Computational Investigation of Long Free-Span Submarine Pipelines with Buoyancy Modules Using an Automated Python–Abaqus Framework
Abstract
1. Introduction
2. Materials and Methods
2.1. Abaqus-Based Computational Framework
2.1.1. Step 1: Input Data Preparation
2.1.2. Step 2: Model Generation and Execution
2.1.3. Step 3: Extraction of Computational Results
2.1.4. Step 4: Data Structuring for Comprehensive Analysis
2.1.5. Step 5: Evaluation and Visualization of Results
2.1.6. Step 6: Verification, Refinement, and Convergence
2.2. Computation of Effective Density and Force Vectors with Buoyancy Modules
2.3. Verification
2.3.1. Verification of the Computed Frequency and Deformation of Pipelines Without Buoyancy Modules
2.3.2. Verification of the Computed Effective Mass (Density) and Vertical Force Applied to Sections of the Pipeline and Buoyancy Modules
Pipeline Section
Buoyancy Module Section
3. Simulation Results
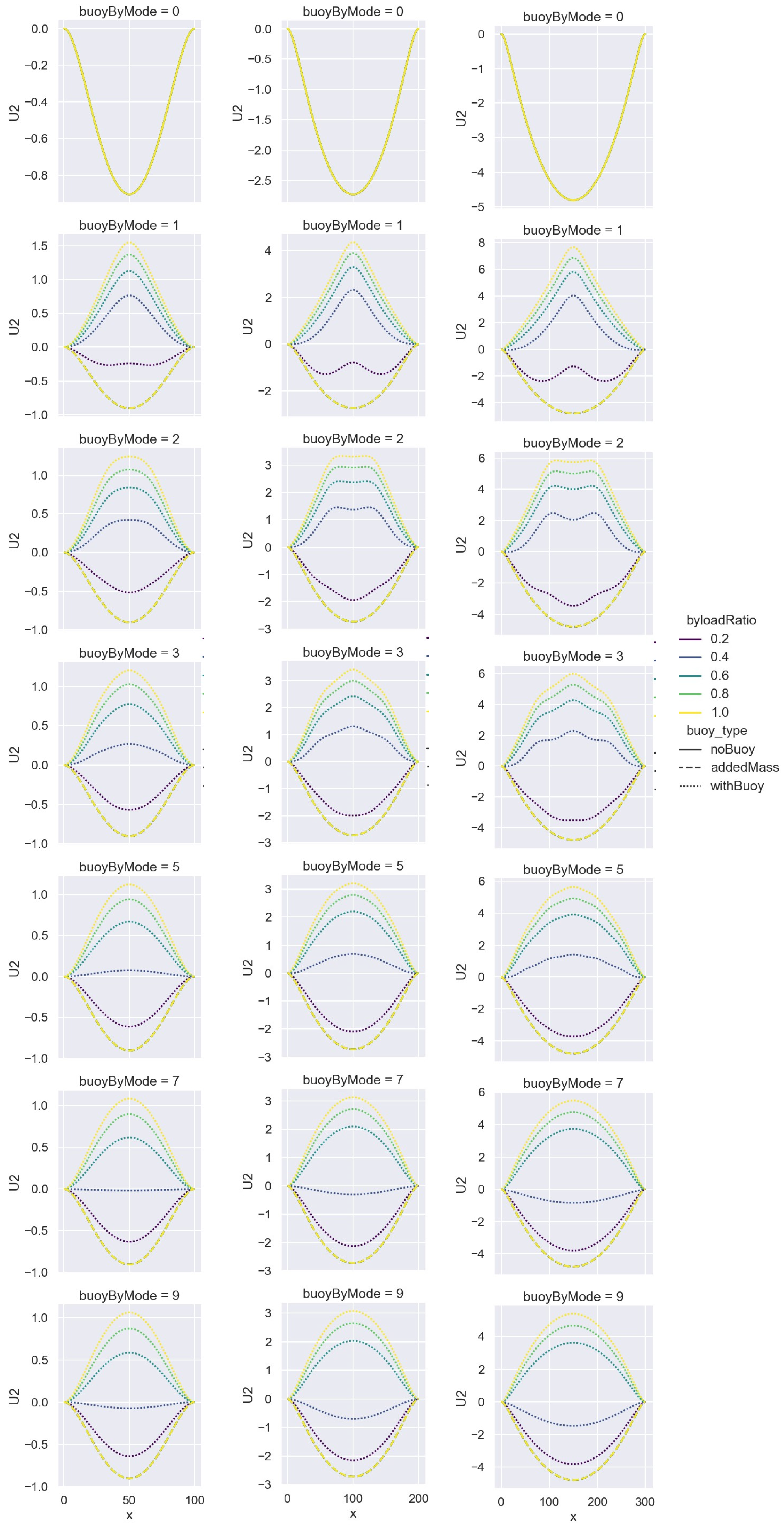
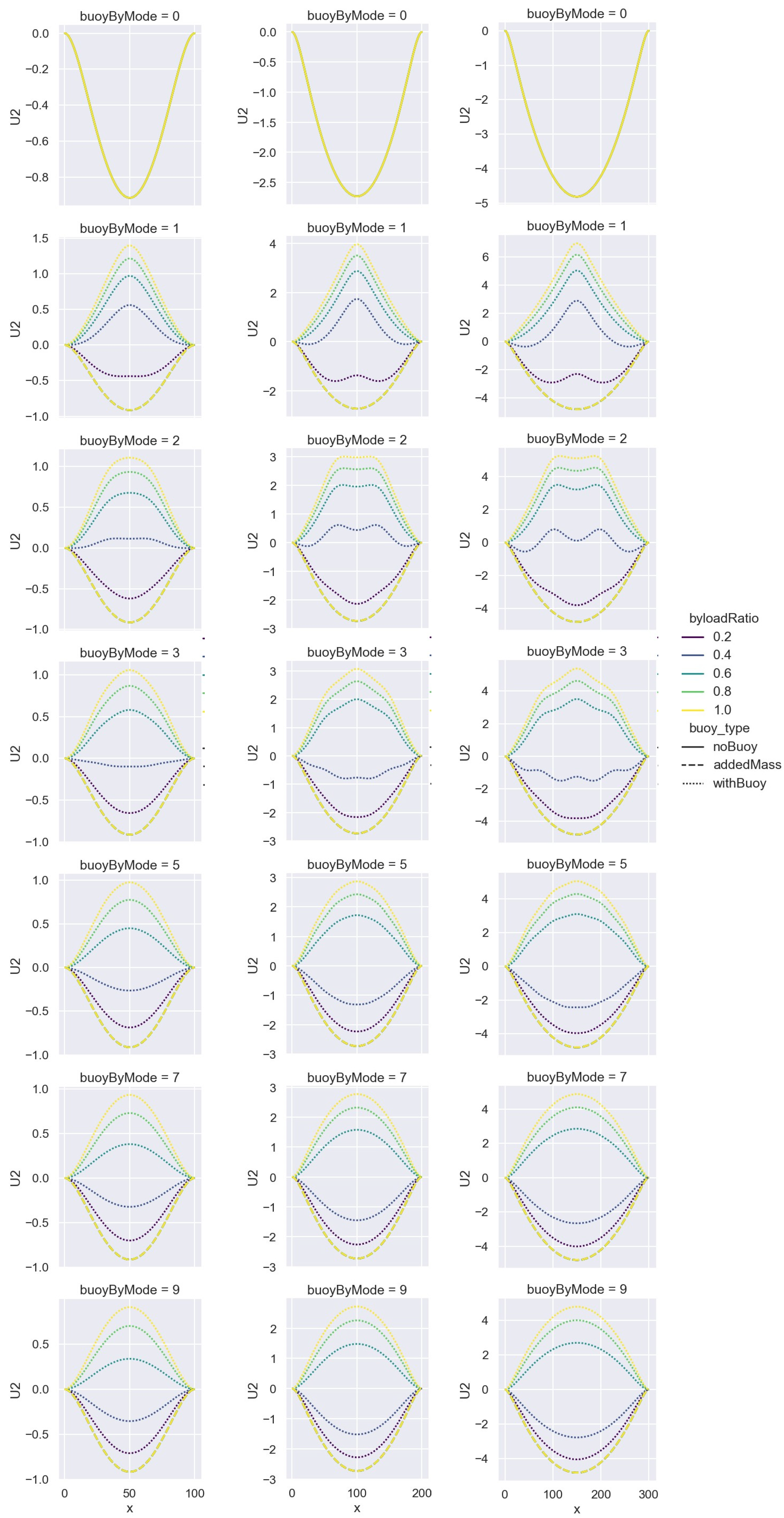
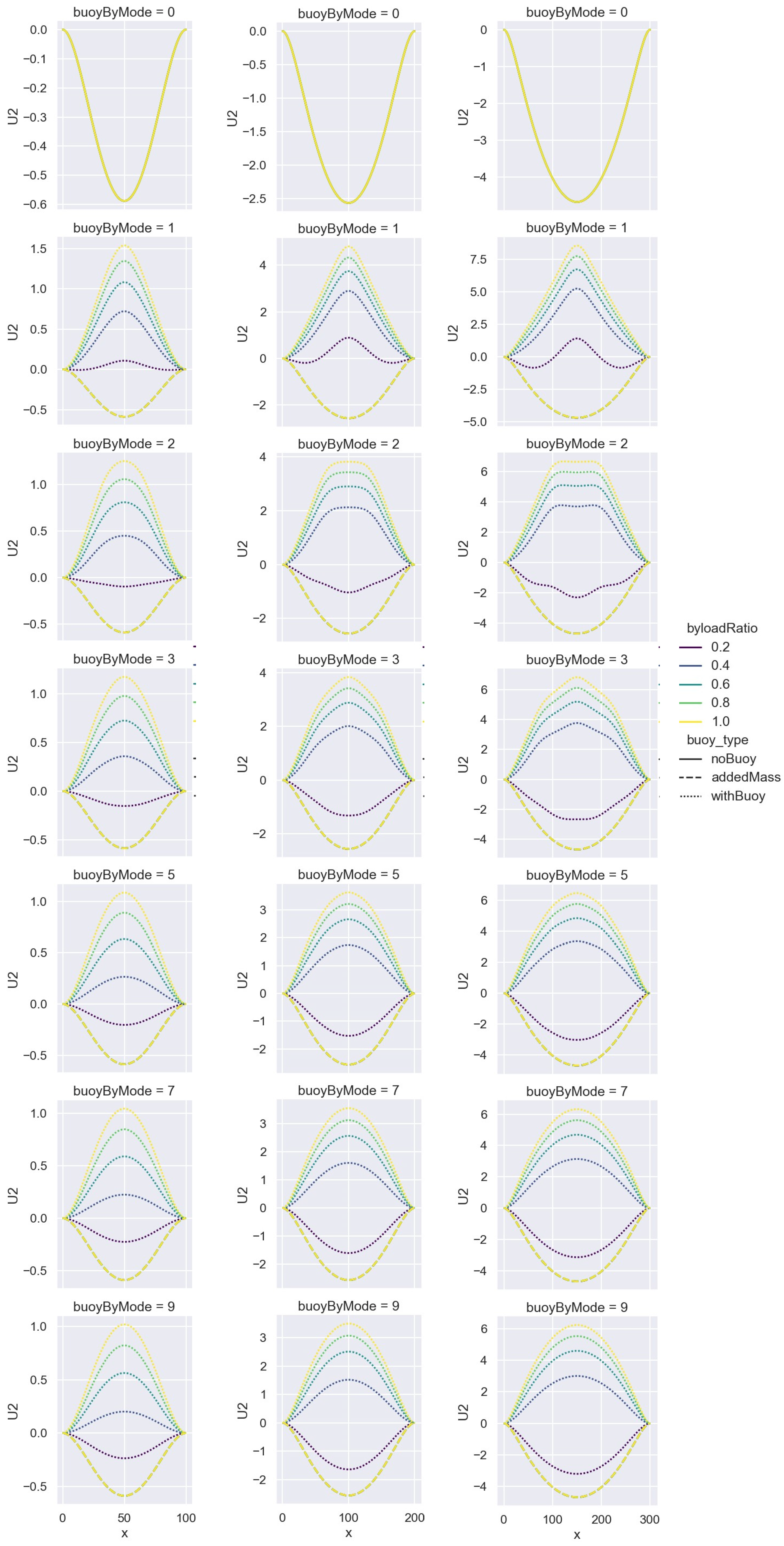
3.1. Investigation of Deformation Analysis of the Free-Span Submarine Pipeline
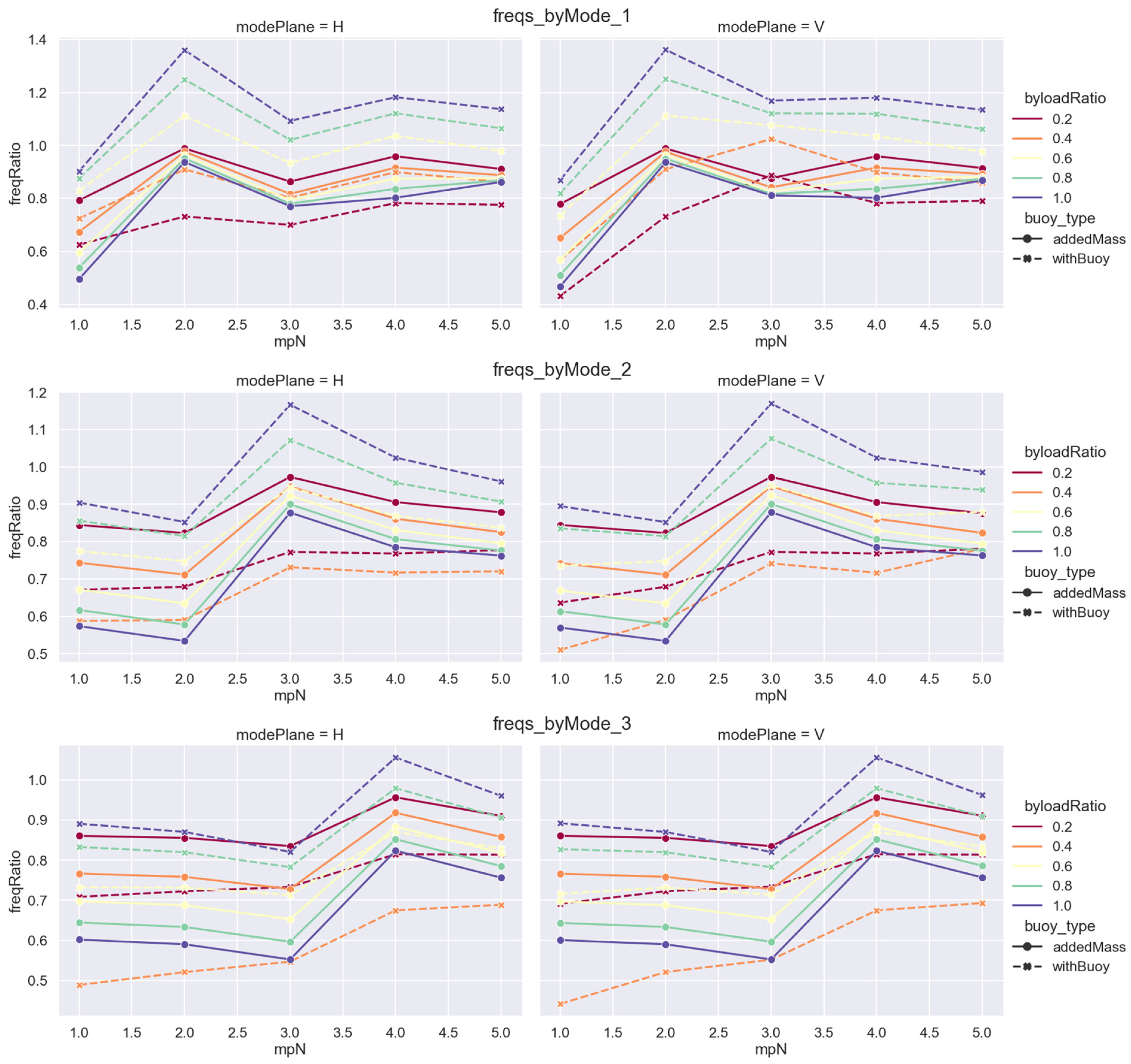
3.2. Investigation of the Analysis of the Natural Frequency of the Free-Span Submarine Pipeline
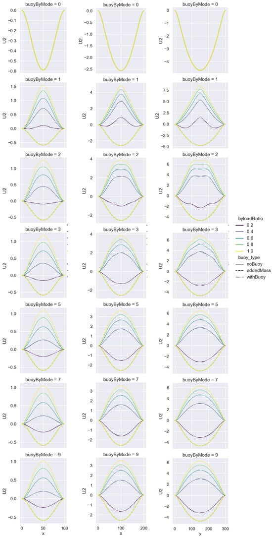
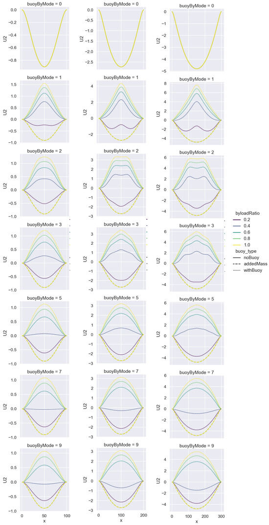
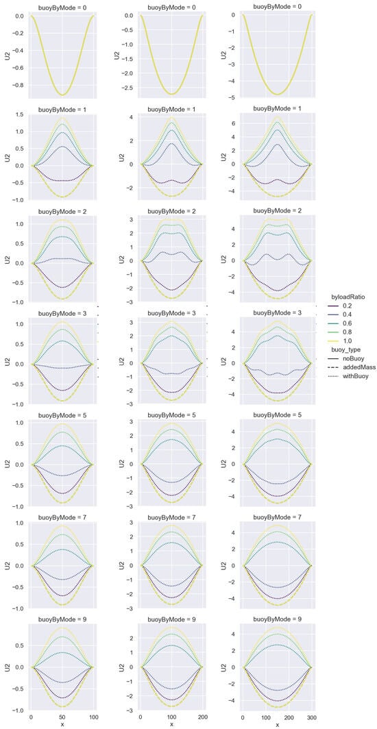
3.3. Parametric Analysis of Buoyancy Configurations and Load Ratios
4. Discussion
4.1. Mode Shape Observations
4.2. Effects of Buoyancy Modules
4.3. Practical Implications and Framework Advancements
4.4. Limitations and Future Research
5. Conclusions
Supplementary Materials
Author Contributions
