Study of Burden in Polycystic Ovary Syndrome at Global, Regional, and National Levels from 1990 to 2019
Abstract
1. Introduction
2. Materials and Methods
2.1. Summary
2.2. Data Source
2.3. Statistical Analysis
3. Results
3.1. The Burden of PCOS at the Global Level
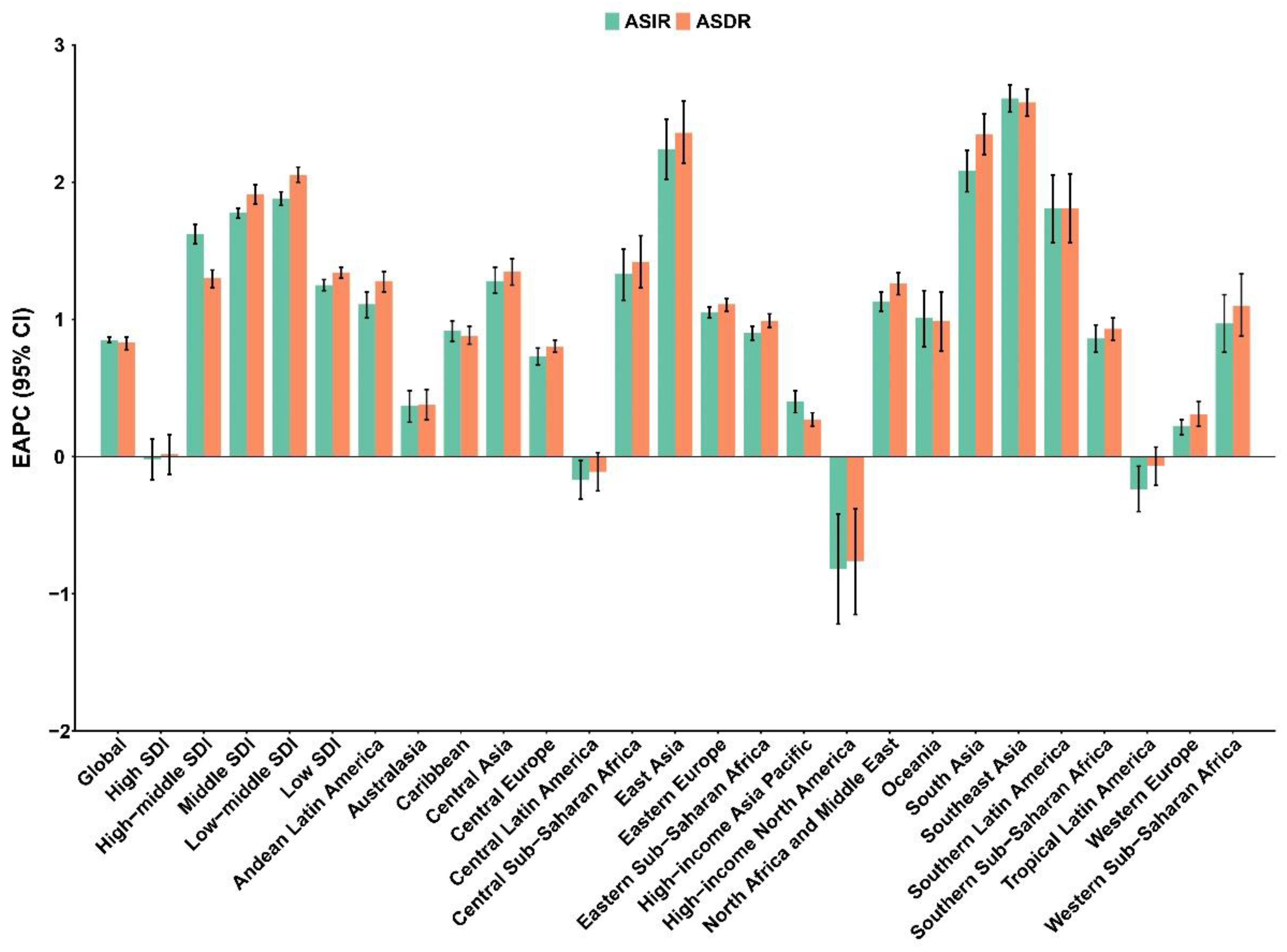
3.2. The Burden of PCOS at the Regional Level
3.3. The Burden of PCOS at the National Level
3.4. The Burden of PCOS at the SDI-Quintile Level
3.5. The Influential Factors for EAPC
4. Discussion
4.1. Global Burden of PCOS and Its Possible Causes
4.2. Regional Burden of PCOS and Its Possible Causes
4.3. National Burden of PCOS and Its Possible Causes
4.4. Both Doctors and Patients Need to Make Efforts to Deal with PCOS
4.5. Limitations and Challenges
5. Conclusions
Supplementary Materials
Author Contributions
Funding
Institutional Review Board Statement
Informed Consent Statement
Data Availability Statement
Acknowledgments
Conflicts of Interest
References
- Yildiz, B.O.; Bozdag, G.; Yapici, Z.; Esinler, I.; Yarali, H. Prevalence, phenotype and cardiometabolic risk of polycystic ovary syndrome under different diagnostic criteria. Hum. Reprod. 2012, 27, 3067–3073. [Google Scholar] [CrossRef] [PubMed]
- Hoeger, K.M.; Dokras, A.; Piltonen, T. Update on PCOS: Consequences, Challenges, and Guiding Treatment. J. Clin. Endocrinol. Metab. 2021, 106, e1071–e1083. [Google Scholar] [CrossRef] [PubMed]
- Patel, S. Polycystic ovary syndrome (PCOS), an inflammatory, systemic, lifestyle endocrinopathy. J. Steroid Biochem. Mol. Biol. 2018, 182, 27–36. [Google Scholar] [CrossRef] [PubMed]
- Merkin, S.S.; Phy, J.L.; Sites, C.K.; Yang, D. Environmental determinants of polycystic ovary syndrome. Fertil. Steril. 2016, 106, 16–24. [Google Scholar] [CrossRef] [PubMed]
- De Leo, V.; Musacchio, M.C.; Cappelli, V.; Massaro, M.G.; Morgante, G.; Petraglia, F. Genetic, hormonal and metabolic aspects of PCOS: An update. Reprod. Biol. Endocrinol. 2016, 14, 38. [Google Scholar] [CrossRef] [PubMed]
- Barry, J.A.; Azizia, M.M.; Hardiman, P.J. Risk of endometrial, ovarian and breast cancer in women with polycystic ovary syndrome: A systematic review and meta-analysis. Hum. Reprod. Update 2014, 20, 748–758. [Google Scholar] [CrossRef]
- Macut, D.; Mladenović, V.; Bjekić-Macut, J.; Livadas, S.; Stanojlović, O.; Hrnčić, D.; Rašić-Marković, A.; Milutinović, D.V.; Andrić, Z. Hypertension in Polycystic Ovary Syndrome: Novel Insights. Curr. Hypertens. Rev. 2020, 16, 55–60. [Google Scholar]
- Wild, R.A.; Rizzo, M.; Clifton, S.; Carmina, E. Lipid levels in polycystic ovary syndrome: Systematic review and meta-analysis. Fertil. Steril. 2011, 95, 1073–1079. e11. [Google Scholar] [CrossRef]
- Berni, T.R.; Morgan, C.L.; Rees, D.A. Women with Polycystic Ovary Syndrome Have an Increased Risk of Major Car-diovascular Events: A Population Study. J. Clin. Endocrinol. Metab. 2021, 106, e3369–e3380. [Google Scholar] [CrossRef]
