Safety Assessment of Endocrine Disruption by Menopausal Health Functional Ingredients
Abstract
1. Introduction
2. Diet and Supplementary Foods for Midlife Women
3. Phytoestrogens as Endocrine Disruptors
4. Status of Functional Health Ingredients for Women in Menopause
4.1. Herbal Medicines
4.1.1. Black Cohosh
4.1.2. St. John’s Wort
4.2. Functional Ingredients
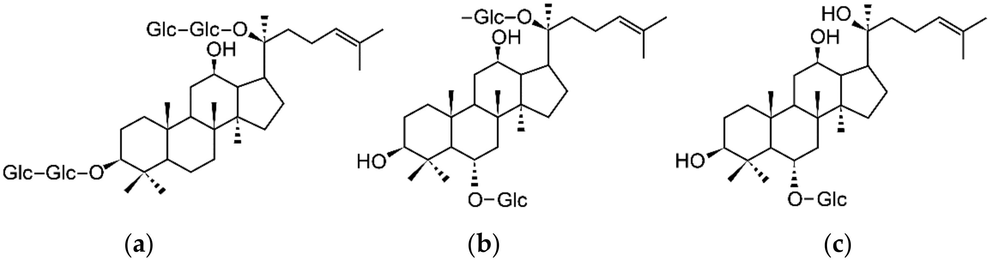
4.2.1. Red Ginseng
4.2.2. Pomegranate Extract and Pomegranate Juice Concentrate
4.2.3. Sophora Japonica Fruit Extract
4.2.4. Schisandra Chinensis Extract
4.2.5. Thistle Complex Extract
4.2.6. Lactobacillus Acidophilus YT1
4.2.7. Pycnogenol (French Maritime Pine Bark Extract)
4.2.8. Rhapontic Rhubarb Root Extract
4.2.9. Extract Complex of Soybean and Hops
4.2.10. Complex of Cynanchum wilfordii Hemsley, Phlomis umbrosa Turczaninow, and Angelica gigas Nakai extracts (CPAE)
4.3. Safety Study and Side Effects of Functional Ingredients
5. Status of Regulations and Tests for Endocrine-Disrupting Substances by Country
6. Conclusions
Author Contributions
Funding
Institutional Review Board Statement
Informed Consent Statement
Data Availability Statement
Conflicts of Interest
References
- Kim, S.J.; Park, S.S. Association between Age at Natural Menopause and Prevalence of Obesity, Hypertension, Diabetes, and Hypercholesterolemia. Korean Public Health Res. 2021, 47, 9. [Google Scholar] [CrossRef]
- Kontis, V.; Bennett, J.E.; Mathers, C.D.; Li, G.; Foreman, K.; Ezzati, M. Future life expectancy in 35 industrialised countries: Projections with a Bayesian model ensemble. Lancet 2017, 389, 1323–1335. [Google Scholar] [CrossRef]
- Santoro, N. The menopausal transition. Am. J. Med. 2005, 118 (Suppl. S12B), 8–13. [Google Scholar] [CrossRef]
- Soules, M.R.; Sherman, S.; Parrott, E.; Rebar, R.; Santoro, N.; Utian, W.; Woods, N. Executive summary: Stages of Reproductive Aging Workshop (STRAW). Climacteric J. Int. Menopause Soc. 2001, 4, 267–272. [Google Scholar] [CrossRef]
- Santoro, N. Perimenopause: From Research to Practice. J. Womens Health 2016, 25, 332–339. [Google Scholar] [CrossRef]
- Woods, N.F.; Mitchell, E.S.; Coslov, N.; Richardson, M.K. Transitioning to the menopausal transition: A scoping review of research on the late reproductive stage in reproductive aging. Menopause 2021, 28, 447–466. [Google Scholar] [CrossRef]
- Gracia, C.R.; Freeman, E.W. Onset of the Menopause Transition: The Earliest Signs and Symptoms. Obs. Gynecol. Clin. North Am. 2018, 45, 585–597. [Google Scholar] [CrossRef] [PubMed]
- Nonhormonal management of menopause-associated vasomotor symptoms: 2015 position statement of The North American Menopause Society. Menopause 2015, 22, 1155–1172. [CrossRef]
- Cobin, R.H.; Goodman, N.F. American Association of Clinical Endocrinologists and American College of Endocrinology Position Statement on Menopause-2017 Update. Endocr Pr. 2017, 23, 869–880. [Google Scholar] [CrossRef]
- So, S.H.; Lee, J.W.; Kim, Y.S.; Hyun, S.H.; Han, C.K. Red ginseng monograph. J. Ginseng. Res. 2018, 42, 549–561. [Google Scholar] [CrossRef]
- Han, C.J.; Kim, Y.H. Study on Consumption of Health Functional Foods according to Climacteric Symptoms in Middle-aged Women. J. East Asian Soc. Diet. Life 2014, 24, 768–775. [Google Scholar] [CrossRef]
- Patisaul, H.B. Endocrine disruption by dietary phyto-oestrogens: Impact on dimorphic sexual systems and behaviours. Proc. Nutr. Soc. 2017, 76, 130–144. [Google Scholar] [CrossRef] [PubMed]
- Lee, C.W.; Choi, K.H.; Jeong, S.W.; Kim, H.L.; Seo, Y.R. An Overview and Future Perspective on Endocrine Disruptors. J. Korean Endocr. Soc. 2009, 24, 7–14. [Google Scholar] [CrossRef][Green Version]
- Yoon, K.; Kwack, S.J.; Kim, H.S.; Lee, B.M. Estrogenic endocrine-disrupting chemicals: Molecular mechanisms of actions on putative human diseases. J. Toxicol. Environ. Health B Crit. Rev. 2014, 17, 127–174. [Google Scholar] [CrossRef] [PubMed]
- Kang, C.G.; Lee, S.H.; Kim, E.K. Endocrine Disruptors. J. Korean Med. Assoc. 2007, 50, 359–368. [Google Scholar] [CrossRef][Green Version]
- Rattan, S.; Zhou, C.; Chiang, C.; Mahalingam, S.; Brehm, E.; Flaws, J.A. Exposure to endocrine disruptors during adulthood: Consequences for female fertility. J. Endocrinol. 2017, 233, R109–R129. [Google Scholar] [CrossRef]
