Next Article in Journal
Application of the Entropy Method and Color Difference Formula to the Evaluation of Round Brilliant Cut Diamond Scintillation
Previous Article in Journal
An Alternating Sum of Fibonacci and Lucas Numbers of Order k
 
 
Font Type:
Arial Georgia Verdana
Font Size:
Aa Aa Aa
Line Spacing:
Column Width:
Background:
Article

Voltage and Time Required for Irreversible Thermal Damage of Tumor Tissues during Electrochemotherapy under Thomson Effect

by
Hamdy M. Youssef
1,2,* and
Alaa A. El-Bary
3
1
Mechanical Engineering Department, College of Engineering and Islamic Architecture, Umm Al-Qura University, PO Box 16222, Makkah, Saudi Arabia
2
Mathematics Department, Faculty of Education, Alexandria University, Alexandria 21527, Egypt
3
Basic and Applied Science Institute, Arab Academy for Science, Technology, and Maritime Transport, P.O. Box 1029, Alexandria, Egypt
*
Author to whom correspondence should be addressed.
Mathematics 2020, 8(9), 1488; https://doi.org/10.3390/math8091488
Submission received: 9 August 2020 / Revised: 28 August 2020 / Accepted: 2 September 2020 / Published: 3 September 2020
(This article belongs to the Section E4: Mathematical Physics)

Abstract

The essential target of the tumor’s treatment is how to destroy its tissues. This work is dealing with the thermal damage of the tumor tissue due to the thermoelectrical effect based on the Thomson effect. The governing equation of tumor tissue in concentric spherical space based on the thermal lagging effect is constructed and solved when the surface of the tumor tissue is subjected to a specific electric voltage. Different voltage and resistance effects have been studied and discussed for three different types of tumor tissues. The thermal damage quantity has been calculated with varying values of voltages and times. The voltage has significant effects on the temperature and the amount of the irreversible thermal damage of the tumor. Electrotherapy is a successful treatment. This work introduces a different model to doctors who work in clinical cancer to do experiments using electricity to damage the cancer cells.

1. Introduction

Electrochemotherapy with a low-level direct electric current (DEC) is a therapeutic approach that consists of applying a direct electric current across the tumor tissues, and it has been proved to be a sure, effective, and relatively cheap treatment of tumors [1]. Currently, the electrochemotherapy procedure has been performed in several cancer clinics based on standardized clinical protocols [2]. The electrical properties of living tissues have been studied by many researchers to evaluate the effect of electromagnetic fields [3]. Nuccitelli discussed the use of pulsed electric fields in cancer therapy based on pulse length, millisecond domain, microsecond domain, and nanosecond domain [4]. Gabriel et al. introduced one of the most essential and complete data on the electrical properties of tissues in the full range of 10 Hz–20 GHz [5]. Many authors have confirmed that the electrical properties of all types of tumors tissue (muscle, fat, breast, etc.) vary after applying electroporation pulses [5,6,7,8,9,10,11]. Tasi et al. have determined the in vivo dielectric properties, resistivity, and relative permittivity of living epidermis and dermis of human skin soaked with a physiological saline solution for one minute between 1 kHz and 1 MHz [12].
We have three common types of tumors. The first type is called a lipoma tumor, which is a fatty tissue tumor. The second type is the liposarcoma tumor that arises in deep and fat cells of the soft tissue. The third type is called myxoid liposarcoma tumor, which is characterized by round to oval cells. The resistance values of the above three types of tumors have been calculated. The myxoid liposarcoma tumors show resistance values (50–100 Ω). The liposarcoma tumors show resistance values (250–970 Ω), while lipoma tumors show resistance (800–1800 Ω) [13].
The dual-phase-lag (DPL) model is a heat conduction model which describes the temperature in a macroscopic scale with the microstructural effect by taking into account the phase-lag-times of the temperature gradient and heat flux [14,15]. It has been applied to studying various problems of heat transfer. Many authors have investigated the effects of the phase lag times of heat flux and temperature gradient on the thermal wave transfer inside tissues [16,17,18,19,20,21,22,23,24,25,26,27,28,29]. The mathematical modeling is essential for scientific study, and industrially it is widely used in treatment planning [30]. Nuccitelli solved an application of pulsed electric fields to cancer therapy, where he found nanosecond pulsed fields to be effective in treating skin lesions but it has not yet been approved for cancer therapy [4]. Calzado et al. constructed simulations of the electrostatic field, temperature, and tissue damage generated by multiple electrodes for electrochemical treatment [31]. Soba et al. have integrated the analysis of the potential, electric field, temperature, pH, and tissue damage, which has been generated by different electrode arrays in a tumor under electrochemical treatment [32]. Aguilera et al. studied the electric current density distribution in a planar solid tumor and its surrounding healthy tissue generated by an electrode elliptic array used in electrotherapy [33]. Luo et al. studied the tumor treating fields for high-grade gliomas [34].
Any electrical conductor has two different thermoelectric effects, the Peltier and Thomson effects, which are responsible for the thermal dissipation. Those effects are present in a conductor material when the electrical current passes through it. Within the Thomson effect, the absorption of heat occurs when the electric current goes through a circuit composed of a single material which has a gradient of temperature along its length. The Thomson effect is considered as a heat source/sink, commonly, which is added to the Joule-heating. Some attempt has been to consider the Thomson effect, but only for a specific case [35]. Chen et al. studied a model in which the Thomson effect was present and determined a threshold criterion for neglecting the Thomson effect based on material properties [36].
No data for the value of the Thomson effect coefficient (Seebeck coefficient) has been found for skin tissue or the tumor as an electrical conductor material. So, the values of that coefficient have been assumed to study the effect of this phenomenon on tumors.
Goodarzi et al. developed the lattice Boltzmann method to simulate the slip velocity and temperature domain of buoyancy forces of multi-walled carbon nanotubes (FMWCNT) nanoparticles in water through a microflow imposed at the specified heat flux and constructed the numerical simulation of natural convection heat transfer of nanofluid with nanoparticles in a cavity with different aspect ratios [37,38,39].
The DPL bioheat conduction model could significantly predict the different temperatures and thermal damage in any tissues from the hyperbolic equation of thermal wave and Fourier’s heat conduction models. Moreover, the DPL bioheat conduction equations can be reduced to the Fourier heat conduction equations only if both phase lag times of the temperature gradient and the heat flux are zero [40].
This work is a theoretical investigation for the thermoelectrical effect on three different types of tumor tissues that have different known values of resistance. This study does not discuss the impact of the phase-lag parameters, which has already been done in many publications. The aim is to know the values of the suitable electric voltage and time required to do enough irreversible thermal damage for the three different types of tumors.

