Diffusion–Advection Equations on a Comb: Resetting and Random Search
Abstract
1. Introduction
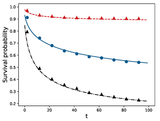
2. One-Dimensional Brownian Motion with Drift
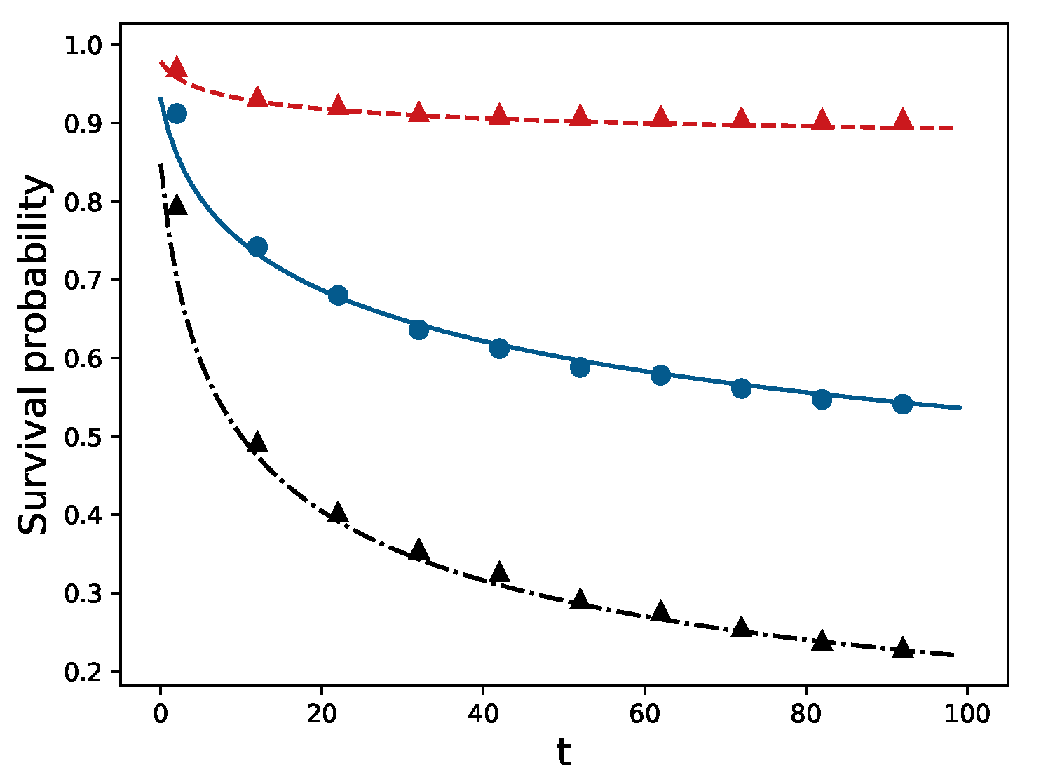
2.1. One-Dimensional Diffusion–Advection Equation with Stochastic Resetting
Langevin Equation
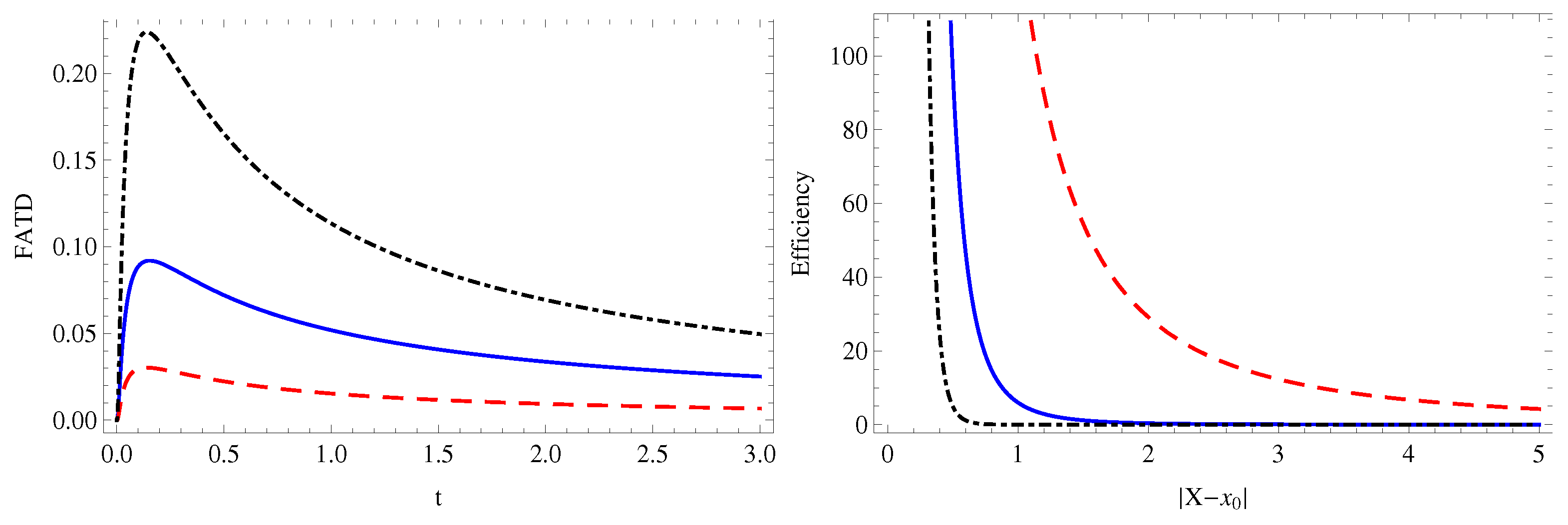
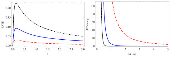
2.2. One-Dimensional Brownian Search with Drift
- (i)
- :
- (ii)
- (iii)
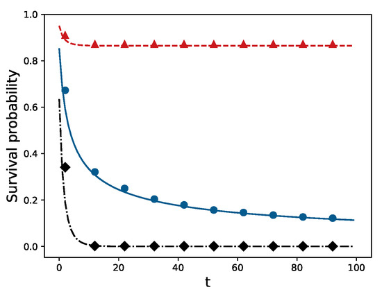
3. Brownian Motion with Drift on a Comb: Stochastic Resetting and Random Search Problem
3.1. Diffusion–Advection Equation on a Comb with Stochastic Resetting
Langevin Equation
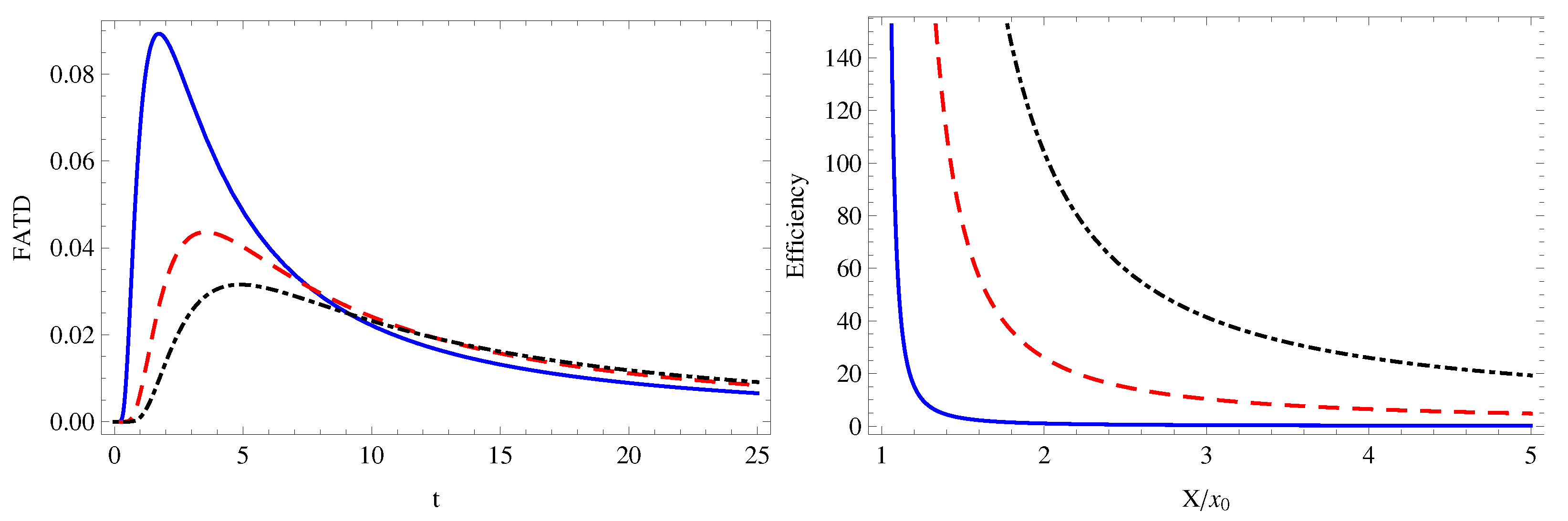
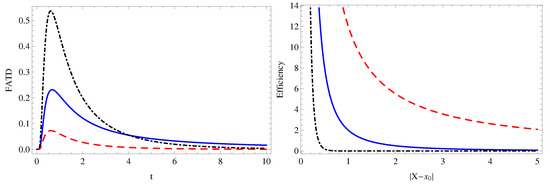
3.2. Brownian Search with Drift on a Comb
- (i)
- :
- (ii)
- (iii)
4. Inhomogeneous Advection on a Comb
4.1. Inhomogeneous Advection with Stochastic Resetting
4.2. Langevin Equation
4.3. Inhomogeneous Advection Search on a Comb
5. Summary
Author Contributions
Funding
Conflicts of Interest
Abbreviations
| probability density function | |
| MSD | mean squared displacement |
| FATD | first arrival time distribution |
References
- Metzler, R.; Klafter, J. The random walk’s guide to anomalous diffusion: A fractional dynamics approach. Phys. Rep. 2000, 339, 1–77. [Google Scholar] [CrossRef]
- Arkhincheev, V.; Baskin, E. Anomalous diffusion and drift in a comb model of percolation clusters. Soviet Phys. JETP 1991, 73, 161–300. [Google Scholar]
- Iomin, A.; Mendéz, V.; Horsthemke, W. Fractional Dynamics in Comb-Like Structures; World Scientific: Singapore, 2018. [Google Scholar]
- Méndez, V.; Iomin, A.; Horsthemke, W.; Campos, D. Langevin dynamics for ramified structures. J. Stat. Mech. 2017, 2017, 063205. [Google Scholar] [CrossRef]
- Liu, L.; Zheng, L.; Liu, F. Time fractional Cattaneo-Christov anomalous diffusion in comb frame with finite length of fingers. J. Mol. Liquids 2017, 233, 326–333. [Google Scholar] [CrossRef]