- Cederroth, C.R.; Zimmermann, C.; Nef, S. Soy, phytoestrogens and their impact on reproductive health. Mol. Cell Endocrinol. 2012, 355, 192–200. [Google Scholar] [CrossRef]
- Cano, A.; Marshall, S.; Zolfaroli, I.; Bitzer, J.; Ceausu, I.; Chedraui, P.; Durmusoglu, F.; Erkkola, R.; Goulis, D.G.; Hirschberg, A.L.; et al. The Mediterranean diet and menopausal health: An EMAS position statement. Maturitas 2020, 139, 90–97. [Google Scholar] [CrossRef]
- Baber, R.J.; Panay, N.; Fenton, A. 2016 IMS Recommendations on women’s midlife health and menopause hormone therapy. Climacteric 2016, 19, 109–150. [Google Scholar] [CrossRef] [PubMed]
- L’Espérance, S.; Frenette, S.; Dionne, A.; Dionne, J.Y. Pharmacological and non-hormonal treatment of hot flashes in breast cancer survivors: CEPO review and recommendations. Support Care Cancer 2013, 21, 1461–1474. [Google Scholar] [CrossRef]
- Bolle, P.; Mastrangelo, S.; Perrone, F.; Evandri, M.G. Estrogen-like effect of a Cimicifuga racemosa extract sub-fraction as assessed by in vivo, ex vivo and in vitro assays. J. Steroid. Biochem. Mol. Biol. 2007, 107, 262–269. [Google Scholar] [CrossRef]
- An, Y.-J.; Nam, S.-H.; Lee, J.-K. Categorization of Hazard Chemicals Potentially Discharged into Water System. J. Korean Soc. Water Qual. 2008, 24, 247–259. [Google Scholar]
- Darbre, P.D. Endocrine Disruptors and Obesity. Curr. Obes. Rep. 2017, 6, 18–27. [Google Scholar] [CrossRef]
- Setchell, K.D.; Cassidy, A. Dietary isoflavones: Biological effects and relevance to human health. J. Nutr. 1999, 129, 758s–767s. [Google Scholar] [CrossRef]
- Van Duursen, M.B.M. Modulation of estrogen synthesis and metabolism by phytoestrogens in vitro and the implications for women’s health. Toxicol. Res. 2017, 6, 772–794. [Google Scholar] [CrossRef]
- Hughes, C.L., Jr. Phytochemical mimicry of reproductive hormones and modulation of herbivore fertility by phytoestrogens. Environ. Health Perspect 1988, 78, 171–174. [Google Scholar] [CrossRef] [PubMed]
- Cheng, W.C.; Lo, S.C.; Tsai, K.S.; Tu, S.T.; Wu, J.S.; Chang, C.I.; Chen, C.L.; Shaw, N.S.; Peng, H.Y.; Wang, S.Y.; et al. Effects of high-dose phytoestrogens on circulating cellular microparticles and coagulation function in postmenopausal women. J. Formos. Med. Assoc. 2015, 114, 710–716. [Google Scholar] [CrossRef] [PubMed][Green Version]
- Patisaul, H.B.; Jefferson, W. The pros and cons of phytoestrogens. Front. Neuroendocr. 2010, 31, 400–419. [Google Scholar] [CrossRef]
- Li, S.H.; Liu, X.X.; Bai, Y.Y.; Wang, X.J.; Sun, K.; Chen, J.Z.; Hui, R.T. Effect of oral isoflavone supplementation on vascular endothelial function in postmenopausal women: A meta-analysis of randomized placebo-controlled trials. Am. J. Clin. Nutr. 2010, 91, 480–486. [Google Scholar] [CrossRef] [PubMed]
- Hodis, H.N.; Mack, W.J.; Kono, N.; Azen, S.P.; Shoupe, D.; Hwang-Levine, J.; Petitti, D.; Whitfield-Maxwell, L.; Yan, M.; Franke, A.A.; et al. Isoflavone soy protein supplementation and atherosclerosis progression in healthy postmenopausal women: A randomized controlled trial. Stroke 2011, 42, 3168–3175. [Google Scholar] [CrossRef]
- Ahn, H.Y.; Hur, D.H.; Kim, Y.J.; Cha, M.S.; Lee, D.N.; Kim, H.J. Efficacy and Safety of Extract Obtained from Pueraria thunbergiana Bentham and Curcuma longa L. on the Improvement of the Menopausal Symptoms. J. Orient. Obstet. Gynecol. 2020, 33, 75–92. [Google Scholar] [CrossRef]
- Park, H.M. The efficacy of phytoestrogen in postmenopausal women. Korean J. Obs. Gynecol. 2007, 50, 389–415. [Google Scholar]
- Brito, A.F.; Zang, Y. A Review of Lignan Metabolism, Milk Enterolactone Concentration, and Antioxidant Status of Dairy Cows Fed Flaxseed. Molecules 2018, 24, 41. [Google Scholar] [CrossRef] [PubMed]
- Cui, Q.; Du, R.; Liu, M.; Rong, L. Lignans and Their Derivatives from Plants as Antivirals. Molecules 2020, 25, 183. [Google Scholar] [CrossRef] [PubMed]
- Wolters, M.; Dejanovic, G.M.; Asllanaj, E.; Günther, K.; Pohlabeln, H.; Bramer, W.M.; Ahrens, J.; Nagrani, R.; Pigeot, I.; Franco, O.H.; et al. Effects of phytoestrogen supplementation on intermediate cardiovascular disease risk factors among postmenopausal women: A meta-analysis of randomized controlled trials. Menopause 2020, 27, 1081–1092. [Google Scholar] [CrossRef]