2. Materials and Methods

A small volume of tumor is considered as a solid sphere with the radius R [41]. Cancer occupies the region 0 r R , and the temperature distributes over it with a function of the distance r from the center of the sphere and time t (see Figure 1).
We consider three different types of tumors with the same histological features; myxoid liposarcoma, liposarcoma, and lipoma.
The heat conduction equation takes the form [15,21,28,29,41]:
K T ( r , t + τ T ) = q ( r , t + τ q )
where T = T ( r , t ) is the effective temperature, K is the thermal conductivity, q = q ( r , t ) is the heat flux, t is the time, and τ q , τ T are the phase-lag-time parameters of the heat flux and the temperature gradient, respectively.
In general, the relaxation times τ q , τ T are minimal, and we might neglect them, but in biological and living materials, these parameters are very significant.
The energy conservation formula of bioheat transfer is given by [15,21,28,29,41,42]:
ρ C T t = q w b C b ρ b ( T T 0 ) + ( q m + q e x t )
The term w b C b ( T T 0 ) is the heat due to convection into the tumor per unit mass and it is homogenous, ρ b , C b , and w b are the density, specific heat, and perfusion rate of blood, respectively. q m is the metabolic heat generation, q e x t is the external heat source, and T 0 = 37 ° C is the reference temperature of the tumor.
The first-order Taylor series of the DPL model can be written as:
K ( 1 + τ T t ) T = ( 1 + τ q t ) q
which gives
K ( 1 + τ T t ) 2 T = ( 1 + τ q t ) q
Almost all the tumor types take a spherical shape with different sizes, so we assumed the body of our application is a spherical body.
The differential equation of bio-heat transfer in the spherical coordinate system is obtained from Equations (2) and (4) as:
K ( 1 + τ T t ) 1 r 2 r ( r 2 T r ) = ( 1 + τ q t ) ( ρ C T t + w b ρ b C b ( T T 0 ) q m q e x t )
Consider the following functions [41]:
( T T 0 ) = θ r
Thus, we have
2 T = 1 r 2 r ( r 2 T r ) = 1 r 2 θ r 2
Hence, we have from Equations (5)–(7) that:
K ( 1 + τ T t ) 2 θ r 2 = ( 1 + τ q t ) ( ρ C θ t + w b ρ b C b θ ( r , t ) r q m r q e x t )
Consider that the tumor is working as a conductor with electrical resistance R e ( Ω ) , and the surface of the tumor r = R is subjected to a particular heating source that comes from the thermal effect due to connection with electric voltage V(V) and current I(A). Then, the heat flux is given by:
q e x t = V 2 R e t + α I T = V 2 R e t + α V R e T r
where α is the Seebeck coefficient.
The Seebeck coefficient (also known as thermoelectric power, thermopower, and thermoelectric sensitivity) of a material is a measure of the magnitude of an induced thermoelectric voltage in response to a temperature difference across that material.
q e x t = V 2 R e t + α V R e ( 1 r θ r θ r 2 )
Applying Laplace transform for Equations (8) and (9) defined as:
f ¯ ( s ) = 0 f ( t ) e s t d t
Then, we have
q ¯ e x t = V 2 R e s 2 + α V R e ( 1 r θ ¯ r θ ¯ r 2 )
The following initial conditions have been used within applying the Laplace transform:
θ ( r , t ) | t = 0 = 0   and   θ ( r , t ) t | t = 0 = 0
Thus, we get
d 2 θ ¯ d r 2 + α V h R e d θ ¯ d r h ( ρ C s + w b ρ b C b + α V r R e ) θ ¯ = r h ( q ¯ m + V 2 R e s 2 )
where h = ( 1 + τ q s ) K ( 1 + τ T s ) , q ¯ m = q m s , and α V h r R e | r R / 2 2 α V h R R e (This term has a small value in tissue applications. Thus, we can use a linear form without loss of generality).
Hence, we have
d 2 θ ¯ d r 2 + l d θ ¯ d r m θ ¯ = n r
where l = α V h R e , m = h ( ρ C s + w b ρ b C b + 2 α V R R e ) , n = h ( q ¯ m + V 2 R e s 2 ) .
The general solution of Equation (15) takes the form
θ ¯ ( r , s ) = c 1 e k 1 r + c 2 e k 2 r + n m r + n l m 2
where k 1 , k 2 are the roots of the characteristic equation.
k 2 + l k m = 0
Apply the following boundary conditions:
θ ( r , t ) | r = 0 = 0 , T ( r , t ) = 1 r θ ( r , t ) r θ ( r , t ) r 2 | r = R = q 0 K
where q 0 = V 2 R e t is the applied external heat flux due to the electric voltage V and negative value because it goes towards the origin in a negative direction.
Using Laplace transform defined in (11), we get
θ ¯ ( r , s ) | r = 0 = 0 , 1 r θ ¯ ( r , s ) r θ ¯ ( r , s ) r 2 | r = R = q ¯ 0 K
where q ¯ 0 = V 2 R e s 2 .
Thus, we have the following system of linear equations
c 1 + c 2 = n l m 2
( k 1 R 1 ) e k 1 R c 1 + ( k 2 R 1 ) e k 2 R c 2 = R 2 q ¯ 0 K + n l m 2
Solving the above system gives the following equation
θ ¯ ( r , s ) = 1 ( k 1 R + 1 ) e k 1 R ( k 2 R + 1 ) e k 2 R ( ( n l m 2 ( k 2 R + 1 ) e k 2 R + n l m 2 + R 2 q ¯ 0 K ) e k 1 r ( n l m 2 ( k 1 R + 1 ) e k 1 R + n l m 2 + R 2 q ¯ 0 K ) e k 2 r ) + n m r + n l m 2
which is the final solution in the Laplace transform domain.

