Metapopulation Persistence and Extinction in a Fragmented Random Habitat: A Simulation Study
Abstract
:1. Introduction
2. Two-Patch System
3. Extinction and Persistence in a Multi-Patch System
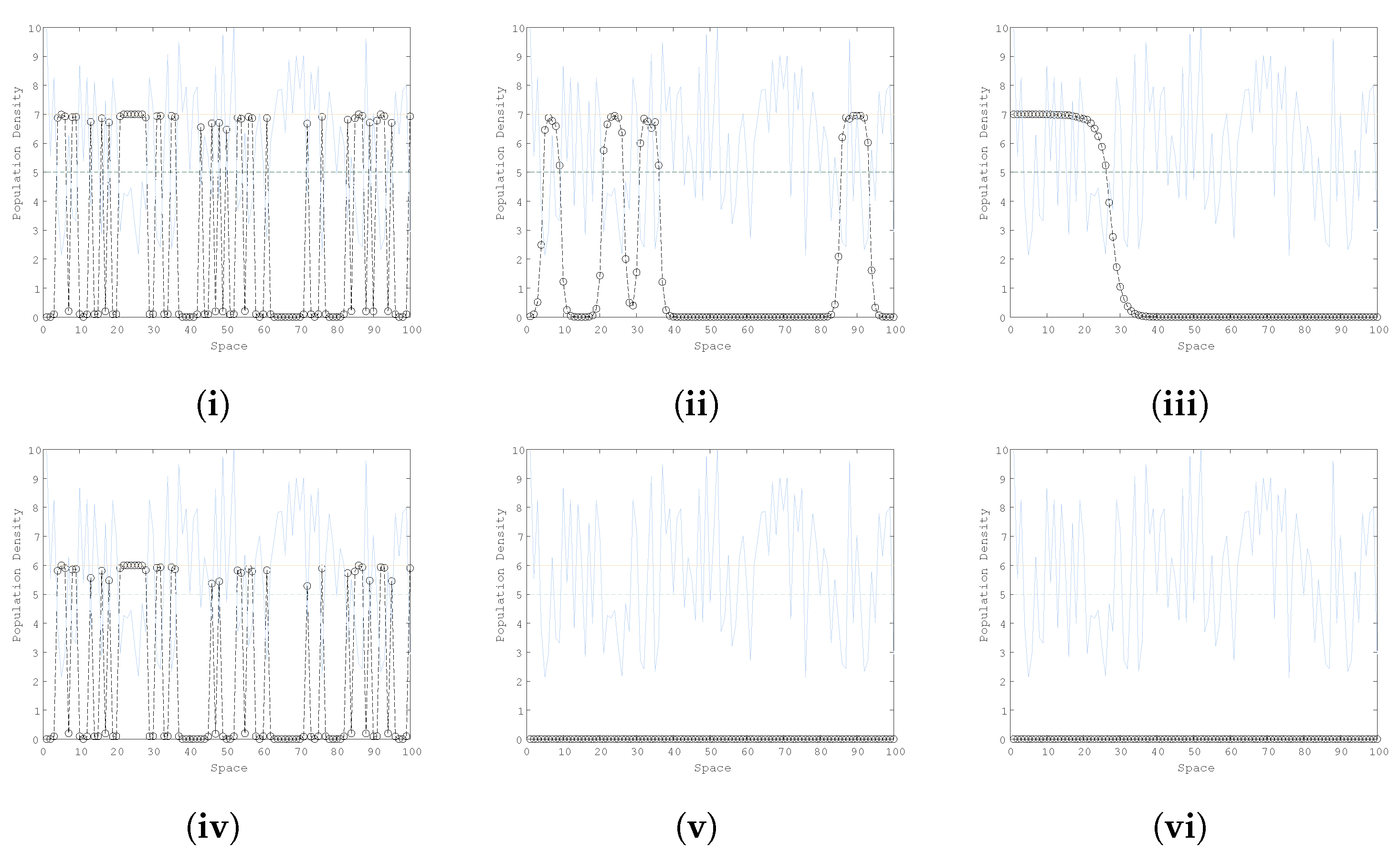
Simulation Results
4. Discussion and Concluding Remarks
Author Contributions
Funding
Institutional Review Board Statement
Informed Consent Statement
Acknowledgments
Conflicts of Interest
References
- Ehrlich, P.; Ehrlich, A. Extinction; Ballantine Books: New York, NY, USA, 1981. [Google Scholar]
- Keith, D.A.; Akçakaya, H.R.; Thuiller, W.; Midgley, G.F.; Pearson, R.G.; Phillips, S.J.; Regan, H.M.; Araújo, M.B.; Rebelo, T.G. Predicting extinction risks under climate change: Coupling stochastic population models with dynamic bioclimatic habitat models. Biol. Lett. 2008, 4, 560–563. [Google Scholar] [CrossRef] [PubMed]
- Brooks, T.M.; Mittermeier, R.A.; Mittermeier, C.G.; Fonseca, G.A.B.D.; Rylands, A.B.; Konstant, W.R.; Flick, P.; Pilgrim, J.; Oldfield, S.; Magin, G.; et al. Habitat loss and extinctions in the hotspots of biodiversity. Conserv. Biol. 2002, 16, 909–923. [Google Scholar] [CrossRef] [Green Version]
- Tilman, D.; May, R.; Lehman, C.L.; Nowak, M.A. Habitat destruction and the extinction debt. Nature 1994, 371, 65–66. [Google Scholar] [CrossRef]
- Fahrig, L. Relative Effects of Habitat Loss and Fragmentation on Population Extinction. J. Wildl. Manag. 1997, 61, 603–610. [Google Scholar] [CrossRef]
- Wilcox, B.A.; Murphy, D.D. Conservation Strategy: The Effects of Fragmentation on Extinction. Am. Nat. 1985, 125, 879–887. [Google Scholar] [CrossRef]
- Kimura, M. “Stepping stone” model of population. Ann. Rep. Nat. Inst. Genet. Jpn. 1953, 3, 62–63. [Google Scholar]
- Renshaw, E. A survey of stepping-stone models in population-dynamics. Adv. Appl. Probab. 1986, 18, 581–627. [Google Scholar] [CrossRef]
- Cox, J.T.; Durrett, R. The stepping stone model: New formulas expose old myths. Ann. Appl. Probab. 2002, 12, 1348–1377. [Google Scholar] [CrossRef]
- Jansen, V.A.A.; Lloyd, A.L. Local stability analysis of spatially homogeneous solutions of multi-patch systems. J. Math. Biol. 2000, 41, 232–252. [Google Scholar] [CrossRef]
- DeAngelis, D.L.; Zhang, B.; Ni, W.-M.; Wang, Y. Carrying Capacity of a Population Diffusing in a Heterogeneous Environment. Mathematics 2020, 8, 49. [Google Scholar] [CrossRef] [Green Version]
- Kareiva, P. Population dynamics in spatially complex environments: Theory and data. Philosophical Transactions of the Royal Society of London. Ser. B Biol. Sci. 1990, 330, 175–190. [Google Scholar]
- Nisbet, R.M.; Briggs, C.J.; Gurney, W.S.; Murdoch, W.W.; Stewart-Oaten, A. Two-patch metapopulation dynamics. In Patch Dynamics; Springer: Berlin/Heidelberg, Germany, 1993; pp. 125–135. [Google Scholar]