- Domínguez-López, I.; Yago-Aragón, M.; Salas-Huetos, A.; Tresserra-Rimbau, A.; Hurtado-Barroso, S. Effects of Dietary Phytoestrogens on Hormones throughout a Human Lifespan: A Review. Nutrients 2020, 12, 2456. [Google Scholar] [CrossRef] [PubMed]
- Hsieh, C.Y.; Santell, R.C.; Haslam, S.Z.; Helferich, W.G. Estrogenic effects of genistein on the growth of estrogen receptor-positive human breast cancer (MCF-7) cells in vitro and in vivo. Cancer Res. 1998, 58, 3833–3838. [Google Scholar]
- Allred, C.D.; Allred, K.F.; Ju, Y.H.; Virant, S.M.; Helferich, W.G. Soy diets containing varying amounts of genistein stimulate growth of estrogen-dependent (MCF-7) tumors in a dose-dependent manner. Cancer Res. 2001, 61, 5045–5050. [Google Scholar]
- Unfer, V.; Casini, M.L.; Costabile, L.; Mignosa, M.; Gerli, S.; Di Renzo, G.C. Endometrial effects of long-term treatment with phytoestrogens: A randomized, double-blind, placebo-controlled study. Fertil. Steril. 2004, 82, 145–148. [Google Scholar] [CrossRef]
- Golden, R.J.; Noller, K.L.; Titus-Ernstoff, L.; Kaufman, R.H.; Mittendorf, R.; Stillman, R.; Reese, E.A. Environmental endocrine modulators and human health: An assessment of the biological evidence. Crit. Rev. Toxicol. 1998, 28, 109–227. [Google Scholar] [CrossRef]
- Hamilton, K.J.; Hewitt, S.C.; Arao, Y.; Korach, K.S. Estrogen Hormone Biology. Curr. Top. Dev. Biol. 2017, 125, 109–146. [Google Scholar] [CrossRef]
- McEwen, B.S.; Davis, P.G.; Parsons, B.; Pfaff, D.W. The brain as a target for steroid hormone action. Annu. Rev. Neurosci. 1979, 2, 65–112. [Google Scholar] [CrossRef] [PubMed]
- Tetel, M.J.; Pfaff, D.W. Contributions of estrogen receptor-α and estrogen receptor-ß to the regulation of behavior. Biochim. Biophys Acta 2010, 1800, 1084–1089. [Google Scholar] [CrossRef] [PubMed]
- Manolagas, S.C.; O’Brien, C.A.; Almeida, M. The role of estrogen and androgen receptors in bone health and disease. Nat. Rev. Endocrinol. 2013, 9, 699–712. [Google Scholar] [CrossRef] [PubMed]
- Laurent, M.; Antonio, L.; Sinnesael, M.; Dubois, V.; Gielen, E.; Classens, F.; Vanderschueren, D. Androgens and estrogens in skeletal sexual dimorphism. Asian J. Androl. 2014, 16, 213–222. [Google Scholar] [CrossRef]
- Shi, L.; Feng, Y.; Lin, H.; Ma, R.; Cai, X. Role of estrogen in hepatocellular carcinoma: Is inflammation the key? J. Transl. Med. 2014, 12, 93. [Google Scholar] [CrossRef] [PubMed]
- Jia, G.; Aroor, A.R.; Sowers, J.R. Estrogen and mitochondria function in cardiorenal metabolic syndrome. Prog. Mol. Biol. Transl. Sci. 2014, 127, 229–249. [Google Scholar] [CrossRef] [PubMed]
- Eyster, K.M. The Estrogen Receptors: An Overview from Different Perspectives. Methods Mol. Biol. 2016, 1366, 1–10. [Google Scholar] [CrossRef]
- Fuentes, N.; Silveyra, P. Estrogen receptor signaling mechanisms. Adv. Protein. Chem. Struct. Biol. 2019, 116, 135–170. [Google Scholar] [CrossRef] [PubMed]
- Hara, Y.; Waters, E.M.; McEwen, B.S.; Morrison, J.H. Estrogen Effects on Cognitive and Synaptic Health Over the Lifecourse. Physiol. Rev. 2015, 95, 785–807. [Google Scholar] [CrossRef] [PubMed]
- Muhammad, A.; Mada, S.B.; Malami, I.; Forcados, G.E.; Erukainure, O.L.; Sani, H.; Abubakar, I.B. Postmenopausal osteoporosis and breast cancer: The biochemical links and beneficial effects of functional foods. BioMed. Pharm. 2018, 107, 571–582. [Google Scholar] [CrossRef] [PubMed]
- Gea, M.; Toso, A.; Schilirò, T. Estrogenic activity of biological samples as a biomarker. Sci. Total Environ. 2020, 740, 140050. [Google Scholar] [CrossRef]
- Lumachi, F.; Brunello, A.; Maruzzo, M.; Basso, U.; Basso, S.M. Treatment of estrogen receptor-positive breast cancer. Curr. Med. Chem 2013, 20, 596–604. [Google Scholar] [CrossRef] [PubMed]
- Yip, C.H.; Rhodes, A. Estrogen and progesterone receptors in breast cancer. Future Oncol. 2014, 10, 2293–2301. [Google Scholar] [CrossRef] [PubMed]
- Lee, H.K.; Kim, T.S.; Kim, C.Y.; Kang, I.H.; Kim, M.G.; Jung, K.K.; Kim, H.S.; Han, S.Y.; Yoon, H.J.; Rhee, G.S. Evaluation of in vitro screening system for estrogenicity: Comparison of stably transfected human estrogen receptor-α transcriptional activation (OECD TG455) assay and estrogen receptor (ER) binding assay. J. Toxicol. Sci. 2012, 37, 431–437. [Google Scholar] [CrossRef] [PubMed]
- Health Functional Food and Functional Food Material Market Status in 2020; imFact: Seoul, Korea, 2020.
