Association of Moral Distress with Anxiety, Depression, and an Intention to Leave among Nurses Working in Intensive Care Units during the COVID-19 Pandemic
Abstract
:1. Introduction
2. Materials and Methods
2.1. Ethics and Design
2.2. Instruments
2.2.1. The Measure of Moral Distress for Healthcare Professionals (MMD-HP Score)
2.2.2. The Patient Health Questionnaire for Anxiety and Depression (PHQ-4 Score)
2.3. Statistics
2.4. Outcome Analysis
3. Results
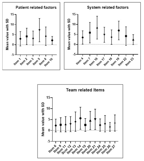
3.1. MMD-HP Analysis
3.2. PHQ-4 Score Analysis
3.2.1. Predictive Factors for the Current Intention to Leave as Outcome Variable
3.2.2. Predictive Factors for Anxiety and/or Depression Symptoms Identified Using PHQ-4
4. Discussion
Future Directions
5. Conclusions
Author Contributions
Funding
Institutional Review Board Statement
Informed Consent Statement
Data Availability Statement
Acknowledgments
Conflicts of Interest
References
- Hamric, A.B.; Borchers, C.T.; Epstein, E. Development and Testing of an Instrument to Measure Moral Distress in Healthcare Professionals. AJOB Prim. Res. 2012, 3, 1–9. [Google Scholar] [CrossRef]
- Burton, M.; Caswell, H.; Porter, C.; Mott, S.; DeGrazia, M. Moral Distress: Defined and described by neonatal and pediatric critical care nurses in a quaternary care free-standing pediatric hospital. Dimens. Crit. Care Nurs. 2020, 39, 101–109. [Google Scholar] [CrossRef] [PubMed]
- Fumis, R.R.L.; Schettino, G.D.P.P.; Rogovschi, P.B.; Corrêa, T.D. Would you like to be admitted to the ICU? The preferences of intensivists and general public according to different outcomes. J. Crit. Care 2019, 53, 193–197. [Google Scholar] [CrossRef] [PubMed]
- Azoulay, E.; De Waele, J.; Ferrer, R.; Staudinger, T.; Borkowska, M.; Povoa, P.; Iliopoulou, K.; Artigas, A.; Schaller, S.J.; Hari, M.S.; et al. Symptoms of burnout in intensive care unit specialists facing the COVID-19 outbreak. Ann. Intensiv. Care 2020, 10, 1–8. [Google Scholar] [CrossRef] [PubMed]
- Allen, R.; Butler, E. Addressing moral distress in critical care nurses: A pilot study. Int. J. Crit. Care Emerg. Med. 2016, 2, 015. [Google Scholar] [CrossRef]
- Browning, E.D.; Cruz, J.S. Reflective Debriefing: A Social Work Intervention Addressing Moral Distress among ICU Nurses. J. Soc. Work. End-Of-Life Palliat. Care 2018, 14, 44–72. [Google Scholar] [CrossRef] [PubMed]
- Pappa, S.; Ntellac, V.; Giannakasc, T.; Giannakoulisc, V.G.; Papoutsic, E.; Katsaounoucd, P. Prevalence of depression, anxiety, and insomnia among healthcare workers during the COVID-19 pandemic: A systematic review and meta-analysis. Brain Behav. Immun. 2020, 88, 901–907. [Google Scholar] [CrossRef]
- Parsons, L.C.; Walters, M.A. Management Strategies in the Intensive Care Unit to Improve Psychosocial Outcomes. Crit. Care Nurs. Clin. North Am. 2019, 31, 537–545. [Google Scholar] [CrossRef]
- Milliken, A.; Ludlow, L.; Grace, P. Ethical Awareness Scale: Replication Testing, Invariance Analysis, and Implications. AJOB Empir. Bioeth. 2019, 10, 231–240. [Google Scholar] [CrossRef]
- Kavurmacı, M.; Tan, M. Determining the Moral Sensitivities of Intensive Care Nurses. Crit. Care Nurs. Q. 2019, 42, 278–284. [Google Scholar] [CrossRef]
- Firn, J.; Rui, C.; Vercler, C.; De Vries, R.; Shuman, A. Identification of core ethical topics for interprofessional education in the intensive care unit: A thematic analysis. J. Interprofessional Care 2020, 34, 453–460. [Google Scholar] [CrossRef]
