Queuing System with Unreliable Servers and Inhomogeneous Intensities for Analyzing the Impact of Non-Stationarity to Performance Measures of Wireless Network under Licensed Shared Access
Abstract
1. Introduction
1.1. Related Works
1.2. Our Contribution
2. Mathematical Model
- the request always waits first in a buffer when the current number of requests in the buffer is less than r;
 - the request’s service then starts when the current number of occupied resource blocks is less than C;
 - the request is blocked otherwise.
 
3. Bounds on the Rates of Convergence
3.1. Bounds’ Defining
3.2. Performance Measures
- The blocking probability , i.e., the probability that a new user’s request will be dropped:
 - The average number of requests in the queue , i.e., the number of requests awaiting in the buffer when the service will be started:
 - The average queue length, when the LSA band is operational , i.e., the number of requests waiting when the current number of occupied resource blocks will be less than C:
 - The average queue length, when the LSA band is unavailable , i.e., the number of requests waiting when devices will be ON and the current number of occupied resource blocks will be less than C:
 - The resource utilization factor, , is given by:
 
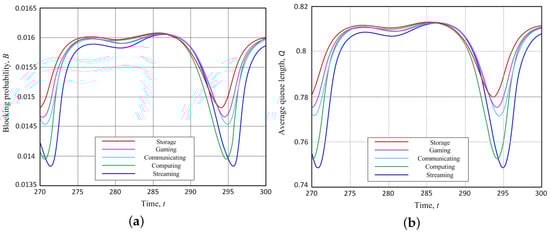
4. Numerical Analysis
5. Conclusions
Author Contributions
Funding
Conflicts of Interest
References
- Cisco Visual Networking Index: Global Mobile Data Traffic Forecast Update, 2017–2022 White Paper; Cisco: San Jose, CA, USA, 2019.
 - Laya, A.; Alonso, L.; Alonso-Zarate, J. Is the Random Access Channel of LTE and LTE-A Suitable for M2M Communications? A Survey of Alternatives. IEEE Commun. Surv. Tutor. 2014, 16, 4–16. [Google Scholar] [CrossRef]
 - Ali, M.S.; Hossain, E.; Kim, D.I. LTE/LTE-A random access for massive machine-type communications in smart cities. IEEE Commun. Mag. 2017, 55, 76–83. [Google Scholar] [CrossRef]
 - Afzal, M.K.; Zikria, Y.B.; Mumtaz, S.; Rayes, A.; Al-Dulaimi, A.; Guizani, M. Unlocking 5G Spectrum Potential for Intelligent IoT: Opportunities, Challenges, and Solutions. IEEE Commun. Mag. 2018, 56, 92–93. [Google Scholar] [CrossRef]
 - ITU-R M.2083: IMT Vision—Framework and Overall Objectives of the Future Development of IMT for 2020 and Beyond; ITU: Geneva, Switzerland, 2015.
 - Bajracharya, R.; Shrestha, R.; Zikria, Y.B.; Kim, S.W. LTE in the Unlicensed Spectrum: A Survey. IETE Tech. Rev. 2016, 35, 78–90. [Google Scholar] [CrossRef]
 - Onidare, S.; Navaie, K.; Ni, Q. On the Spectrum and Energy Efficiency in Dynamic Licensed Shared Access Systems: A Multiobjective Optimization Approach. IEEE Access 2019, 7, 164517–164532. [Google Scholar] [CrossRef]
 - Maule, M.; Moltchanov, D.; Kustarev, P.; Komarov, M.; Andreev, S.; Koucheryavy, Y. Delivering Fairness and QoS Guarantees for LTE/Wi-Fi Coexistence under LAA Operation. IEEE Access 2018, 6, 7359–7373. [Google Scholar] [CrossRef]
 - Basaure, A.; Sridhar, V.; Hämmäinen, H. Adoption of dynamic spectrum access technologies: a system dynamics37approach. Telecommun. Syst. 2016, 63, 169–190. [Google Scholar] [CrossRef]
 - ETSI TS 103 379: Reconfigurable Radio Systems (RRS); Information Elements and Protocols for the Interface between LSA Controller (LC) and LSA Repository (LR) for Operation of Licensed Shared Access (LSA) in the 2300 MHz—2400 MHz Band; ETSI: Valbonne, France, 2017.
