AB-Net: A Novel Deep Learning Assisted Framework for Renewable Energy Generation Forecasting
Abstract
:1. Introduction
- Initially, acquiring power generation data through meters introduces different abnormalities and noise in the data such as missing values, outliers, and redundancy, due to the environmental conditions. Processing such a type of data yields incorrect energy generation forecasting. To overcome this issue, the raw data are passed through the preprocessing layer where they are cleaned, normalized, and de-noised to make them suitable for effective processing.
- The established literature reveals that the sequential learning approaches have a strong performance in time series prediction data. Inspired by their reasonable and accurate performances for prediction problems, for the first time, a novel hybrid network composed of an AE and BiLSTM is proposed for single-step forecasting of RE power generation.
- Short-term RES power production forecasting is very useful, and this information can improve the performance of existing energy systems. Furthermore, short-term forecasting of power allows for efficient integration, trading, storage unit management, and control systems of energy. Therefore, in this paper, we propose a model that has the ability to forecast short-term horizons for one-step RE forecasting.
- To confirm and verify the effectiveness of the proposed method, we conduct an extensive set of experiments on publicly available power generation datasets. We experimentally prove that the proposed method outperforms state-of-the-art methods by comparing it with competitive models including BiLSTM, CNN-BiLSTM, and an encoder–decoder (ED) via basic evaluation metrics such as mean absolute error (MAE), mean squared error (MSE), and root mean square error (RMSE), where the proposed AB-Net obtains the lowest error rate.
2. Literature Review
2.1. Wind Power Generation
2.2. Solar Power Generation
2.3. Hydropower Generation
3. Methodology
3.1. Data Acquisition and Preprocessing
3.2. Proposed Network for Power Generation
3.2.1. Recurrent Neural Network
3.2.2. Long Short-Term Memory
3.2.3. Bidirectional LSTM
3.2.4. Bidirectional Autoencoder
3.3. Model Evaluation
System Settings and Hyperparameters
4. Experimental Results
4.1. Datasets
| Dataset | Parameters | Values |
|---|---|---|
| Wind Dataset [66] | Plant Max Output | 16 MW |
| Max Wind Speed | 23.0352 | |
| Max Wind Direction | 359.3794 degrees | |
| Max Temperature | 35.9660 degrees Celsius | |
| Max Air Pressure | 8.5927 × 104 Pas | |
| Max Air Density | 1.0980 Kg/m3 | |
| Longitude | −104.258 | |
| Latitude | 35.00168 | |
| Duration | (1 Year) 2012 | |
| Time Interval | 5 min | |
| Totals Points | 105,121 | |
| Solar Dataset [65] | Plant Max Output | 2610 kW |
| Plant Capacity | 3026 kW | |
| Max Inclined Irradiance | 999.96 | |
| Max Surface Temperature | 49.78 | |
| Max Surrounding Temperature | 125.60 | |
| Duration | 3 years, 10 months (2015 to 2018) | |
| Time Interval | 1 h | |
| Totals Points | 17,252 |
4.1.1. Solar Dataset
4.1.2. Wind Dataset
4.2. Results on Solar Dataset
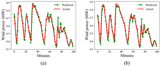
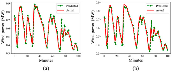
4.3. Results on Wind Dataset
4.4. Assessment with State of the Art
5. Conclusions
Author Contributions
Funding
Institutional Review Board Statement
Informed Consent Statement
Data Availability Statement
Conflicts of Interest
Nomenclature
| ANN | Artificial neural network |
| AE | Autoencoder |
| AI | Artificial intelligence |
| BiLSTM | Bidirectional long short-term memory |
| CNQR | Copula-based nonlinear quantile regression |
| CNN | Convolutional neural network |
| DL | Deep learning |