- Bulcke, B.V.D.; the DISPROPRICUS study group of the Ethics Section of the ESICM; Metaxa, V.; Reyners, A.K.; Rusinova, K.; Jensen, H.I.; Malmgren, J.; Darmon, M.; Talmor, D.; Meert, A.-P.; et al. Ethical climate and intention to leave among critical care clinicians: An observational study in 68 intensive care units across Europe and the United States. Intensiv. Care Med. 2020, 46, 46–56. [Google Scholar] [CrossRef] [PubMed] [Green Version]
- Mealer, M.; Moss, M. Moral distress in ICU nurses. Intensiv. Care Med. 2016, 42, 1615–1617. [Google Scholar] [CrossRef] [PubMed] [Green Version]
- Colville, G.; Dawson, D.; Rabinthiran, S.; Chaudry-Daley, Z.; Perkins-Porras, L. A survey of moral distress in staff working in intensive care in the UK. J. Intensiv. Care Soc. 2019, 20, 196–203. [Google Scholar] [CrossRef] [PubMed] [Green Version]
- Paprocka-Lipińska, A.; Drozd-Garbacewicz, M.; Erenc, J.; Wujtewicz, M.; Suchorzewska, J.; Olejniczak, M.; Wujtewicz, M.; Aszkiełowicz, H.; Dończyk, A.; Furmanik, J.; et al. Potential sources of conflict in intensive care units–a questionnaire study. Anestezjol. Intensywna Ter. 2019, 51, 357–360. [Google Scholar] [CrossRef] [PubMed]
- Bateman, M.E.; Hammer, R.; Byrne, A.; Ravindran, N.; Chiurco, J.; Lasky, S.; Denson, R.; Brown, M.; Myers, L.; Zu, Y.; et al. Death Cafés for prevention of burnout in intensive care unit employees: Study protocol for a randomized controlled trial (STOPTHEBURN). Trials 2020, 21, 1–9. [Google Scholar] [CrossRef] [PubMed]
- Huang, J.Z.; Han, M.F.; Luo, T.D.; Ren, A.K.; Zhou, X.P. Mental health survey of 230 medical staff in a tertiary infectious disease hospital for COVID-19. Chin. J. Ind. Hyg. Occup. Dis. 2020, 38, E001. [Google Scholar]
- Azoulay, E.; Cariou, A.; Bruneel, F.; Demoule, A.; Kouatchet, A.; Reuter, D.; Souppart, V.; Combes, A.; Klouche, K.; Argaud, L.; et al. Symptoms of Anxiety, Depression, and Peritraumatic Dissociation in Critical Care Clinicians Managing Patients with COVID-19. A Cross-Sectional Study. Am. J. Respir. Crit. Care Med. 2020, 202, 1388–1398. [Google Scholar] [CrossRef]
- Beauchamp, T.L.; Childress, J.F. Principles of Biomedical Ethics; Oxford University Press: Oxford, UK, 2001. [Google Scholar]
- Shen, X.; Zou, X.; Zhong, X.; Yan, J.; Li, L. Psychological stress of ICU nurses in the time of COVID-19. Crit. Care 2020, 24, 1–3. [Google Scholar] [CrossRef]
- Firew, T.; Sano, E.D.; Lee, J.W.; Flores, S.; Lang, K.; Salman, K.; Greene, M.C.; Chang, B.P. Protecting the front line: A cross-sectional survey analysis of the occupational factors contributing to healthcare workers’ infection and psychological distress during the COVID-19 pandemic in the USA. BMJ Open 2020, 10, e042752. [Google Scholar] [CrossRef]
- Saracoglu, K.T.; Simsek, T.; Kahraman, S.; Bombaci, E.; Sezen, Ö.; Saracoglu, A.; Demirhan, R. The Psychological Impact of COVID-19 Disease is more Severe on Intensive Care Unit Healthcare Providers: A Cross-sectional Study. Clin. Psychopharmacol. Neurosci. 2020, 18, 607–615. [Google Scholar] [CrossRef]
- Crowe, S.; Howard, A.F.; Vanderspank-Wright, B.; Gillis, P.; McLeod, F.; Penner, C.; Haljan, G. The effect of COVID-19 pandemic on the mental health of Canadian critical care nurses providing patient care during the early phase pandemic: A mixed method study. Intensiv. Crit. Care Nurs. 2021, 63, 102999. [Google Scholar] [CrossRef]
- Epstein, E.G.; Whitehead, P.B.; Prompahakul, C.; Thacker, L.R.; Hamric, A.B. Enhancing Understanding of Moral Distress: The Measure of Moral Distress for Health Care Professionals. AJOB Empir. Bioeth. 2019, 10, 113–124. [Google Scholar] [CrossRef]
