Reliability Evaluation for a Stochastic Flow Network Based on Upper and Lower Boundary Vectors
Abstract
:1. Introduction
2. SFN Model with SFN Reliability
2.1. Assumptions
2.2. Nomenclature
| X ≤ Y | (x1: x2, …, xn) ≤ (y1, y2, …, yn): xi ≤ yi for each i = 1, 2, …, n. |
| X < Y | (x1, x2, …, xn) < (y1, y2, …, yn): X ≤ Y and xi < yi for at least one i. |
| XY | (x1, x2, …, xn) (y1, y2, …, yn): neither X ≥ Y nor X < Y. |
3. SFN Reliability Evaluation
3.1. Simplified Subsets for SFN Reliability
3.2. Evaluation RG in Terms of the Inclusion-Exclusion Principle
3.3. Heuristic Rules for the Shared Boundary Point
4. Proposed Algorithm to Evaluate SFN Reliability
| Algorithm 1a. |
| Input: all and |
| Set η = True and RG = 0 //η is a flag for either Equation (11) or Equation (14). |
| IF || ≤ || //Apply Equation (11) to calculate RG (Option 1) |
| FOR p = 1 to m |
| Set Rp = 0 //temporary reliability |
| FOR each combination with p Sj: where θ1 < θ2 < …< θp |
| Set = ↓ ↓ …↓ . // generate a shared upper boundary point. |
| Calculate |
| = Pr() by using the improved recursive sum of disjoint products [14]. |
| Rp ← Rp + |
| END FOR |
| IF η == True |
| RG ← RG + Rp |
| Else |
| RG ← RG − Rp |
| η ← !η //reverse the flag. |
| END FOR |
| ELSE || ≥ || //Apply Equation (14) to calculate RG (Option 2) |
| FOR p = 1 to n |
| Set Rp = 0 //temporary reliability |
| FOR each combination with n Pj: where θ1 < θ2 < …< θp |
| Set = ↑ ↑ …↑ . // generate a shared lower boundary point. |
| Calculate |
| = Pr() by using the improved recursive sum of disjoint products [14]. |
| Rp ← Rp + |
| END FOR |
| IF η == True |
| RG ← RG + Rp |
| Else |
| RG ← RG − Rp |
| η ← !η //reverse the flag. |
| END FOR |
| Output: RG |
5. An Numerical Example
| Algorithm 1b. |
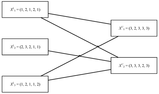
| Input: all and : = (1, 2, 1, 2, 1), = (2, 3, 2, 1, 1), = (1, 2, 1, 1, 2), and = (3, 2, 3, 3, 3) and = (3, 3, 3, 2, 3). |
| Set η = True and RG = 0. |
| Since the condition || ≤ || is true, apply Equation (11) to calculate RG. |
| Set R1 = 0. |
| FORS1 |
| Set = = (3, 2, 3, 3, 3). |
| From the relationship, , , . |
| Pr(S1) = Pr() = 0.8457. |
| R1 ← R1 + Pr(S1) = 0.8457 |
| FORS2 |
| Set = = (3, 3, 3, 2, 3). |
| From the relationship, , , . |
| Pr(S2) = Pr() = 0.7555. |
| R1 ← R1 + Pr(S2) = 1.6013 |
| END FOR |
| RG ← RG + R1 = 1.6013 |
| η = False //reverse the flag. |
| FOR p = 2 //the second term |
| Set R2 = 0. |
| FOR S1, S2 //the first combination with two Sj |
| Set = ↓ = (3, 2, 3, 2, 3). |
| From the relationships, , , and , , . Pr(S1 ∩ S2) = Pr() = 0.6757. |
| R2 ← R2 + Pr(S1 ∩ S2) = 0.6757 |
| END FOR |
| RG ← RG − R2 = 0.9255 |
| I = True //reverse the flag. |
| Output: RG = 0.9255 |
6. Case Study
7. Conclusions
Author Contributions
Funding
Conflicts of Interest
References
- Yeh, W.C.; Chu, T.C. A novel multi-distribution multi-state flow network and its reliability optimization problem. Reliab. Eng. Syst. Saf. 2018, 176, 209–217. [Google Scholar] [CrossRef]