- Blasius, B.; Huppert, A.; Stone, L. Complex dynamics and phase synchronization in spatially extended ecological systems. Nature 1999, 399, 354–359. [Google Scholar] [CrossRef] [PubMed]
- Solé, R.V. Chaos, dispersal and extinction in coupled ecosystems. J. Theor. Biol. 1998, 193, 539–541. [Google Scholar] [CrossRef] [PubMed] [Green Version]
- McCann, K.; Hastings, A.; Harrison, S.; Wilson, W. Population outbreaks in a discrete world. Theor. Popul. Biol. 2000, 57, 97–108. [Google Scholar] [CrossRef] [PubMed]
- Amarasekare, P. Allee effects in metapopulation dynamics. Am. Nat. 1998, 152, 298–302. [Google Scholar] [CrossRef] [PubMed]
- Levins, R. Some demographic and genetic consequences of environmental heterogeneity for biological control. Bull. Entomol. Soc. Am. 1969, 15, 237–240. [Google Scholar] [CrossRef]
- Levins, R. Extinction. In Some Mathematical Problems in Biology; Gersten-haber, M., Ed.; American Mathematical Society: Providence, RI, USA, 1970; pp. 77–107. [Google Scholar]
- Pires, M.A.; Queiros, S.M.D. Optimal dispersal in ecological dynamics with Allee effect in metapopulations. PLoS ONE 2019, 14, e0218087. [Google Scholar] [CrossRef] [Green Version]
- Wang, W.D. Population dispersal and Allee effect. Ric. Mat. 2016, 65, 535–548. [Google Scholar] [CrossRef]
- Hanski, I. Metapopulation Ecology; Oxford University Press: Oxford, UK, 1999. [Google Scholar]
- Moran, P.A.P. The statistical analysis of the Canadian lynx cycle II: Synchronization and meteorology. Aust. J. Zool. 1953, 1, 291–298. [Google Scholar] [CrossRef]
- Royama, T. Analytical Population Dynamics; Chapman & Hall: London, UK, 1992. [Google Scholar]
- Hanski, I.; Ovaskainen, O. The metapopulation capacity of a fragmented landscape. Nature 2000, 404, 755–758. [Google Scholar] [CrossRef]
- Namba, T.; Umemoto, A.; Minami, E. The effects of habitat fragmentation on persistence of source–sink metapopulations in systems with predators and prey or apparent competitors. Theor. Popul. Biol. 1999, 56, 123–137. [Google Scholar] [CrossRef]
- Allen, J.C.; Schaffer, W.M.; Rosko, D. Chaos reduces species extinction by amplifying local population noise. Nature 1993, 364, 229–232. [Google Scholar] [CrossRef] [PubMed]
- Roughgarten, J.; Iwasa, Y. Dynamics of a metapopulation with space-limited subpopulations. Theor. Pop. Biol. 1986, 29, 235–261. [Google Scholar] [CrossRef]
- Bodin, O.; Saura, S. Ranking individual habitat patches as connectivity providers: Integrating network analysis and patch removal experiments. Ecol. Mod. 2010, 221, 2393–2405. [Google Scholar] [CrossRef]