- Liu, L.; Zheng, L.; Liu, F.; Zhang, X. Anomalous diffusion in finite length fingers comb frame with the effects of time and space Riesz fractional Cattaneo-Christov flux and Poiseuille flow. J. Comput. Math. 2018, 36, 563–578. [Google Scholar] [CrossRef]
- Iomin, A.; Méndez, V. Does ultra-slow diffusion survive in a three dimensional cylindrical comb? Chaos Solitons Fractals 2016, 82, 142–147. [Google Scholar] [CrossRef]
- Dzhanoev, A.; Sokolov, I. The effect of the junction model on the anomalous diffusion in the 3D comb structure. Chaos Solitons Fractals 2018, 106, 330–336. [Google Scholar] [CrossRef]
- Liu, C.; Fan, Y.; Lin, P. Numerical investigation of a fractional diffusion model on circular comb-inward structure. Appl. Math. Lett. 2020, 100, 106053. [Google Scholar] [CrossRef]
- Fan, Y.; Liu, L.; Zheng, L.; Li, X. Subdiffusions on circular branching structures. Commun. Nonlin. Sci. Numer. Simul. 2019, 77, 225–238. [Google Scholar] [CrossRef]
- Iomin, A. Anomalous diffusion in umbrella comb. Chaos Solitons Fractals 2021, 142, 110488. [Google Scholar] [CrossRef]
- Suleiman, K.; Zheng, L.; Liu, C.; Zhang, X.; Wang, E. The Effect of Geometry on the Diffusion: Branched Archimedean spiral. Int. Commun. Heat Mass Transf. 2020, 117, 104733. [Google Scholar] [CrossRef]
- Yuste, S.B.; Abad, E.; Baumgaertner, A. Anomalous diffusion and dynamics of fluorescence recovery after photobleaching in the random-comb model. Phys. Rev. E 2016, 94, 012118. [Google Scholar] [CrossRef] [PubMed]
- Rebenshtok, A.; Barkai, E. Occupation times on a comb with ramified teeth. Phys. Rev. E 2013, 88, 052126. [Google Scholar] [CrossRef] [PubMed]
- Peng, J.; Agliari, E. First encounters on combs. Phys. Rev. E 2019, 100, 062310. [Google Scholar] [CrossRef] [PubMed]
- Sandev, T.; Iomin, A.; Kantz, H. Anomalous diffusion on a fractal mesh. Phys. Rev. E 2017, 95, 052107. [Google Scholar] [CrossRef]
- Zhokh, A.; Trypolskyi, A.; Strizhak, P. Relationship between the anomalous diffusion and the fractal dimension of the environment. Chem. Phys. 2018, 503, 71–76. [Google Scholar] [CrossRef]
