Abstract
This article employs certain polynomials that generalize standard Fermat polynomials, called convolved Fermat polynomials, to numerically solve the fractional Burgers’ equation. New theoretical results of these polynomials are developed and utilized along with the collocation method to find approximate solutions of the fractional Burgers’ equation. The basic idea behind the proposed numerical algorithm is based on establishing the operational matrices of derivatives of both integer and fractional derivatives of the convolved Fermat polynomials that help to convert the equation governed by its underlying conditions into an algebraic system of equations that can be treated numerically. A comprehensive study is performed to analyze the error of the proposed convolved Fermat expansion. Some numerical examples are presented to test our proposed numerical algorithm, and some comparisons are made. The results indicate that the proposed algorithm is applicable and accurate.
Keywords:
Fermat polynomials; convolved polynomials; fractional Burgers’ equation; spectral methods; operational matrices; convergence analysis MSC:
11B83; 65M70; 35R11
1. Introduction
Fractional differential equations (FDEs) have gained interest in science, engineering, and technology because they describe systems with complex and anomalous processes involving infinite correlations. They have applications across many fields of applied sciences, so the investigations for these equations have attracted much interest. Some applications for FDEs can be found in [1,2,3]. Due to the inability to solve these equations analytically, it is important to resort to numerical analysis with different approaches. Many numerical approaches are employed to treat the different types of FDEs. Among these methods are the Adomian decomposition method [4,5], the variational iteration transform method [6], the Laplace transform method [7], the wavelet neural method [8], the Haar wavelets method [9], the generalized Taylor wavelets [10], the Adams–Bashforth–Moulton methods [11,12], the homotopy perturbation method [13], the shifted Gegenbauer–Gauss collocation method [14], the shifted Jacobi collocation method [15], and the localized hybrid kernel meshless method [16].
The classical Burgers’ equation is one of the most essential FDEs; it employs fractional derivatives to describe a wide range of physical events. This equation has been significantly extended to derive the fractional Burgers’ equation. This equation becomes even more critical when modeling processes with typical diffusion or memory effects because traditional integer-order differential equations cannot account for them. Understanding the physical meaning of the fractional Burgers’ equation is crucial. In [17,18], the authors highlighted the role of this equation in modeling subdiffusion convection processes relevant to various physical problems and in describing the propagation of weakly nonlinear acoustic waves through gas-filled pipes, respectively. Many numerical algorithms have been employed to solve the fractional Burgers’ equation. For example, in [19], the time-fractional Burgers’ equation was solved based on the Haar–Sinc spectral approach. Recently, the authors of [20] followed a compact difference tempered fractional Burgers’ equation. A discontinuous Galerkin method was used to treat the time-fractional Burgers’ equation. The homotopy method was applied in [21]. The authors of [22] solved the one- and two-dimensional time-fractional Burgers’ equation using Lucas polynomials. Some other contributions can be found in [23,24,25,26,27].
Modern engineering and physics applications necessitate a more comprehensive understanding of applied mathematics than previously required. Specifically, a solid grasp of the fundamental properties of special functions is essential. These functions are frequently used in various fields, including communication systems, electromagnetic theory, quantum mechanics, approximation theory, probability theory, electrical circuit theory, and heat conduction. For some applications of special functions, one can refer to [28,29].
Fibonacci and Lucas polynomials and their generalizations have been extensively studied in the mathematical literature due to their rich properties and diverse applications across various fields, such as combinatorics, graph theory, and numerical analysis. These polynomials are extensively used in numerical analysis to solve several differential equations (DEs). We give some contributions in this direction. In [30], the author used Fibonacci polynomials to treat FDEs. The authors of [31] treated numerically a modified epidemiological model of computer viruses using Fibonacci wavelets. Pell polynomials were used in [32] to solve stochastic FDEs. Another application for the Pell polynomials was given in [33]. Shifted Lucas polynomials were used in [34] to solve the time-fractional FitzHugh–Nagumo DEs. Other shifted Horadam polynomials were used to solve the nonlinear fifth-order KdV equations in [35]. In [36], the authors treated fractional Bagley–Torvik using Fibonacci wavelets. The authors of [37] handled the Lane–Emden type equation using combined Pell–Lucas polynomials. Vieta–Lucas polynomials were used in [38] to solve specific systems of FDEs using an operational approach.