- Urban, D.; Keitt, T. Landscape Connectivity: A Graph-Theoretic Perspective. Ecology 2001, 82, 1205–1218. [Google Scholar] [CrossRef]
- Kininmonth, S.; Drechsler, M.; Johst, K.; Possingham, H.P. Metapopulation mean life time within complex networks. Mar. Ecol. Prog. Ser. 2010, 417, 139–149. [Google Scholar] [CrossRef]
- With, K.A.; King, A.W. Extinction thresholds for species in fractal landscapes. Conserv. Biol. 1999, 13, 314–326. [Google Scholar] [CrossRef]
- Harrison, S.; Quinn, J.F. Correlated Environments and the Persistence of Metapopulations. Oikos 1989, 56, 293–298. [Google Scholar] [CrossRef]
- Legendre, S.; Schoener, T.W.; Clobert, J.; Spiller, D.A. How Is Extinction Risk Related to Population-Size Variability over Time? A Family of Models for Species with Repeated Extinction and Immigration. Am. Nat. 2008, 172, 282–298. [Google Scholar] [CrossRef]
- Croteau, E.K. Causes and Consequences of Dispersal in Plants and Animals. Nat. Educ. Knowl. 2010, 3, 12. [Google Scholar]
- Travis, J.M.J.; Delgado, M.; Bocedi, G.; Baguette, M.; Bartoń, K.; Bonte, D.; Boulangeat, I.; Hodgson, J.A.; Kubisch, A.; Penteriani, V.; et al. Dispersal and species’ responses to climate change. Oikos 2013, 122, 1532–1540. [Google Scholar] [CrossRef] [Green Version]
- Edelstein-Keshet, L. Mathematical Models in Biology; McGraw-Hill: New York, NY, USA, 1988. [Google Scholar]
- Murray, J.D. Mathematical Biology; Springer: Berlin/Heidelberg, Germany, 1989. [Google Scholar]
- Kot, M. Elements of Mathematical Ecology; Cambridge University Press: Cambridge, UK, 2001. [Google Scholar]
- Dennis, B. Allee effects: Population growth, critical density, and the chance of extinction. Nat. Resour. Model. 1989, 3, 481–538. [Google Scholar] [CrossRef]
- Stephens, P.A.; Sutherl, W.J. Consequences of the Allee effect for behaviour, ecology and conservation. Trends Ecol. Evol. 1999, 14, 401–405. [Google Scholar] [CrossRef]
- Lidicker, W.Z., Jr. The Allee effect: Its history and future importance. Open Ecol. J. 2010, 3, 1. [Google Scholar] [CrossRef]
- Berec, L. Allee effects under climate change. Oikos 2019, 128, 972–983. [Google Scholar] [CrossRef]
- Courchamp, F.; Berek, L.; Gascoigne, J. Allee Effects in Ecology and Conservation; Oxford University Press: Oxford, MA, USA, 2008. [Google Scholar]
- Lewis, M.A.; Kareiva, P. Allee dynamics and the spread of invading organisms. Theor. Popul. Biol. 1993, 43, 141–158. [Google Scholar] [CrossRef]
- Keitt, T.H.; Lewis, M.A.; Holt, R.D. Allee effects, invasion pinning, and species’ borders. Am. Nat. 2001, 157, 203–216. [Google Scholar] [CrossRef]
- Boukal, D.S.; Berec, L. Single-species models of the Allee effect: Extinction boundaries, sex ratios and mate encounters. J. Theor. Biol. 2002, 218, 375–394. [Google Scholar] [CrossRef]
