Impact of Heat Generation on Magneto-Nanofluid Free Convection Flow about Sphere in the Plume Region
Abstract
1. Introduction
2. Statement of the Problem and Mathematical Formulation
3. Method of Solution
4. Computational Scheme
5. Governing Equations for Plume Region
Solution Methodology
6. Analysis of the Results
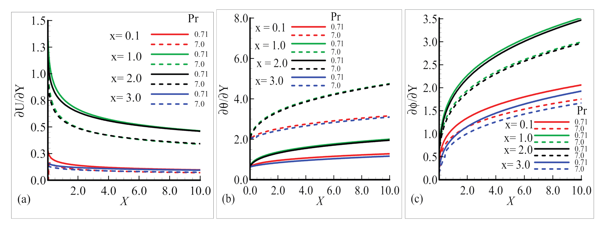
6.1. Fluxes and Boundary Layers on the Sphere
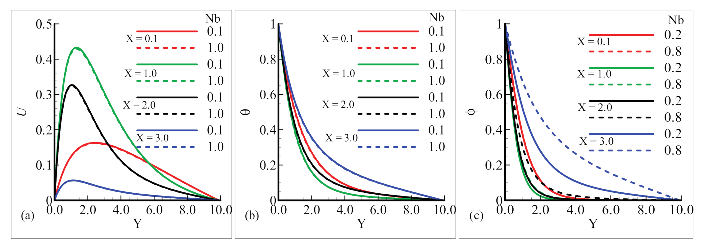
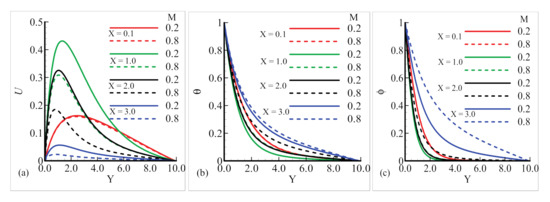
6.2. Fluxes and Boundary Layers in the Plume Region
7. Conclusions
- The Schmidt number exerted a noticeable influence on the heat and fluid flow mechanism around the surface of the sphere and in the plume region in terms of velocity profile, temperature profile, and mass concentration.
- It was found that, under the action of diverse values of magnetic field parameter, the velocity of fluid slows down as the magnetic field parameter increased from 0.2 to 0.8, while on the other hand, the temperature profile and mass concentration became smaller in magnitude for the same values of the parameters and positions.
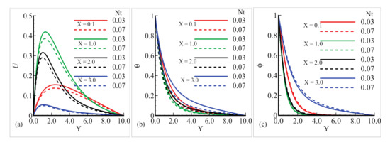
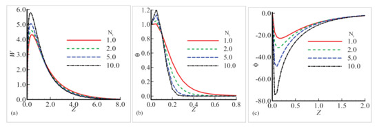
- The effect of thermophoresis parameter Nt cannot be neglected, as due to an increase in the magnitude of this parameter, the velocity profile is maximum at position X = 1.0, while the heat and mass transfer are reduced at the same position.
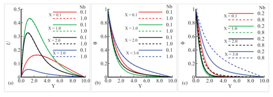
- The variation in the Brownian motion parameter Nb results in distinct changes in the thermal and flow field, depending on different positions around the surface of the sphere and in the plume region. The Brownian motion demonstrated its increasing effect for velocity at position X = 1.0, and dominated at the same position for temperature distribution and mass concentration.
- The graphs sketched in the plume region for many values of magnetic field parameter M show that the flow velocity and nanoparticles volume fraction rise, but no difference is found in the temperature field. The numerical solution obtained around the sphere reflects the influence of the magnetic field parameter on the aforementioned material properties, i.e., increasing the values of the magnetic field parameter.
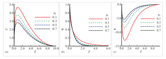
- The Prandtl number Pr largely effects the fluid and thermal characteristics in the prescribed domain of study.
