1. Introduction
In recent years, great progress has been made in identifying peer effects. Several studies show that the influence of classmates, study or neighborhood peers is an important factor in individual results such as test scores, career choice, drug use, smoking probability, and teenage pregnancy [
1,
2,
3,
4]. These effects are often externalities in which the background, current behavior or peers’ results impact a person’s result who is part of the group. For example, this happens when classmates are more skilled and, therefore, the professor can teach better or at a more demanding pace. When a student is disruptive and consumes more of the professors’ attention, this affects the rest of his/her classmates, and when peers have more skills other students learn from them [
5]. In general, there are many channels through which this influence operates, and various results are recorded in the literature that include both positive and negative peer effects, as well as large, medium, small, and null effects [
6].
Peer effects are especially important in determining the impact of certain educational policies in which, directly or indirectly, class group composition is modified. In Colombia, as in other developing countries, private school education generally performs better than public education. In addition, the high cost of quality private universities and the scarce resources available to public universities, limits the alternatives for most students to enroll in low-quality private institutions or be left out of the system. This results in severe social segregation in both schools and universities. For this reason, policies that promote the access of low-income students to quality institutions through demand subsidies or education fellowships are often discussed [
7,
8,
9]. These policies are aimed at increasing access to quality education, but also reducing segregation between social classes. Therefore, an appropriate evaluation of direct and indirect results should consider the effect of the greater interaction between students from different socioeconomic backgrounds.
In line with this, Being Smart Pays Off (Ser Pilo Paga—SPP for its acronym in Spanish) was a program implemented by the National Colombian Government from 2015 to 2018, which granted financial aid to facilitate the entry of 40,000 low-income students with good academic performance to quality higher education institutions [
10]. (The granted SPP benefit corresponded to a condonable credit that covered tuition costs in a high-quality accredited higher education institution in the country, and semester aid between one and four minimum wages. High school students who could apply to this program had to meet certain conditions, including belonging to an economically disadvantaged household and being registered in the System for Beneficiaries Selection for Social Programs (Sisbén). The program worked as a condonable credit that covered the entire tuition cost at any accredited university, public or private, of high quality, and provided support to students who chose an institution outside their residence municipality. This program enabled an unprecedented number of high-performing students from the lowest socioeconomic levels to enter some high-tuition private universities. Álvarez [
11] argues that in a society as unequal as the Colombian society, where people from different social classes do not meet and empathy for the other is low, SPP allows an interaction in which prejudices are reduced and pro social attitudes are forged. Londoño [
12] used data from a private Colombian university in which 2015 students were exogenously exposed to a higher proportion of classmates from low socioeconomic levels as a result of SPP and analyzed whether this socioeconomic diversity affected individual preferences towards income redistribution. The author found that greater diversity had a considerable impact on with whom high-income students interacted and, consequently, how unevenly they perceived income to be distributed across the country and how supportive they turned towards redistribution. Londoño also explored the effect of socioeconomic diversity on academic achievement and did not find a significant effect.
Hoxby and Weingarth [
13] argue that the evidence for greater diversity benefits, by race and income, within classrooms is often anecdotal. In fact, they argue that desegregation policies in the United States, until then, had been based on theories rather than evidence about peer effects. In the Colombian case, there are few studies on the existence of peer effects, and even fewer on their structure and the mechanisms through which they take place. This research aims to fill this gap through a case study of a Colombian university that offers a favorable environment to identify and disaggregate the influence of peer characteristics, in particular their academic performance and socioeconomic origin, on the individual academic performance of first semester students. Since 2002, this university has progressively increased its scholarship program for students of low socioeconomic status and, additionally, with the SPP program, it had a historic increase in the volume of low-income students. These results can increase efficiency in decision-making within universities, but also provide evidence of the impact in terms of academic performance of educational policies that reduce social segregation in universities.
Since Coleman’s study [
14], in which the importance of the student’s background in their school performance is emphasized, the identification and disaggregation of peer effects has taken on great relevance in understanding educational production function. Sacerdote [
6] displays the results of an extensive review of the literature on peer effects on the outcome variables, both academic (scores, student dropout or career choice) and social (probability of drinking, smoking or consuming drugs), in primary, secondary, and higher education. As mentioned before, the results, under different contexts and methodological approaches, are very diverse.