- Sun, G.Q. Mathematical modeling of population dynamics with Allee effect. Nonlinear Dyn. 2016, 85, 1–12. [Google Scholar] [CrossRef]
- Petrovskii, S.; Li, B.L. Increased coupling between subpopulations in a spatially structured environment can lead to population outbreaks. J. Theor. Biol. 2001, 212, 549–562. [Google Scholar] [CrossRef]
- Amarasekare, P. Interactions between local dynamics and dispersal: Insights from single species models. Theor. Popul. Biol. 1998, 53, 44–59. [Google Scholar] [CrossRef]
- Seno, H. Effect of a singular patch on population persistence in a multi-patch system. Ecol. Model. 1988, 43, 271–286. [Google Scholar] [CrossRef]
- Ludwig, D.; Jones, D.D.; Holling, C.S. Qualitative analysis of insect outbreak systems: The spruce budworm and forest. J. Anim. Ecol. 1978, 47, 315–332. [Google Scholar] [CrossRef] [Green Version]















| Case No. | Domain | q | Which | <k> | p | |
|---|---|---|---|---|---|---|
| 1 | i a | 6.3435 | 5.6565 | |||
| 2 | i b | 6.4022 | 5.5978 | |||
| 3 | a | 5.6841 | 8.3159 | |||
| 4 | b | 6.2010 | 7.7990 | |||
| 5 | c | 6.8455 | 7.1545 | |||
| 6 | a | 6.3463 | 9.6537 | |||
| 7 | b | 7.6484 | 8.3516 | |||
| 8 | a | 6.3463 | 11.6537 | |||
| 9 | b | 7.6484 | 10.3516 | |||
| 10 | v a | 6.0095 | 7.9905 | |||
| 11 | a | 6.5331 | 9.4669 | |||
| 12 | a | 6.4590 | 11.5410 | |||
| 13 | a | 6.4236 | 5.5764 | |||
| 14 | b | 5.8691 | 6.1309 | |||
| 15 | c | 5.6349 | 6.3651 | |||
| 16 | a | 6.8890 | 7.1110 | |||
| 17 | b | 6.1772 | 7.8228 |
Publisher’s Note: MDPI stays neutral with regard to jurisdictional claims in published maps and institutional affiliations. |
© 2021 by the authors. Licensee MDPI, Basel, Switzerland. This article is an open access article distributed under the terms and conditions of the Creative Commons Attribution (CC BY) license (https://creativecommons.org/licenses/by/4.0/).
Share and Cite
Althagafi, H.; Petrovskii, S. Metapopulation Persistence and Extinction in a Fragmented Random Habitat: A Simulation Study. Mathematics 2021, 9, 2202. https://doi.org/10.3390/math9182202
Althagafi H, Petrovskii S. Metapopulation Persistence and Extinction in a Fragmented Random Habitat: A Simulation Study. Mathematics. 2021; 9(18):2202. https://doi.org/10.3390/math9182202
Chicago/Turabian StyleAlthagafi, Hashem, and Sergei Petrovskii. 2021. "Metapopulation Persistence and Extinction in a Fragmented Random Habitat: A Simulation Study" Mathematics 9, no. 18: 2202. https://doi.org/10.3390/math9182202
APA StyleAlthagafi, H., & Petrovskii, S. (2021). Metapopulation Persistence and Extinction in a Fragmented Random Habitat: A Simulation Study. Mathematics, 9(18), 2202. https://doi.org/10.3390/math9182202