| DNN | Deep neural network |
| DT | Decision tree |
| ED | Encoder–decoder |
| FIS | Fuzzy inference system |
| FFNN | Feedforward neural network |
| GRU | Gated recurrent unit |
| GB | Gradient boosting |
| k-NNs | k-nearest neighbors |
| LSTM | Long short-term memory |
| LR | Linear regression |
| ML | Machine learning |
| PV | Photovoltaics |
| RF | Random forest |
| RES | Renewable energy source |
| RE | Renewable energy |
| RNN | Recurrent neural network |
| SVR | Support vector regression |
| SVM | Support vector machine |
| XGB | Extreme gradient boosting |
References
- Mayer, M.J.; Szilágyi, A.; Gróf, G. Environmental and economic multi-objective optimization of a household level hybrid renewable energy system by genetic algorithm. Appl. Energy 2020, 269, 115058. [Google Scholar] [CrossRef]
- Hu, X.; Zou, Y.; Yang, Y. Greener plug-in hybrid electric vehicles incorporating renewable energy and rapid system optimization. Energy 2016, 111, 971–980. [Google Scholar] [CrossRef]
- Xiong, L.; Li, P.; Wang, Z.; Wang, J. Multi-agent based multi objective renewable energy management for diversified community power consumers. Appl. Energy 2020, 259, 114140. [Google Scholar] [CrossRef]
- Khan, N.; Ullah FU, M.; Ullah, A.; Lee, M.Y.; Baik, S.W. Batteries state of health estimation via efficient neural networks with multiple channel charging profiles. IEEE Access 2020, 9, 7797–7813. [Google Scholar] [CrossRef]
- Kang, J.N.; Wei, Y.M.; Liu, L.C.; Han, R.; Yu, B.Y.; Wang, J.W. Energy systems for climate change mitigation: A systematic review. Appl. Energy 2020, 263, 114602. [Google Scholar] [CrossRef]
- Pillot, B.; Muselli, M.; Poggi, P.; Dias, J.B. Historical trends in global energy policy and renewable power system issues in Sub-Saharan Africa: The case of solar PV. Energy Policy 2019, 127, 113–124. [Google Scholar] [CrossRef]
- Javed, M.S.; Zhong, D.; Ma, T.; Song, A.; Ahmed, S. Hybrid pumped hydro and battery storage for renewable energy based power supply system. Appl. Energy 2020, 257, 114026. [Google Scholar] [CrossRef]
- Nam, K.; Hwangbo, S.; Yoo, C. A deep learning-based forecasting model for renewable energy scenarios to guide sustainable energy policy: A case study of Korea. Renew. Sustain. Energy Rev. 2020, 122, 109725. [Google Scholar] [CrossRef]
- Ahmad, T.; Zhang, H.; Yan, B. A review on renewable energy and electricity requirement forecasting models for smart grid and buildings. Sustain. Cities Soc. 2020, 55, 102052. [Google Scholar] [CrossRef]
- Aslam, S.; Herodotou, H.; Mohsin, S.M.; Javaid, N.; Ashraf, N.; Aslam, S. A survey on deep learning methods for power load and renewable energy forecasting in smart microgrids. Renew. Sustain. Energy Rev. 2021, 144, 110992. [Google Scholar] [CrossRef]
- Hodge, B.M.; Martinez-Anido, C.B.; Wang, Q.; Chartan, E.; Florita, A.; Kiviluoma, J. The combined value of wind and solar power forecasting improvements and electricity storage. Appl. Energy 2018, 214, 1–15. [Google Scholar] [CrossRef]
- Sajjad, M.; Khan, S.U.; Khan, N.; Haq, I.U.; Ullah, A.; Lee, M.Y.; Baik, S.W. Towards efficient building designing: Heating and cooling load prediction via multi-output model. Sensors 2020, 20, 6419. [Google Scholar] [CrossRef]
- Wang, H.; Lei, Z.; Zhang, X.; Zhou, B.; Peng, J.A. review of deep learning for renewable energy forecasting. Energy Convers. Manag. 2019, 198, 111799. [Google Scholar] [CrossRef]
- Singh, S.; Mohapatra, A. Repeated wavelet transform based ARIMA model for very short-term wind speed forecasting. Renew. Energy 2019, 136, 758–768. [Google Scholar]
- Yang, D. On post-processing day-ahead NWP forecasts using Kalman filtering. Sol. Energy 2019, 182, 179–181. [Google Scholar] [CrossRef]