- Kroenke, K.; Spitzer, R.L.; Williams, J.B.W.; Löwe, B. An ultra-brief screening scale for anxiety and depression: The PHQ–4. Psychosomatics 2009, 50, 613–621. [Google Scholar]
- Jameton, A. Nursing Practice: The Ethical Issues; Englewood Cliffs: Prentice-Hall, NJ, USA, 1984. [Google Scholar]
- Bambi, S.; Iozzo, P.; Rasero, L.; Lucchini, A. COVID-19 in Critical Care Units: Rethinking the Humanization of Nursing Care. Dimens. Crit. Care Nurs. 2020, 39, 239–241. [Google Scholar] [CrossRef]
- Meziane, D.; Ramirez-Garcia, M.P.; Fortin, M.-L. A reflective practice intervention to act on the moral distress of nurses providing end-of-life care on acute care units. Int. J. Palliat. Nurs. 2018, 24, 444–451. [Google Scholar] [CrossRef]




| Patient-related factors | 1. Witness healthcare providers giving “false hope” to a patient or family. |
| 2. Follow the family’s insistence to continue aggressive treatment even though I believe it is not in the best interest of the patient. | |
| 3. Feel pressured to order or carry out orders for what I consider to be unnecessary or inappropriate tests and treatments. | |
| 5. Continue to provide aggressive treatment for a person who is most likely to die regardless of this treatment when no one will make a decision to withdraw it. | |
| 8. Participate in care that causes unnecessary suffering or does not adequately relieve pain or symptoms. | |
| 10. Follow a physician’s or family member’s request not to discuss the patient’s prognosis with the patient/family | |
| Team-related factors | 6. Be pressured to avoid taking action when I learn that a physician, nurse, or other team colleague has made a medical error and does not report it. |
| 9. Watch patient care suffer because of a lack of provider continuity. | |
| 11. Witness a violation of a standard of practice or a code of ethics and not feel sufficiently supported to report the violation. | |
| 12. Participate in care that I do not agree with, but do so because of fears of litigation. | |
| 13. Be required to work with other health care team members who are not as competent as patient care requires. | |
| 14. Witness low quality of patient care due to poor team communication. | |
| 15. Feel pressured to ignore situations in which patients have not been given adequate information to ensure informed consent. | |
| 20. Fear retribution if I speak up. | |
| 21. Feel unsafe/bullied among my own colleagues. | |
| 24. Be required to care for patients who have unclear or inconsistent treatment plans or who lack goals of care. | |
| 25. Work within power hierarchies in teams, units, and my institution that compromise patient care. | |
| 26. Participate on a team that gives inconsistent messages to a patient/family. | |
| 27. Work with team members who do not treat vulnerable or stigmatized patients with dignity and respect. | |
| System-related factors | 4. Be unable to provide optimal care due to pressures from administrators or insurers to reduce costs. |
| 7. Be required to care for patients whom I do not feel qualified to care for. | |
| 16. Be required to care for more patients than I can safely care for. | |
| 17. Experience compromised patient care due to lack of resources/equipment/bed capacity. | |
| 18. Experience lack of administrative action or support for a problem that is compromising patient care. | |
| 19. Have excessive documentation requirements that compromise patient care. | |
| 22. Be required to work with abusive patients/family members who are compromising quality of care. | |
| 23. Feel required to overemphasize tasks and productivity or quality measures at the expense of patient care. |