3. The Thermal Damage

Henriques and Moritz used the Arrhenius formula to calculate the thermal damage [43]. They proposed that the thermal damage of the tissue could be considered as a chemical rate process, and calculated it by using the first-order Arrhenius rate equation. The measure of thermal damage ω was introduced, and its rate κ ( T ) was supposed to satisfy [43,44,45]:
d ω d t = κ ( T ) = A exp ( E a / η T )
which gives
ω = A 0 t exp ( E a / η T ) d t
where A is a frequency factor, η is the universal gas constant, and E a is the activation energy.
Equation (23) explains that a reaction proceeds go faster with larger values of T or A for the same E a , or with a smaller value of E a for an equal value of A. So, the parameters A and E a are usually obtained experimentally.
The reaction rate of the thermal damage process is given as [46]:
κ ( T ) = exp ( ( E a 21149.32 ) / 2688.37 ) exp ( E a / η T ) , T 55 ° C
Hence, we obtain the thermal damage in the form:
ω = exp ( ( E a 21149.32 ) / 2688.37 ) 0 t exp ( E a / η T ( t ) ) d t , T 55 ° C
Arrhenius assumed that ω = 1.0 denotes the beginning of irreversible damage and ω < 1.0 denotes the reversible damage [43,44,45,46].
There are differences between the coefficients used in the burn damage integral due to the different experimental databases which have been used to define the models when analyzing the burn process where T = θ r + T 0 . In the tumor, and according to the results, the temperature satisfies the interval 55 ° C T , which has the activation energy parameter E a = 2.69 × 10 5 J / mol and E a / η = 35406.7 K 1 [43,44].

4. Results

To obtain the distribution θ ( r , t ) in the physical domain, we will use the method of Riemann sum approximation. We can invert any function in the Laplace transform domain to the time domain as [15]:
Z ( t ) = e ε t t ( 1 2 Z ¯ ( ε ) + Re n = 1 N ( 1 ) n Z ¯ ( ε + i n π t ) )
where i = 1 and Re is the real part.
Many experiments have shown that the value of ε satisfies the relation ε t 4.7 and offers faster convergence [15].
The value θ ( r , t ) r | r = 0 is undefined, and its limit must be replaced by L i m r 0 θ ( r , t ) r and by using L’Hôpital’s rule as [41]:
θ ( r , t ) r | r = 0 = L i m r 0 θ ( r , t ) r   =   L i m r 0 d θ ( r , t ) d r = d θ ( r , t ) d r | r = 0
where d θ ( r , t ) d r = r d T ( r , t ) d r + ( T ( r , t ) T 0 ) .
Hence, we get
T ( r , t ) | r = 0 = d θ ( r , t ) d r | r = 0 + T 0
To simulate the thermal response within a small spherical tumor of radius R = 0.003 m, we will use the tumor tissue with material properties, as shown in Table 1 [13,22,41].
The results which are represented in figures will be calculated concerning a wide range of distance r ( 0 r R ) and at the time t = ( 120 , 150 , 210 ) s , different values of voltage V(V), and electrical resistance R e = ( 75 , 600 , 1300 ) Ω . The value 75 Ω is the mean value of the resistance of the myxoid liposarcoma tumor, 600 Ω is the mean value of the resistance of the liposarcoma tumor, and 1300 Ω is the mean value of the resistance of the lipoma tumor [13]. In the figures based on the distance of the tumor, the horizontal axis has been taken in reverse order to scale the temperature and the damage from the surface of the tumor r = R up to the center r = 0 .