- Wang, Y.; Wang, H.; Srinivasan, D.; Hu, Q. Robust functional regression for wind speed forecasting based on Sparse Bayesian learning. Renew. Energy 2019, 132, 43–60. [Google Scholar] [CrossRef]
- Li, G.; Xie, S.; Wang, B.; Xin, J.; Li, Y.; Du, S. Photovoltaic power forecasting with a hybrid deep learning approach. IEEE Access 2020, 8, 175871–175880. [Google Scholar] [CrossRef]
- Haq, I.U.; Ullah, A.; Khan, S.U.; Khan, N.; Lee, M.Y.; Rho, S.; Baik, S.W. Sequential learning-based energy consumption prediction model for residential and commercial sectors. Mathematics 2021, 9, 605. [Google Scholar] [CrossRef]
- Khan, N.; Haq, I.U.; Khan, S.U.; Rho, S.; Lee, M.Y.; Baik, S.W. DB-Net: A novel dilated CNN based multi-step forecasting model for power consumption in integrated local energy systems. Int. J. Electr. Power Energy Syst. 2021, 133, 107023. [Google Scholar] [CrossRef]
- Gensler, A.; Henze, J.; Sick, B.; Raabe, N. Deep Learning for solar power forecasting—An approach using AutoEncoder and LSTM Neural Networks. In Proceedings of the 2016 IEEE International Conference on Systems, Man, and Cybernetics (SMC), Budapest, Hungary, 9–12 October 2016; IEEE: Piscataway, NJ, USA, 2016. [Google Scholar]
- Maciel, J.N.; Ledesma JJ, G.; Junior, O.H.A. Forecasting Solar Power Output Generation: A Systematic Review with the Proknow-C. IEEE Lat. Am. Trans. 2021, 19, 612–624. [Google Scholar] [CrossRef]
- Barbieri, F.; Rajakaruna, S.; Ghosh, A. Very short-term photovoltaic power forecasting with cloud modeling: A review. Renew. Sustain. Energy Rev. 2017, 75, 242–263. [Google Scholar] [CrossRef] [Green Version]
- Ferrero Bermejo, J.; Gomez Fernandez, J.F.; Olivencia Polo, F.; Crespo Marquez, A. A review of the use of artificial neural network models for energy and reliability prediction. A study of the solar PV, hydraulic and wind energy sources. Appl. Sci. 2019, 9, 1844. [Google Scholar]
- Liu, Z.; Jiang, P.; Zhang, L.; Niu, X.A. combined forecasting model for time series: Application to short-term wind speed forecasting. Appl. Energy 2020, 259, 114137. [Google Scholar] [CrossRef]
- Sun, H. Hybrid model with secondary decomposition, randomforest algorithm, clustering analysis and long short memory network principal computing for short-term wind power forecasting on multiple scales. Energy 2021, 221, 119848. [Google Scholar] [CrossRef]
- Hu, H.; Wang, L.; Lv, S.X. Forecasting energy consumption and wind power generation using deep echo state network. Renew. Energy 2020, 154, 598–613. [Google Scholar] [CrossRef]
- Sharifzadeh, M.; Sikinioti-Lock, A.; Shah, N. Machine-learning methods for integrated renewable power generation: A comparative study of artificial neural networks, support vector regression, and Gaussian Process Regression. Renew. Sustain. Energy Rev. 2019, 108, 513–538. [Google Scholar] [CrossRef]
- Demolli, H.; Dokuz, A.S.; Ecemis, A.; Gokcek, M. Wind power forecasting based on daily wind speed data using machine learning algorithms. Energy Convers. Manag. 2019, 198, 111823. [Google Scholar] [CrossRef]
- Li, Y.; Yang, P.; Wang, H. Short-term wind speed forecasting based on improved ant colony algorithm for LSSVM. Clust. Comput. 2019, 22, 11575–11581. [Google Scholar] [CrossRef]
- Andrade, J.R.; Bessa, R.J. Improving renewable energy forecasting with a grid of numerical weather predictions. IEEE Trans. Sustain. Energy 2017, 8, 1571–1580. [Google Scholar] [CrossRef] [Green Version]
- Khosravi, A.; Machado, L.; Nunes, R. Time-series prediction of wind speed using machine learning algorithms: A case study Osorio wind farm, Brazil. Appl. Energy 2018, 224, 550–566. [Google Scholar] [CrossRef]