 - Adou, K.Y.; Markova, E.V.; Gudkova, I.A. Approximate Product Form Solution for Performance Analysis of Wireless Network with Dynamic Power Control Policy. Lect. Notes Comput. Sci. 2019, 11965, 379–390. [Google Scholar]
 - Yu, C.-M.; Tala’t, M.; Shen, L.-H.; Feng, K.-T. A Multi-objective Model Checking for Transmission Policy Optimization in Hybrid Powered Small Cell Networks. IEEE Access 2020, 8, 71339–71352. [Google Scholar] [CrossRef]
 - Yu, C.-M.; Tala’t, M.; Feng, K.-T. On hybrid energy utilization for harvesting base station in 5G networks. Energy Sci. Eng. 2019, 8, 768–778. [Google Scholar] [CrossRef]
 - Hu, C.; Dong, Y. Age of information of two-way data exchanging systems with power-splitting. J. Commun. Netw. 2019, 21, 295–306. [Google Scholar] [CrossRef]
 - Moltafet, M.; Leinonen, M.; Codreanu, M.; Pappas, N. Power Minimization in Wireless Sensor Networks with Constrained AoI Using Stochastic Optimization. In Proceedings of the 53rd Asilomar Conference on Signals, Systems, and Computers (ACSSC 2019), Pacific Grove, CA, USA, 3–6 November 2019; pp. 406–410. [Google Scholar]
 - Markova, E.; Moltchanov, D.; Gudkova, I.; Samouylov, K.; Koucheryavy, Y. Performance Assessment of QoS-Aware LTE Sessions Offloading onto LAA/WiFi Systems. IEEE Access 2019, 7, 36300–36311. [Google Scholar] [CrossRef]
 - Premsankar, G.; Ghaddar, B.; Slabicki, M.; Francesco, M. Optimal configuration of LoRa networks in smart cities. IEEE Trans. Ind. Inform. 2020. [Google Scholar] [CrossRef]
 - Garbiso, J.; Diaconescu, A.; Coupechoux, M.; Leroy, B. Fair Self-Adaptive Clustering for Hybrid Cellular-Vehicular Networks. IEEE Trans. Intell. Transp. Syst. 2019, 1–12. [Google Scholar] [CrossRef]
 - Kassem, M.M.; Marina, M.K. Future wireless spectrum below 6 GHz: A UK perspective. In Proceedings of the IEEE International Symposium on Dynamic Spectrum Access Networks (DySPAN 2015), Stockholm, Sweden, 29 September–2 October 2015; pp. 59–70. [Google Scholar]
 - Ojaniemi, J.; Kokkinen, H.; Kivinen, A.; Agapiou, G.; Perdikouris, S.; Hoxha, A.; Kliks, A. Coexistence of LTE Networks Under LSA Paradigm in 2.6 GHz Band. In Proceedings of the 13th EAI International Conference on Cognitive Radio Oriented Wireless Networks (CROWNCOM 2018), Ghent, Belgium, 18–20 September 2018; pp. 119–132. [Google Scholar]
 - Höyhtyä, M.; Majanen, M.; Hoppari, M.; Järvensivu, P.; Kokkinen, H.; Ojaniemi, J.; Pellay, O.; Minh, D. Licensed shared access testbed for integrated satellite-terrestrial communications: The ASCENT project. In Proceedings of the 37th International Communications Satellite Systems Conference (ICSSC 2019), Naha, Japan, 29 October–1 November 2019; pp. 1–7. [Google Scholar]
 - Lähetkangas, K.; Posti, H.; Saarnisaari, H.; Hulkkonen, A. LSA System Development with Sensing for Rapidly Deployable LTE Network. In Proceedings of the 13th EAI International Conference on Cognitive Radio Oriented Wireless Networks (CROWNCOM 2018), Ghent, Belgium, 18–20 September 2018; pp. 143–153. [Google Scholar]