Funding
Data Availability Statement
Acknowledgments
Conflicts of Interest
Abbreviations
| Cross-sectional area of the fluid, pipe, and coating | |
| Cross-sectional area of the buoyancy module, and the density of seawater | |
| Vertical deformation of the pipeline | |
| Finite element analysis | |
| Gravitational acceleration | |
| Length of a single buoyancy module | |
| Length of the pipeline | |
| Length-to-diameter ratio | |
| Load ratio | |
| Mass of the steel pipe | |
| Mass of the coating | |
| Mass of the fluid (oil, gas, etc.) | |
| Mass of pushed water displaced by the fluid, pipe, and concrete | |
| Mass of pushed water displaced by the fluid, pipe, concrete, and buoyancy module | |
| Number of buoyancy modules | |
| Present solution (developed Python–Abaqus framework) | |
| Outer radius of the pipeline | |
| Density of seawater | |
| Pipe wall thickness | |
| Vortex-induced vibration |
Appendix A


References
- Palmer, A.; King, R. Subsea Pipeline Engineering—Google Books; Pennwell Publishing: Tulsa, OK, USA, 2004. [Google Scholar]
- Elosta, H.; Huang, S.; Incecik, A. Wave Loading Fatigue Reliability and Uncertainty Analyses for Geotechnical Pipeline Models. Ships Offshore Struct. 2014, 9, 450–463. [Google Scholar] [CrossRef]
- Trapper, P.A.; Mishal, I. Numerical Analysis of Offshore Pipe-Lay Subjected to Environment-Induced Non-Uniformly Distributed Follower Loads. Appl. Ocean Res. 2020, 100, 102149. [Google Scholar] [CrossRef]
- Banić, D.; Turkalj, G.; Kvaternik Simonetti, S.; Lanc, D. Numerical Model for a Geometrically Nonlinear Analysis of Beams with Composite Cross-Sections. J. Compos. Sci. 2022, 6, 377. [Google Scholar] [CrossRef]