| Gender (N, %) | Male | 8 (10.12%) |
| Female | 71 (89.87%) | |
| Age (Years) (mean, ±SD) | 37.05 (±8.77) | |
| Years of working in ICU (mean, ±SD) | 11.12 (±8.49) | |
| Relationship status (N, %) | Single | 11 (13.92%) |
| In a relationship | 14 (17.72%) | |
| Married | 52 (65.82%) | |
| Divorced | 2 (2.53%) | |
| Children (N, %) | Yes | 40 (50.63%) |
| No | 39 (49.36%) | |
| Education (N, %) | Private vocational nursing school (high school + 2 years) | 41 (51.89%) |
| Faculty of Nursing (high school + 4 years) | 36 (45.56%) | |
| Specializes Master (high school + 4 years faculty + 2 years Master) | 2 (2.53%) | |
| Outcome | Intention to Leave | t-Test | ROC Analysis | |
|---|---|---|---|---|
| Number | Yes (n = 21) | No (n = 58) | p-value | AUC [CI 95%] |
| MMD-HP total score | 123 ± 53.84 | 100.68 ± 60.57 | 0.12 | 0.65 [0.52–0.78], p = 0.045 |
| Sum of patient related factors items | 27.85 ± 15.91 | 22.63 ± 15.53 | 0.20 | 0.61 [0.47–0.74], p = 0.13 |
| Sum of team-related factors items | 47.42 ± 27.73 | 41.32 ± 31.25 | 0.40 | 0.59 [0.46–0.73], p = 0.18 |
| Sum of system-related factors items | 47.71 ± 20.47 | 36.74 ± 20.41 | 0.042 | 0.65 [0.52–0.78], p = 0.042 |
| Years in ICU | 9.23 ± 6.2 | 9.48 ± 8.81 | 0.89 | 0.54 [0.39–0.68], p = 0.60 |
| Outcome | Depression or Anxiety PHQ-4 | t-Test | ROC Analysis | |
|---|---|---|---|---|
| Number | Yes (n = 12) | No (n = 67) | p-value | AUC [CI 95%] |
| MMD-HP total score | 144.16 ± 81.17 | 99.91 ± 52.55 | 0.016 | 0.69 [0.51–0.86], p = 0.041 |
| Sum of patient related factors items | 30.83 ± 20.51 | 22.80 ± 14.55 | 0.10 | 0.60 [0.41–0.80], p = 0.23 |
| Sum of team-related factors items | 58.66 ± 45.30 | 40.13 ± 26.27 | 0.0505 | 0.61 [0.43–0.80], p = 0.19 |
| Sum of system-related factors items | 54.66 ± 26.22 | 36.97 ± 18.76 | 0.0061 | 0.70 [0.52–0.88], p = 0.023 |
| Years in ICU | 10.1 ± 9.24 | 9.3 ± 7.94 | 0.77 | 0.50 [0.29–0.73], p = 0.95 |
Publisher’s Note: MDPI stays neutral with regard to jurisdictional claims in published maps and institutional affiliations. |
© 2021 by the authors. Licensee MDPI, Basel, Switzerland. This article is an open access article distributed under the terms and conditions of the Creative Commons Attribution (CC BY) license (https://creativecommons.org/licenses/by/4.0/).
Share and Cite
Petrișor, C.; Breazu, C.; Doroftei, M.; Mărieș, I.; Popescu, C. Association of Moral Distress with Anxiety, Depression, and an Intention to Leave among Nurses Working in Intensive Care Units during the COVID-19 Pandemic. Healthcare 2021, 9, 1377. https://doi.org/10.3390/healthcare9101377
Petrișor C, Breazu C, Doroftei M, Mărieș I, Popescu C. Association of Moral Distress with Anxiety, Depression, and an Intention to Leave among Nurses Working in Intensive Care Units during the COVID-19 Pandemic. Healthcare. 2021; 9(10):1377. https://doi.org/10.3390/healthcare9101377
Chicago/Turabian StylePetrișor, Cristina, Caius Breazu, Mădălina Doroftei, Ioana Mărieș, and Codruța Popescu. 2021. "Association of Moral Distress with Anxiety, Depression, and an Intention to Leave among Nurses Working in Intensive Care Units during the COVID-19 Pandemic" Healthcare 9, no. 10: 1377. https://doi.org/10.3390/healthcare9101377
APA StylePetrișor, C., Breazu, C., Doroftei, M., Mărieș, I., & Popescu, C. (2021). Association of Moral Distress with Anxiety, Depression, and an Intention to Leave among Nurses Working in Intensive Care Units during the COVID-19 Pandemic. Healthcare, 9(10), 1377. https://doi.org/10.3390/healthcare9101377