 - Wang, H.; Dutkiewicz, E.; Fang, G.; Mueck, M.D. Framework of joint auction and mixed graph for Licensed Shared Access systems. In Proceedings of the IEEE International Symposium on Dynamic Spectrum Access Networks (DySPAN 2015), Stockholm, Sweden, 29 September–2 October 2015; pp. 154–163. [Google Scholar]
 - Wang, H.; Dutkiewicz, E.; Fang, G.; Mueck, M.D. Spectrum sharing based on truthful auction in licensed shared access systems. In Proceedings of the IEEE 82nd Vehicular Technology Conference (VTC2015-Fall), Boston, MA, USA, 6–9 September 2015; pp. 1–5. [Google Scholar]
 - Raschell‘a, A.; Militano, L.; Araniti, G.; Orsino, A.; Iera, A. Cognitive Management Strategies for Dynamic Spectrum Access. In Handbook of Cognitive Radio; Zhang, W., Ed.; Springer: Singapore, 2017; pp. 1–35. [Google Scholar]
 - Ngo, K.; Hoppari, M.; Suomalainen, J.; Höyhtyä, M. Distributed LSA Controller for Public Safety Communications. In Proceedings of the IEEE 4th International Conference on Computer and Communications (ICCC 2018), Chengdu, China, 7–10 December 2018; pp. 1134–1138. [Google Scholar]
 - Tuukkanen, T.; Kokkinen, H.; Yrjola, S.; Ojaniemi, J.; Kivinen, A.; Jokela, T. Demonstration of Shared Spectrum Access of Different User Groups. In Proceedings of the 13th EAI International Conference on Cognitive Radio Oriented Wireless Networks (CROWNCOM 2018), Ghent, Belgium, 18–20 September 2018; pp. 36–45. [Google Scholar]
 - Yrjola, S.; Tuukkanen, T.; Kokkinen, H.; Ojaniemi, J.; Kivinen, A.; Paavola, J. Results of the Demonstration of Shared Spectrum Access of Different User Groups and Changing Priorities. In Proceedings of the Wireless Innovation Forum Conference on Wireless Communication Technologies and Software Defined Radio (WInnComm 2018), Melbourne, FL, USA, 15–16 November 2018; pp. 17–25. [Google Scholar]
 - Gudkova, I.; Samouylov, K.; Ostrikova, D.; Mokrov, E.; Ponomarenko-Timofeev, A.; Andreev, S.; Koucheryavy, Y. Service failure and interruption probability analysis for Licensed Shared Access regulatory framework. In Proceedings of the 7th International Congress on Ultra Modern Telecommunications and Control Systems and Workshops (ICUMT 2015), Brno, Czech Republic, 6–8 October 2015; pp. 123–131. [Google Scholar]
 - Gnedenko, B.; Soloviev, A. On the conditions of the existence of final probabilities for a Markov process. Math. Oper. Statist 1973, 4, 379–390. [Google Scholar]
 - Di Crescenzo, A.; Giorno, V.; Kumar, B.K.; Nobile, A. A Time-Non-Homogeneous Double-Ended Queue with Failures and Repairs and Its Continuous Approximation. Mathematics 2018, 6, 81. [Google Scholar] [CrossRef]
 - Schwarz, J.; Selinka, G.; Stolletz, R. Performance analysis of time-dependent queueing systems: Survey and classification. Omega 2016, 63, 170–189. [Google Scholar] [CrossRef]
 - Satin, Y.; Zeifman, A.; Sipin, A.; Ammar, S.I.; Sztrik, J. On Probability Characteristics for a Class of Queueing Models with Impatient Customers. Mathematics 2016, 8, 594. [Google Scholar] [CrossRef]