- Xiao, Z.; Zhao, X. Prediction of Natural Frequency of Free Spanning Subsea Pipelines. Int. J. Steel Struct. 2010, 10, 81–89. [Google Scholar] [CrossRef]
- Bai, Q.; Bai, Y. Subsea Pipeline Design, Analysis, and Installation; Elsevier: Amsterdam, The Netherlands, 2014. [Google Scholar]
- Kim, D.K.; Incecik, A.; Choi, H.S.; Wong, E.W.C.; Yu, S.Y.; Park, K.S. A Simplified Method to Predict Fatigue Damage of Offshore Riser Subjected to Vortex-Induced Vibration by Adopting Current Index Concept. Ocean Eng. 2018, 157, 401–411. [Google Scholar] [CrossRef]
- Liu, G.; Li, H.; Xie, Y.; Incecik, A.; Li, Z. Investigating Cross-Flow Vortex-Induced Vibration of Top Tension Risers with Different Aspect Ratios. Ocean Eng. 2021, 221, 108497. [Google Scholar] [CrossRef]
- Song, Q.; Liu, J.; Gao, F. Very High Cycle Fatigue Life of Free-Spanning Subsea Pipeline Subjected to Vortex-Induced Vibrations. J. Mar. Sci. Eng. 2024, 12, 1556. [Google Scholar] [CrossRef]
- Lu, Y.; Liu, Z.; Xu, W.; Ma, Y. Vortex-Induced Vibration (VIV) Fatigue Damage Characteristics of Submarine Multispan Pipelines. Ocean Eng. 2025, 324, 120666. [Google Scholar] [CrossRef]
- Zou, X.; Xie, B.; Zang, Z.; Chen, E.; Hou, J. Vortex-Induced Vibration and Fatigue Damage Assessment for a Submarine Pipeline on a Sand Wave Seabed. J. Mar. Sci. Eng. 2023, 11, 2031. [Google Scholar] [CrossRef]
- Elosta, H.; Huang, S.; Incecik, A. Seabed Interaction Modeling Effects on the Global Response of Catenary Pipeline: A Case Study. J. Offshore Mech. Arct. Eng. 2014, 136, 032001. [Google Scholar] [CrossRef]
- Sun, J.; Huang, S. Pipeline Spanning. In Encyclopedia of Maritime and Offshore Engineering; Wiley: Hoboken, NJ, USA, 2017; pp. 1–9. [Google Scholar]