5. Discussion

There are no significant histological differences between the electroporated tumor volume and the remaining regions of the tumor mass. On the other hand, and interestingly, different tumor types show different electrical conduction. So, the resistance values have been considered according to tumor histotype [13].
Figure 2, Figure 3 and Figure 4 show the absolute temperature of myxoid liposarcoma tumor { V = 34 V , R e = 75 Ω , t = 120 s } , liposarcoma { V = 78 V , R e = 600 Ω , t = 150 s } , and lipoma tumor { V = 84 V , R e = 1300 Ω , t = 210 s } , respectively, with different values of the Seebeck coefficient α = ( 0.0 , 30 , 60 ) V / K . We choose the values of voltage and time due to the values of the resistance of the three types of tumors. The figures show that the Seebeck coefficient has significant effects on the absolute temperature of myxoid liposarcoma tumors. At the same time, its impact somehow is limited to liposarcoma tumors and lipoma tumors. Moreover, the absolute temperature of the tumors decreases when the value of the Seebeck coefficient increases. Furthermore, the absolute temperature of the tumors decreases when the value of r decreases where the thermoelectrical source is located on the surface of the tumor.
Figure 5 shows the absolute temperature of myxoid liposarcoma tumor with different values of voltage V = ( 34 , 35 , 36 ) V with a wide range of distance 0 r ( m ) R ( m ) and at the instant of time t = 120 s when the Seebeck coefficient is α = 30 V / K . The absolute temperature of the tumor increases when the value of V increases. The mean values of the absolute temperature for three voltages are T = ( 60.13 , 61.47 , 62.85 ) ° C .
Figure 6 shows the absolute temperature of the liposarcoma tumor with different values of voltage V = ( 78 , 80 , 82 ) V with a wide range of distance 0 r ( m ) R ( m ) and an instant of time t = 150 s when the Seebeck coefficient is α = 30 V / K . The absolute temperature of the tumor increases when the value of V increases. The mean values of the absolute temperature for three voltages are T = ( 59.27 , 60.39 , 61.53 ) ° C .
Figure 7 shows the absolute temperature of lipoma tumors with different values of voltage V = ( 84 , 86 , 88 ) V with a wide range of distance 0 r ( m ) R ( m ) and an instant of time t = 210 s when the Seebeck coefficient is α = 30 V / K . The absolute temperature of the tumor increases when the value of V increases. The mean values of the absolute temperature for three voltages are T = ( 57.72 , 58.68 , 59.66 ) ° C .
Figure 8 shows the absolute temperature of myxoid liposarcoma tumor with different values of time t = ( 120 , 122 , 124 ) s with a wide range of distance 0 r ( m ) R ( m ) when voltage V = 34 V and Seebeck coefficient is α = 30 V / K . The absolute temperature of the tumor increases when the value of t increases. The mean values of the absolute temperature for three voltages are T = ( 60.13 , 60.76 , 61.40 ) ° C .
Figure 9 shows the absolute temperature of liposarcoma tumors with different values of time t = ( 150 , 154 , 156 ) s with a wide range of distance 0 r ( m ) R ( m ) when voltage V = 78 V and Seebeck coefficient is α = 30 V / K . The absolute temperature of the tumor increases when the value of t increases. The mean values of the absolute temperature for three voltages are T = ( 59.27 , 60.23 , 61.20 ) ° C .
Figure 10 shows the absolute temperature of lipoma tumors with different values of time t = ( 210 , 214 , 218 ) s with a wide range of distance 0 r ( m ) R ( m ) when voltage V = 84 V and Seebeck coefficient is α = 30 V / K . The absolute temperature of the tumor increases when the value of t increases. The mean values of the absolute temperature for three voltages are T = ( 57.72 , 58.82 , 59.45 ) ° C .
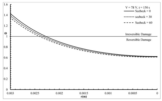
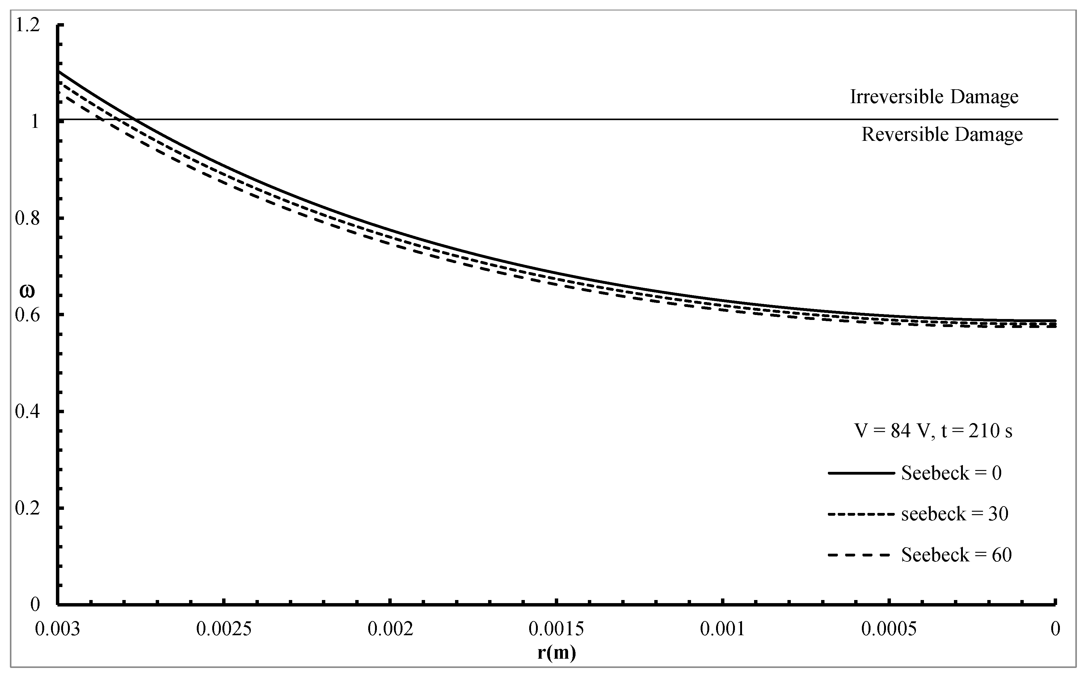
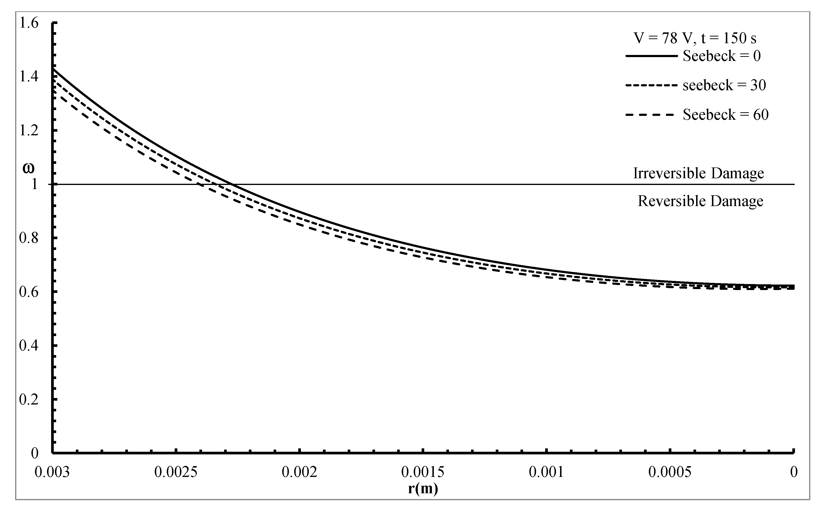
The most important part of this study and the main objective is to determine the quantity of the irreversible damage of the tumors. Figure 11, Figure 12, Figure 13, Figure 14, Figure 15 and Figure 16 represent the thermal damage of myxoid liposarcoma tumor, liposarcoma tumor, and lipoma tumor with different values of voltage and time, respectively. For the three types of tumors, increasing both voltage and time leads to increasing the thermal damage quantity of the tumors. A horizontal line through the thermal damage value ω = 1.0 has been added to separate between the reversible and irreversible thermal damage area. The intersection points of this line with the curves give a distance r o such that r r 0 and it provides the length of the irreversible thermal damage while r < r 0 gives the length of the reversible thermal damage. The formula can calculate the ratio of the volume of the irreversible thermal damage
V o l d a m a g e ( % ) = ( 1 r o 3 R 3 ) × 100
Figure 17, Figure 18 and Figure 19 represent the thermal damage distribution of myxoid liposarcoma tumor, liposarcoma tumor, and lipoma tumor, respectively, with different values of Seebeck coefficient, different values of voltage, and different values for time to study the effect of all that parameters on the quantity of thermal damage on the three types of tumors. The Seebeck coefficient has a significant impact on the amount of thermal damage for all three types of tumors.
Thus, Table 2, Table 3, Table 4, Table 5, Table 6 and Table 7 contain the ratios of the volume of the irreversible thermal damage quantities, which have been calculated with respect to the distance r o and different values of the voltage V and the time t, respectively. The tables contain the required voltage and time to get significant ratios of the volume of the irreversible thermal damage for the three types of tumors.
Thus, Table 8, Table 9 and Table 10 contain the ratios of the volume of the irreversible thermal damage quantities, which have been calculated with respect to the distance r o and different values of the Seebeck coefficient α . Those tables inform us about the effect of the Thomson effect on the ratios of the volume of the irreversible thermal damage for the three types of tumors. Considering that the Thomson effect leads to a smaller quantity of irreversible thermal damage to the tumors more than the case that does not include this effect.