Among the extensions of Fibonacci sequences are the convolved generalized Fibonacci polynomials, which were presented and examined in [39]. These polynomials extend several classical sequences, including Fibonacci and Pell polynomials and their generalized ones. In [40], the authors examined some features of the convolved generalized Fibonacci and Lucas polynomials. Some other formulas concerned with the convolved polynomials were developed in [41]. In [42], the authors introduced certain generalizations of convolved generalized Fibonacci and Lucas polynomials. In [43], the authors formulated novel formulas for convolved Pell polynomials. In [44], the authors developed some new formulas for convolved Fibonacci polynomials. This paper will introduce and use particular polynomials of the generalized ones introduced in [39], namely, convolved Fermat polynomials. These polynomials generalize the standard conventional Fermat polynomials.
Spectral methods are a class of numerical methods that approximate the solution of differential equations by expanding the solution in terms of global basis functions, which are typically special functions. In contrast to finite difference and finite element methods, spectral methods use global approximations. A key advantage of spectral methods is their exponential convergence to solutions in smooth scenarios; that is, the error decays fast as the basis functions count increases. This means that spectral methods are ideal for highly accurate models. There are three major categories of spectral methods. These are the Galerkin, tau, and collocation methods. With the spectral Galerkin method, the solution is written as a series of basis functions, and the residual is ensured to be orthogonal to these functions. In addition, the selected trial and test functions should coincide. In [45], the authors handled some partial DEs through the Galerkin method. In [46], the authors applied spectral Galerkin methods for some FDEs. The authors of [47] used the Galerkin method and generalized Chebyshev polynomials to treat some fractional delay pantograph DEs. The tau method is unlike the Galerkin method in that one is free to pick the trial and test functions. The authors of [48] utilized the tau method to treat the time-fractional cable problem. In [49], the authors treated systems of fractional-order integro-DEs using the tau method along with the monic Laguerre polynomial. Other integro-DEs were treated in [50] using a tau–Gegenbauer spectral method. In the collocation method, the residual should vanish at some discrete collocation points. This approach is advantageous due to its applicability to all types of DEs, so it is used extensively to treat many DEs. For example, the authors of [51] followed a collocation approach to certain stochastic FDEs. Another collocation method based on Chebyshev polynomials was used in [52] to solve some elliptic partial DEs. In [53], the Laguerre spectral collocation method was used to solve the space-fractional diffusion equation. The authors of [54] followed a collocation method to treat FitzHugh-–Nagumo DEs. Another collocation method was employed in [55] to treat certain variable-order FDEs.
This paper concentrates on the numerical solution of the time-fractional Burgers’ equation [56]:
with the following conditions:
where represents the source term and represents the kinematic viscosity.
We comment here on the remark of Wang and He in [57], in which they demonstrated that, to maintain consistency, both time and space are modeled fractionally—a principle termed the fractional spatio-temporal relation. This generalization will be a target for us in a forthcoming paper.
The following are the primary objectives of this paper:
- Providing certain polynomials that generalize the well-known standard Fermat polynomials, called the convolved Fermat polynomials.
- Establishing the analytic and inversion formulas of these polynomials.
- Constructing the operational derivative matrices of the convolved Fermat polynomials for both integer and fractional derivatives.
- Developing a collocation technique to handle the time-fractional Burgers’ equation.
- Analyzing the convergence and error analysis of the convolved Fermat expansion.
- Testing the accuracy of our numerical algorithm against other established techniques to demonstrate its effectiveness.
Furthermore, we mention here that some advantages and original contributions in this work can be listed as follows:
- The new theoretical results concerning the convolved Fermat polynomials are new. We think that the theoretical background of these polynomials in this paper may be utilized in other contributions in the scope of the numerical solutions of differential equations.
- To our knowledge, employing such polynomials in numerical analysis is new. This gives us motivation for our study.
- Highly accurate solutions can be obtained by employing the convolved Fibonacci polynomials as basis functions.
The rest of the paper is organized as follows. The next section overviews the convolved generalized polynomials and some of their particular polynomials. Some new formulas of the convolved Fermat polynomials, such as their power form representation and its inversion formula, are developed in Section 3. Section 4 analyzes the numerical algorithm designed to solve the fractional Burgers’ equation based on the application of the collocation method using the convolved Fermat polynomials as basis functions. The convergence of the convolved Fermat expansion is presented in Section 5 by stating and proving some lemmas and theorems. Some illustrative examples are presented in Section 6 accompanied by comparisons with some other algorithms to test our numerical algorithm. Finally, Section 7 presents the concluding findings.
2. Fundamentals and Essential Relations
This section is confined to introducing an account of some essential characteristics of fractional calculus, the generalized convolved polynomials, and some of their particular polynomials.