- Trapper, P.A. Static Analysis of Offshore Pipe-Lay on Flat Inelastic Seabed. Ocean Eng. 2020, 213, 107673. [Google Scholar] [CrossRef]
- Wang, F.C.; Han, L.H. Analytical Behavior of Carbon Steel-Concrete-Stainless Steel Double-Skin Tube (DST) Used in Submarine Pipeline Structure. Mar. Struct. 2019, 63, 99–116. [Google Scholar] [CrossRef]
- Phuor, T.; Trapper, P.A.; Ganz, A. An Analytical Expression for the Fundamental Frequency of a Long Free-Spanning Submarine Pipeline. Mathematics 2023, 11, 4481. [Google Scholar] [CrossRef]
- DNVGL. DNVGL-RP-F105: Free Spanning Pipelines; DNV GL: Belum, Norway, 2017. [Google Scholar]
- Gvirtzman, Z.; Reshef, M.; Buch-Leviatan, O.; Groves-Gidney, G.; Karcz, Z.; Makovsky, Y.; Ben-Avraham, Z. Bathymetry of the Levant Basin: Interaction of Salt-Tectonics and Surficial Mass Movements. Mar. Geol. 2015, 360, 25–39. [Google Scholar] [CrossRef]
- Sarpkaya, T. A Critical Review of the Intrinsic Nature of Vortex-Induced Vibrations. J. Fluids Struct. 2004, 19, 389–447. [Google Scholar] [CrossRef]
- Beckmann, M.M.; Hale, J.R.; Lamison, C.W. Spanning Can Be Prevented, Corrected in Deeper Water. Oil Gas J. 1991, 89, 84–89. [Google Scholar]
- Choi, H.S. Free Spanning Analysis of Offshore Pipelines. Ocean Eng. 2001, 28, 1325–1338. [Google Scholar] [CrossRef]
- Vedeld, K.; Sollund, H.; Hellesland, J. Free Vibrations of Free Spanning Offshore Pipelines. Eng. Struct. 2013, 56, 68–82. [Google Scholar] [CrossRef]
- Gullaksen, J. Implementation of a Method for Free-Spanning Pipeline Analysis. In International Conference on Offshore Mechanics and Arctic Engineering—OMAE; American Society of Mechanical Engineers: New York, NY, USA, 2021; Volume 4. [Google Scholar]