6. Conclusions

In this work, governing partial differential equation of tumor tissue in concentric spherical space based on thermal lagging effect and Thomson effect is solved in the Laplace transform domain. The surface of the tumor tissue is subjected to an electric voltage. The results represent the effects of the different values of voltages, Thomson effect, and times on myxoid liposarcoma tumor, liposarcoma tumor, and lipoma tumor. We focused our attention on the difference value of electrical resistance of the three types of tumors which have been used.
The time and the applied voltages on the surface of the tumors have significant effects on the absolute temperature and the quantity of the irreversible thermal damage to the three types of tumors used.
The Thomson effect has a significant impact on the absolute temperature and the quantity of the irreversible thermal damage of the three types of tumors used.
Applying electrical potential within the electrochemotherapy for a few seconds is maybe enough to cause irreversible damage of the myxoid liposarcoma tumor, liposarcoma tumor, and lipoma tumor, which makes electrochemotherapy a successful treatment.
This research offers a new and potentially effective method in the treatment of cancer that has the characteristics of a specific place and its known electrical qualities within the patient’s body.
Therefore, we direct the clinical trial operators to try these results on a sample of patients, and we emphasize that these trials are likely to be very successful as the accuracy of the study has shown.

Author Contributions

Conceptualization, H.M.Y.; Data curation, A.A.E.-B.; Investigation, H.M.Y.; Methodology, H.M.Y. and A.A.E.-B.; Resources, A.A.E.-B.; Software, A.A.E.-B.; Writing—review & editing, H.M.Y. All authors have read and agreed to the published version of the manuscript.

Funding

This work was supported by the Long-Term Comprehensive National Plan for Science, Technology, and Innovation (Grant number: 14-MAT162-10 with amount 500,000.00 SR). H. Youssef is the P-I of the project, and N. Alghamdi is the Co-I of the project.

Acknowledgments

The authors are grateful for the support of this work as a part of the project provided by the “Long-Term Comprehensive National Plan for Science, Technology, and Innovation” through STU of Umm Al-Qura University.

Conflicts of Interest

The authors declare no conflict of interest.