- Lizneva, D.; Suturina, L.; Walker, W.; Brakta, S.; Gavrilova-Jordan, L.; Azziz, R. Criteria, prevalence, and phenotypes of polycystic ovary syndrome. Fertil. Steril. 2016, 106, 6–15. [Google Scholar] [CrossRef]
- Kakoly, N.S.; Khomami, M.B.; Joham, A.E.; Cooray, S.D.; Misso, M.L.; Norman, R.J.; Harrison, C.L.; Ranasinha, S.; Teede, H.J.; Moran, L.J. Ethnicity, obesity and the prevalence of impaired glucose tolerance and type 2 diabetes in PCOS: A systematic review and meta-regression. Hum. Reprod. Update 2018, 24, 455–467. [Google Scholar] [CrossRef] [PubMed]
- De Sousa, S.M.D.; Norman, R.J.P. Metabolic syndrome, diet and exercise. Best Pract. Res. Clin. Obstet. Gynaecol. 2016, 37, 140–151. [Google Scholar] [CrossRef] [PubMed]
- Tasali, E.; Van Cauter, E.; Ehrmann, D.A. Polycystic Ovary Syndrome and Obstructive Sleep Apnea. Sleep Med. Clin. 2008, 3, 37–46. [Google Scholar] [CrossRef] [PubMed]
- Rocha, A.L.L.; Faria, L.C.; Guimarães, T.C.M.; Moreira, G.V.; Cândido, A.L.; Couto, C.A.; Reis, F.M. Non-alcoholic fatty liver disease in women with polycystic ovary syndrome: Systematic review and meta-analysis. J. Endocrinol. Investig. 2017, 40, 1279–1288. [Google Scholar] [CrossRef] [PubMed]
- Kolhe, J.V.; Chhipa, A.S.; Butani, S.; Chavda, V.; Patel, S.S. PCOS and Depression: Common Links and Potential Targets. Reprod. Sci. 2021, 29, 3106–3123. [Google Scholar] [CrossRef] [PubMed]
- Dokras, A.; Clifton, S.; Futterweit, W.; Wild, R. Increased prevalence of anxiety symptoms in women with polycystic ovary syndrome: Systematic review and meta-analysis. Fertil. Steril. 2012, 97, 225–230.e2. [Google Scholar] [CrossRef]
- Joham, A.E.; Palomba, S.; Hart, R. Polycystic Ovary Syndrome, Obesity, and Pregnancy. Semin. Reprod. Med. 2016, 34, 93–101. [Google Scholar] [CrossRef]
- Dokras, A.; Saini, S.; Gibson-Helm, M.; Schulkin, J.; Cooney, L.; Teede, H. Gaps in knowledge among physicians regarding diagnostic criteria and management of polycystic ovary syndrome. Fertil. Steril. 2017, 107, 1380–1386.e1. [Google Scholar] [CrossRef]
- Cussons, A.J.; Stuckey, B.G.; Walsh, J.P.; Burke, V.; Norman, R.J. Polycystic ovarian syndrome: Marked differences between endocrinologists and gynaecologists in diagnosis and management. Clin. Endocrinol. 2005, 62, 289–295. [Google Scholar] [CrossRef]
- GBD 2019 Viewpoint Collaborators. Five insights from the Global Burden of Disease Study 2019. Lancet 2020, 396, 1135–1159. [Google Scholar] [CrossRef]
- GBD 2019 Diseases and Injuries Collaborators. Global burden of 369 diseases and injuries in 204 countries and territories, 1990–2019: A systematic analysis for the Global Burden of Disease Study 2019. Lancet 2020, 396, 1204–1222. [Google Scholar] [CrossRef] [PubMed]
- Global Burden of Disease Study 2019 (GBD 2019) Socio-Demographic Index (SDI) 1950–2019. Available online: https://ghdx.healthdata.org/record/ihme-data/gbd-2019-socio-demographic-index-sdi-1950-2019 (accessed on 5 June 2022).