- Bao, R.D.; Wen, B.C. Dynamic Response Analysis of Submarine Free Spanning Pipeline. Zhendong Yu Chongji/J. Vib. Shock 2007, 26, 140–143. [Google Scholar]
- Rumson, A.G. The Application of Fully Unmanned Robotic Systems for Inspection of Subsea Pipelines. Ocean Eng. 2021, 235, 109214. [Google Scholar] [CrossRef]
- Yaghoobi, M.; Mazaheri, S.; Jabbari, E. Determining Natural Frequency of Free Spanning Offshore Pipelines by Considering the Seabed Soil Characteristics. J. Persian Gulf 2012, 3, 25–34. [Google Scholar]
- Sarkar, G.; Roy, P. Effect of Non-Homogeneity of Seabed Soil on Natural Frequency of Offshore Free Spanning Pipeline. In Earthquakes and Structures; Lecture Notes in Civil Engineering; Springer: Singapore, 2022; Volume 188. [Google Scholar]
- Sarkar, G.; Roy, P. Influence of Seabed Soil Characteristics on Eigenfrequency of Offshore Free Spanning Pipeline. In Advances in Offshore Geotechnics; Lecture Notes in Civil Engineering; Springer: Singapore, 2020; Volume 92. [Google Scholar]
- Energean. Karish and Tanin Field Development Plan; Energean: London, UK, 2017. [Google Scholar]
- Schweiger, H.F.; Fabris, C.; Ausweger, G.; Hauser, L. Examples of Successful Numerical Modelling of Complex Geotechnical Problems. Innov. Infrastruct. Solut. 2019, 4, 2. [Google Scholar] [CrossRef]
- Phuor, T.; Yoon, G.H. Eigensensitivity of Damped System with Distinct and Repeated Eigenvalues by Chain Rule. Int. J. Numer. Methods Eng. 2023, 124, 4687–4717. [Google Scholar] [CrossRef]
- Mohaddes Pour, M.; Razavi Taheri, S.S.; Moniri Abyaneh, A. Free Span Analysis for Submarine Pipelines. Shock Vib. 2021, 2021, 9305129. [Google Scholar] [CrossRef]