- Matan, O.; Havlin, S.; Stauffer, D. Scaling properties of diffusion on comb-like structures. J. Phys. A Math. Gen. 1989, 22, 2867. [Google Scholar] [CrossRef]
- Sibatov, R.T.; Uchaikin, V.V. Fractional kinetics of charge carriers in supercapacitors. Appl. Eng. Life Soc. Sci. 2019, 87, 87–116. [Google Scholar]
- Méndez, V.; Iomin, A. Comb-like models for transport along spiny dendrites. Chaos Solitons Fractals 2013, 53, 46–51. [Google Scholar] [CrossRef]
- Iomin, A.; Méndez, V. Reaction-subdiffusion front propagation in a comblike model of spiny dendrites. Phys. Rev. E 2013, 88, 012706. [Google Scholar] [CrossRef]
- Wang, Z.; Zheng, L.; Sun, Y. The double fractional Cattaneo model on anomalous transport of compounds in spiny dendrites structure. J. Stat. Mech. 2020, 2020, 093203. [Google Scholar] [CrossRef]
- Uchaikin, V.V.; Sibatov, R. Fractional Kinetics in Solids: Anomalous Charge Transport in Semiconductors, Dielectrics, and Nanosystems; World Scientific: Singapore, 2013. [Google Scholar]
- Sibatov, R.; Morozova, E. Multiple trapping on a comb structure as a model of electron transport in disordered nanostructured semiconductors. J. Exper. Theor. Phys. 2015, 120, 860–870. [Google Scholar] [CrossRef]
- Sibatov, R.; Morozova, E. On Theory of Dispersive Transport in a Two-Layer Polymer Structure. Russian Phys. J. 2016, 59, 722–728. [Google Scholar] [CrossRef]
- Sibatov, R.; Shulezhko, V.; Svetukhin, V. Fractional Derivative Phenomenology of Percolative Phonon-Assisted Hopping in Two-Dimensional Disordered Systems. Entropy 2017, 19, 463. [Google Scholar] [CrossRef]
- Sibatov, R.T. Fractal Generalization of the Scher–Montroll Model for Anomalous Transit-Time Dispersion in Disordered Solids. Mathematics 2020, 8, 1991. [Google Scholar] [CrossRef]
- Baskin, E.; Iomin, A. Superdiffusion on a comb structure. Phys. Rev. Lett. 2004, 93, 120603. [Google Scholar] [CrossRef]
- Sandev, T.; Iomin, A.; Kocarev, L. Hitting times in turbulent diffusion due to multiplicative noise. Phys. Rev. E 2020, 102, 042109. [Google Scholar] [CrossRef]