References

  1. Mir, L.M.; Orlowski, S. Mechanisms of electrochemotherapy. Adv. Drug Deliv. Rev. 1999, 35, 107–118. [Google Scholar] [CrossRef]
  2. Marty, M.; Sersa, G.; Garbay, J.R.; Gehl, J.; Collins, C.G.; Snoj, M.; Billard, V.; Geertsen, P.F.; Larkin, J.O.; Miklavcic, D. Electrochemotherapy—An easy, highly effective and safe treatment of cutaneous and subcutaneous metastases: Results of ESOPE (European Standard Operating Procedures of Electrochemotherapy) study. Eur. J. Cancer Suppl. 2006, 4, 3–13. [Google Scholar] [CrossRef]
  3. Miklavčič, D.; Pavšelj, N.; Hart, F.X. Electric properties of tissues. In Wiley Encyclopedia of Biomedical Engineering; Wiley: New York, NY, USA, 2006. [Google Scholar] [CrossRef]
  4. Nuccitelli, R. Application of pulsed electric fields to cancer therapy. Bioelectricity 2019, 1, 30–34. [Google Scholar] [CrossRef]
  5. Gabriel, S.; Lau, R.; Gabriel, C. The dielectric properties of biological tissues: II. Measurements in the frequency range 10 Hz to 20 GHz. Phys. Med. Biol. 1996, 41, 2251–2269. [Google Scholar] [CrossRef]
  6. Čorović, S.; Županič, A.; Kranjc, S.; Al Sakere, B.; Leroy-Willig, A.; Mir, L.M.; Miklavčič, D. The influence of skeletal muscle anisotropy on electroporation: In vivo study and numerical modeling. Med. Biol. Eng. Comput. 2010, 48, 637–648. [Google Scholar] [CrossRef]
  7. Davalos, R.V.; Rubinsky, B.; Otten, D.M. A feasibility study for electrical impedance tomography as a means to monitor tissue electroporation for molecular medicine. IEEE Trans. Biomed. Eng. 2002, 49, 400–403. [Google Scholar] [CrossRef]
  8. Ivorra, A.; Al-Sakere, B.; Rubinsky, B.; Mir, L.M. In vivo electrical conductivity measurements during and after tumor electroporation: Conductivity changes reflect the treatment outcome. Phys. Med. Biol. 2009, 54, 5949–5963. [Google Scholar] [CrossRef]
  9. Laufer, S.; Ivorra, A.; Reuter, V.E.; Rubinsky, B.; Solomon, S.B. Electrical impedance characterization of normal and cancerous human hepatic tissue. Physiol. Meas. 2010, 31, 995–1009. [Google Scholar] [CrossRef]
  10. Pavšelj, N.; Préat, V.; Miklavčič, D. A numerical model of skin electropermeabilization based on in vivo experiments. Ann. Biomed. Eng. 2007, 35, 2138–2144. [Google Scholar] [CrossRef]
  11. Pliquett, U.; Langer, R.; Weaver, J.C. Changes in the passive electrical properties of human stratum corneum due to electroporation. Biochim. Biophys. Acta BBA Biomembr. 1995, 1239, 111–121. [Google Scholar] [CrossRef]
  12. Tsai, B.; Xue, H.; Birgersson, E.; Ollmar, S.; Birgersson, U. Dielectrical properties of living epidermis and dermis in the frequency range from 1 kHz to 1 MHz. J. Electr. Bioimpedance 2019, 10, 14–23. [Google Scholar] [CrossRef]
  13. Campana, L.G.; Dughiero, F.; Forzan, M.; Rastrelli, M.; Sieni, E.; Tosi, A.L.; Rossi, C.R. Electrical resistance of tumor tissue during electroporation: An ex-vivo study on human lipomatous tumors. In Proceedings of the 6th European Conference of the International Federation for Medical and Biological Engineering, Dubrovnik, Croatia, 7–11 September 2014; Springer: Berlin/Heidelberg, Germany, 2015; pp. 569–572. [Google Scholar]
  14. Tzou, D.Y. The generalized lagging response in small-scale and high-rate heating. Int. J. Heat Mass Transf. 1995, 38, 3231–3240. [Google Scholar] [CrossRef]
  15. Tzou, D.Y. Macro-to Microscale Heat Transfer: The Lagging Behavior; John Wiley & Sons: Hoboken, NJ, USA, 2014. [Google Scholar]
  16. Antaki, P.J. Solution for non-Fourier dual phase lag heat conduction in a semiinfinite slab with surface heat flux. Int. J. Heat Mass Transf. 1998, 41, 2253–2258. [Google Scholar] [CrossRef]
  17. Tang, D.; Araki, N. Non-fourier heat condution behavior in finite mediums under pulse surface heating. Mater. Sci. Eng. A 2000, 292, 173–178. [Google Scholar] [CrossRef]
  18. Al-Nimr, M.; Al-Huniti, N.S. Transient thermal stresses in a thin elastic plate due to a rapid dual-phase-lag heating. J. Therm. Stresses 2000, 23, 731–746. [Google Scholar]
  19. Nassar, W.D.R. A finite difference method for solving 3-D heat transport equations in a double-layered thin film with microscale thickness and nonlinear interfacial conditions. Numer. Heat Transf. Part A Appl. 2001, 39, 21–33. [Google Scholar] [CrossRef]
  20. Dai, W.; Shen, L.; Zhu, T. A stable three-level finite-difference scheme for solving a three-dimensional dual-phase-lagging heat transport equation in spherical coordinates. Numer. Heat Transf. Part B Fundam. 2004, 46, 121–139. [Google Scholar] [CrossRef]
  21. Liu, K.-C.; Cheng, P.-J. Numerical analysis for dual-phase-lag heat conduction in layered films. Numer. Heat Transf. Part A Appl. 2006, 49, 589–606. [Google Scholar] [CrossRef]
  22. Liu, K.-C.; Chen, H.-T. Analysis for the dual-phase-lag bio-heat transfer during magnetic hyperthermia treatment. Int. J. Heat Mass Transf. 2009, 52, 1185–1192. [Google Scholar] [CrossRef]
  23. Antaki, P.J. New interpretation of non-Fourier heat conduction in processed meat. J. Heat Transf. 2005, 127, 189–193. [Google Scholar] [CrossRef]
  24. Mitra, K.; Kumar, S.; Vedevarz, A.; Moallemi, M. Experimental evidence of hyperbolic heat conduction in processed meat. J. Heat Transf. 1995, 117, 568–573. [Google Scholar] [CrossRef]
  25. Liu, K.-C.; Chen, H.-T. Investigation for the dual phase lag behavior of bio-heat transfer. Int. J. Therm. Sci. 2010, 49, 1138–1146. [Google Scholar] [CrossRef]
  26. Liu, K.-C.; Lin, C.-T. Solution of an inverse heat conduction problem in a bi-layered spherical tissue. Numer. Heat Transf. Part A Appl. 2010, 58, 802–818. [Google Scholar] [CrossRef]
  27. Tzou, D.Y.; Dai, W. Thermal lagging in multi-carrier systems. Int. J. Heat Mass Transf. 2009, 52, 1206–1213. [Google Scholar] [CrossRef]
  28. Tzou, D.; Guo, Z.-Y. Nonlocal behavior in thermal lagging. Int. J. Therm. Sci. 2010, 49, 1133–1137. [Google Scholar] [CrossRef]
  29. Tzou, D. Lagging behavior in biological systems. J. Heat Transf. 2012, 134, 051006. [Google Scholar] [CrossRef]
  30. Martirosyan, N.L.; Rutter, E.M.; Ramey, W.L.; Kostelich, E.J.; Kuang, Y.; Preul, M.C. Mathematically modeling the biological properties of gliomas: A review. Math. Biosci. Eng. 2015, 12, 879–905. [Google Scholar] [CrossRef]
  31. Calzado, E.M.; Rodríguez, J.L.G.; Cabrales, L.E.B.; García, F.M.; Castaneda, A.R.S.; Delgado, I.M.G.; Torres, L.M.; Uribazo, F.V.G.; González, M.M.; Brooks, S.C.A. Simulations of the electrostatic field, temperature, and tissue damage generated by multiple electrodes for electrochemical treatment. Appl. Math. Model. 2019, 76, 699–716. [Google Scholar] [CrossRef]
  32. Soba, A.; Suárez, C.; González, M.M.; Cabrales, L.E.B.; Pupo, A.E.B.; Reyes, J.B.; Tassé, J.P.M. Integrated analysis of the potential, electric field, temperature, pH and tissue damage generated by different electrode arrays in a tumor under electrochemical treatment. Math. Comput. Simul. 2018, 146, 160–176. [Google Scholar] [CrossRef]
  33. Aguilera, A.R.; Cabrales, L.E.B.; Ciria, H.M.C.; Pérez, Y.S.; González, F.G.; González, M.M.; Zamora, L.O.; Palencia, F.S.; Salas, M.F.; Bestard, N.R. Electric current density distribution in planar solid tumor and its surrounding healthy tissue generated by an electrode elliptic array used in electrotherapy. Math. Comput. Simul. 2010, 80, 1886–1902. [Google Scholar] [CrossRef]
  34. Luo, C.; Xu, S.; Dai, G.; Xiao, Z.; Chen, L.; Liu, Z. Tumor treating fields for high-grade gliomas. Biomed. Pharmacother. 2020, 127, 110193. [Google Scholar] [CrossRef] [PubMed]
  35. Lashkevych, I.; Velázquez, J.; Titov, O.Y.; Gurevich, Y.G. Special Important Aspects of the Thomson Effect. J. Electron. Mater. 2018, 47, 3189–3192. [Google Scholar] [CrossRef]
  36. Chen, J.; Yan, Z.; Wu, L. The influence of Thomson effect on the maximum power output and maximum efficiency of a thermoelectric generator. J. Appl. Phys. 1996, 79, 8823–8828. [Google Scholar] [CrossRef]
  37. Karimipour, A.; D’Orazio, A.; Goodarzi, M. Develop the lattice Boltzmann method to simulate the slip velocity and temperature domain of buoyancy forces of FMWCNT nanoparticles in water through a micro flow imposed to the specified heat flux. Phys. A Stat. Mech. Appl. 2018, 509, 729–745. [Google Scholar] [CrossRef]
  38. Pordanjani, A.H.; Aghakhani, S.; Karimipour, A.; Afrand, M.; Goodarzi, M. Investigation of free convection heat transfer and entropy generation of nanofluid flow inside a cavity affected by magnetic field and thermal radiation. J. Therm. Anal. Calorim. 2019, 137, 997–1019. [Google Scholar] [CrossRef]
  39. Goodarzi, H.; Akbari, O.A.; Sarafraz, M.M.; Karchegani, M.M.; Safaei, M.R.; Sheikh Shabani, G.A. Numerical simulation of natural convection heat transfer of nanofluid with Cu, MWCNT, and Al2O3 nanoparticles in a cavity with different aspect ratios. J. Therm. Sci. Eng. Appl. 2019, 25, 11. [Google Scholar] [CrossRef]
  40. Zhou, J.; Chen, J.; Zhang, Y. Dual-phase lag effects on thermal damage to biological tissues caused by laser irradiation. Comput. Biol. Med. 2009, 39, 286–293. [Google Scholar] [CrossRef]
  41. Liu, K.-C. Nonlinear behavior of thermal lagging in concentric living tissues with Gaussian distribution source. Int. J. Heat Mass Transf. 2011, 54, 2829–2836. [Google Scholar] [CrossRef]