- Liu, Z.P.; Yu, B.; Huo, J.S.; Lu, C.Q.; Chen, J.S. Estrogenic Effects of Cimicifuga racemosa (Black Cohosh) in Mice and on Estrogen Receptors in MCF-7 Cells. J. Med. Food 2001, 4, 171–178. [Google Scholar] [CrossRef] [PubMed]
- Kwon, J.; Oh, K.S.; Cho, S.Y.; Bang, M.A.; Kim, H.S.; Vaidya, B.; Kim, D. Estrogenic Activity of Hyperforin in MCF-7 Human Breast Cancer Cells Transfected with Estrogen Receptor. Planta Med. 2016, 82, 1425–1430. [Google Scholar] [CrossRef] [PubMed]
- Cho, J.; Park, W.; Lee, S.; Ahn, W.; Lee, Y. Ginsenoside-Rb1 from Panax ginseng C.A. Meyer activates estrogen receptor-alpha and -beta, independent of ligand binding. J. Clin. Endocrinol. Metab. 2004, 89, 3510–3515. [Google Scholar] [CrossRef] [PubMed]
- Papoutsi, Z.; Kassi, E.; Tsiapara, A.; Fokialakis, N.; Chrousos, G.P.; Moutsatsou, P. Evaluation of estrogenic/antiestrogenic activity of ellagic acid via the estrogen receptor subtypes ERalpha and ERbeta. J. Agric. Food Chem. 2005, 53, 7715–7720. [Google Scholar] [CrossRef] [PubMed]
- Yoon, H.J.; Seo, C.R.; Kim, M.; Kim, Y.J.; Song, N.J.; Jang, W.S.; Kim, B.J.; Lee, J.; Hong, J.W.; Nho, C.W.; et al. Dichloromethane extracts of Sophora japonica L. stimulate osteoblast differentiation in mesenchymal stem cells. Nutr. Res. 2013, 33, 1053–1062. [Google Scholar] [CrossRef]
- Kim, M.H.; Lee, H.S.; Hong, S.B.; Yang, W.M. Schizandra chinensis exhibits phytoestrogenic effects by regulating the activation of estrogen receptor-α and -β. Chin. J. Integr. Med. 2017. [Google Scholar] [CrossRef]
- Noh, Y.H.; Kim, D.H.; Lee, S.A.; Yin, X.F.; Park, J.; Lee, M.Y.; Lee, W.B.; Lee, S.H.; Kim, J.K.; Kim, S.S.; et al. The Natural Substance MS-10 Improves and Prevents Menopausal Symptoms, Including Colpoxerosis, in Clinical Research. J. Med. Food 2016, 19, 228–237. [Google Scholar] [CrossRef] [PubMed]
- Lee, M.; Yun, J.M.; Park, S.J.; Kim, D.K.; Kim, O.K. Effect of lactobacillus acidophilus YT1 on serum lipid and bone formation in ovariectomized rats. J. Korean Soc. Food Sci. Nutr. 2019, 48, 179–188. [Google Scholar] [CrossRef]
- Hasegawa, N.; Mei, L.; Mochizuki, M. Pycnogenol® enhances proliferation and mineralization in osteoblast-like MC3T3-E1 cells. Phytopharmacology 2013, 4, 569–574. [Google Scholar]
- Wilson, M.; Konda, V.; Heidt, K.; Rathinasabapathy, T.; Desai, A.; Komarnytsky, S. Rheum rhaponticum Root Extract Improves Vasomotor Menopausal Symptoms and Estrogen-Regulated Targets in Ovariectomized Rat Model. Int J. Mol. Sci. 2021, 22, 1032. [Google Scholar] [CrossRef] [PubMed]
- Milligan, S.R.; Kalita, J.C.; Heyerick, A.; Rong, H.; De Cooman, L.; De Keukeleire, D. Identification of a potent phytoestrogen in hops (Humulus lupulus L.) and beer. J. Clin. Endocrinol. Metab. 1999, 84, 2249–2252. [Google Scholar] [CrossRef]
- Kim, S.J.; Jin, S.W.; Lee, G.H.; Kim, Y.A.; Jeong, H.G. Evaluation of Estrogenic Activity of Extract from the Herbal Mixture Cynanchum wilfordii Hemsley, Phlomis umbrosa Turczaninow, and Angelica gigas Nakai. Toxicol. Res. 2017, 33, 71–77. [Google Scholar] [CrossRef] [PubMed]
- Borrelli, F.; Ernst, E. Black cohosh (Cimicifuga racemosa) for menopausal symptoms: A systematic review of its efficacy. Pharm. Res. 2008, 58, 8–14. [Google Scholar] [CrossRef]
- Bai, W.; Henneicke-von Zepelin, H.H.; Wang, S.; Zheng, S.; Liu, J.; Zhang, Z.; Geng, L.; Hu, L.; Jiao, C.; Liske, E. Efficacy and tolerability of a medicinal product containing an isopropanolic black cohosh extract in Chinese women with menopausal symptoms: A randomized, double blind, parallel-controlled study versus tibolone. Maturitas 2007, 58, 31–41. [Google Scholar] [CrossRef] [PubMed]
- McKenna, D.J.; Jones, K.; Humphrey, S.; Hughes, K. Black cohosh: Efficacy, safety, and use in clinical and preclinical applications. Altern. Ther. Health Med. 2001, 7, 93–100. [Google Scholar]