- From the obtained results of velocity profile, temperature distribution, and mass concentration around the sphere and within the plume region, it is observed that all the results are satisfied by the subjected boundary conditions.
Author Contributions
Funding
Conflicts of Interest
Abbreviations
| Dimensioned velocity component in direction | |
| Dimensioned velocity component in direction | |
| Dimensioned velocity component in direction | |
| Dimensioned axes along and normal to the surface of a sphere | |
| Measured radially from the plume axis | |
| Primitive variable for velocity component in direction | |
| Primitive variable for velocity component in direction | |
| Gravitational acceleration | |
| Fluid temperature in boundary layer | |
| Mass concentration in boundary layer | |
| Specific heat at constant pressure | |
| The radius of a sphere | |
| Dimensioned radial distance from the symmetric axis to the surface of a sphere | |
| Mass diffusion cefficient | |
| Greek Symbols | |
| Volumetric coefficient thermal expansion | |
| Thermophoretic diffusion coefficient | |
| Volumetric coefficient concentration expansion | |
| Thermal diffusivity | |
| Dimensionless temperature | |
| Dimensionless mass concentration | |
| Dynamic viscosity | |
| Density of the particle | |
| Kinematic viscosity | |
| Fluid density | |
| Thermal conductivity | |
| Subscripts | |
| Ambient conditions | |
| Wall conditions | |
References
- Sparrow, E.M.; Cess, R.D. The effect of the magnetic field on free convection heat transfer. Int. J. Heat Mass Transfer. 1961, 3, 267–274. [Google Scholar]
- Potter, J.M.; Riley, N. Free convection from a heated sphere at large Grashof number. J. Fluid Mech. 1980, 100, 769–783. [Google Scholar] [CrossRef]
- Riley, N. The heat transfer from a sphere in free convective flow. Comput. Fluids. 1986, 14, 225–237. [Google Scholar]
- Andersson, H.I. MHD flow of a viscoelastic fluid past a stretching surface. ActaMechanica 1992, 95, 227–230. [Google Scholar]
- Choi, S.U.S.; Eastman, J.A. Enhancing Thermal Conductivity of Fluids with Nanoparticles; Argonne National Lab.: DuPage County, IL, USA, 1995. Available online: https://www.osti.gov/servlets/purl/196525 (accessed on 20 October 2020).
- Adesanya, S.O.; Falade, J.A. Hydrodynamic stability analysis for variable viscous fluid flow through a porous medium. Int. J. Differ. Equ. 2014, 13, 219–230. [Google Scholar]
- El-Kabeir, S.M.M.; Rashad, A.M.; Gorla, R.S.R. Unsteady MHD combined convection over a moving vertical sheet in a fluid saturated porous medium with uniform surface heat flux. Math. Comp. Model 2007, 46, 384–397. [Google Scholar] [CrossRef]
- Chamkha, A.J.; Aly, A.M. MHD free convection flow of a nanofluid past a vertical plate in the presence of heat generation or absorption effects. Chem. Eng. Commun. 2010, 198, 425–441. [Google Scholar]
- Kuznetsov, A.V.; Nield, D.A. Double-diffusive natural convective boundary-layer flow of nanofluids past a vertical plate. Int. J. Therm. Sci. 2011, 50, 712–717. [Google Scholar]