- Evans, M.R.; Majumdar, S.N. Diffusion with stochastic resetting. Phys. Rev. Lett. 2011, 106, 160601. [Google Scholar] [CrossRef]
- Evans, M.R.; Majumdar, S.N.; Schehr, G. Stochastic resetting and applications. J. Phys. A: Math. Theor. 2020, 53, 193001. [Google Scholar] [CrossRef]
- Tateishi, A.; Ribeiro, H.; Sandev, T.; Petreska, I.; Lenzi, E. Quenched and annealed disorder mechanisms in comb models with fractional operators. Phys. Rev. E 2020, 101, 022135. [Google Scholar] [CrossRef]
- Domazetoski, V.; Masó-Puigdellosas, A.; Sandev, T.; Méndez, V.; Iomin, A.; Kocarev, L. Stochastic resetting on comblike structures. Phys. Rev. Res. 2020, 2, 033027. [Google Scholar] [CrossRef]
- Antonio Faustino dos Santos, M. Comb Model with Non-Static Stochastic Resetting and Anomalous Diffusion. Fractal Fract. 2020, 4, 28. [Google Scholar] [CrossRef]
- Bartumeus, F.; Catalan, J. Optimal search behavior and classic foraging theory. J. Phys. A Math. Theor. 2009, 42, 434002. [Google Scholar] [CrossRef]
- Visco, P.; Allen, R.J.; Majumdar, S.N.; Evans, M.R. Switching and growth for microbial populations in catastrophic responsive environments. Biophys. J. 2010, 98, 1099–1108. [Google Scholar] [CrossRef] [PubMed]
- Reuveni, S.; Urbakh, M.; Klafter, J. Role of substrate unbinding in Michaelis–Menten enzymatic reactions. Proc. Natl. Acad. Sci. USA 2014, 111, 4391–4396. [Google Scholar] [CrossRef] [PubMed]
- Bell, W. The Behavioural Ecology of Finding Resources; Springer: Dordrecht, The Netherlands, 1990. [Google Scholar]
- Redner, S. A Guide to First-Passage Processes; Cambridge University Press: Cambridge, UK, 2001. [Google Scholar]
- Ray, S.; Mondal, D.; Reuveni, S. Péclet number governs transition to acceleratory restart in drift-diffusion. J. Phys. A Math. Theor. 2019, 52, 255002. [Google Scholar] [CrossRef]
- Ray, S.; Reuveni, S. Diffusion with resetting in a logarithmic potential. J. Chem. Phys. 2020, 152, 234110. [Google Scholar] [CrossRef]
- Masó-Puigdellosas, A.; Campos, D.; Méndez, V. Transport properties and first-arrival statistics of random motion with stochastic reset times. Phys. Rev. E 2019, 99, 012141. [Google Scholar] [CrossRef]