  42. El-Bary, A.A.; Youssef, H.M.; Omar, M.; Ramadan, K.T. Influence of thermal wave emitted by the cellular devices on the human head. Microsyst. Technol. 2019, 25, 413–422. [Google Scholar] [CrossRef]
  43. Moritz, A.R.; Henriques, F., Jr. Studies of thermal injury: II. The relative importance of time and surface temperature in the causation of cutaneous burns. Am. J. Pathol. 1947, 23, 695–720. [Google Scholar] [PubMed]
  44. Henriques, F., Jr.; Moritz, A. Studies of thermal injury: I. The conduction of heat to and through skin and the temperatures attained therein. A theoretical and an experimental investigation. Am. J. Pathol. 1947, 23, 530–549. [Google Scholar] [PubMed]
  45. Majchrzak, E.; Jasiński, M. Sensitivity analysis of burns integrals. Comput. Assist. Mech. Eng. Sci. 2004, 11, 125–136. [Google Scholar]
  46. Xu, F.; Lu, T. Introduction to Skin Biothermomechanics and Thermal Pain; Springer: Berlin/Heidelberg, Germany, 2011; Volume 7. [Google Scholar]
Figure 1. A tumor is subjected to a thermoelectrical source with voltage V.
Figure 1. A tumor is subjected to a thermoelectrical source with voltage V.
Mathematics 08 01488 g001
Figure 2. The absolute temperature distribution of myxoid liposarcoma tumor with various values of Seebeck coefficient when V = 34 V , R e = 75 Ω , t = 120 s .
Figure 2. The absolute temperature distribution of myxoid liposarcoma tumor with various values of Seebeck coefficient when V = 34 V , R e = 75 Ω , t = 120 s .
Mathematics 08 01488 g002
Figure 3. The absolute temperature distribution of liposarcoma tumor with various values of Seebeck coefficient when V = 78 V , R e = 600 Ω , t = 150 s .
Figure 3. The absolute temperature distribution of liposarcoma tumor with various values of Seebeck coefficient when V = 78 V , R e = 600 Ω , t = 150 s .
Mathematics 08 01488 g003
Figure 4. The absolute temperature distribution of lipoma tumor with various values of Seebeck coefficient when V = 84 V , R e = 1300 Ω , t = 210 s .
Figure 4. The absolute temperature distribution of lipoma tumor with various values of Seebeck coefficient when V = 84 V , R e = 1300 Ω , t = 210 s .
Mathematics 08 01488 g004
Figure 5. The absolute temperature distribution of myxoid liposarcoma tumor with various values of voltage when R e = 75 Ω .
Figure 5. The absolute temperature distribution of myxoid liposarcoma tumor with various values of voltage when R e = 75 Ω .
Mathematics 08 01488 g005
Figure 6. The absolute temperature distribution of liposarcoma tumor with various values of voltage when R e = 600 Ω .
Figure 6. The absolute temperature distribution of liposarcoma tumor with various values of voltage when R e = 600 Ω .
Mathematics 08 01488 g006
Figure 7. The absolute temperature distribution of lipoma tumor with various values of voltage when R e = 1300 Ω .
Figure 7. The absolute temperature distribution of lipoma tumor with various values of voltage when R e = 1300 Ω .
Mathematics 08 01488 g007
Figure 8. The absolute temperature distribution of myxoid liposarcoma tumor with various values of time R e = 75 Ω .
Figure 8. The absolute temperature distribution of myxoid liposarcoma tumor with various values of time R e = 75 Ω .
Mathematics 08 01488 g008
Figure 9. The absolute temperature distribution of liposarcoma tumor with various values of time when R e = 600   Ω .
Figure 9. The absolute temperature distribution of liposarcoma tumor with various values of time when R e = 600   Ω .
Mathematics 08 01488 g009
Figure 10. The absolute temperature distribution of lipoma tumor with various values of time when R e = 1300 Ω .
Figure 10. The absolute temperature distribution of lipoma tumor with various values of time when R e = 1300 Ω .
Mathematics 08 01488 g010
Figure 11. The thermal damage distribution of myxoid liposarcoma tumor with various values of voltage when R e = 75 Ω .
Figure 11. The thermal damage distribution of myxoid liposarcoma tumor with various values of voltage when R e = 75 Ω .
Mathematics 08 01488 g011
Figure 12. The thermal damage distribution of liposarcoma tumor with various values of voltage when R e = 600 Ω .
Figure 12. The thermal damage distribution of liposarcoma tumor with various values of voltage when R e = 600 Ω .
Mathematics 08 01488 g012
Figure 13. The thermal damage distribution of lipoma tumor with various values of voltage when R e = 1300 Ω .
Figure 13. The thermal damage distribution of lipoma tumor with various values of voltage when R e = 1300 Ω .
Mathematics 08 01488 g013
Figure 14. The thermal damage distribution of myxoid liposarcoma tumor with various values of time when R e = 75 Ω .
Figure 14. The thermal damage distribution of myxoid liposarcoma tumor with various values of time when R e = 75 Ω .
Mathematics 08 01488 g014
Figure 15. The thermal damage distribution of liposarcoma tumor with various values of time when R e = 600 Ω .
Figure 15. The thermal damage distribution of liposarcoma tumor with various values of time when R e = 600 Ω .
Mathematics 08 01488 g015
Figure 16. The thermal damage distribution of lipoma tumor with various values of time when R e = 1300 Ω .
Figure 16. The thermal damage distribution of lipoma tumor with various values of time when R e = 1300 Ω .
Mathematics 08 01488 g016
Figure 17. The thermal damage distribution of myxoid liposarcoma tumor with various values of the Seebeck coefficient when R e = 75 Ω .
Figure 17. The thermal damage distribution of myxoid liposarcoma tumor with various values of the Seebeck coefficient when R e = 75 Ω .
Mathematics 08 01488 g017
Figure 18. The thermal damage distribution of liposarcoma tumor with various values of the Seebeck coefficient when R e = 600 Ω .
Figure 18. The thermal damage distribution of liposarcoma tumor with various values of the Seebeck coefficient when R e = 600 Ω .
Mathematics 08 01488 g018
Figure 19. The thermal damage distribution of lipoma tumor with various values of the Seebeck coefficient when R e = 1300 Ω .
Figure 19. The thermal damage distribution of lipoma tumor with various values of the Seebeck coefficient when R e = 1300 Ω .
Mathematics 08 01488 g019
Table 1. Properties of tumor tissue model.
Table 1. Properties of tumor tissue model.
ParameterUnitValueParameterUnitValue
K W / m K 0.778 ρ b C b J / m 3 / K 4.18 × 10 6
ρ kg / m 3 1660T0 ° C 37 °C
C J / kg K 2540 q m W / m 3 29,000
w b m 3 / s / m 3 0.0064 R m0.003
τ q , τ T s20, 10 α V/KAssumed
Table 2. The irreversible thermal damage of myxoid liposarcoma tumor at t = 120 s .
Table 2. The irreversible thermal damage of myxoid liposarcoma tumor at t = 120 s .
Voltage V Distance   r 0 V o l d a m a g e
34 V0.00222 m59.48%
35 V0.00114 m94.51%
36 V r 0 > R 100%
Table 3. The irreversible thermal damage of liposarcoma tumor at t = 150 s .
Table 3. The irreversible thermal damage of liposarcoma tumor at t = 150 s .
Voltage V Distance   r 0 V o l d a m a g e
78 V0.00234 m52.54%
80 V0.00138 m90.27%
82 V r 0 > R 100%
Table 4. The irreversible thermal damage of lipoma tumor at t = 210 s .
Table 4. The irreversible thermal damage of lipoma tumor at t = 210 s .
Voltage V Distance   r 0 V o l d a m a g e
84 V0.00279 m19.56%
86 V0.00195 m72.54%
88 V r 0 > R 100%
Table 5. The irreversible thermal damage of myxoid liposarcoma tumor at and voltage V = 34 V .
Table 5. The irreversible thermal damage of myxoid liposarcoma tumor at and voltage V = 34 V .
Time t Distance   r 0 V o l d a m a g e
120 s0.00222 m59.48%
122 s0.00174 m80.49%
124 s0.00102 m96.07%
Table 6. The irreversible thermal damage of liposarcoma tumor at a voltage V = 78 V .
Table 6. The irreversible thermal damage of liposarcoma tumor at a voltage V = 78 V .
Time t Distance   r 0 V o l d a m a g e
150 s0.00234 m52.54%
154 s0.00144 m88.94%
156 s r 0 > R 100%
Table 7. The irreversible thermal damage of lipoma tumor at a voltage V = 84 V .
Table 7. The irreversible thermal damage of lipoma tumor at a voltage V = 84 V .
Time t Distance   r 0 V o l d a m a g e
210 s0.00249 m19.56%
214 s0.00147 m88.24%
218 s0.00039 m99.78%
Table 8. The irreversible thermal damage of myxoid liposarcoma tumor with various Seebeck coefficients and at voltage V = 34 V and time t = 120 s .
Table 8. The irreversible thermal damage of myxoid liposarcoma tumor with various Seebeck coefficients and at voltage V = 34 V and time t = 120 s .
Seebeck   α Distance   r 0 V o l d a m a g e
0.00 V/K0.00207 m67.15%
30.0 V/K0.00222 m59.48%
60.0 V/K0.00237 m50.70%
Table 9. The irreversible thermal damage of liposarcoma tumor with various Seebeck coefficients and at voltage V = 78 V and time t = 150 s .
Table 9. The irreversible thermal damage of liposarcoma tumor with various Seebeck coefficients and at voltage V = 78 V and time t = 150 s .
Seebeck   α Distance   r 0 V o l d a m a g e
0.00 V/K0.00228 m56.10%
30.0 V/K0.00234 m52.54%
60.0 V/K0.00240 m48.80%
Table 10. The irreversible thermal damage of lipoma tumor with various Seebeck coefficients and at voltage V = 84 V and time t = 210 s .
Table 10. The irreversible thermal damage of lipoma tumor with various Seebeck coefficients and at voltage V = 84 V and time t = 210 s .
Seebeck   α Distance   r 0 V o l d a m a g e
0.00 V/K0.00276 m23.23%
30.0 V/K0.00279 m19.56%
60.0 V/K0.00285 m14.26%