- Rosmila, A.B.; Kandasamy, R.; Muhaimin, I. Lie symmetry group transformation for MHD natural convection flow of nanofluid over linearly porous stretching sheet in presence of thermal stratification. Appl. Math. Mech. 2012, 33, 593–604. [Google Scholar] [CrossRef]
- Uddin, M.J.; Khan, W.A.; Ismail, A.I. MHD free convective boundary layer flow of a nanofluid past a flat vertical plate with Newtonian heating boundary condition. PLoS ONE 2012, 7, e49499. [Google Scholar]
- Gangadhar, K.; Reddy, B. Chemically reacting MHD boundary layer flow of heat and mass transfer over a moving vertical plate in a porous medium with suction. J. Appl. Fluid Mech. 2013, 6, 107–114. [Google Scholar]
- Makinde, O.D.; Khan, W.A.; Khan, Z.H. Buoyancy effects on MHD stagnation point flow and heat transfer of a nanofluid past a convectively heated stretching/shrinking sheet. Int. J. Heat Mass Transfer. 2013, 62, 526–533. [Google Scholar] [CrossRef]
- Olanrewaju, A.M.; Makinde, O.D. On boundary layer stagnation point flow of a nanofluid over a permeable flat surface with Newtonian heating. Chem. Eng. Commun. 2013, 200, 836–852. [Google Scholar] [CrossRef]
- Chamkha, A.J.; Jena, S.K.; Mahapatra, S.K. MHD convection of nanofluids: A review. J. Nanofluids 2015, 4, 271–292. [Google Scholar] [CrossRef]
- Zaimi, K.; Ishak, A. Stagnation-point flow towards a stretching vertical sheet with slip effects. Mathematics 2016, 4, 27. [Google Scholar] [CrossRef]
- Itu, C.; Öchsner, A.; Vlase, S.; Marin, M.I. Improved rigidity of composite circular plates through radial ribs. Proc. Inst. Mech. Eng., Part L J. Mater. Des. Appl. 2019, 233, 1585–1593. [Google Scholar] [CrossRef]
- Ashraf, M.; Khan, A.; Gorla, R.S.R. Natural convection boundary layer flow of nanofluids around different stations of the sphere and into the plume above the sphere. Heat Transf. Asian Res. 2019, 48, 1127–1148. [Google Scholar] [CrossRef]
- Sheikholeslami, M.; Abelman, S.; Ganji, D.D. Numerical simulation of MHD nanofluid flow and heat transfer considering viscous dissipation. Int. J. Heat Mass Transf. 2014, 79, 212–222. [Google Scholar] [CrossRef]
- Qureshi, M.Z.A.; Rubbab, Q.; Irshad, S.; Ahmad, S.; Aqeel, M. Heat and mass transfer analysis of mhd nanofluid flow with radiative heat effects in the presence of spherical au-metallic nanoparticles. Nanoscale Res. Lett. 2016, 11, 472. [Google Scholar] [CrossRef]
- Myers, T.G.; Ribera, H.; Cregan, V. Does mathematics contribute to the nanofluid debate? Int. J. Heat Mass Transf. 2017, 111, 279–288. [Google Scholar] [CrossRef]
- Tlili, I.; Khan, W.A.; Ramadan, K. MHD flow of nanofluid flow across horizontal circular cylinder: Steady forced convection. J. Nanofluids 2019, 8, 179–186. [Google Scholar] [CrossRef]
- Khan, W.A.; Rashad, A.M.; Abdou, M.M.M.; Tlili, I. Natural bioconvection flow of a nanofluid containing gyrotactic microorganisms about a truncated cone. Eur. J. Mech.-B/Fluids 2019, 75, 133–142. [Google Scholar] [CrossRef]