- Guoyang, W.; Yang, X.; Shasha, W. Discussion about short-term forecast of wind speed on wind farm. Jilin Electr. Power 2005, 181, 21–24. [Google Scholar]
- Ding, M.; Zhang, L.J.; Wu, Y.C. Wind speed forecast model for wind farms based on time series analysis. Electr. Power Autom. Equip. 2005, 25, 32–34. [Google Scholar]
- Manero, J.; Béjar, J.; Cortés, U. “Dust in the wind…”, deep learning application to wind energy time series forecasting. Energies 2019, 12, 2385. [Google Scholar]
- Khan, M.; Liu, T.; Ullah, F. A new hybrid approach to forecast wind power for large scale wind turbine data using deep learning with TensorFlow framework and principal component analysis. Energies 2019, 12, 2229. [Google Scholar] [CrossRef] [Green Version]
- Eze, E.C.; Chatwin, C.R. Enhanced recurrent neural network for short-term wind farm power output prediction. J. Appl. Sci. 2019, 5, 28–35. [Google Scholar]
- Liu, H.; Mi, X.; Li, Y. Smart deep learning based wind speed prediction model using wavelet packet decomposition, convolutional neural network and convolutional long short term memory network. Energy Convers. Manag. 2018, 166, 120–131. [Google Scholar] [CrossRef]
- Aslam, M.; Lee, J.M.; Kim, H.S.; Lee, S.J.; Hong, S. Deep learning models for long-term solar radiation forecasting considering microgrid installation: A comparative study. Energies 2020, 13, 147. [Google Scholar] [CrossRef] [Green Version]
- Torres-Barrán, A.; Alonso, Á.; Dorronsoro, J.R. Regression tree ensembles for wind energy and solar radiation prediction. Neurocomputing 2019, 326, 151–160. [Google Scholar] [CrossRef]
- Saloux, E.; Candanedo, J.A. Forecasting district heating demand using machine learning algorithms. Energy Procedia 2018, 149, 59–68. [Google Scholar] [CrossRef]
- Sun, Y.; Venugopal, V.; Brandt, A.R. Short-term solar power forecast with deep learning: Exploring optimal input and output configuration. Sol. Energy 2019, 188, 730–741. [Google Scholar] [CrossRef]
- Torres, J.F.; Troncoso, A.; Koprinska, I.; Wang, Z.; Martínez-Álvarez, F. Big data solar power forecasting based on deep learning and multiple data sources. Expert Syst. 2019, 36, e12394. [Google Scholar] [CrossRef]
- Kamadinata, J.O.; Ken, T.L.; Suwa, T. Sky image-based solar irradiance prediction methodologies using artificial neural networks. Renew. Energy 2019, 134, 837–845. [Google Scholar] [CrossRef]
- Correa-Jullian, C.; Cardemil, J.M.; Droguett, E.L.; Behzad, M. Assessment of Deep Learning techniques for Prognosis of solar thermal systems. Renew. Energy 2020, 145, 2178–2191. [Google Scholar] [CrossRef]
- AlKandari, M.; Ahmad, I. Solar power generation forecasting using ensemble approach based on deep learning and statistical methods. Appl. Comput. Inform. 2020. [Google Scholar] [CrossRef]
- Liu, Y.; Zhou, Y.; Chen, Y.; Wang, D.; Wang, Y.; Zhu, Y. Comparison of support vector machine and copula-based nonlinear quantile regression for estimating the daily diffuse solar radiation: A case study in China. Renew. Energy 2020, 146, 1101–1112. [Google Scholar] [CrossRef]
- Perera, K.S.; Aung, Z.; Woon, W.L. Machine learning techniques for supporting renewable energy generation and integration: A survey. In Proceedings of the International Workshop on Data Analytics for Renewable Energy Integration, Nancy, France, 19 September 2014; Springer: Cham, Switzerland, 2014. [Google Scholar]
- Hernández, E.; Sanchez-Anguix, V.; Julian, V.; Palanca, J.; Duque, N. Rainfall prediction: A deep learning approach. In Proceedings of the International Conference on Hybrid. Artificial Intelligence Systems, Seville, Spain, 18–20 April 2016; Springer: Cham, Switzerland, 2016. [Google Scholar]