- Lieberman, S. A review of the effectiveness of Cimicifuga racemosa (black cohosh) for the symptoms of menopause. J. Womens Health 1998, 7, 525–529. [Google Scholar] [CrossRef] [PubMed]
- Dennehy, C.E. The use of herbs and dietary supplements in gynecology: An evidence-based review. J. Midwifery Womens Health 2006, 51, 402–409. [Google Scholar] [CrossRef] [PubMed]
- Comşa, Ş.; Cîmpean, A.M.; Raica, M. The Story of MCF-7 Breast Cancer Cell Line: 40 years of Experience in Research. Anticancer Res. 2015, 35, 3147–3154. [Google Scholar] [PubMed]
- Fritz, H.; Seely, D.; McGowan, J.; Skidmore, B.; Fernandes, R.; Kennedy, D.A.; Cooley, K.; Wong, R.; Sagar, S.; Balneaves, L.G.; et al. Black cohosh and breast cancer: A systematic review. Integr. Cancer Ther. 2014, 13, 12–29. [Google Scholar] [CrossRef]
- Tanmahasamut, P.; Vichinsartvichai, P.; Rattanachaiyanont, M.; Techatraisak, K.; Dangrat, C.; Sardod, P. Cimicifuga racemosa extract for relieving menopausal symptoms: A randomized controlled trial. Climacteric 2015, 18, 79–85. [Google Scholar] [CrossRef] [PubMed]
- Zierau, O.; Bodinet, C.; Kolba, S.; Wulf, M.; Vollmer, G. Antiestrogenic activities of Cimicifuga racemosa extracts. J. Steroid. Biochem. Mol. Biol. 2002, 80, 125–130. [Google Scholar] [CrossRef]
- Teschke, R.; Bahre, R.; Genthner, A.; Fuchs, J.; Schmidt-Taenzer, W.; Wolff, A. Suspected black cohosh hepatotoxicity--challenges and pitfalls of causality assessment. Maturitas 2009, 63, 302–314. [Google Scholar] [CrossRef]
- Lüde, S.; Török, M.; Dieterle, S.; Knapp, A.C.; Kaeufeler, R.; Jäggi, R.; Spornitz, U.; Krähenbühl, S. Hepatic effects of Cimicifuga racemosa extract in vivo and in vitro. Cell Mol. Life Sci. 2007, 64, 2848–2857. [Google Scholar] [CrossRef] [PubMed]
- Beckman, S.E.; Sommi, R.W.; Switzer, J. Consumer use of St. John’s wort: A survey on effectiveness, safety, and tolerability. Pharmacotherapy 2000, 20, 568–574. [Google Scholar] [CrossRef]
- Linde, K.; Ramirez, G.; Mulrow, C.D.; Pauls, A.; Weidenhammer, W.; Melchart, D. St John’s wort for depression--an overview and meta-analysis of randomised clinical trials. BMJ 1996, 313, 253–258. [Google Scholar] [CrossRef]
- Wong, A.H.; Smith, M.; Boon, H.S. Herbal remedies in psychiatric practice. Arch. Gen. Psychiatry 1998, 55, 1033–1044. [Google Scholar] [CrossRef]
- Parker, V.; Wong, A.H.; Boon, H.S.; Seeman, M.V. Adverse reactions to St John’s Wort. Can. J. Psychiatry 2001, 46, 77–79. [Google Scholar] [CrossRef]
- Ernst, E.; Rand, J.I.; Barnes, J.; Stevinson, C. Adverse effects profile of the herbal antidepressant St. John’s wort (Hypericum perforatum L.). Eur J. Clin Pharm. 1998, 54, 589–594. [Google Scholar] [CrossRef]
- Kwak, Y.S.; Wee, J.J.; Hwang, S.Y.; Kyung, J.S.; Nam, K.Y.; Kim, S.K. Effect of Crude Saponin from Korean Red Ginseng on Clinical Chemical Parameters of Ovariectomized Rat. J. Ginseng Res. 2000, 24, 46–50. [Google Scholar]
- Kwak, Y.S.; Wee, J.J.; Hwang, S.Y.; Kyung, J.S.; Kim, S.K. Effect of crude saponin fraction from Korean red ginseng on physiological events of ovariectomized rat. J. Korean. Soc. Food. Sci. Nutr. 2000, 29, 288–293. [Google Scholar]
- Kwak, Y.S.; Wee, J.J.; Hwang, S.Y.; Kyung, J.S.; Kim, S.K. Effect of Crude Saponin Fraction from Korean Red Ginseng on Physiological Functions of Old Female Rat. J. Korean. Soc. Food. Sci. Nutr. 2000, 29, 460–465. [Google Scholar]
- Kim, S.Y.; Seo, S.K.; Choi, Y.M.; Jeon, Y.E.; Lim, K.J.; Cho, S.; Choi, Y.S.; Lee, B.S. Effects of red ginseng supplementation on menopausal symptoms and cardiovascular risk factors in postmenopausal women: A double-blind randomized controlled trial. Menopause 2012, 19, 461–466. [Google Scholar] [CrossRef] [PubMed]
- Kwak, Y.S.; Park, J.D.; Yang, J.W. Present and Its Prospect of Red Ginseng Efficacy Research. Food Ind. Nutr. 2003, 8, 30–37. [Google Scholar]