2.1. Caputo’s Fractional Derivative
Definition 1
([58]). In the Caputo sense, the fractional derivative is defined as
For with , the following identities are valid:
where and , and is the ceiling function.
Remark 1.
For some other definitions of fractional derivatives and their applications, one can refer to [59,60].
2.2. An Account on Fermat Polynomials
If we consider the first kind of the Lucas polynomial sequence generated by the recursive formula [39]:
then the Fermat polynomials are particular cases of corresponding to . Thus, the sequence may be constructed using the following recursive formula:
These polynomials are explicitly expressed by the following formula [61]:
and their inversion formula is given by [61]
2.3. Convolved Generalized Fibonacci Polynomials
In [39], the authors developed the convolved generalized Fibonacci polynomials, denoted as , where and are polynomials with real coefficients, and is a complex integer. The generating function for is [39]
Furthermore, they can be represented as
and they can be generated with the aid of the following recursive formula [39]:
with the following initial values:
Remark 2.
Many celebrated sequences can be extracted as particular sequences of the convolved generalized Fibonacci polynomials. Among these sequences are the following sequences:
- The convolved Fibonacci polynomials , which were investigated theoretically in [44] and employed numerically in [62]. These polynomials are defined as
- The convolved Pell polynomials , which were investigated theoretically in [62]. These polynomials are defined as
2.4. Convolved Fermat Polynomials
This paper introduces a sequence of polynomials that generalize the Fermat sequence of polynomials, called convolved Fermat polynomials. These polynomials are particular polynomials of the polynomials generated by (12). More precisely, they can be obtained from the polynomials with the following choices:
where n is a positive real constant.
We will denote these polynomials by . The recursive formula fulfilled by is
Form (11), the analytic form of the convolved Fermat polynomials, takes the following form:
Remark 3.
Remark 4.
Fermat polynomials generated by (8) are particular polynomials of the convolved Fermat polynomials in the sense that
The next section develops some new formulas regarding the convolved Fermat polynomials that will be useful in the sequel.
3. Some New Formulas of the Convolved Fermat Polynomials
Our suggested numerical technique for solving the fractional Burger’s equation relies heavily on some new formulas of the convolved Fermat polynomials, which are the focus of this section. Our focus will be to develop the following formulas:
- The inversion formula of the convolved Fermat polynomials.
- An explicit formula for the integer and fractional derivatives of the convolved Fermat polynomials.
- The operational matrices of the integer derivatives of the convolved Fermat polynomials.
- An explicit formula for the fractional derivatives of the convolved Fermat polynomials.
- The operational matrices of both integer and fractional derivatives of the convolved Fermat polynomials.
The following theorem displays the inversion formula for the power Formula (14). First, one requires the lemma below.
Lemma 1.
Consider p to be any non-negative integer. The following identity is valid:
Proof.
It is clear that the identity holds for , so to complete the proof we set
and we will show that
We can write as
We write the last formula in the form
with
Now, Zeilberger’s algorithm [63] aids in finding a closed form for . The recurrence relation that satisfied by is
with the initial condition
The exact solution of (19) is given by
The closed form in (20) together with Formula (18) implies that
This ends the proof. □
Theorem 1.
Let i be any real non-positive integer. The inversion formula of is given by
Proof.
Remark 5.
Theorem 2.
For any positive integers q and i with , the qth-derivative of can be expressed as
where
and is defined as in (16).
Proof.
Differentiating Formula (14) q times with respect to yields
The application of the inversion Formula (21) leads to the following formula:
which can be written alternatively as
which can be expressed again as
Using Chu Vandermond’s identity [64], the above can be summed to give the following closed form:
and, accordingly, Formula (32) turns into
The last formula can be written as in (27). This proves Theorem 2. □
Corollary 1.
has the form
where
Proof.
Formula (34) may be readily obtained by substituting in Theorem 2. □
Corollary 2.
has the form
where
Proof.
Formula (36) may be readily obtained by substituting in Theorem 2. □
Remark 6.
As immediate consequences of Corollaries 1 and 2, the operational matrices of derivatives of the convolved Fermat polynomials can be deduced. The following corollary presents this result.
Corollary 3.
If we define the vector , then , and can be expressed in the following forms:
where and are the operational matrices of derivatives of order whose entries are, respectively, given as
For example, the matrices and take the following forms for
Theorem 3.
For , the fractional derivative of can be represented as
where
and
Proof.