- Gibson-Helm, M.; Teede, H.; Dunaif, A.; Dokras, A. Delayed Diagnosis and a Lack of Information Associated With Dissatisfaction in Women With Polycystic Ovary Syn-drome. J. Clin. Endocrinol. Metab. 2017, 102, 604–612. [Google Scholar] [PubMed]
- Liu, J.; Wu, Q.; Hao, Y.; Jiao, M.; Wang, X.; Jiang, S.; Han, L. Measuring the global disease burden of polycystic ovary syndrome in 194 countries: Global Burden of Disease Study 2017. Hum. Reprod. 2021, 36, 1108–1119. [Google Scholar] [CrossRef] [PubMed]
- Filc, D.; Davidovich, N.; Novack, L.; Balicer, R.D. Is socioeconomic status associated with utilization of health care services in a single-payer universal health care system? Int. J. Equity Health 2014, 13, 115. [Google Scholar] [CrossRef] [PubMed]
- Lueckmann, S.L.; Hoebel, J.; Roick, J.; Markert, J.; Spallek, J.; von dem Knesebeck, O.; Richter, M. Socioeconomic inequalities in primary-care and specialist physician visits: A systematic review. Int. J. Equity Health 2021, 20, 58. [Google Scholar] [CrossRef] [PubMed]
- Zhang, T.; Liu, C.; Liu, L.; Gan, Y.; Lu, W.; Tao, H. General practice for the poor and specialist services for the rich: Inequality evidence from a cross-sectional survey on Hangzhou residents, China. Int. J. Equity Health 2019, 18, 69. [Google Scholar] [CrossRef]
- Escobar-Morreale, H.F. Polycystic ovary syndrome: Definition, aetiology, diagnosis and treatment. Nat. Rev. Endocrinol. 2018, 14, 270–284. [Google Scholar] [CrossRef]
- Wang, Y.; Beydoun, M.A. The obesity epidemic in the United States—Gender, age, socioeconomic, racial/ethnic, and geographic characteristics: A systematic review and meta-regression analysis. Epidemiol. Rev. 2007, 29, 6–28. [Google Scholar] [CrossRef]
- Lawlor, D.A.; Ebrahim, S.; Davey Smith, G. Socioeconomic position in childhood and adulthood and insulin resistance: Cross sectional survey using data from British women’s heart and health study. BMJ 2002, 325, 805. [Google Scholar] [CrossRef]
- Huang, Z.; Yong, E.L. Ethnic differences: Is there an Asian phenotype for polycystic ovarian syndrome? Best Pract. Res. Clin. Obstet. Gynaecol. 2016, 37, 46–55. [Google Scholar] [CrossRef]
- van Doorslaer, E.; Wagstaff, A.; Bleichrodt, H.; Calonge, S.; Gerdtham, U.G.; Gerfin, M.; Geurts, J.; Gross, L.; Häkkinen, U.; Leu, R.E.; et al. Income-related inequalities in health: Some international comparisons. J. Health Econ. 1997, 16, 93–112. [Google Scholar] [CrossRef] [PubMed]
- Hoffer, E.P. America’s Health Care System is Broken: What Went Wrong and How We Can Fix It. Part 4: The Pharmaceutical Industry. Am. J. Med. 2019, 132, 1013–1016. [Google Scholar] [CrossRef] [PubMed]
- Kawahito, H. Karojisatsu (Suicide Due to Overwork); Iwanami Shoten: Tokyo, Japan, 2014. (In Japanese) [Google Scholar]
- Ishikawa, H.; Tachimori, H.; Takeshima, T.; Umeda, M.; Miyamoto, K.; Shimoda, H.; Baba, T.; Kawakami, N. Prevalence, treatment, and the correlates of common mental disorders in the mid 2010’s in Japan: The results of the world mental health Japan 2nd survey. J. Affect. Disord. 2018, 241, 554–562. [Google Scholar] [CrossRef] [PubMed]
- Okanović, M.; Zivanović, O. Valproate, Bipolar Disorder And Polycystic Ovarian Syndrome. Med. Pregl. 2016, 69, 121–126. [Google Scholar] [CrossRef] [PubMed]
- Bilo, L.; Meo, R. Polycystic ovary syndrome in women using valproate: A review. Gynecol. Endocrinol. 2008, 24, 562–570. [Google Scholar] [CrossRef] [PubMed]