- Parida, S.K.; Mishra, S.R. Heat and mass transfer of MHD stretched nanofluids in the presence of chemical reaction. J. Nanofluids 2019, 8, 143–149. [Google Scholar] [CrossRef]
- Khan, I.; Alqahtani, A.M. MHD nanofluids in a permeable channel with porosity. Symmetry 2019, 11, 378. [Google Scholar] [CrossRef]















| Nb = 0.1 | Nb = 1.0 | Nb = 0.1 | Nb = 1.0 | Nb = 0.1 | Nb = 1.0 | |
|---|---|---|---|---|---|---|
| 0.1 | 0.28019 | 0.27897 | 0.65136 | 0.66346 | 0.39999 | 0.40399 |
| 1.0 | 1.34747 | 1.34216 | 0.70666 | 0.72635 | 0.67801 | 0.68116 |
| 2.0 | 1.16031 | 1.15575 | 0.68683 | 0.70445 | 0.61784 | 0.62109 |
| 3.0 | 0.16315 | 0.16272 | 0.63540 | 0.64245 | 0.23270 | 0.23778 |
| M = 0.2 | M = 0.8 | M = 0.2 | M = 0.8 | M = 0.2 | M = 0.8 | |
|---|---|---|---|---|---|---|
| 0.1 | 0.27951 | 0.27693 | 0.65533 | 0.65499 | 0.40432 | 0.40164 |
| 1.0 | 1.34503 | 1.08100 | 0.71309 | 0.68896 | 0.68082 | 0.60477 |
| 2.0 | 1.15823 | 0.57759 | 0.69259 | 0.66098 | 0.62072 | 0.45414 |
| 3.0 | 0.16290 | 0.09249 | 0.63772 | 0.63199 | 0.23703 | 0.15057 |
| Q = 0.1 | Q = 0.5 | Q = 0.1 | Q = 0.5 | Q = 0.1 | Q = 0.5 | |
|---|---|---|---|---|---|---|
| 0.1 | 0.27647 | 0.27777 | 0.69830 | 0.67952 | 0.40154 | 0.40235 |
| 1.0 | 1.33468 | 1.33918 | 0.75128 | 0.73451 | 0.67824 | 0.67935 |
| 2.0 | 1.14874 | 1.15285 | 0.73271 | 0.71513 | 0.61789 | 0.61911 |
| 3.0 | 0.16161 | 0.16216 | 0.68246 | 0.66294 | 0.23523 | 0.23600 |
| Sc = 0.3 | Sc = 0.7 | Sc = 0.3 | Sc = 0.7 | Sc = 0.3 | Sc = 0.7 | |
|---|---|---|---|---|---|---|
| 0.1 | 0.29190 | 0.28399 | 0.65416 | 0.65502 | 0.24685 | 0.34990 |
| 1.0 | 1.42701 | 1.37282 | 0.71728 | 0.71439 | 0.42843 | 0.59370 |
| 2.0 | 1.23893 | 1.18350 | 0.69594 | 0.69366 | 0.37666 | 0.53863 |
| 3.0 | 0.16793 | 0.16482 | 0.63709 | 0.63748 | 0.14962 | 0.20333 |
Publisher’s Note: MDPI stays neutral with regard to jurisdictional claims in published maps and institutional affiliations. |
© 2020 by the authors. Licensee MDPI, Basel, Switzerland. This article is an open access article distributed under the terms and conditions of the Creative Commons Attribution (CC BY) license (http://creativecommons.org/licenses/by/4.0/).
Share and Cite
Khan, A.; Ashraf, M.; Rashad, A.M.; Nabwey, H.A. Impact of Heat Generation on Magneto-Nanofluid Free Convection Flow about Sphere in the Plume Region. Mathematics 2020, 8, 2010. https://doi.org/10.3390/math8112010
Khan A, Ashraf M, Rashad AM, Nabwey HA. Impact of Heat Generation on Magneto-Nanofluid Free Convection Flow about Sphere in the Plume Region. Mathematics. 2020; 8(11):2010. https://doi.org/10.3390/math8112010
Chicago/Turabian StyleKhan, Anwar, Muhammad Ashraf, Ahmed M. Rashad, and Hossam A. Nabwey. 2020. "Impact of Heat Generation on Magneto-Nanofluid Free Convection Flow about Sphere in the Plume Region" Mathematics 8, no. 11: 2010. https://doi.org/10.3390/math8112010
APA StyleKhan, A., Ashraf, M., Rashad, A. M., & Nabwey, H. A. (2020). Impact of Heat Generation on Magneto-Nanofluid Free Convection Flow about Sphere in the Plume Region. Mathematics, 8(11), 2010. https://doi.org/10.3390/math8112010