4. Numerical Technique for the Time-Fractional Burgers’ Equation
This section focuses on presenting a numerical algorithm for solving the time-fractional Burgers’ Equation (1) governed by the initial and boundary conditions (2)–(3).
One may set
where , and are the convolved Fermat polynomials given explicitly in (14).
Consequently, any function can be represented as
where, and is the unknown matrix whose order is .
Now, the residual of Equation (1) may be expressed as
Based on Corollaries 3 and 4, in conjunction with (54), we may express (55) in matrix form as
The collocation method is applied in the following manner to obtain . Specifically, for certain nodes , the residual is forced to be zero. We have
Furthermore, the conditions in (2) and (3) lead to
The nonlinear system of Equations (57) and (58) with dimension in the unknown expansion coefficients may be solved using Newton’s iterative technique.
Remark 7.
The Algorithm 1 lists all the steps required to obtain the proposed numerical solution.
| Algorithm 1 Coding algorithm for the proposed technique |
| Input and . |
| Step 1. Assume the spectral solution as in (54). |
| Step 2. Apply Corollaries 3 and 4, together with (54) to obtain the matrix form |
| of as in (56). |
| Step 3. Apply the collocation method to obtain the nonlinear system of Equations (57) and (58). |
| Step 4. Using FindRoot command with initial guess |
| to solve the system (57) and (58) to get . |
| Output |
5. The Convergence and Error Analysis
Here, we examine the convergence of the convolved Fermat expansion. The following theorems and lemmas are considered.
- Lemma 4 expresses the infinitely differentiable function in terms of .
- Lemma 5 gives an upper bound for .
- Theorem 4 gives an upper bound for the unknown expansion coefficients .
- Theorem 5, an upper bound for the truncation error is given.
- Theorem 6 gives an upper bound for the unknown double expansion coefficients .
- Theorem 7 gives an upper bound for the truncation error .
Lemma 2.
The following inequality holds [65]:
where is the modified Bessel function of the first kind.
Lemma 3.
The following inequality holds [66]:
where are the modified Struve functions.
Lemma 4.
For an infinitely differentiable function at the origin, one has
Proof.
Let have the following expansion:
In virtue of the inversion Formula (25), the last expansion can be turned into
Now, if we expand and rearrange the terms of the last equation, we obtain
which can be rewritten as
The lemma is now proved. □
Lemma 5.
For any positive integer i, the following inequality is valid:
Proof.
Theorem 4.
If is defined on , and where is a positive constant, and , we obtain
Moreover, the series converges absolutely.
Proof.
Based on Lemma 4, we can write
Now, the assumptions of the theorem enable us to write
Some simplifications lead to the following formula:
where and are, respectively, the modified Bessel of the first kind and modified Struve functions.
The application of Lemmas 2 and 3 enables us to write the previous equation as
This ends the proof. □
Theorem 5.
If satisfies the hypothesis of Theorem 4, and , then the following error estimation is satisfied:
Proof.
The definition of enables us to write
Since
where denotes upper incomplete gamma functions [67], then we have
This proves the theorem. □
Theorem 6.
If a function , with , and , where , and are positive constants, then one has the following estimation:
Proof.
If Lemma 4 is applied along with using the assumption that , then we obtain
Using the assumption and , one obtains
Now, performing similar steps as in the proof of Theorem 4, we obtain the desired result. □
Theorem 7.
We obtain the following upper bound on the truncation error if meets the hypothesis of Theorem 6.
where
Proof.
From the definitions of and we can write
If Theorem 6, and Lemma 5 are used along with the following inequalities:
then we obtain the following estimation:
where
This finalizes the proof. □
6. Illustrative Examples
In this section, our algorithm is tested by introducing some illustrative examples. We will test the performance and accuracy of our suggested numerical method. In addition, we will present comparisons with some other methods in the literature. All codes were written and debugged by Mathematica 11 on an HP Z420 Workstation, Processor: Intel(R) Xeon(R) CPU E5-1620 v2 - 3.70GHz, 16 GB Ram DDR3, and 512 GB storage.
Example 1
([56]). Consider the following fractional Burgers’ equation:
controlled by
where is the exact solution to (90).