 - Zeifman, A.; Satin, Y.; Kiseleva, K.; Korolev, V.; Panfilova, T. On limiting characteristics for a non-stationary two-processor heterogeneous system. Appl. Math. Comput. 2019, 351, 48–65. [Google Scholar] [CrossRef]
 - Gudkova, I.; Korotysheva, A.; Zeifman, A.I.; Shilova, G.; Korolev, V.; Shorgin, S.; Razumchik, R. Modeling and analyzing licensed shared access operation for 5G network as an inhomogeneous queue with catastrophes. In Proceedings of the 8th International Congress on Ultra Modern Telecommunications and Control Systems (ICUMT-2016), Lisbon, Portugal, 18–20 October 2016; pp. 336–341. [Google Scholar]
 - Zeifman, A.I.; Korotysheva, A.V.; Razumchik, R.; Korolev, V.Y.; Shorgin, S.Y. Some Results for Inhomogeneous Birth-and-Death Process with Application to Staffing Problem in Telecommunication Service Systems. In Proceedings of the 7th International Congress on Ultra Modern Telecommunications and Control Systems (ICUMT-2015), Brno, Czech Republic, 6–8 October 2015; pp. 243–246. [Google Scholar]
 - Di Mauro, M.; Liotta, A. Statistical Assessment of IP Multimedia Subsystem in a Softwarized Environment: A Queueing Networks Approach. IEEE Trans. Netw. Serv. Manag. 2019, 16, 1493–1506. [Google Scholar] [CrossRef]
 - Du, X.; Sun, Y.; Shroff, N.; Sabharwal, A. Balancing Queueing and Retransmission: Latency-Optimal Massive MIMO Design. IEEE Trans. Wirel. Commun. 2020, 19, 2293–2307. [Google Scholar] [CrossRef]
 - Rappaport, T. Wireless Communications: Principles and Practice, 2nd ed.; Prentice Hall: Upper Saddle River, NJ, USA, 2002. [Google Scholar]
 - Laya, A.; Alonso, L.; Alonso-Zarate, J.; Dohler, M. Green MTC, M2M, Internet of Things. In Green Communications: Principles, Concepts and Practice; Samdanis, K., Rost, P., Maeder, A., Meo, M., Verikoukis, C., Eds.; Wiley: Chichester, UK, 2015; pp. 217–236. [Google Scholar]
 - Seo, H.; Lee, K.-D.; Yasukawa, S.; Peng, Y.; Sartori, P. LTE Evolution for Vehicle-to-Everything Services. IEEE Commun. Mag. 2016, 54, 22–28. [Google Scholar] [CrossRef]
 - ITU-R M.2370: IMT Traffic Estimates for the Years 2020 to 2030; ITU: Geneva, Switzerland, 2015.
 





| Hours | Application Traffic (%) | ||||
|---|---|---|---|---|---|
| Streaming | Computing | Storage | Gaming | Communicating | |
| 12:00 a.m. | 58.15217 | 54.97835 | 57.86164 | 57.73381 | 57.54098 | 
| 01:00 a.m. | 34.78261 | 33.11688 | 38.57442 | 36.33094 | 36.06557 | 
| 02:00 a.m. | 21.19565 | 20.12987 | 27.67296 | 25.35971 | 24.7541 | 
| 03:00 a.m. | 15.48913 | 15.15152 | 24.73795 | 22.30216 | 21.31148 | 
| 04:00 a.m. | 12.22826 | 12.55411 | 23.68973 | 21.22302 | 20 | 
| 05:00 a.m. | 12.5 | 14.06926 | 25.78616 | 23.20144 | 21.63934 | 
| 06:00 a.m. | 19.29348 | 23.80952 | 35.63941 | 32.73381 | 30.32787 | 
| 07:00 a.m. | 41.57609 | 48.2684 | 59.32914 | 57.19424 | 52.62295 | 
| 08:00 a.m. | 55.16304 | 64.50216 | 74.00419 | 74.10072 | 68.68852 | 
| 09:00 a.m. | 57.06522 | 68.61472 | 76.72956 | 75.35971 | 71.63934 | 
| 10:00 a.m. | 61.95652 | 74.24242 | 80.92243 | 76.61871 | 75.2459 | 