- Huang, C.F. Evaluation of system reliability for a stochastic delivery-flow distribution network with inventory. Ann. Oper. Res. 2019, 277, 33–45. [Google Scholar] [CrossRef]
- Lin, Y.K.; Huang, D.H. Reliability analysis for a hybrid flow shop with due date consideration. Reliab. Eng. Syst. Saf. 2017. [Google Scholar] [CrossRef]
- Chang, P.C. Reliability estimation for a stochastic production system with finite buffer storage by a simulation approach. Ann. Oper. Res. 2017, 277, 119–133. [Google Scholar] [CrossRef]
- Schneider, K.; Rainwater, C.; Pohl, E.; Hernandez, I.; Ramirez-Marquez, J.E. Social network analysis via multi-state reliability and conditional influence models. Reliab. Eng. Syst. Saf. 2013, 109, 99–109. [Google Scholar] [CrossRef]
- Lin, Y.K.; Huang, C.F. A multi-state computer network within transmission error rate and time constraints. J. Chin. Inst. Ind. Eng. 2012, 29, 477–484. [Google Scholar] [CrossRef]
- Yeh, C.T.; Fiondella, L. Optimal redundancy allocation to maximize multi-state computer network reliability subject to correlated failures. Reliab. Eng. Syst. Saf. 2017, 166, 138–150. [Google Scholar] [CrossRef]
- Lin, Y.K.; Pan, C.L. Considering retransmission mechanism and latency for network reliability evaluation in a stochastic computer network. J. Ind. Prod. Eng. 2014, 31, 350–358. [Google Scholar] [CrossRef]
- Yeh, C.T. An improved NSGA2 to solve a bi-objective optimization problem of multi-state electronic transaction network. Reliab. Eng. Syst. Saf. 2019, 191, 106578. [Google Scholar] [CrossRef]
- Lin, Y.K. Project management for arbitrary random durations and cost attributes by applying network approaches. Comput. Math. Appl. 2008, 56, 2650–2655. [Google Scholar] [CrossRef]
- Zarezadeh, S.; Ashrafi, S.; Asadi, M. Network Reliability Modeling Based on a Geometric Counting Process. Mathematics 2018, 6, 197. [Google Scholar] [CrossRef]
- El Khadiri, M.; Yeh, W.C. An efficient alternative to the exact evaluation of the quickest path flow network reliability problem. Comput. Oper. Res. 2016, 76, 22–32. [Google Scholar] [CrossRef]
- Niu, Y.F.; Xu X, Z. Reliability evaluation of multi-state systems under cost consideration. Appl. Math. Model. 2012, 36, 4261–4270. [Google Scholar] [CrossRef]
- Bai, G.H.; Zuo, M.J.; Tian, Z.G. Ordering heuristics for reliability evaluation of multistate networks. IEEE Trans. Reliab. 2015, 64, 1015–1023. [Google Scholar] [CrossRef]
- Aven, T. Reliability evaluation of multistate systems with multistate components. IEEE Trans. Reliab. 1985, 34, 473–479. [Google Scholar] [CrossRef]
- Bai, G.; Tian, Z.; Zuo, M.J. Reliability evaluation of multistate networks: An improved algorithm using state-space decomposition and experimental comparison. IISE Trans. 2018, 50, 407–418. [Google Scholar] [CrossRef]
- Yeh, W.C. An improved sum-of-disjoint-products technique for the symbolic network reliability analysis with known minimal paths. Reliab. Eng. Syst. Saf. 2007, 92, 260–268. [Google Scholar] [CrossRef]



| Arc | State | Probability | Arc | State | Probability |
|---|---|---|---|---|---|
| a1 | 3 | 0.30 | a4 | 3 | 0.20 |
| 2 | 0.50 | 2 | 0.50 | ||