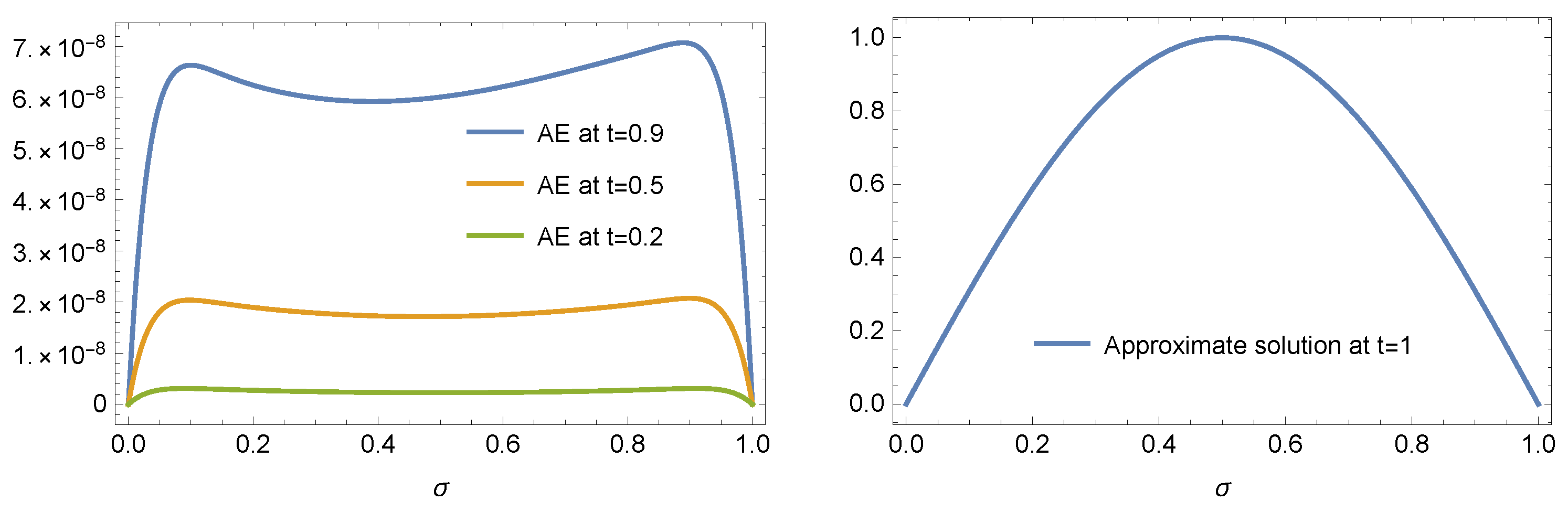
Table 1 displays a comparison between our proposed algorithm at various n for with the method in [56] in the sense of -error. Figure 1 shows the AE at different values of t (left) and the approximate solution at (right) at , and . Table 2 and Table 3 report the MAE and the - error at different values of . In addition, the CPU time (in seconds) for Table 2 is presented in Table 4.
Table 1.
Comparison of -error of Example 1.
Figure 1.
The AE (left) at different values of t and the approximate solution (right) at of Example 1 at , and .
Table 2.
Errors of Example 1 at and .
Table 3.
Errors of Example 1 at and .
Table 4.
Our CPU time used for Table 2.
Example 2
([56]). Consider the following fractional Burgers’ equation:
controlled by
where is the exact solution of this problem.
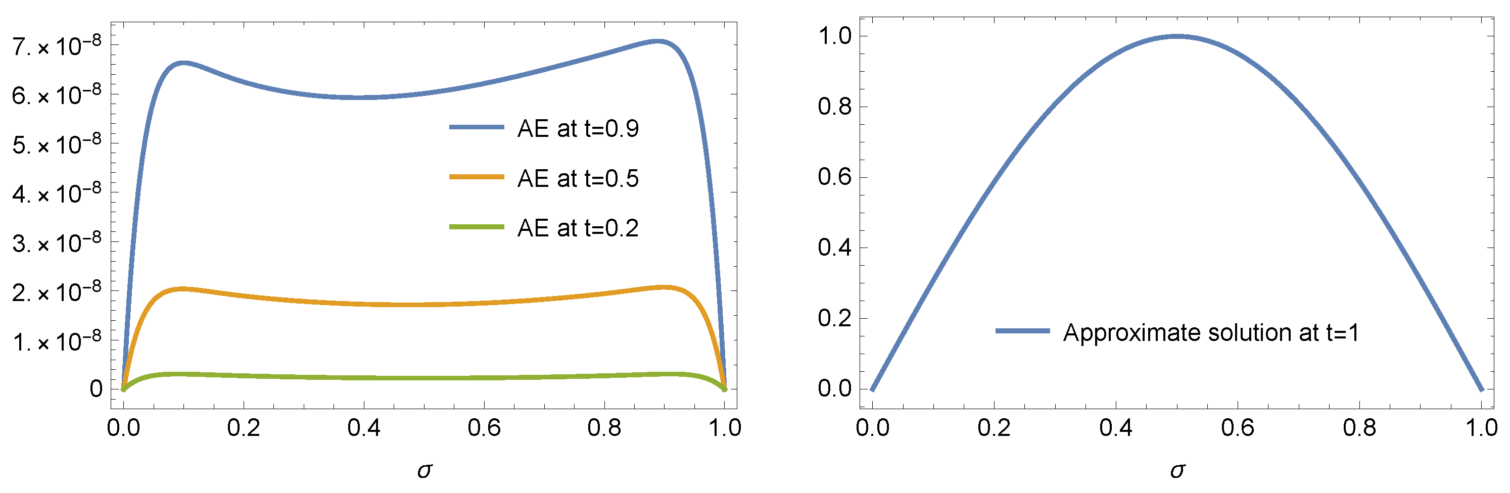
Table 5 reports the AE at and . In addition, the CPU time (in seconds) for our proposed method is presented in this table. Figure 2 illustrates the Log10(error) at and different values of n. Table 6 presents a comparison between our method at different values of n at with the method in [56] in the sense of -error. Also, Table 7 presents a comparison of -error between our method at and with the method in [68]. Figure 3 shows the AE at different values of t (left) and the approximate solution at (right) at , and .
Table 5.
The AE for Example 2 at and .
Figure 2.
The Log10(error) of Example 2 at and different values of n.
Table 6.
Comparison of -error of Example 2.
Table 7.
Comparison of -error of Example 2.
Figure 3.
The AE (left) at different values of t and the approximate solution (right) at of Example 2 at , and .
Remark 9.
The results of Table 6 demonstrate that the approximations corresponding to (the Fermat case) are not always better than the approximations for other choices of n.
Example 3
([56,69]). Consider the following fractional Burgers’ equation:
controlled by
where is the exact solution to (96).
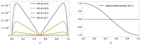
Table 9 displays a comparison between our proposed algorithm at different various n for with methods in [56,69] in the sense of -error. Also, Table 10 presents a comparison of -error between our method at and with the method in [68]. Figure 4 shows the AE at different values of t (left) and the approximate solution at (right) at and . Table 11 reports the AE at , and . Figure 5 illustrates the Log10(error) at and different values of n. In addition, the CPU time (in seconds) for our proposed method is presented in this table.