- Ahmad, S.; Nayak, I.; Bansal, A.; Nandi, A.; Das, D. First passage of a particle in a potential under stochastic resetting: A vanishing transition of optimal resetting rate. Phys. Rev. E 2019, 99, 022130. [Google Scholar] [CrossRef]
- Pal, A. Diffusion in a potential landscape with stochastic resetting. Phys. Rev. E 2015, 91, 012113. [Google Scholar] [CrossRef]
- Singh, R.; Metzler, R.; Sandev, T. Resetting dynamics in a confining potential. J. Phys. A: Math. Theor. 2020, 53, 505003. [Google Scholar] [CrossRef]
- Stephens, D.W.; Krebs, J.R. Foraging Theory; Princeton University Press: Princeton, NJ, USA, 1986; Volume 1. [Google Scholar]
- Shlesinger, M.F.; Klafter, J. Lévy walks versus Lévy flights. In On Growth and Form; Springer: Dordrecht, The Netherlands, 1986; pp. 279–283. [Google Scholar]
- Dybiec, B.; Gudowska-Nowak, E.; Chechkin, A. To hit or to pass it over—Remarkable transient behavior of first arrivals and passages for Lévy flights in finite domains. J. Phys. A Math. Theor. 2016, 49, 504001. [Google Scholar] [CrossRef]
- Lomholt, M.A.; Tal, K.; Metzler, R.; Joseph, K. Lévy strategies in intermittent search processes are advantageous. Proc. Natl. Acad. Sci. USA 2008, 105, 11055–11059. [Google Scholar] [CrossRef]
- Lomholt, M.A.; Ambjörnsson, T.; Metzler, R. Optimal target search on a fast-folding polymer chain with volume exchange. Phys. Rev. Lett. 2005, 95, 260603. [Google Scholar] [CrossRef] [PubMed]
- Bartumeus, F.; Levin, S.A. Fractal reorientation clocks: Linking animal behavior to statistical patterns of search. Proc. Natl. Acad. Sci. USA 2008, 105, 19072–19077. [Google Scholar] [CrossRef]
- Reynolds, A. Optimal random Lévy-loop searching: New insights into the searching behaviours of central-place foragers. EPL (Europhys. Lett.) 2008, 82, 20001. [Google Scholar] [CrossRef]
- Chechkin, A.V.; Metzler, R.; Gonchar, V.Y.; Klafter, J.; Tanatarov, L.V. First passage and arrival time densities for Lévy flights and the failure of the method of images. J. Phys. A Math. Gen. 2003, 36, L537. [Google Scholar] [CrossRef]