- Lee, Y.; Jin, Y.; Lim, W.; Ji, S.; Choi, S.; Jang, S.; Lee, S. A ginsenoside-Rh1, a component of ginseng saponin, activates estrogen receptor in human breast carcinoma MCF-7 cells. J. Steroid Biochem Mol. Biol. 2003, 84, 463–468. [Google Scholar] [CrossRef]
- Gao, Q.G.; Zhou, L.P.; Lee, V.H.; Chan, H.Y.; Man, C.W.; Wong, M.S. Ginsenoside Rg1 activates ligand-independent estrogenic effects via rapid estrogen receptor signaling pathway. J. Ginseng Res. 2019, 43, 527–538. [Google Scholar] [CrossRef]
- Gao, Q.G.; Chan, H.Y.; Man, C.W.; Wong, M.S. Differential ERα-mediated rapid estrogenic actions of ginsenoside Rg1 and estren in human breast cancer MCF-7 cells. J. Steroid. Biochem. Mol. Biol. 2014, 141, 104–112. [Google Scholar] [CrossRef]
- Jung Jae, J.; Riya, S.; Sangkyu, L. Inhibitory Effects of 12 Ginsenosides on the Activities of Seven Cytochromes P450 in Human Liver Microsomes. Mass Spectrom. Lett. 2016, 7, 106–110. [Google Scholar]
- Oh, K.-J.; Chae, M.-J.; Lee, H.-S.; Hong, H.-D.; Park, K. Effects of Korean Red Ginseng on Sexual Arousal in Menopausal Women: Placebo-Controlled, Double-Blind Crossover Clinical Study. J. Sex. Med. 2010, 7, 1469–1477. [Google Scholar] [CrossRef]
- Lansky, E.P. Beware of pomegranates bearing 40% ellagic Acid. J. Med. Food 2006, 9, 119–122. [Google Scholar] [CrossRef] [PubMed]
- Ahn, K.H.; Kim, S.M.; Yi, K.W.; Park, H.T.; Shin, J.H.; Kim, Y.T.; Hur, J.Y.; Kim, S.H.; Lee, K.W.; Kim, T. The Effect of Pomegranate on Postmenopausal Syndrome: A Randomized, Double-blind, Placebo-controlled Trial. J. Korean Menopause Soc. 2010, 16, 99–106. [Google Scholar]
- Packova, D.; Carbonell-Barrachina, A.A.; Kolesarova, A. Ellagitannins--compounds from pomegranate as possible effector in steroidogenesis of rabbit ovaries. Physiol. Res. 2015, 64, 583–585. [Google Scholar] [CrossRef]
- Slobodníková, L.; Fialová, S.; Rendeková, K.; Kováč, J.; Mučaji, P. Antibiofilm Activity of Plant Polyphenols. Molecules 2016, 21, 1717. [Google Scholar] [CrossRef] [PubMed]
- Lee, J.; Kim, K.W.; Kim, H.K.; Chae, S.W.; Jung, J.C.; Kwon, S.H.; Rheu, C.H. The effect of Rexflavone (Sophorae fructus extract) on menopausal symptoms in postmenopausal women: A randomized double-blind placebo controlled clinical trial. Arch. Pharm. Res. 2010, 33, 523–530. [Google Scholar] [CrossRef] [PubMed]
- Danciu, C.; Soica, C.; Csanyi, E.; Ambrus, R.; Feflea, S.; Peev, C.; Dehelean, C. Changes in the anti-inflammatory activity of soy isoflavonoid genistein versus genistein incorporated in two types of cyclodextrin derivatives. Chem. Cent. J. 2012, 6, 58. [Google Scholar] [CrossRef]
- Park, J.Y.; Kim, K.H. A randomized, double-blind, placebo-controlled trial of Schisandra chinensis for menopausal symptoms. Climacteric 2016, 19, 574–580. [Google Scholar] [CrossRef]
- Noh, Y.H.; Cheon, S.; Kim, I.H.; Lee, S.; Yin, X.F.; Jeong, J.; Lee, H.; Ahn, J.H.; Han, S.S.; Bae, Y.; et al. The effects of MS-10 dietary supplement, mixture of Korean thistle and thyme extracts, on bone health, and symptoms in menopausal women. J. Funct. Foods 2019, 52, 680–689. [Google Scholar] [CrossRef]
- Noh, Y.H.; Lee, J.W.; Park, J.; Lee, S.H.; Lee, J.Y.; Kim, S.S.; Park, K.K.; Kim, T.J.; Myung, S.C.; Jeong, Y. Natural substance ms-10 improves women’s health via regulation of estrogen receptor. J. Korean Soc. Food Sci. Nutr. 2016, 45, 903–910. [Google Scholar] [CrossRef]
- Lim, E.Y.; Lee, S.Y.; Shin, H.S.; Lee, J.; Nam, Y.D.; Lee, D.O.; Lee, J.Y.; Yeon, S.H.; Son, R.H.; Park, C.L.; et al. The Effect of Lactobacillus acidophilus YT1 (MENOLACTO) on Improving Menopausal Symptoms: A Randomized, Double-Blinded, Placebo-Controlled Clinical Trial. J. Clin. Med. 2020, 9, 2173. [Google Scholar] [CrossRef]
- Policy, D.O.H.F.F. Individual Ingredients-Pycnogenol−French Maritime Pine Bark Extract; Ministry of Food and Drug Safety: Cheongju, Korea, 2008.