Table 9.
Comparison of -error of Example 3.
Table 10.
Comparison of -error of Example 3.
Figure 4.
The AE (left) at different values of t and the approximate solution (right) at of Example 3 at , and .
Table 11.
The AE for Example 3 at and .
Figure 5.
The Log10(error) of Example 3 at and different values of n.
Example 4.
Consider the following fractional Burgers’ equation:
controlled by
Since the exact solution is not available, let us define the following absolute residual error norm:
and applying the presented method at , and to obtain Table 12, which illustrates the ARE at different values of t and the CPU time (in seconds). Figure 6 shows the ARE (left) and the approximate solution (right) at , and .
Table 12.
The ARE for Example 4 at and .
Figure 6.
The ARE (left) and the approximate solution (right) of Example 4 at , and .
Remark 10.
The approximate solution at , and is
7. Concluding Remarks
A numerical algorithm for the fractional Burgers’ equations was presented in this paper. A set of polynomials that generalizes the set of the standard Fermat polynomials was used as basis functions. Some theoretical results regarding these generalized polynomials were developed and used to design our proposed collocation algorithm. Some inequalities were also developed and used to help investigate the convolved Fermat polynomials. The presented numerical algorithm showed the applicability and accuracy of our proposed algorithm. Other convolved polynomials will be a target to investigate in the near future from both theoretical and numerical points of view.
Author Contributions
Conceptualization, W.M.A.-E. and A.G.A.; Methodology, W.M.A.-E., O.M.A., N.M.A.A. and A.G.A.; Software, A.G.A.; Validation, W.M.A.-E., O.M.A., N.M.A.A., A.K.A. and A.G.A.; Formal analysis, W.M.A.-E. and A.G.A.; Investigation, W.M.A.-E., O.M.A., N.M.A.A., A.K.A. and A.G.A.; Writing—original draft, W.M.A.-E. and A.G.A.; Writing—review & editing, W.M.A.-E. and A.G.A.; Supervision, W.M.A.-E.; Funding acquisition, A.K.A. All authors have read and agreed to the published version of the manuscript.