- Zhang, Z. Application of Finite Element Analysis in Structural Analysis and Computer Simulation. Appl. Math. Nonlinear Sci. 2024, 9, 9. [Google Scholar] [CrossRef]
- Gong, S.; Xu, P.; Bao, S.; Zhong, W.; He, N.; Yan, H. Numerical Modelling on Dynamic Behaviour of Deepwater S-Lay Pipeline. Ocean Eng. 2014, 88, 393–408. [Google Scholar] [CrossRef]
- Jiwa, M.Z.; Kim, D.K.; Mustaffa, Z.; Choi, H.S. A Systematic Approach to Pipe-in-Pipe Installation Analysis. Ocean Eng. 2017, 142, 478–490. [Google Scholar] [CrossRef]
- Guo, B.; Song, S.; Ghalambor, A.; Lin, T. Offshore Pipelines: Design, Installation, and Maintenance: Second Edition; Gulf Professional Publishing: Houston, TX, USA, 2013. [Google Scholar]
- ABAQUS. Abaqus User’s Manual Version 2022; Dassault Systèmes Simulia Corp.: Providence, RI, USA, 2022. [Google Scholar]
- ABAQUS. Abaqus Version 2021-1 Analysis User’s Manual; Abaqus Online Documents 2021; Dassault Systèmes Simulia Corp.: Providence, RI, USA, 2021. [Google Scholar]
- Zhu, B.; Yang, Q.; Wang, T.; Lu, M.; Mo, P.; Hiraishi, T.; Mase, H. Investigation on Wave-Induced Responses of Heterogeneous Seabed around a Buried Pipeline Based on Nonstationary Random Field Model. Comput. Geotech. 2024, 167, 106119. [Google Scholar] [CrossRef]
- Weng, G.; Xu, C.; Xie, Q.; Wu, X.; Lan, G.; Zhang, Y.; Zhu, X. Dynamic Effect of Fluid–Structure Interaction and Modal Analysis of Crude–Pipeline Interaction System Considering the Fluctuating Pressure of Medium. Transp. Res. Rec. 2024, 2678, 168–188. [Google Scholar] [CrossRef]
- Xu, H.; Guo, Q.; Wang, X.; Sun, H.; Dong, Z.; Gu, J.; Zhang, C. Dynamic Analysis of Submarine-Buried Pipelines Considering Fluid–Structure Interaction. Water 2025, 17, 360. [Google Scholar] [CrossRef]