Regarding higher education, peers are generally defined as residence partners or roommates, and the effect of their characteristics on students’ academic achievement has been analyzed. Some authors find significant peer effects [
15,
16,
17], while others such as Foster [
18] and Lyle [
19] argue that roommates’ habits and characteristics do not have an impact on the student’s overall Grade Point Average (GPA). According to Foster, this result is valid even for peers who are socially closer, while Lyle, argues that peer influence is considered significant on career choice and the decision to remain in the army. In another aspect of this literature, the relevance of peers on social behavior was explored in which there was, with greater consensus, a significant effect on the frequency of alcohol or cigarette consumption, drug use and certain sexual behaviors [
20,
21,
22].
These peer effects are often externalities that are not considered in schools, universities, and other settings in which people interact. Therefore, there is the possibility of increasing social welfare through interventions that incorporate such effects. However, in practice, there are some empirical difficulties in identifying peer effects properly. In the basic model, linear in means, the individual result variable is a function of the average result of their partners. This model has been widely used, at least as a starting point, by different authors [
1,
23,
24,
25]. However, given that the estimation by ordinary least squares is biased by the presence of reflection, correlation, and self-selection problems (which are discussed in the methodological section), the authors used different empirical strategies [
26]. Some studies have solved these problems by making use of randomized controlled experiments in group assignments [
15,
17,
27,
28], instrumental variables techniques [
4,
13,
26,
29,
30], and other quasi-experimental methods [
1,
31].
Despite its usefulness, the linear model in means may not be the most appropriate or the most interesting because the assumption of linearity implies homogeneity in the peer effects, i.e., each student has the same effect on his/her classmates. If so, any policy based on these results would have a distributive effect, but not on efficiency. If we assume that a high-performing student in course A is exchanged for a low-performing student in B, with courses A and B being equal in size, the gains from reassignment for students in A are eliminated by losses from students in B. So, although the linear model can be useful to solve some distributional dilemmas, such as the disparity of educational opportunities, a less restrictive estimate allows us to identify the structure of these peer effects and increase the efficiency of certain educational models [
13]; for example, programs that assign young people to schools outside their locality, or policies such as SPP, which promote desegregation by income level.
In this way, recent literature has focused on disaggregating peer effects, allowing different reference groups to act with greater or lesser incidence on the different types of students. Lavy, Silva and Weinhardt [
25] found a significant negative effect of the lowest performing peers on individual results in the national Key Stage 3 test conducted in ninth grade in England. Burke and Sass [
23] analyzed the determinants of reading and math test scores in Florida public school students and argue that high-achieving students benefit more from having peers with outstanding academic performance. Likewise, Hoxby and Weingarth [
13] explored the results of a student reassignment policy in schools in a North Carolina County (Wake County) and indicate that once it was organized by academic achievement, characteristics such as race, income, parental education, and ethnicity had little or no effect on the state end-of-course test score. Stinebrickner and Stinebrickner [
17] used data from 1295 students at Berea College in Kentucky, United States, to examine the effect of roommate characteristics on student achievement. The authors found that the peer effects acted only for women and not for men, and when examining the role of income, they found that low-income students who were assigned to high-income roommates performed academically significantly better than low-income students who were assigned to other low-income students.
In this sense, the nonlinear models in peer’s average achievement allow identification of the structure of these relationships. The “
bad apple” and “
Shining light” models are the most popular. In the first, the most relevant peer effects come from the student with the worst academic performance or being the least disciplined. If the result of low-achieving students having a disproportionate negative effect is found (greater than in the linear model on means), then it is evidence of this type of behavior. The brilliant student model is the opposite in that an outstanding student can significantly increase his/her classmates’ achievement so that they increase their performance, and the number of such students, would have a disproportionate positive effect on the achievement of other students [
13]).
There are other models that represent possible structures in which the peer effects work. In the
Invidious Comparison model, the results are negatively affected by the presence of better performing students. The
boutique model suggests that students improve their performance when they have peers with similar characteristics. Similarly, the
focus model maintains that homogeneity among peers is good regardless of the characteristics of the i-th student. Finally, and contrary to the latter, in the
rainbow model all students are better when they are forced to deal with all other types of students. That is, heterogeneity has a positive effect [
6].