- Zhang, L.; Li, H.; Li, S.; Zou, X. Reproductive and metabolic abnormalities in women taking valproate for bipolar disorder: A meta-analysis. Eur. J. Obstet. Gynecol. Reprod. Biol. 2016, 202, 26–31. [Google Scholar] [CrossRef]
- Watanabe, K.; Kikuchi, T. Adverse events of psychotropic drugs. Seishin Shinkeigaku Zasshi 2014, 116, 323–331. [Google Scholar]
- Gotlib, D.; Ramaswamy, R.; Kurlander, J.E.; DeRiggi, A.; Riba, M. Valproic Acid in Women and Girls of Childbearing Age. Curr. Psychiatry Rep. 2017, 19, 58. [Google Scholar] [CrossRef]
- McCurry, J. Japan battles with obesity. Lancet 2007, 369, 451–452. [Google Scholar] [CrossRef]
- Kubota, T. Update in polycystic ovary syndrome: New criteria of diagnosis and treatment in Japan. Reprod. Med. Biol. 2013, 12, 71–77. [Google Scholar] [CrossRef]
- Diao, L.; Liu, Y. Inequity under equality: Research on the benefits equity of Chinese basic medical insurance. BMC Health Serv. Res. 2020, 20, 710. [Google Scholar] [CrossRef] [PubMed]
- Outline of Healthy China 2030. Available online: http://www.gov.cn/gongbao/content/2016/content_5133024.htm (accessed on 5 June 2022).
- Outline of Chinese Women and Children’s Development, 2021–2030. Available online: http://www.gov.cn/zhengce/zhengceku/2022-04/09/content_5684258.htm (accessed on 5 June 2022).
- Pell, C.; Allotey, P.; Evans, N.; Hardon, A.; Imelda, J.D.; Soyiri, I.; Reidpath, D.D. Coming of age, becoming obese: A cross-sectional analysis of obesity among adolescents and young adults in Malaysia. BMC Public Health 2016, 16, 1082. [Google Scholar] [CrossRef] [PubMed]
- Mannerås-Holm, L.; Leonhardt, H.; Kullberg, J.; Jennische, E.; Odén, A.; Holm, G.; Hellström, M.; Lönn, L.; Olivecrona, G.; Stener-Victorin, E.; et al. Adipose tissue has aberrant morphology and function in PCOS: Enlarged adipocytes and low serum adiponectin, but not circulating sex steroids, are strongly associated with insulin resistance. J. Clin. Endocrinol. Metab. 2011, 96, E304–E311. [Google Scholar] [CrossRef] [PubMed]
- Diamanti-Kandarakis, E.; Dunaif, A. Insulin resistance and the polycystic ovary syndrome revisited: An update on mechanisms and implications. Endocr. Rev. 2012, 33, 981–1030. [Google Scholar] [CrossRef]
- Moghetti, P.; Tosi, F. Insulin resistance and PCOS: Chicken or egg? J. Endocrinol. Investig. 2021, 44, 233–244. [Google Scholar] [CrossRef]
- Pathak, G.; Nichter, M. Polycystic ovary syndrome in globalizing India: An ecosocial perspective on an emerging lifestyle disease. Soc. Sci. Med. 2015, 146, 21–28. [Google Scholar] [CrossRef]
- Teede, H.J.; Misso, M.L.; Costello, M.F.; Dokras, A.; Laven, J.; Moran, L.; Piltonen, T.; Norman, R.J.; International PCOS Network. Recommendations from the international evidence-based guideline for the assessment and management of polycystic ovary syndrome. Fertil. Steril. 2018, 110, 364–379. [Google Scholar] [CrossRef]
- Sahmay, S.; Aydin, Y.; Oncul, M.; Senturk, L.M. Diagnosis of Polycystic Ovary Syndrome: AMH in combination with clinical symptoms. J. Assist. Reprod. Genet. 2014, 31, 213–220. [Google Scholar] [CrossRef]
- Yan, D.; Yan-Fang, W.; Shi-Yang, Z.; Rui-Lin, M.; Xue-Song, D.; Xiao, M.; Wei, X.; Aijun, S. Is polycystic ovary syndrome appropriately diagnosed by obstetricians and gynaecologists across China: A nationwide survey. J. Ovarian Res. 2021, 14, 25. [Google Scholar] [CrossRef]
- Calcaterra, V.; Verduci, E.; Cena, H.; Magenes, V.C.; Todisco, C.F.; Tenuta, E.; Gregorio, C.; De Giuseppe, R.; Bosetti, A.; Di Profio, E.; et al. Polycystic Ovary Syndrome in Insulin-Resistant Adolescents with Obesity: The Role of Nutrition Therapy and Food Supplements as a Strategy to Protect Fertility. Nutrients 2021, 13, 1848. [Google Scholar] [CrossRef]