- Mitelman, A.; Lifshitz Sherzer, G. Coupling Numerical Modeling and Machine-Learning for Back Analysis of Cantilever Retaining Wall Failure. Comput. Concr. 2023, 31, 307–314. [Google Scholar] [CrossRef]
- Mitelman, A.; Urlainis, A. Investigation of Transfer Learning for Tunnel Support Design. Mathematics 2023, 11, 1623. [Google Scholar] [CrossRef]
- Eilat, T.; McQuillan, A.; Mitelman, A. Machine Learning-Enhanced Analysis of Small-Strain Hardening Soil Model Parameters for Shallow Tunnels in Weak Soil. Geotechnics 2025, 5, 26. [Google Scholar] [CrossRef]
- Pajaziti, E.; Montalt-Tordera, J.; Capelli, C.; Sivera, R.; Sauvage, E.; Quail, M.; Schievano, S.; Muthurangu, V. Shape-Driven Deep Neural Networks for Fast Acquisition of Aortic 3D Pressure and Velocity Flow Fields. PLoS Comput. Biol. 2023, 19, e1011055. [Google Scholar] [CrossRef]
- Wang, Z.; Zhu, J.; Zhang, Z. Machine Learning-Based Deep Data Mining and Prediction of Vortex-Induced Vibration of Circular Cylinders. Ocean Eng. 2023, 285, 115313. [Google Scholar] [CrossRef]
- Ma, L.; Lin, K.; Fan, D.; Wang, J.; Triantafyllou, M.S. Flexible Cylinder Flow-Induced Vibration. Phys. Fluids 2022, 34, 011302. [Google Scholar] [CrossRef]



















| Input Data | Value |
|---|---|
| ) | 0.015 m |
| Pipe’s radius (r) | 0.35 m |
| Density of steel pipe | 7850 kg/m3 |
| Pipe’s Young’s modulus (E) | 206 GPa |
| Pipe’s Poisson ratio | 0.30 |
| Coating’s construction strength | 30.00 MPa |
| Coating’s thickness | 0.01 m |
| Density of coating | 3040 kg/m3 |
| Density of seawater | 1025 kg/m3 |
| Density of the fluid inside the pipe | 442 kg/m3 |