- Ardabili, S.; Mosavi, A.; Dehghani, M.; Várkonyi-Kóczy, A.R. Deep learning and machine learning in hydrological processes climate change and earth systems a systematic review. In Proceedings of the International Conference on Global Research and Education, Balatonfüred, Hungary, 4–7 September 2019; Springer: Cham, Switzerland, 2019. [Google Scholar]
- Sapitang, M.; Ridwan, W.M.; Faizal Kushiar, K.; Najah Ahmed, A.; El-Shafie, A. Machine Learning Application in Reservoir Water Level Forecasting for Sustainable Hydropower Generation Strategy. Sustainability 2020, 12, 6121. [Google Scholar] [CrossRef]
- Dehghani, M.; Riahi-Madvar, H.; Hooshyaripor, F.; Mosavi, A.; Shamshirband, S.; Zavadskas, E.K.; Chau, K.W. Prediction of hydropower generation using grey wolf optimization adaptive neuro-fuzzy inference system. Energies 2019, 12, 289. [Google Scholar] [CrossRef] [Green Version]
- Zhang, X.; Peng, Y.; Xu, W.; Wang, B. An optimal operation model for hydropower stations considering inflow forecasts with different lead-times. Water Resour. Manag. 2019, 33, 173–188. [Google Scholar] [CrossRef]
- Hong, W.-C. Rainfall forecasting by technological machine learning models. Appl. Math. Comput. 2008, 200, 41–57. [Google Scholar] [CrossRef]
- Wang, S.; Tang, L.; Yu, L. SD-LSSVR-based decomposition-and-ensemble methodology with application to hydropower consumption forecasting. In Proceedings of the 2011 Fourth International Joint Conference on Computational Sciences and Optimization, Kunming and Lijiang, China, 15–19 April 2011; IEEE: Piscataway, NJ, USA, 2011. [Google Scholar]
- Lansberry, J.; Wozniak, L.; Goldberg, D.E. Optimal hydrogenerator governor tuning with a genetic algorithm. IEEE Trans. Energy Convers. 1992, 7, 623–630. [Google Scholar] [CrossRef]
- Kavousi-Fard, A.; Su, W. A combined prognostic model based on machine learning for tidal current prediction. IEEE Trans. Geosci. Remote. Sens. 2017, 55, 3108–3114. [Google Scholar] [CrossRef]
- Safari, N.; Ansari, O.A.; Zare, A.; Chung, C.Y. A novel decomposition-based localized short-term tidal current speed and direction prediction model. In Proceedings of the 2017 IEEE Power & Energy Society General Meeting, Chicago, IL, USA, 16–20 July 2017; IEEE: Piscataway, NJ, USA, 2017. [Google Scholar]
- Ozbas, E.E.; Aksu, D.; Ongen, A.; Aydin, M.A.; Ozcan, H.K. Hydrogen production via biomass gasification, and modeling by supervised machine learning algorithms. Int. J. Hydrogen Energy 2019, 44, 17260–17268. [Google Scholar] [CrossRef]
- Khan, N.; Ullah, A.; Haq, I.U.; Menon, V.G.; Baik, S.W. SD-Net: Understanding overcrowded scenes in real-time via an efficient dilated convolutional neural network. J. Real-Time Image Process. 2021, 18, 1729–1743. [Google Scholar] [CrossRef]
- Peng, L.; Zhu, Q.; Lv, S.X.; Wang, L. Effective long short-term memory with fruit fly optimization algorithm for time series forecasting. Soft Comput. 2020, 24, 15059–15079. [Google Scholar] [CrossRef]
- Lee, J.; Kim, H.; Kim, H. Commercial Vacancy Prediction Using LSTM Neural Networks. Sustainability 2021, 13, 5400. [Google Scholar] [CrossRef]
- Ullah FU, M.; Khan, N.; Hussain, T.; Lee, M.Y.; Baik, S.W. Diving Deep into Short-Term Electricity Load Forecasting: Comparative Analysis and a Novel Framework. Mathematics 2021, 9, 611. [Google Scholar] [CrossRef]
- Ishaq, M.; Kwon, S. Short-Term Energy Forecasting Framework Using an Ensemble Deep Learning Approach. IEEE Access 2021, 9, 94262–94271. [Google Scholar]
- Jaseena, K.; Kovoor, B.C. A hybrid wind speed forecasting model using stacked autoencoder and LSTM. J. Renew. Sustain. Energy 2020, 12, 023302. [Google Scholar] [CrossRef] [Green Version]
- DATA.GO.KR. Available online: https://www.data.go.kr/ (accessed on 5 April 2021).