- GBD 2017 DALYs and HALE Collaborators. Global, regional, and national disability-adjusted life-years (DALYs) for 333 diseases and injuries and healthy life expectancy (HALE) for 195 countries and territories, 1990–2016: A systematic analysis for the Global Burden of Disease Study 2016. Lancet 2017, 390, 1260–1344. [Google Scholar] [CrossRef] [PubMed]
- Lim, S.S.; Hutchison, S.K.; Van Ryswyk, E.; Norman, R.J.; Teede, H.J.; Moran, L.J. Lifestyle changes in women with polycystic ovary syndrome. Cochrane Database Syst. Rev. 2019, 3, Cd007506. [Google Scholar] [CrossRef] [PubMed]
- Thomson, R.L.; Buckley, J.D.; Lim, S.S.; Noakes, M.; Clifton, P.M.; Norman, R.J.; Brinkworth, G.D. Lifestyle management improves quality of life and depression in overweight and obese women with polycystic ovary syndrome. Fertil. Steril. 2010, 94, 1812–1816. [Google Scholar] [CrossRef] [PubMed]
- Moran, L.J.; Ko, H.; Misso, M.; Marsh, K.; Noakes, M.; Talbot, M.; Frearson, M.; Thondan, M.; Stepto, N.; Teede, H.J. Dietary composition in the treatment of polycystic ovary syndrome: A systematic review to inform evidence-based guidelines. Hum. Reprod. Update 2013, 19, 432. [Google Scholar] [CrossRef] [PubMed]
- Gariani, K.; Hugon-Rodin, J.; Philippe, J.; Righini, M.; Blondon, M. Association between polycystic ovary syndrome and venous thromboembolism: A systematic review and meta-analysis. Thromb. Res. 2020, 185, 102–108. [Google Scholar] [CrossRef]
- de Medeiros, S.F. Risks, benefits size and clinical implications of combined oral contraceptive use in women with polycystic ovary syndrome. Reprod. Biol. Endocrinol. 2017, 15, 93. [Google Scholar] [CrossRef]
- Mojaverrostami, S.; Asghari, N.; Khamisabadi, M.; Heidari Khoei, H. The role of melatonin in polycystic ovary syndrome: A review. Int. J. Reprod. Biomed. 2019, 17, 865–882. [Google Scholar] [CrossRef]
- Shele, G.; Genkil, J.; Speelman, D. A Systematic Review of the Effects of Exercise on Hormones in Women with Polycystic Ovary Syndrome. J. Funct. Morphol. Kinesiol. 2020, 5, 35. [Google Scholar] [CrossRef]
- Szczuko, M.; Skowronek, M.; Zapałowska-Chwyć, M.; Starczewski, A. Quantitative assessment of nutrition in patients with polycystic ovary syndrome (PCOS). Rocz. Panstw. Zakl. Hig. 2016, 67, 419–426. [Google Scholar]
- Stein, I.F.; Leventhai, M.L. Amenorrhea associated with bilateral polycystic ovaries. Am. J. Obstet. Gynecol. 1935, 29, 181–191. [Google Scholar] [CrossRef]






| Characteristics | 1990 | 2019 | 1990–2019 | |||
|---|---|---|---|---|---|---|
| Incident Cases No. (95% UI) | ASIR per 100,000 No. (95% UI) | Incident Cases No. (95% UI) | ASIR per 100,000 No. (95% UI) | Change in Incident Cases No. (95% UI) | EAPC No. (95% CI) | |
| Global | 1,377,924.58 (941,751.00–1,816,993.69) | 46.14 (31.62–61.04) | 2,125,511.75 (1,489,953.81–2,803,300.68) | 59.76 (41.71–78.87) | 0.54 (0.48–0.60) | 0.85 (0.83–0.87) |
| SDI | ||||||
| High SDI | 414,696.48 (284,569.22–562,441.49) | 121.26 (82.89–162.42) | 442,030.26 (327,998.38–564,015.05) | 136.33 (100.65–172.26) | 0.07 (−0.03 to 0.18) | −0.02 (−0.17 to 0.13) |
| High-middle SDI | 258,756.32 (176,987.63–343,213.34) | 45.63 (31.17–60.87) | 314,697.14 (216,659.74–418,076.31) | 68.54 (46.48–91.50) | 0.22 (0.18–0.25) | 1.62 (1.55–1.69) |