- Yang, H.M.; Liao, M.F.; Zhu, S.Y.; Liao, M.N.; Rohdewald, P. A randomised, double-blind, placebo-controlled trial on the effect of Pycnogenol on the climacteric syndrome in peri-menopausal women. Acta Obs. Gynecol. Scand 2007, 86, 978–985. [Google Scholar] [CrossRef]
- Kohama, T.; Negami, M. Effect of low-dose French maritime pine bark extract on climacteric syndrome in 170 perimenopausal women: A randomized, double-blind, placebo-controlled trial. J. Reprod Med. 2013, 58, 39–46. [Google Scholar] [PubMed]
- Kaszkin-Bettag, M.; Beck, S.; Richardson, A.; Heger, P.W.; Beer, A.M. Efficacy of the special extract ERr 731 from rhapontic rhubarb for menopausal complaints: A 6-month open observational study. Altern Ther. Health Med. 2008, 14, 32–38. [Google Scholar]
- De Keukeleire, J.; Ooms, G.; Heyerick, A.; Roldan-Ruiz, I.; Van Bockstaele, E.; De Keukeleire, D. Formation and accumulation of alpha-acids, beta-acids, desmethylxanthohumol, and xanthohumol during flowering of hops (Humulus lupulus L.). J. Agric. Food Chem. 2003, 51, 4436–4441. [Google Scholar] [CrossRef] [PubMed]
- Choi, E.J.; Park, K.J.; Kang, J.I.; Lee, S.Y. The development of new functional ingredients for menopausal women and cardiovascular health. Food Sci. Ind. 2020, 53, 374–381. [Google Scholar]
- Chang, A.; Kwak, B.Y.; Yi, K.; Kim, J.S. The effect of herbal extract (EstroG-100) on pre-, peri- and post-menopausal women: A randomized double-blind, placebo-controlled study. Phytother Res. 2012, 26, 510–516. [Google Scholar] [CrossRef]
- Turck, D.; Bresson, J.L.; Burlingame, B.; Dean, T.; Fairweather-Tait, S.; Heinonen, M.; Hirsch-Ernst, K.I.; Mangelsdorf, I.; McArdle, H.J.; Naska, A.; et al. Statement on the safety of EstroG-100™ as a novel food pursuant to Regulation (EC) No 258/97. Efsa J. 2017, 15, e04778. [Google Scholar] [CrossRef][Green Version]
- NIH. Black Cohosh. Available online: https://ods.od.nih.gov/factsheets/BlackCohosh-HealthProfessional/ (accessed on 22 August 2021).
- Bernstein, N.; Akram, M.; Yaniv-Bachrach, Z.; Daniyal, M. Is it safe to consume traditional medicinal plants during pregnancy? Phytother Res. 2021, 35, 1908–1924. [Google Scholar] [CrossRef]
- Kim, M.H.; Bae, Y.J. A Comparison study on nutrients, phytoestrogens and food intakes of postmenopausal women according to the climacteric symptom. J. East Asian Soc. Diet. Life 2006, 16, 533–541. [Google Scholar]
- Albertazzi, P.; Pansini, F.; Bonaccorsi, G.; Zanotti, L.; Forini, E.; De Aloysio, D. The effect of dietary soy supplementation on hot flushes. Obs. Gynecol. 1998, 91, 6–11. [Google Scholar] [CrossRef]
- Won, H.J.; Lee, B.S.; Lee, S.K.; Choi, Y.; Yoon, S.; Park, K.H.; Cho, D.J.; Song, C.H. The effects of isoflavone on postmenopausal symptoms and hormonal changes in postmenopausal women. J. Korean Soc. Menopause 2001, 7, 54–63. [Google Scholar]
- Guidozzi, F.; Alperstein, A.; Bagratee, J.S.; Dalmeyer, P.; Davey, M.; de Villiers, T.J.; Hirschowitz, S.; Kopenhager, T.; Moodley, S.P.; Roos, P.; et al. South African Menopause Society revised consensus position statement on menopausal hormone therapy, 2014. S. Afr. Med. J. 2014, 104, 537–543. [Google Scholar] [CrossRef]
- Jargin, S.V. Soy and phytoestrogens: Possible side effects. Ger. Med. Sci. 2014, 12, Doc18. [Google Scholar] [CrossRef] [PubMed]
- KHSA. Domestic Industrial Status. Available online: https://khsa.or.kr/user/info/InfoHealthIndustry.do?_menuNo=392 (accessed on 22 August 2021).
- Lim, M.; Park, J.Y.; Ji, K.; Lee, K. Development and Application of a Chemical Ranking and Scoring System for the Management of Endocrine Disrupting Chemicals. J. Environ. Health Sci. 2018, 44, 76–89. [Google Scholar] [CrossRef]
- Ryu, J.C. Overall Review on endocrine disruptors. Korean J. Pestic. Sci. 2002, 6, 135–156. [Google Scholar]
- OECD. Revised Guidance Document 150 on Standardised Test Guidelines for Evaluating Chemicals for Endocrine Disruption; OECD Series on Testing and Assessment; OECD Publishing: Paris, France, 2018; Available online: https://www.oecd.org/publications/guidance-document-on-standardised-test-guidelines-for-evaluating-chemicals-for-endocrine-disruption-2nd-edition-9789264304741-en.htm (accessed on 8 August 2021).
- Baltz, D. Endocrine disruption comes into regulatory focus. New Solut. 1999, 9, 29–35. Available online: https://doi.org/10.2190/3ym8-34by-br0b-9ctw (accessed on 22 August 2021).