- Palyulin, V.V.; Chechkin, A.V.; Metzler, R. Lévy flights do not always optimize random blind search for sparse targets. Proc. Natl. Acad. Sci. USA 2014, 111, 2931–2936. [Google Scholar] [CrossRef]
- Palyulin, V.V.; Chechkin, A.V.; Metzler, R. Space-fractional Fokker–Planck equation and optimization of random search processes in the presence of an external bias. J. Stat. Mech. 2014, 2014, P11031. [Google Scholar] [CrossRef]
- Palyulin, V.V.; Chechkin, A.V.; Klages, R.; Metzler, R. Search reliability and search efficiency of combined Lévy–Brownian motion: Long relocations mingled with thorough local exploration. J. Phys. A Math. Theor. 2016, 49, 394002. [Google Scholar] [CrossRef]
- Palyulin, V.V.; Mantsevich, V.N.; Klages, R.; Metzler, R.; Chechkin, A.V. Comparison of pure and combined search strategies for single and multiple targets. Eur. Phys. J. B 2017, 90, 170. [Google Scholar] [CrossRef]
- Sandev, T.; Iomin, A.; Kocarev, L. Random search on comb. J. Phys. A Math. Theor. 2019, 52, 465001. [Google Scholar] [CrossRef]
- Magdziarz, M. Black-Scholes formula in subdiffusive regime. J. Stat. Phys. 2009, 136, 553–564. [Google Scholar] [CrossRef]
- Stojkoski, V.; Sandev, T.; Basnarkov, L.; Kocarev, L.; Metzler, R. Generalised geometric Brownian motion: Theory and applications to option pricing. Entropy 2020, 22, 1432. [Google Scholar] [CrossRef] [PubMed]
- Barkai, E. Fractional Fokker-Planck equation, solution, and application. Phys. Rev. E 2001, 63, 046118. [Google Scholar] [CrossRef] [PubMed]
- Meerschaert, M.M.; Benson, D.A.; Scheffler, H.P.; Baeumer, B. Stochastic solution of space-time fractional diffusion equations. Phys. Rev. E 2002, 65, 041103. [Google Scholar] [CrossRef] [PubMed]
- Bazhlekova, E.; Bazhlekov, I. Subordination approach to space-time fractional diffusion. Mathematics 2019, 7, 415. [Google Scholar] [CrossRef]
- Mallet, A. Numerical Inversion of Laplace Transform, 2000. Wolfram Library Archive, 2015. Available online: http://library.wolfram.com/infocenter/MathSource/2691 (accessed on 24 December 2020).
