbon Dots with High Quantum Yield and High Product Yield. RSC Adv. 2022, 12, 27431–27441. [Google Scholar] [CrossRef]
- Zhao, L.; Li, J.; Sui, D.; Wang, Y. Highly Selective Fluorescence Chemosensors Based on Functionalized SBA-15 for Detection of Ag+ in Aqueous Media. Sens. Actuators B Chem. 2017, 242, 1043–1049. [Google Scholar] [CrossRef]
- Wang, Y.; Hu, X.; Wang, L.; Shang, Z.; Chao, J.; Jin, W. A New Acridine Derivative as a Highly Selective “off-on” Fluorescence Chemosensor for Cd2+ in Aqueous Media. Sens. Actuators B Chem. 2011, 156, 126–131. [Google Scholar] [CrossRef]
- Gupta, V.K.; Mergu, N.; Singh, A.K. Rhodamine-Derived Highly Sensitive and Selective Colorimetric and off-on Optical Chemosensors for Cr3+. Sens. Actuators B Chem. 2015, 220, 420–432. [Google Scholar] [CrossRef]
- Wang, S.; Deng, G.; Yang, J.; Chen, H.; Long, W.; She, Y.; Fu, H. Carbon Dot- and Gold Nanocluster-Based Three-Channel Fluorescence Array Sensor: Visual Detection of Multiple Metal Ions in Complex Samples. Sens. Actuators B Chem. 2022, 369, 132194. [Google Scholar] [CrossRef]
- Sadhanala, H.K.; Pagidi, S.; Gedanken, A. High Quantum Yield Boron-Doped Carbon Dots: A Ratiometric Fluorescent Probe for Highly Selective and Sensitive Detection of Mg2+ ions. J. Mater. Chem. C 2021, 9, 1632–1640. [Google Scholar] [CrossRef]
- Preeyanka, N.; Sarkar, M. Probing How Various Metal Ions Interact with the Surface of QDs: Implication of the Interaction Event on the Photophysics of QDs. Langmuir 2021, 37, 6995–7007. [Google Scholar] [CrossRef]
- Fernandes, R.S.; Shetty, N.S.; Mahesha, P.; Gaonkar, S.L. A Comprehensive Review on Thiophene Based Chemosensors; Springer US: Berlin/Heidelberg, Germany, 2022; Volume 32, ISBN 0123456789. [Google Scholar]
- Mabrouk, M.; Hammad, S.F.; Abdelaziz, M.A.; Mansour, F.R. Ligand Exchange Method for Determination of Mole Ratios of Relatively Weak Metal Complexes: A Comparative Study. Chem. Cent. J. 2018, 12, 143. [Google Scholar] [CrossRef]
- Saadati, N.; Abdullah, M.P.; Zakaria, Z.; Sany, S.B.T.; Rezayi, M.; Hassonizadeh, H. Limit of Detection and Limit of Quantification Development Procedures for Organochlorine Pesticides Analysis in Water and Sediment Matrices. Chem. Cent. J. 2013, 7, 1. [Google Scholar] [CrossRef]
- Romano, M.R.; Ferrara, M.; Gatto, C.; Ferrari, B.; Giurgola, L.; Tóthová, J.D. Evaluation of Cytotoxicity of Perfluorocarbons for Intraocular Use by Cytotoxicity Test in Vitro in Cell Lines and Human Donor Retina Ex Vivo. Transl. Vis. Sci. Technol. 2019, 8, 24. [Google Scholar] [CrossRef]
- La Rocca, A.; De Gregorio, V.; Lagreca, E.; Vecchione, R.; Netti, P.A.; Imparato, G. Colorectal Cancer Bioengineered Microtissues as a Model to Replicate Tumor-ECM Crosstalk and Assess Drug Delivery Systems In Vitro. Int. J. Mol. Sci. 2023, 24, 5678. [Google Scholar] [CrossRef]
- Thirumalaivasan, N.; Wu, S.P. Bright Luminescent Carbon Dots for Multifunctional Selective Sensing and Imaging Applications in Living Cells. ACS Appl. Bio Mater. 2020, 3, 6439–6446. [Google Scholar] [CrossRef] [PubMed]










| Metal Ions | Spiked Amount (μM) | Recovered Amount (μM) | % Recovery ± SD (n = 3) |
|---|---|---|---|
| Ag+ | 1 | 1.03 | 103.4 ± 1.28 |
| 5 | 4.86 | 97.2 ± 2.14 | |
| 10 | 9.87 | 98.7 ± 1.97 | |
| Cd2+ | 1 | 1.04 | 104.2 ± 2.78 |
| 5 | 5.09 | 101.8 ± 1.49 | |
| 10 | 10.12 | 101.2 ± 2.11 | |
| Cr3+ | 1 | 0.99 | 99.0 ± 0.98 |
| 5 | 4.99 | 99.8 ± 1.73 | |
| 10 | 10.08 | 100.8 ± 2.64 |
Disclaimer/Publisher’s Note: The statements, opinions and data contained in all publications are solely those of the individual author(s) and contributor(s) and not of MDPI and/or the editor(s). MDPI and/or the editor(s) disclaim responsibility for any injury to people or property resulting from any ideas, methods, instructions or products referred to in the content. |
© 2023 by the authors. Licensee MDPI, Basel, Switzerland. This article is an open access article distributed under the terms and conditions of the Creative Commons Attribution (CC BY) license (https://creativecommons.org/licenses/by/4.0/).
Share and Cite
Mohandoss, S.; Ahmad, N.; Velu, K.S.; Khan, M.R.; Palanisamy, S.; You, S.; Lee, Y.R. Synthesis of Photoluminescent Carbon Dots Using Hibiscus Tea Waste and Heteroatom Doping for Multi-Metal Ion Sensing: Applications in Cell imaging and Environmental Samples. Chemosensors 2023, 11, 474. https://doi.org/10.3390/chemosensors11090474
Mohandoss S, Ahmad N, Velu KS, Khan MR, Palanisamy S, You S, Lee YR. Synthesis of Photoluminescent Carbon Dots Using Hibiscus Tea Waste and Heteroatom Doping for Multi-Metal Ion Sensing: Applications in Cell imaging and Environmental Samples. Chemosensors. 2023; 11(9):474. https://doi.org/10.3390/chemosensors11090474
Chicago/Turabian StyleMohandoss, Sonaimuthu, Naushad Ahmad, Kuppu Sakthi Velu, Mohammad Rizwan Khan, Subramanian Palanisamy, SangGuan You, and Yong Rok Lee. 2023. "Synthesis of Photoluminescent Carbon Dots Using Hibiscus Tea Waste and Heteroatom Doping for Multi-Metal Ion Sensing: Applications in Cell imaging and Environmental Samples" Chemosensors 11, no. 9: 474. https://doi.org/10.3390/chemosensors11090474
APA StyleMohandoss, S., Ahmad, N., Velu, K. S., Khan, M. R., Palanisamy, S., You, S., & Lee, Y. R. (2023). Synthesis of Photoluminescent Carbon Dots Using Hibiscus Tea Waste and Heteroatom Doping for Multi-Metal Ion Sensing: Applications in Cell imaging and Environmental Samples. Chemosensors, 11(9), 474. https://doi.org/10.3390/chemosensors11090474