| 1 | 0.20 | 1 | 0.30 | ||
| a2 | 3 | 0.20 | a5 | 3 | 0.25 |
| 2 | 0.70 | 2 | 0.40 | ||
| 1 | 0.10 | 1 | 0.35 | ||
| a3 | 3 | 0.30 | |||
| 2 | 0.50 | ||||
| 1 | 0.20 |
| Arc | Activity | Duration (Days) | Cost (CNY) | Probability |
|---|---|---|---|---|
| a1 | Confirmation of the manufacturing lines | 3 | 4500 | 0.20 |
| 5 | 3000 | 0.40 | ||
| 7 | 1500 | 0.40 | ||
| a2 | Confirmation and collection of the tools | 2 | 8400 | 0.10 |
| 7 | 4200 | 0.70 | ||
| 10 | 3000 | 0.20 | ||
| a3 | Establishment of the labor requirement | 7 | 4500 | 0.10 |
| 14 | 3000 | 0.60 | ||
| 21 | 1500 | 0.30 | ||
| a4 | Issue of a purchase order | 14 | 2400 | 0.10 |
| 28 | 1200 | 0.70 | ||
| 42 | 600 | 0.20 | ||
| a5 | Shipment of the tools | 20 | 20,000 | 0.70 |
| 30 | 15,000 | 0.30 | ||
| a6 | Establishment of the SOP | 7 | 1800 | 0.20 |
| 14 | 1200 | 0.70 | ||
| 18 | 600 | 0.10 | ||
| a7 | Preparation of machines and materials | 12 | 7200 | 0.05 |
| 14 | 6000 | 0.90 | ||
| 16 | 4800 | 0.05 | ||
| a8 | Custom declaration | 14 | 1200 | 0.20 |
| 21 | 600 | 0.80 | ||
| a9 | Shipment of machines and materials | 21 | 40,000 | 0.70 |
| 31 | 30,000 | 0.30 | ||
| a10 | Construction of the first line in floor A | 11 | 10,200 | 0.05 |
| 18 | 9000 | 0.05 | ||
| 25 | 7400 | 0.90 | ||
| a11 | Construction of the second line in floor A | 5 | 10,200 | 0.05 |
| 12 | 9000 | 0.05 | ||
| 19 | 7400 | 0.90 | ||
| a12 | Construction of the first line in floor B | 7 | 10,200 | 0.05 |
| 14 | 9000 | 0.05 | ||
| 21 | 7400 | 0.90 | ||
| a13 | Construction of the second line in floor B | 5 | 10,200 | 0.05 |
| 12 | 9000 | 0.05 | ||
| 19 | 7400 | 0.90 |
| Time (Unit: Day) | |||
|---|---|---|---|
| Budget Unit: 1000 CNY | 130 | 135 | 140 |
| 110 | 0.565067 | 0.721672 | 0.772429 |
| 112 | 0.669611 | 0.832017 | 0.884594 |
| 114 | 0.71561 | 0.881236 | 0.934397 |
| 116 | 0.734547 | 0.900869 | 0.954106 |
| 118 | 0.739934 | 0.906411 | 0.959655 |
| 120 | 0.740957 | 0.907454 | 0.960698 |
© 2019 by the authors. Licensee MDPI, Basel, Switzerland. This article is an open access article distributed under the terms and conditions of the Creative Commons Attribution (CC BY) license (http://creativecommons.org/licenses/by/4.0/).
Share and Cite
Huang, D.-H.; Huang, C.-F.; Lin, Y.-K. Reliability Evaluation for a Stochastic Flow Network Based on Upper and Lower Boundary Vectors. Mathematics 2019, 7, 1115. https://doi.org/10.3390/math7111115
Huang D-H, Huang C-F, Lin Y-K. Reliability Evaluation for a Stochastic Flow Network Based on Upper and Lower Boundary Vectors. Mathematics. 2019; 7(11):1115. https://doi.org/10.3390/math7111115
Chicago/Turabian StyleHuang, Ding-Hsiang, Cheng-Fu Huang, and Yi-Kuei Lin. 2019. "Reliability Evaluation for a Stochastic Flow Network Based on Upper and Lower Boundary Vectors" Mathematics 7, no. 11: 1115. https://doi.org/10.3390/math7111115
APA StyleHuang, D.-H., Huang, C.-F., & Lin, Y.-K. (2019). Reliability Evaluation for a Stochastic Flow Network Based on Upper and Lower Boundary Vectors. Mathematics, 7(11), 1115. https://doi.org/10.3390/math7111115