- NREL Wind Prospector. Available online: https://maps.nrel.gov/wind-prospector/?aL=sgVvMX%255Bv%255D%3Dt&bL=groad&cE=0&lR=0&mC=41.983994270935625%2C-98.173828125&zL=5 (accessed on 5 April 2021).
- Zamee, A.M.; Won, D. Novel Mode Adaptive Artificial Neural Network for Dynamic Learning: Application in Renewable Energy Sources Power Generation Prediction. Energies 2020, 13, 6405. [Google Scholar] [CrossRef]









| Method | MSE | RMSE | MAE |
|---|---|---|---|
| BiLSTM | 0.0112 | 0.1060 | 0.0778 |
| CNN-BiLSTM | 0.0111 | 0.1055 | 0.0748 |
| ED | 0.0107 | 0.1036 | 0.0747 |
| AB-Net | 0.0106 | 0.1028 | 0.0743 |
| Method | MSE | RMSE | MAE |
|---|---|---|---|
| BiLSTM | 0.0005 | 0.0219 | 0.0142 |
| CNN-BiLSTM | 0.0005 | 0.0216 | 0.0133 |
| ED | 0.0005 | 0.0198 | 0.0130 |
| AB-Net | 0.0004 | 0.0189 | 0.0109 |
Publisher’s Note: MDPI stays neutral with regard to jurisdictional claims in published maps and institutional affiliations. |
© 2021 by the authors. Licensee MDPI, Basel, Switzerland. This article is an open access article distributed under the terms and conditions of the Creative Commons Attribution (CC BY) license (https://creativecommons.org/licenses/by/4.0/).
Share and Cite
Khan, N.; Ullah, F.U.M.; Haq, I.U.; Khan, S.U.; Lee, M.Y.; Baik, S.W. AB-Net: A Novel Deep Learning Assisted Framework for Renewable Energy Generation Forecasting. Mathematics 2021, 9, 2456. https://doi.org/10.3390/math9192456
Khan N, Ullah FUM, Haq IU, Khan SU, Lee MY, Baik SW. AB-Net: A Novel Deep Learning Assisted Framework for Renewable Energy Generation Forecasting. Mathematics. 2021; 9(19):2456. https://doi.org/10.3390/math9192456
Chicago/Turabian StyleKhan, Noman, Fath U Min Ullah, Ijaz Ul Haq, Samee Ullah Khan, Mi Young Lee, and Sung Wook Baik. 2021. "AB-Net: A Novel Deep Learning Assisted Framework for Renewable Energy Generation Forecasting" Mathematics 9, no. 19: 2456. https://doi.org/10.3390/math9192456
APA StyleKhan, N., Ullah, F. U. M., Haq, I. U., Khan, S. U., Lee, M. Y., & Baik, S. W. (2021). AB-Net: A Novel Deep Learning Assisted Framework for Renewable Energy Generation Forecasting. Mathematics, 9(19), 2456. https://doi.org/10.3390/math9192456