Funding
This research work was funded by Umm Al-Qura University, Saudi Arabia, under grant number: 25UQU4331287GSSR02.
Data Availability Statement
Data are contained within the article.
Acknowledgments
The authors extend their appreciation to Umm Al-Qura University, Saudi Arabia, for funding this research work through grant number: 25UQU4331287GSSR02.
Conflicts of Interest
The authors declare no conflicts of interest.
References
- Tarasov, V.E. Fractional Dynamics: Applications of Fractional Calculus to Dynamics of Particles, Fields and Media; Springer: Berlin/Heidelberg, Germany, 2011. [Google Scholar]
- Kilbas, A.A.; Srivastava, H.M.; Trujillo, J.J. Theory and Applications of Fractional Differential Equations; Elsevier: Amsterdam, The Netherlands, 2006; Volume 204. [Google Scholar]
- Atanackovic, T.M.; Pilipovic, S.; Stankovic, B.; Zorica, D. Fractional Calculus with Applications in Mechanics: Wave Propagation, Impact and Variational Principles; John Wiley & Sons: Hoboken, NJ, USA, 2014. [Google Scholar]
- Afreen, A.; Raheem, A. Study of a nonlinear system of fractional differential equations with deviated arguments via Adomian decomposition method. Int. J. Appl. Comput. Math. 2022, 8, 269. [Google Scholar] [CrossRef] [PubMed]
- Obeidat, N.A.; Rawashdeh, M.S.; Al Erjani, M.Q. A novel Adomian natural decomposition method with convergence analysis of nonlinear time-fractional differential equations. Int. J. Model. Simul. 2024. [Google Scholar] [CrossRef]
- Jafari, H.; Jassim, H.K.; Ansari, A.; Nguyen, V.T. Local fractional variational iteration transform method: A tool for solving local fractional partial differential equations. Fractals 2024, 32, 2440022. [Google Scholar] [CrossRef]
- Jose, S.; Parthiban, V. Finite-time synchronization of fractional order neural networks via sampled data control with time delay. J. Math. Comput. Sci. 2024, 35, 374–387. [Google Scholar] [CrossRef]
- Tripura, T.; Chakraborty, S. Wavelet neural operator for solving parametric partial differential equations in computational mechanics problems. Comput. Methods Appl. Mech. Eng. 2023, 404, 115783. [Google Scholar] [CrossRef]
- Zada, L.; Aziz, I. Numerical solution of fractional partial differential equations via Haar wavelet. Numer. Methods Partial Differ. Equ. 2022, 38, 222–242. [Google Scholar] [CrossRef]
- Yuttanan, B.; Razzaghi, M.; Vo, T.N. A numerical method based on fractional-order generalized Taylor wavelets for solving distributed-order fractional partial differential equations. Appl. Numer. Math. 2021, 160, 349–367. [Google Scholar] [CrossRef]
- Kumar, S.; Kumar, R.; Agarwal, R.P.; Samet, B. A study of fractional Lotka-Volterra population model using Haar wavelet and Adams-Bashforth-Moulton methods. Math. Methods Appl. Sci. 2020, 43, 5564–5578. [Google Scholar] [CrossRef]
- Diethelm, K. An efficient parallel algorithm for the numerical solution of fractional differential equations. Frac. Calc. Appl. Anal. 2011, 14, 475–490. [Google Scholar] [CrossRef]
- Farhood, A.K.; Mohammed, O.H. Homotopy perturbation method for solving time-fractional nonlinear variable-order delay partial differential equations. Partial Differ. Equ. Appl. Math. 2023, 7, 100513. [Google Scholar]
- Hafez, R.M.; Youssri, Y.H. Shifted Gegenbauer-Gauss collocation method for solving fractional neutral functional-differential equations with proportional delays. Kragujev. J. Math. 2022, 46, 981–996. [Google Scholar] [CrossRef]
- Hafez, R.M.; Youssri, Y.H. Shifted Jacobi collocation scheme for multidimensional time-fractional order telegraph equation. Iran. J. Numer. Anal. Optim. 2020, 10, 195–223. [Google Scholar]
- Avazzadeh, Z.; Nikan, O.; Nguyen, A.T.; Nguyen, V.T. A localized hybrid kernel meshless technique for solving the fractional Rayleigh–Stokes problem for an edge in a viscoelastic fluid. Eng. Anal. Bound. Elem. 2023, 146, 695–705. [Google Scholar]