- Arkhincheev, V. Anomalous diffusion and charge relaxation on comb model: Exact solutions. Phys. A 2000, 280, 304–314. [Google Scholar] [CrossRef]
- Lenzi, E.; da Silva, L.; Tateishi, A.; Lenzi, M.; Ribeiro, H. Diffusive process on a backbone structure with drift terms. Phys. Rev. E 2013, 87, 012121. [Google Scholar] [CrossRef]
- Sandev, T. Generalized Langevin equation and the Prabhakar derivative. Mathematics 2017, 5, 66. [Google Scholar] [CrossRef]
- Mainardi, F. Fractional Calculus and Waves in Linear Viscoelasticity: An Introduction to Mathematical Models; World Scientific: Singapore, 2010. [Google Scholar]
- Ribeiro, H.V.; Tateishi, A.A.; Alves, L.G.; Zola, R.S.; Lenzi, E.K. Investigating the interplay between mechanisms of anomalous diffusion via fractional Brownian walks on a comb-like structure. New J. Phys. 2014, 16, 093050. [Google Scholar] [CrossRef]
- Golmankhaneh, A.K.; Fernandez, A. Fractal calculus of functions on cantor tartan spaces. Fractal Fract. 2018, 2, 30. [Google Scholar] [CrossRef]
- Balankin, A.S.; Golmankhaneh, A.K.; Patiño-Ortiz, J.; Patiño-Ortiz, M. Noteworthy fractal features and transport properties of Cantor tartans. Phys. Lett. A 2018, 382, 1534–1539. [Google Scholar] [CrossRef]
- Sandev, T.; Iomin, A.; Kantz, H. Fractional diffusion on a fractal grid comb. Phys. Rev. E 2015, 91, 032108. [Google Scholar] [CrossRef] [PubMed]
- Fang, H.; Qiu, Z.; O’Leary, R.; Gachagan, A.; Mulholland, A. Linear Ultrasonic Array Development incorporating Cantor Set Fractal Geometry. In Proceedings of the 2018 IEEE International Ultrasonics Symposium (IUS), Kobe, Japan, 22–25 October 2018; pp. 1–4. [Google Scholar]
- Cohen, R.; Eldar, Y.C. Sparse Array Design via Fractal Geometries. arXiv 2020, arXiv:2001.01217. [Google Scholar] [CrossRef]














Publisher’s Note: MDPI stays neutral with regard to jurisdictional claims in published maps and institutional affiliations. |
© 2021 by the authors. Licensee MDPI, Basel, Switzerland. This article is an open access article distributed under the terms and conditions of the Creative Commons Attribution (CC BY) license (http://creativecommons.org/licenses/by/4.0/).
Share and Cite
Sandev, T.; Domazetoski, V.; Iomin, A.; Kocarev, L. Diffusion–Advection Equations on a Comb: Resetting and Random Search. Mathematics 2021, 9, 221. https://doi.org/10.3390/math9030221
Sandev T, Domazetoski V, Iomin A, Kocarev L. Diffusion–Advection Equations on a Comb: Resetting and Random Search. Mathematics. 2021; 9(3):221. https://doi.org/10.3390/math9030221
Chicago/Turabian StyleSandev, Trifce, Viktor Domazetoski, Alexander Iomin, and Ljupco Kocarev. 2021. "Diffusion–Advection Equations on a Comb: Resetting and Random Search" Mathematics 9, no. 3: 221. https://doi.org/10.3390/math9030221
APA StyleSandev, T., Domazetoski, V., Iomin, A., & Kocarev, L. (2021). Diffusion–Advection Equations on a Comb: Resetting and Random Search. Mathematics, 9(3), 221. https://doi.org/10.3390/math9030221