Disclaimer/Publisher’s Note: The statements, opinions and data contained in all publications are solely those of the individual author(s) and contributor(s) and not of MDPI and/or the editor(s). MDPI and/or the editor(s) disclaim responsibility for any injury to people or property resulting from any ideas, methods, instructions or products referred to in the content. |
© 2025 by the authors. Licensee MDPI, Basel, Switzerland. This article is an open access article distributed under the terms and conditions of the Creative Commons Attribution (CC BY) license (https://creativecommons.org/licenses/by/4.0/).
Share and Cite
Phuor, T.; Trapper, P.A.; Urlainis, A.; Ganz, A. Computational Investigation of Long Free-Span Submarine Pipelines with Buoyancy Modules Using an Automated Python–Abaqus Framework. Mathematics 2025, 13, 1387. https://doi.org/10.3390/math13091387
Phuor T, Trapper PA, Urlainis A, Ganz A. Computational Investigation of Long Free-Span Submarine Pipelines with Buoyancy Modules Using an Automated Python–Abaqus Framework. Mathematics. 2025; 13(9):1387. https://doi.org/10.3390/math13091387
Chicago/Turabian StylePhuor, Ty, Pavel A. Trapper, Alon Urlainis, and Avshalom Ganz. 2025. "Computational Investigation of Long Free-Span Submarine Pipelines with Buoyancy Modules Using an Automated Python–Abaqus Framework" Mathematics 13, no. 9: 1387. https://doi.org/10.3390/math13091387
APA StylePhuor, T., Trapper, P. A., Urlainis, A., & Ganz, A. (2025). Computational Investigation of Long Free-Span Submarine Pipelines with Buoyancy Modules Using an Automated Python–Abaqus Framework. Mathematics, 13(9), 1387. https://doi.org/10.3390/math13091387