- Browne, P.; Noyes, P.D.; Casey, W.M.; Dix, D.J. Application of Adverse Outcome Pathways to U.S. EPA’s Endocrine Disruptor Screening Program. Environ. Health Perspect. 2017, 125, 096001. [Google Scholar] [CrossRef] [PubMed]
- Kassotis, C.D.; Vandenberg, L.N.; Demeneix, B.A.; Porta, M.; Slama, R.; Trasande, L. Endocrine-disrupting chemicals: Economic, regulatory, and policy implications. Lancet Diabetes Endocrinol. 2020, 8, 719–730. [Google Scholar] [CrossRef]
- EPA. Series 890-Endocrine Disruptor Screening Program Test Guidelines. Available online: https://www.epa.gov/test-guidelines-pesticides-and-toxic-substances/series-890-endocrine-disruptor-screening-program (accessed on 22 August 2021).
- ECHA. Candidate List Updated with Eight Hazardous Chemicals. Available online: https://echa.europa.eu/-/candidate-list-updated-with-eight-hazardous-chemicals (accessed on 22 August 2021).
- Ha, S.; Seidle, T.; Lim, K.M. Act on the Registration and Evaluation of Chemicals (K-REACH) and replacement, reduction or refinement best practices. Environ. Health Toxicol. 2016, 31, e2016026. [Google Scholar] [CrossRef] [PubMed]
- CIRS. Revised K-REACH—The Act on the Registration and Evaluation of Chemicals. Available online: https://www.cirs-reach.com/news-and-articles/revised-korea-reach---the-act-on-the-registration-and-evaluation-of-chemicals.html (accessed on 22 August 2021).
- EPA. Endocrine Disruptor Screening Program (EDSP) Estrogen Receptor Bioactivity. Available online: https://www.epa.gov/endocrine-disruption/endocrine-disruptor-screening-program-edsp-estrogen-receptor-bioactivity (accessed on 22 August 2021).
- EU Endocrine Disruptor Lists. Available online: https://edlists.org/ (accessed on 22 August 2021).
- Yun, M.H.; Yu, S.J.; Kim, H.J. A Study on Relations between Hot flush and the Kupperman’s Index, MENQOL, MRS during Treatment for Hot Flush in Menopausal Women. J. Korean Obstet. Gynecol. 2011, 24, 87–98. [Google Scholar] [CrossRef]
















| Study | Ingredients | In Vitro/In Vivo Model | ER- α or –β Binding Activity against Control |
|---|---|---|---|
| Liu et al. (2001) [57] | Black cohosh | MCF-7 cell | + |
| Kwon et al. (2016) [58] | St. John’s wort | MCF-7 cell | + |
| Cho et al. (2004) [59] | Ginsenoside-Rb1 1 | MCF-7 cell | + |
| Papoutsi et al. (2005) [60] | Ellagic acid 2 | HeLa cell | + |
| Yoon et al. (2013) [61] | Dichloromethane extracts of Sophora japonica L. | MCF-7 cell | + |
| Kim et al. (2017) [62] | Schisandra chinensis extract | MCF-7 cell | + |
| Noh et al. (2016) [63] | Thistle complex extract | OVX-induced rats | + |
| Lee et al. (2019) [64] | Lactobacillus acidophilus YT1 | OVX-induced rats | + |
| N et al. (2013) [65] | Pycnogenol | MC3T3-E1 cell | + |
| Wilson et al. (2021) [66] | Rhapontic rhubarb root extract | Human endometrial cell | + |
| Milligan et al. (1999) [67] | 8−Prenylnaringenin 3 | Ishikawa Var I cell | + |
| Kim et al. (2017) [68] | CPAE 4 | HeLa-9903 cell | - |
| Year | CAGR 1 | |||||
|---|---|---|---|---|---|---|
| 2015 | 2016 | 2017 | 2018 | 2019 | ||
| Market size (KRW 100 million) | 17,326 | 20,176 | 21,297 | 23,962 | 28,081 | 12.83% |
| Adverse cases, n. | 502 | 696 | 874 | 964 | 1132 | 22.50% |
| Cumulative approved cases, n. | 560 | 581 | 587 | 601 | 632 | 3.00% |
| Adverse cases, n./Cumulative approved cases, n. | 0.90 | 1.20 | 1.49 | 1.60 | 1.79 | |
Publisher’s Note: MDPI stays neutral with regard to jurisdictional claims in published maps and institutional affiliations. |
© 2021 by the authors. Licensee MDPI, Basel, Switzerland. This article is an open access article distributed under the terms and conditions of the Creative Commons Attribution (CC BY) license (https://creativecommons.org/licenses/by/4.0/).
Share and Cite
Kang, S.; Jo, H.; Kim, M.-R. Safety Assessment of Endocrine Disruption by Menopausal Health Functional Ingredients. Healthcare 2021, 9, 1376. https://doi.org/10.3390/healthcare9101376
Kang S, Jo H, Kim M-R. Safety Assessment of Endocrine Disruption by Menopausal Health Functional Ingredients. Healthcare. 2021; 9(10):1376. https://doi.org/10.3390/healthcare9101376
Chicago/Turabian StyleKang, Soyeon, Hagyeong Jo, and Mee-Ran Kim. 2021. "Safety Assessment of Endocrine Disruption by Menopausal Health Functional Ingredients" Healthcare 9, no. 10: 1376. https://doi.org/10.3390/healthcare9101376
APA StyleKang, S., Jo, H., & Kim, M.-R. (2021). Safety Assessment of Endocrine Disruption by Menopausal Health Functional Ingredients. Healthcare, 9(10), 1376. https://doi.org/10.3390/healthcare9101376