| Middle SDI | 481,044.41 (325,116.38–641,432.47) | 46.46 (31.42–62.05) | 789,535.23 (541,584.83–1,049,799.63) | 77.15 (52.71–103.17) | 0.64 (0.58–0.71) | 1.78 (1.74–1.81) |
| Low-middle SDI | 165,167.58 (109,661.33–221,466.63) | 23.95 (15.91–31.96) | 392,085.41 (260,976.06–527,327.97) | 39.93 (26.61–53.81) | 1.37 (1.27–1.49) | 1.88 (1.83–1.93) |
| Low SDI | 57,413.46 (36,760.68–78,232.89) | 17.89 (11.66–24.02) | 185,659.79 (120,988.00–253,847.89) | 25.11 (16.57–33.98) | 2.23 (2.09–2.38) | 1.25 (1.21–1.29) |
| Regions | ||||||
| Andean Latin America | 23,567.43 (15,770.69–32,632.59) | 93.87 (62.99–129.67) | 40,400.74 (27,374.80–55,487.54) | 129.25 (87.44–177.77) | 0.71 (0.56–0.88) | 1.11 (1.01–1.20) |
| Australasia | 15,501.11 (11,070.70–20,379.13) | 168.10 (120.91–222.32) | 19,898.67 (13,292.62–26,417.01) | 198.40 (131.79–263.05) | 0.28 (0.04–0.48) | 0.37 (0.25–0.48) |
| Caribbean | 8,236.97 (5597.32–11,198.10) | 39.70 (27.03–54.22) | 11,196.08 (7529.72–15,205.13) | 51.28 (34.37–69.96) | 0.36 (0.28–0.46) | 0.92 (0.84–0.99) |
| Central Asia | 4741.59 (3042.62–6608.99) | 12.16 (7.81–16.91) | 7732.92 (5099.10–10,562.72) | 18.00 (11.82–24.66) | 0.63 (0.52–0.77) | 1.28 (1.19–1.38) |
| Central Europe | 3923.31 (2435.12–5555.08) | 6.92 (4.30–9.84) | 2983.59 (2015.28–4049.68) | 8.62 (5.74–11.67) | −0.24 (−0.30 to −0.13) | 0.73 (0.67–0.79) |
| Central Latin America | 109,739.72 (72,552.04–152,105.39) | 99.47 (66–137.49) | 135,596.97 (91,275.47–182,692.45) | 109.29 (72.81–147.93) | 0.24 (0.19–0.29) | −0.17 (−0.31 to −0.03) |
| Central Sub-Saharan Africa | 5106.08 (3170.29–7143.26) | 14.99 (9.40–20.66) | 19,766.07 (12,813.17–27,264.28) | 22.85 (15.04–31.10) | 2.87 (2.54–3.30) | 1.33 (1.14–1.51) |
| East Asia | 195,837.16 (129,426.78–264,360.64) | 28.64 (18.85–38.87) | 233,009.80 (159,243.18–310,679.21) | 55.19 (37.04–74.38) | 0.19 (0.10–0.29) | 2.24 (2.02–2.46) |
| Eastern Europe | 7384.03 (4805.21–10,158.51) | 7.56 (4.89–10.43) | 7023.63 (4673.06–9512.59) | 10.26 (6.72–14.17) | −0.05 (−0.10 to 0.02) | 1.05 (1.01–1.09) |
| Eastern Sub-Saharan Africa | 21,781.74 (13,828.71–29,978.52) | 17.69 (11.48–24.10) | 63,827.35 (40,787.32–87,456.71) | 22.94 (14.86–31.02) | 1.93 (1.81–2.08) | 0.90 (0.85–0.95) |
| High-income Asia Pacific | 159,558.92 (107,237.28–225,168.40) | 189.92 (127.49–263.94) | 111,260.80 (74,602.31–154,461.62) | 221.72 (150.41–306.85) | −0.30 (−0.34 to −0.25) | 0.40 (0.32–0.48) |
| High-income North America | 128,108.74 (85,651.80–173,345.59) | 112.80 (74.99–153.83) | 165,548.90 (130,928.93–203,599.87) | 121.95 (96.40–149.86) | 0.29 (0.05–0.65) | −0.82 (−1.22 to −0.42) |
| North Africa and Middle East | 127,160.51 (85,003.98–172,459.17) | 57.75 (38.86–77.75) | 236,311.84 (158,280.10–322,447.39) | 77.18 (51.59–105.45) | 0.86 (0.78–0.94) | 1.13 (1.06–1.20) |
| Oceania | 1763.72 (1194.15–2367.45) | 44.01 (29.85–59.17) | 4635.16 (3094.39–6256.97) | 63.28 (42.30–85.38) | 1.63 (1.43–1.86) | 1.01 (0.80–1.21) |
| South Asia | 150,406.79 (100,769.25–201,388.96) | 23.48 (15.86–31.29) | 398,435.84 (267,815.43–532,993.57) | 40.09 (26.96–53.64) | 1.65 (1.50–1.82) | 2.08 (1.93–2.23) |
| Southeast Asia | 154,277.15 (100,925.66–208,964.64) | 52.44 (34.48–70.78) | 334,179.58 (226,904.14–448,458.32) | 103.52 (70.49–138.85) | 1.17 (1.02–1.37) | 2.61 (2.51–2.71) |
| Southern Latin America | 11,231.80 (7383.73–15,410.42) | 42.42 (27.91–58.21) | 20,675.42 (13,550.76–28,258.63) | 71.35 (46.61–97.10) | 0.84 (0.70–1.02) | 1.81 (1.56–2.05) |
| Southern Sub-Saharan Africa | 10,678.43 (6924.51–14,734.78) | 30.33 (19.95–41.68) | 16,360.68 (10,748.95–22,308.72) | 39.13 (25.78–53.48) | 0.53 (0.46–0.61) | 0.86 (0.76–0.96) |