Based on this, the purpose of the following sections is to estimate and analyze the effect of academic performance and socioeconomic origin of peers on the academic achievement of students. For this analysis we used a database in which students were randomly assigned to their courses and then we identified the structure of these effects (if they existed) without the assumption of linearity.
2. Data
The data for this analysis were obtained from two sources. The administrative records of Universidad del Norte, a private, high quality accredited university, considered one of the top ten universities in Colombia, located in Barranquilla, were used. These records have detailed information on the grades in each course, the study program, the faculty, and socioeconomic information of the freshmen students at the Universidad del Norte who enrolled between 2008 and 2019, and who took Calculus I and/or Communication Skills I. The second source of information came from the records of the Colombian Institute for Education Evaluation (Icfes) [
32], in charge of applying the
Saber 11 test to students close to finishing their secondary education as a requirement for college admission. This base provides information on scores by test components and broader information on the socioeconomic origin of the students, such as education and parents’ occupation, family income, housing stratum, assets possession, among others.
The cross database provides information on the student’s performance in Calculus I and Communication Skills I in their freshmen semester, as well as in the components of mathematics and critical reading in the admission exam to higher education—Saber 11. Additionally, the course to which each student was randomly enrolled is known, and therefore, it is possible to identify their classmates. The university’s registration office assigns freshmen students to its classes without any criteria related to their characteristics of origin or performance, only considering the places available in each course and the mandatory subjects for the student according to their study plans. This feature is useful in overcoming the auto selection problem, as explained in the next section.
As can be seen in
Table 1, there were 9771 freshmen students enrolled in Calculus I (Those courses for which there is no complete information on the socioeconomic characteristics of the total enrolled students were eliminated from the sample if the missing data included more than 40% of the students). Thirty-eight percent of the students were women, the average age being 17.7 years, 72% finished their school education in the Department of Atlántico (state where Universidad del Norte is located), 41% had some type of scholarship, and 72% studied an engineering school program. It is important to highlight that the Saber 11 test scores are standardized in deviation numbers with respect to the national average in each period, so that they are comparable over time despite methodological changes. In this sense, on average, the score in mathematics on the Saber 11 test was 1.72 standard deviations above the national average. Similarly, there were 21,397 students enrolled in Communication Skills, 52% of them were women, only 28% had some type of scholarship, the distribution was less concentrated among academic divisions, and the average standardized score in critical reading was 1.15.
Regarding the students’ socioeconomic origin, between 54 and 56% came from households with a low socioeconomic level, in stratum 1, 2 or 3. The stratum is a measure of the socioeconomic level in Colombia. They are classified into six strata (where 1 is the poorest) according to the physical and environmental characteristics of the house. Although the correlation with income is imperfect, its simplicity is an advantage since most Colombians are aware of their stratum [
12]. Although the information on family income was more limited, around 40% of the students belonged to a family with an income of less than three current legal minimum wages, and 52% of the parents registered as maximum educational level achieved being professional or having a postgraduate degree (
Table 2). It should be noted that this information was taken from the Saber 11 form, which corresponds to the student’s situation at the time of taking the test. Around 90% of students enter university in the year following the Saber 11 test, so it is unlikely that their socioeconomic conditions have changed substantially.
If the evolution over time of the total number of students by socioeconomic level is examined, it is observed that from 2008 to 2014 the number of students enrolled in Calculus I is increasing and is distributed equally by stratum group. However, as of 2015, the number of students taking Calculus I doubled and they came from stratum 1, 2 and 3. Later, in 2019, the number of enrolled students fell (
Figure 1). At the same time, in the case of Communication Skills, the total number of students of high socioeconomic level remained stable and began to decrease as of 2016. In contrast, the total of students of low stratum showed an increasing trend, with an increase in 2015 that doubled the students coming from these strata, and then began to fall from the following year (
Figure 1).
The observed growth in 2015 was due to the Ser Pilo Paga program. Between 2014 and 2015, Universidad del Norte registered an undergraduate enrollment growth of 11.7%, while the figure in the last two years had been around 4% [
33] (Universidad del Norte, 2020). This exponential growth was due to 1040 students of the SPP program who were admitted and enrolled at the University in 2015. This dynamic was maintained during the four years of the program, and for 2018 Universidad del Norte ended with 3918 undergraduates enrolled SPP beneficiary students. These students represented 29% of the student population in that year and positioned the University with the highest number of SPP students in the country (Universidad del Norte, 2020).