Share and Cite

MDPI and ACS Style

Youssef, H.M.; El-Bary, A.A. Voltage and Time Required for Irreversible Thermal Damage of Tumor Tissues during Electrochemotherapy under Thomson Effect. Mathematics 2020, 8, 1488. https://doi.org/10.3390/math8091488

AMA Style

Youssef HM, El-Bary AA. Voltage and Time Required for Irreversible Thermal Damage of Tumor Tissues during Electrochemotherapy under Thomson Effect. Mathematics. 2020; 8(9):1488. https://doi.org/10.3390/math8091488

Chicago/Turabian Style

Youssef, Hamdy M., and Alaa A. El-Bary. 2020. "Voltage and Time Required for Irreversible Thermal Damage of Tumor Tissues during Electrochemotherapy under Thomson Effect" Mathematics 8, no. 9: 1488. https://doi.org/10.3390/math8091488

APA Style

Youssef, H. M., & El-Bary, A. A. (2020). Voltage and Time Required for Irreversible Thermal Damage of Tumor Tissues during Electrochemotherapy under Thomson Effect. Mathematics, 8(9), 1488. https://doi.org/10.3390/math8091488

Note that from the first issue of 2016, this journal uses article numbers instead of page numbers. See further details here.

Article Metrics

Back to TopTop