| Tropical Latin America | 21,013.23 (13,910.36–28,452.57) | 22.07 (14.73–29.71) | 23,964.46 (16,224.83–31,992.16) | 24.16 (16.11–32.47) | 0.14 (0.09–0.20) | −0.24 (−0.40 to −0.07) |
| Western Europe | 197,112.29 (133,859.72–265,911.60) | 136.18 (91.91–185.21) | 197,386.45 (134,522.21–266,089.31) | 149.69 (101.44–203.13) | 0.00 (−0.03 to 0.04) | 0.22 (0.16–0.27) |
| Western Sub-Saharan Africa | 20,793.87 (13,199.89–28,636.90) | 17.14 (11.11–23.21) | 75,316.82 (48,295.56–103,644.68) | 24.45 (15.85–33.23) | 2.62 (2.44–2.82) | 0.97 (0.76–1.18) |
| Characteristics | 1990 | 2019 | 1990–2019 | |||
|---|---|---|---|---|---|---|
| DALYs No. (95% UI) | ASDR per 100,000 No. (95% UI) | DALYs No. (95% UI) | ASDR per 100,000 No. (95% UI) | Change in DALYs No. (95% UI) | EAPC No. (95% CI) | |
| Global | 301,987.02 (127,370.28–606,719.05) | 11.30 (4.78–22.67) | 576,822.00 (246,221.54–1,161,158.56) | 14.68 (6.28–29.45) | 0.91 (0.83–0.99) | 0.83 (0.78–0.87) |
| SDI | ||||||
| High SDI | 113,083.18 (48,472.41–231,333.99) | 26.47 (11.39–54.41) | 136,959.54 (60,261.65–276,121.82) | 29.77 (13.12–59.72) | 0.21 (0.12–0.32) | 0.02 (−0.13 to 0.16) |
| High-middle SDI | 62,264.06 (26,156.09–125,762.36) | 10.39 (4.37–20.98) | 107,048.95 (45,571.54–217,650.56) | 15.07 (6.43–30.54) | 0.72 (0.66–0.79) | 1.30 (1.23–1.36) |
| Middle SDI | 88,925.45 (37,318.46–180,282.61) | 9.93 (4.18–20.18) | 215,592.92 (92,249.83–437,657.80) | 17.19 (7.34–34.90) | 1.42 (1.32–1.55) | 1.91 (1.84–1.98) |
| Low-middle SDI | 28,399.10 (12,027.14–57,275.08) | 5.28 (2.23–10.68) | 86,016.85 (36,623.70–174,144.24) | 9.20 (3.93–18.68) | 2.03 (1.88–2.21) | 2.05 (2.00–2.11) |
| Low SDI | 9132.81 (3815.20–18,906.87) | 3.88 (1.63–7.98) | 30,816.60 (12,883.07–62,669.63) | 5.63 (2.37–11.49) | 2.37 (2.21–2.57) | 1.34 (1.30–1.38) |
| Regions | ||||||
| Andean Latin America | 3798.53 (1648.30–7599.75) | 19.71 (8.51–39.31) | 9326.01 (4017.10–18,431.79) | 27.98 (12.05–55.36) | 1.46 (1.24–1.70) | 1.28 (1.20–1.35) |
| Australasia | 3685.32 (1561.73–7311.63) | 34.30 (14.55–68.17) | 5556.43 (2394.67–11,246.98) | 40.44 (17.39–81.30) | 0.51 (0.26–0.71) | 0.38 (0.27–0.49) |
| Caribbean | 1782.14 (748.16–3648.74) | 9.51 (3.99–19.40) | 2983.65 (1272.49–6059.21) | 12.28 (5.23–24.99) | 0.67 (0.57–0.81) | 0.88 (0.82–0.95) |
| Central Asia | 925.42 (379.86–1896.64) | 2.71 (1.12–5.54) | 2002.26 (845.91–4053.97) | 4.07 (1.72–8.27) | 1.16 (0.99–1.38) | 1.35 (1.25–1.44) |
| Central Europe | 939.55 (381.47–1926.14) | 1.53 (0.62–3.15) | 1002.81 (421.19–2029.11) | 1.93 (0.81–3.94) | 0.07 (−0.03 to 0.23) | 0.80 (0.76–0.85) |
| Central Latin America | 18,688.21 (8038.56–38,071.92) | 21.96 (9.44–44.73) | 33,434.11 (14,383.66–67,190.16) | 24.68 (10.62–49.59) | 0.79 (0.71–0.88) | −0.11 (−0.25 to 0.03) |
| Central Sub-Saharan Africa | 803.19 (330.46–1672.42) | 3.24 (1.34–6.70) | 3183.32 (1329.87–6541.91) | 5.05 (2.11–10.38) | 2.96 (2.51–3.49) | 1.42 (1.23–1.61) |
| East Asia | 43,141.88 (18,028.46–88,103.56) | 6.50 (2.72–13.21) | 93,534.90 (39,875.60–188,707.23) | 12.68 (5.37–25.69) | 1.17 (1.02–1.34) | 2.36 (2.14–2.59) |
| Eastern Europe | 1861.09 (774.28–3776.25) | 1.61 (0.67–3.27) | 2258.59 (945.57–4572.90) | 2.22 (0.91–4.53) | 0.21 (0.14–0.31) | 1.11 (1.06–1.15) |
| Eastern Sub-Saharan Africa | 3284.18 (1373.53–6779.45) | 3.82 (1.60–7.77) | 10,343.00 (4304.13–21,355.31) | 5.09 (2.15–10.49) | 2.15 (1.99–2.32) | 0.99 (0.94–1.04) |