The evolution of these indicators shows the growing participation of the lower stratum in the student population of Universidad del Norte, even before the SPP program. This allows exploiting the variations in course composition by socioeconomic level and identifying if this has an impact on their academic performance. These variations are considered exogenous to students for two reasons. First, there is no evidence that students changed their preferences for Universidad del Norte due to its growing low-income student population. Second, they are randomly assigned to their courses so they cannot choose their peers. However, since individual performance may be related to socioeconomic level, it is important to separate these effects.
Each student was related to the average final grade of his/her classmates (hereafter his/her peers) and the percentage of classmates who came from lower stratum.
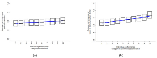
Figure 2 shows the distribution (between the upper and lower quartiles) of the peers’ average grade (
y-axis) for each type of student according to their academic performance (
x-axis), where 1 represents the lowest academic performance and 10 the highest performance. Both in Calculus I and in Communication Skills I, a positive relationship was observed between the category of the student’s academic performance and the average grade of his/her classmates. This suggests that students with higher academic achievement also have higher performing peers. However, this is only a correlation so far, with no evidence of causality.
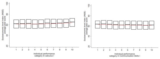
Equivalently, the relationship between the student’s academic performance and the percentage distribution of classmates who came from stratum 1, 2, or 3 was examined.
Figure 3 shows that between 40% and 80% of the peers came from lower stratum (
y-axis), with a median around 60%. However, this does not vary systematically as student performance varies (
x-axis). In addition, if the stratum variable is replaced by the socioeconomic level index estimated by Icfes, there is no clear trend either (
Figure A1). This is formalized in the next section.
3. Methodology
In the linear model on means, frequently cited in the literature on peer effects, the individual student result is a function of the individual student characteristics, average group characteristics, and peers’ average result [
1,
26]. Formally:
In this analysis, is student i final grade in group or classroom j, is a vector of individual characteristics of i. The peers of i are all the other students who belong to group j, their classmates. So, is the average of the final grade of all students in j except i. is a vector of the average characteristics of the group excluding i.
In this specification, a significant coefficient or is interpreted as evidence of the existence of peer effects on academic performance. However, in the literature, at least three problems are recognized for which estimating this model by ordinary least squares (OLS) is questionable.
The first problem arises because, generally, belonging to group j is not the result of a random process but is determined by observed and unobserved characteristics that, in turn, are related to the individual’s academic performance. Therefore, if it is not possible to control these factors that determine self-selection, the student’s result may be misleadingly seen as an effect of the characteristics or performance of his/her peers rather than a reason why he or she belongs to that group. Think, for example, that students are assigned to courses according to their academic performance in the admission test, or according to their country of origin; if the model does not take this into account appropriately, the peer effect estimators would be biased.
The second difficulty is a reflection problem in which the classmates influence the student’s grade and, in turn, the student also influences the grade of his/her classmates. Because the mean (
excludes student’s
i own result, the equation already eliminates the mechanical incorporation of the student’s effect on the mean. However, this is included through the results of his/her peers because each of them has an equation parallel to his/hers, thus generating a problem of endogeneity by simultaneity [
13]. In these circumstances, the OLS estimators reflect an effect mixture between the different causality directions and are, therefore, not consistent. Finally, there is also a correlation problem that could affect the estimators’ efficiency since the peers’ characteristics (
are related to the academic performance of the same (
[
1,
13,
26,
34].
In the used database, freshmen university students were randomly enrolled in their courses according to their study plans and the available places in each course. Given that the characteristics that lead a student to choose a certain career (and therefore a certain study plan) are probably related to their performance in Calculus I and Communication Skills I, it is necessary to add fixed effects of faculty. Once this is controlled, and considering the process of assigning students to their courses, there is no suspicion of selection bias presence.