| 11:00 a.m. | 63.58696 | 76.40693 | 82.18029 | 75.89928 | 76.22951 | 
| 12:00 p.m. | 63.8587 | 76.83983 | 81.97065 | 74.82014 | 75.7377 | 
| 01:00 p.m. | 65.21739 | 77.92208 | 82.38994 | 75.17986 | 75.57377 | 
| 02:00 p.m. | 66.57609 | 79.43723 | 83.43816 | 76.07914 | 76.22951 | 
| 03:00 p.m. | 67.3913 | 80.95238 | 84.48637 | 76.97842 | 76.55738 | 
| 04:00 p.m. | 67.66304 | 81.38528 | 84.90566 | 77.69784 | 76.55738 | 
| 05:00 p.m. | 72.01087 | 84.19913 | 87.21174 | 80.7554 | 79.5082 | 
| 06:00 p.m. | 75.54348 | 85.28139 | 88.05031 | 82.3741 | 81.14754 | 
| 07:00 p.m. | 82.06522 | 88.52814 | 90.56604 | 85.61151 | 84.09836 | 
| 08:00 p.m. | 90.21739 | 93.72294 | 94.54927 | 90.64748 | 90.16393 | 
| 09:00 p.m. | 100 | 100 | 100 | 100 | 100 | 
| 10:00 p.m. | 98.36957 | 95.88745 | 95.59748 | 99.64029 | 99.01639 | 
| 11:00 p.m. | 83.42391 | 79.22078 | 79.87421 | 83.63309 | 82.29508 | 
| Notation | Value | 
|---|---|
| C | 30 | 
| r | 50 | 
| 1200, 1800 s | |
| 20 s | |
| 0.1 s | 
| w | |||||
|---|---|---|---|---|---|
| Streaming traffic | |||||
| 57.78 | −5.188 | −29.19 | 3.973 | −20.11 | 0.2601 | 
| Computing traffic | |||||
| 63.72 | −13.39 | −30.77 | 3.483 | −19.45 | 0.2605 | 
| Storage traffic | |||||
| 69.18 | −14.16 | −25.95 | 1.884 | −18.02 | 0.2605 | 
| Gaming traffic | |||||
| v 65.92 | −11.25 | −24.58 | 1.679 | −20.26 | 0.2601 | 
| Communicating traffic | |||||
| 64.71 | −11.1 | −25.62 | 2.983 | −19.66 | 0.26 | 
© 2020 by the authors. Licensee MDPI, Basel, Switzerland. This article is an open access article distributed under the terms and conditions of the Creative Commons Attribution (CC BY) license (http://creativecommons.org/licenses/by/4.0/).
Share and Cite
Markova, E.; Satin, Y.; Kochetkova, I.; Zeifman, A.; Sinitcina, A. Queuing System with Unreliable Servers and Inhomogeneous Intensities for Analyzing the Impact of Non-Stationarity to Performance Measures of Wireless Network under Licensed Shared Access. Mathematics 2020, 8, 800. https://doi.org/10.3390/math8050800
Markova E, Satin Y, Kochetkova I, Zeifman A, Sinitcina A. Queuing System with Unreliable Servers and Inhomogeneous Intensities for Analyzing the Impact of Non-Stationarity to Performance Measures of Wireless Network under Licensed Shared Access. Mathematics. 2020; 8(5):800. https://doi.org/10.3390/math8050800
Chicago/Turabian StyleMarkova, Ekaterina, Yacov Satin, Irina Kochetkova, Alexander Zeifman, and Anna Sinitcina. 2020. "Queuing System with Unreliable Servers and Inhomogeneous Intensities for Analyzing the Impact of Non-Stationarity to Performance Measures of Wireless Network under Licensed Shared Access" Mathematics 8, no. 5: 800. https://doi.org/10.3390/math8050800
APA StyleMarkova, E., Satin, Y., Kochetkova, I., Zeifman, A., & Sinitcina, A. (2020). Queuing System with Unreliable Servers and Inhomogeneous Intensities for Analyzing the Impact of Non-Stationarity to Performance Measures of Wireless Network under Licensed Shared Access. Mathematics, 8(5), 800. https://doi.org/10.3390/math8050800
        