| High-income Asia Pacific | 37,775.62 (15,804.95–78,510.25) | 40.88 (17.02–84.93) | 36,294.87 (15,220.49–76,072.53) | 45.20 (18.94–94.23) | −0.04 (−0.09 to 0.03) | 0.27 (0.22–0.32) |
| High-income North America | 37,486.44 (16,122.91–77,628.73) | 24.97 (10.76–51.58) | 45,346.81 (20,503.46–87,337.18) | 27.05 (12.32–52.08) | 0.21 (−0.01 to 0.53) | −0.76 (−1.15 to −0.38) |
| North Africa and Middle East | 22,308.69 (9543.44–45,142.66) | 13.74 (5.90–27.80) | 59,834.76 (24,958.71–121,069.86) | 18.71 (7.81–37.90) | 1.68 (1.55–1.81) | 1.26 (1.18–1.34) |
| Oceania | 320.83 (135.41–643.87) | 10.26 (4.33–20.48) | 988.98 (426.48–2043.17) | 14.65 (6.31–30.14) | 2.08 (1.82–2.38) | 0.99 (0.77–1.20) |
| South Asia | 26,984.38 (11,200.13–54,435.17) | 5.24 (2.19–10.56) | 91701.66 (38,804.63–186,865.21) | 9.56 (4.05–19.46) | 2.40 (2.18–2.66) | 2.35 (2.20–2.50) |
| Southeast Asia | 29,232.35 (12,426.92–58,773.72) | 12.07 (5.12–24.41) | 85,843.31 (36,504.50–176,083.62) | 23.78 (10.10–48.89) | 1.94 (1.72–2.23) | 2.58 (2.48–2.68) |
| Southern Latin America | 2393.94 (1027.63–4951.80) | 9.59 (4.11–19.83) | 5577.71 (2336.60–11,645.77) | 16.13 (6.74–33.64) | 1.33 (1.13–1.57) | 1.81 (1.56–2.06) |
| Southern Sub-Saharan Africa | 1864.27 (774.96–3838.40) | 6.87 (2.86–14.05) | 3854.72 (1625.52–7808.76) | 8.99 (3.80–18.22) | 1.07 (0.97–1.19) | 0.93 (0.85–1.01) |
| Tropical Latin America | 3746.54 (1572.49–7535.46) | 4.67 (1.97–9.42) | 6368.82 (2702.19–12,892.41) | 5.24 (2.23–10.65) | 0.70 (0.62–0.80) | −0.07 (−0.21 to 0.07) |
| Western Europe | 57,785.23 (24,718.93–114,977.07) | 30.13 (12.91–59.93) | 64,999.07 (27,584.75–130,922.40) | 34.30 (14.53–69.27) | 0.12 (0.08–0.17) | 0.31 (0.22–0.40) |
| Western Sub-Saharan Africa | 3179.25 (1308.93–6545.50) | 3.67 (1.53–7.60) | 12,386.19 (5168.62–25,696.21) | 5.51 (2.32–11.33) | 2.90 (2.68–3.14) | 1.10 (0.88–1.33) |
Disclaimer/Publisher’s Note: The statements, opinions and data contained in all publications are solely those of the individual author(s) and contributor(s) and not of MDPI and/or the editor(s). MDPI and/or the editor(s) disclaim responsibility for any injury to people or property resulting from any ideas, methods, instructions or products referred to in the content. |
© 2023 by the authors. Licensee MDPI, Basel, Switzerland. This article is an open access article distributed under the terms and conditions of the Creative Commons Attribution (CC BY) license (https://creativecommons.org/licenses/by/4.0/).
Share and Cite
Gao, Y.; Liu, H.; Qiao, L.; Liang, J.; Yao, H.; Lin, X.; Gao, Y. Study of Burden in Polycystic Ovary Syndrome at Global, Regional, and National Levels from 1990 to 2019. Healthcare 2023, 11, 562. https://doi.org/10.3390/healthcare11040562
Gao Y, Liu H, Qiao L, Liang J, Yao H, Lin X, Gao Y. Study of Burden in Polycystic Ovary Syndrome at Global, Regional, and National Levels from 1990 to 2019. Healthcare. 2023; 11(4):562. https://doi.org/10.3390/healthcare11040562
Chicago/Turabian StyleGao, Yong, Haobiao Liu, Lichun Qiao, Jiawei Liang, Haoyan Yao, Xue Lin, and Yane Gao. 2023. "Study of Burden in Polycystic Ovary Syndrome at Global, Regional, and National Levels from 1990 to 2019" Healthcare 11, no. 4: 562. https://doi.org/10.3390/healthcare11040562
APA StyleGao, Y., Liu, H., Qiao, L., Liang, J., Yao, H., Lin, X., & Gao, Y. (2023). Study of Burden in Polycystic Ovary Syndrome at Global, Regional, and National Levels from 1990 to 2019. Healthcare, 11(4), 562. https://doi.org/10.3390/healthcare11040562