Regarding the reflection problem, the modern literature has managed to overcome this challenge with instrumental variable techniques [
1,
13], with the use of specific peer groups for each individual [
4,
26,
30], or through proxy variables of student’s abilities; for example, results in courses or tests prior to the current period [
25]. On this occasion, we use a proxy of peer performance that is estimated from variables that reflect students’ initial abilities and that have not been affected by their peer characteristics. Estimating the following model:
where
is the final grade (in Calculus I or in Communication Skills I) of student
i in group or classroom
j in year
t, and
is a vector of individual characteristics of
i (gender, age, stratum, origin and characteristic of home and school origin).
is the average of the predicted final grade of all students in
j except
i. The
is the student proportion who coming from household stratum 1, 2, or 3 of the total student number in group
j excluding
i in year
t. Finally, we include fixed effects of year (
) and the faculty to which the program the individual is studying belongs
. In this specification, the reflection problem is solved by calculating the peer’s academic performance as the average of the expected students’ grade based on their mathematics score on the Saber 11 test and their grade in the first term exam, in the case of Calculus, and based on the critical reading score on the Saber 11 test for Communication Skills (there is no information on the exam qualification in the Communication Skills course.) This is:
Because the Saber 11 test is taken before entering the University, the results in this test are not influenced by current classmates in Calculus I and Communication Skills I classes, and in that sense the predicted grade from these scores is free from the reflection problem. However, the differences between the competencies assessed in the mathematics component of the Saber 11 test and in the Calculus I course suggest that the score on this test does not adequately predict the student’s outcome at the end of the Calculus course. Therefore, the first exam grade is also included in Equation (4) so that it better approximates the observed peers’ performance. It is important to note that the implicit assumption is that peers have little or no influence on the results on the first term exam that is taken within the first four weeks of the semester. This is plausible if it is considered that they are freshmen university students, so it is likely that they did not know their classmates previously, and it is also supported by the theory of peers under which the transmission of specific knowledge or habits study is not immediate but takes time.
In model estimation (2), a significant coefficient is evidence that the peers’ academic performance affects the students’ academic performance. Furthermore, if it is controlled for individual characteristics and group academic performance, a significant coefficient implies that student academic achievement varies systematically with the peer percentage coming from low socioeconomic stratum. This model, however, is limited to identifying the existence of peer effects.
Following Díaz and Penagos [
26], it was explored whether both the lowest and the highest performing students exerted a significant influence on individual academic results. For this, individuals were classified into three categories according to their expected academic performance (
, and then the reference group
j of student
i was divided among those with low, medium, and high performance. Low-performing students were those with a grade lower than the lower tercil of the distribution, medium-performing students had a grade between the lower and higher tercil, and high-performing students had a grade higher than the highest tercil of the distribution. Subsequently, the average grade of the three subgroups was calculated and the following model was estimated, where the course composition was also disaggregated by level:
In addition, interactions were introduced to explore whether results vary based on individual student performance:
Model (6) allows identification of whether the relevant variable is group performance or the performance of a particular student group: the best, the average, or the worst. In addition, by disaggregating the peers’ socioeconomic level, it is possible to identify the effect of altering the peers’ participation with a lower or higher socioeconomic level in the peer group. In model (7), interactions are added to explore whether these effects, as argued by Hoxby and Weingarth [
13], are heterogeneous according to the performance and income level of students
i.
Finally, additional estimates were made in which the independence assumption of the observations was relaxed and was controlled for the unobserved characteristics of each group such as professor training, class schedule, type of exam, among others. This second part of the study avoided possible shock biases common to all individuals within a class. For this, a hierarchical or multilevel model of random effects was used in which the first level corresponds to the individual characteristics, and the second level to course
j characteristics in which the individual is enrolled, and which also define his/her group reference. Therefore, models (2), (6) and (7) were adapted to this methodology:
To explore the existence of heterogeneous effects, it is estimated:
where
considers the differences between courses or classes by unobserved characteristics, and the intra-class correlation
is an estimator of the variance proportion that is explained by differences between groups.
5. Discussion
In recent decades, the existence of peer effects has been widely studied, and in more recent years the structure and mechanisms under which they operate have also been studied. However, the results are far from homogeneous and there is evidence of negative, positive, null, large, or small effects of peer characteristics on individual results such as test scores, dropout, career choice, and other social behaviors [
1,
2,
3,
4]. This research estimated and analyzed the effect of peers’ academic performance and course composition by socioeconomic origin on the final grade in Calculus I and Communication Skills I of Universidad del Norte’s freshmen students between 2008 and 2019 with Ordinary Least Squares Estimates and Multilevel Models.
The results in the previous section provide evidence on the existence and direction of the peer characteristics effect on individual student performance. Once the characteristics of the student and the unobserved characteristics of the group were controlled for, a positive effect of peers’ academic performance was found on the individual grade in Calculus I. In particular, medium and high-performance peers were those that had greater influence, whereas the peers’ socioeconomic origin was not a significant variable. Contrary to this, in Communication Skills, the peers’ achievement was not significant, and in contrast, the peers’ percentage from stratum one and six had a negative and significant effect, although moderate. Increasing the peer predicted grade by one point increased the expected grade in Calculus I by 0.23 to 0.46 points. Mid-performing peers were the most influential subgroup. Higher performing classmates had a positive but less than average effect, while lower-performing classmates had a less than average (absolute value) or no negative effect. In this sense, little evidence was found for the model of the Shining light or the bad apple, since increases in the scores of the best or worst students did not have a disproportionate effect (greater than in the linear model in means) on the student’s grade in Calculus and Skills.
These results are in line with what was found by Díaz and Penagos [
26], who analyzed peer effects in an economics course at a Colombian university and found that low-performing peers decreased the grade by 0.29 points, while medium and high-performance peers increased the grade by 0.39 and 0.21 points, respectively. As argued by Brady, Insler and Rahman [
35], it is possible that having peers with better performance negatively affects the individual score, either because of the
harmful comparison model suggested by Hoxby and Weingarth [
13], or in the case of underperforming students, because the
bad apple can degrade performance even as that apple does better, given its disruptive behavior that affects the rest of the class.
The most interesting results came from the non-linear estimations, in which the variations in peers’ effects were examined according to students’ individual characteristics. These results reaffirm that the socioeconomic level was not relevant for peer effects in the academic achievement in Calculus I, because the results did not vary according to a student’s stratum. In contrast, when peers’ effects were disaggregated by the individual’s level of academic performance, it was found that the greatest benefit for students came from an improvement in peer performance in the same category or at least in the closest category to them (
Table 4 and
Table 6). On the contrary, an improvement in peer performance in a different category, or in the most distant category from their performance had a negative effect. These results suggest two preliminary conclusions. On the one hand, they provide evidence of the validity of the
harmful comparison model between students with different academic performance, in which the results are negatively affected by better peers’ performance in a different performance category. On the other hand, they reveal that high and low ability students were separated into different study or social networks, decreasing beneficial social interaction between members of different academic performance, which is in line with experiment findings by Carrell, Sacerdote, and Wells [
36].
The results in Communication Skills, once again, differed from the findings in Calculus I. Effects of heterogeneous peers were evidenced according to the student’s socioeconomic level, but not according to their academic performance. However, it is important to note that an increase of 10% in the peers of either low strata, stratum 1, or stratum 6 had a limited impact on the student’s final grade that varied between ±0.02 and ±0.04 (between 3.2% and 6.5% of a standard deviation). Regarding the heterogeneous effects, the results suggest that students benefit more from having classmates of a medium socioeconomic level, since increasing the course composition with low-income students or with high-income students had a negative effect on individual achievement. Nevertheless, within this negative effect, students obtained better results when being with peers of a socioeconomic level more like theirs, which is evidence of a version of the boutique model in which students improve their performance when they have peers with similar characteristics.
The result in Communication Skills supports the conclusions of Hoxby and Weingarth [
13], who analyzed the policy effect of students’ reassignment between schools in Wake County in North Carolina, United States. Using a data panel of students in eight grades between 1994 and 2003, the authors support that race and income are not significant in most cases, and in the few cases where they are, they have a very small effect. The authors found that if a poor black student experienced a ten percent increase in their class proportion that is black and poor, their achievement fell by 0.6 points (about 2.5% of a standard deviation).
There are two hypotheses that explain the different results in Skills and Calculus. On the one hand, Communication Skills is a mandatory first semester course for a greater number of programs and, therefore, the classes are more heterogeneous. This can limit interactions between students and, consequently, peer effects. On the other hand, as evidenced in the multilevel estimates, the variance percentage that is explained by the characteristics not observed at the course level was higher in Communication Skills case than in Calculus case. This means that group factors (other than peer performance and SEL) such as the professor, the type of exam or the class schedule explain the differences in grades in Skills to a greater extent. So, these unobserved characteristics downplay the peers’ performance.