- Li, L.; Li, D. Exact solutions and numerical study of time fractional Burgers’ equations. Appl. Math. Lett. 2020, 100, 106011. [Google Scholar]
- Akram, T.; Abbas, M.; Riaz, M.B.; Ismail, A.I.; Ali, N.M. An efficient numerical technique for solving time fractional Burgers equation. Alex. Eng. J. 2020, 59, 2201–2220. [Google Scholar]
- Pirkhedri, A. Applying Haar-Sinc spectral method for solving time-fractional Burger equation. Math. Comput. Sci. 2024, 5, 43–54. [Google Scholar]
- Dwivedi, H.K.; Rajeev. A novel fast second order approach with high-order compact difference scheme and its analysis for the tempered fractional Burgers equation. Math. Comput. Simul. 2025, 227, 168–188. [Google Scholar]
- Singh, J.; Kumar, D.; Swroop, R. Numerical solution of time-and space-fractional coupled Burgers’ equations via homotopy algorithm. Alex. Eng. J. 2016, 55, 1753–1763. [Google Scholar]
- Ali, I.; Haq, S.; Aldosary, S.F.; Nisar, K.S.; Ahmad, F. Numerical solution of one-and two-dimensional time-fractional Burgers equation via Lucas polynomials coupled with Finite difference method. Alex. Eng. J. 2022, 61, 6077–6087. [Google Scholar]
- Mittal, A.K. Spectrally accurate approximate solutions and convergence analysis of fractional Burgers’ equation. Arabian J. Math. 2020, 9, 633–644. [Google Scholar]
- Chawla, R.; Deswal, K.; Kumar, D.; Baleanu, D. Numerical simulation for generalized time-fractional Burgers’ equation with three distinct linearization schemes. J. Comput. Nonlinear Dynam. 2023, 18, 041001. [Google Scholar]
- Huang, Y.; Mohammadi Zadeh, F.; Hadi Noori Skandari, M.; Ahsani Tehrani, H.; Tohidi, E. Space–time Chebyshev spectral collocation method for nonlinear time-fractional Burgers equations based on efficient basis functions. Math. Methods Appl. Sci. 2021, 44, 4117–4136. [Google Scholar] [CrossRef]
- Zongo, G.; Ousséni, S.; Barro, G. a numerical method to solve the viscosity problem of the Burgers equation. Adv. Differ. Equ. Control Process. 2024, 31, 153–164. [Google Scholar] [CrossRef]
- Hamadou, B.; Wassiha, N.A.; Bassono, F.; Youssouf, M.; Moussa, B. approximated solutions of the homogeneous linear fractional diffusion-convection-reaction equation. Adv. Differ. Equ. Control Process. 2024, 31, 257–274. [Google Scholar] [CrossRef]
- Boyd, J.P. Chebyshev and Fourier Spectral Methods; Courier Corporation: Chelmsford, MA, USA, 2001. [Google Scholar]
- Shen, J.; Tang, T.; Wang, L.L. Spectral Methods: Algorithms, Analysis and Applications, 1st ed.; Springer: New York, NY, USA, 2011. [Google Scholar]
- Postavaru, O. An efficient numerical method based on Fibonacci polynomials to solve fractional differential equations. Math. Comput. Simul. 2023, 212, 406–422. [Google Scholar] [CrossRef]
- Manohara, G.; Kumbinarasaiah, S. Numerical solution of a modified epidemiological model of computer viruses by using Fibonacci wavelets. J. Anal. 2024, 32, 529–554. [Google Scholar]
- Singh, P.K.; Ray, S.S. A numerical approach based on Pell polynomial for solving stochastic fractional differential equations. Numer. Algorithms 2024, 97, 1513–1534. [Google Scholar]
- Çerdik Yaslan, H. Pell polynomial solution of the fractional differential equations in the Caputo–Fabrizio sense. Indian J. Pure Appl. Math. 2024. [Google Scholar] [CrossRef]
- Abd-Elhameed, W.M.; Alqubori, O.M.; Atta, A.G. A collocation procedure for treating the time-fractional FitzHugh-Nagumo differential equation using shifted Lucas polynomials. Mathematics 2024, 12, 3672. [Google Scholar] [CrossRef]
- Abd-Elhameed, W.M.; Alqubori, O.M.; Atta, A.G. A collocation approach for the nonlinear fifth-order KdV equations using certain shifted Horadam polynomials. Mathematics 2025, 13, 300. [Google Scholar] [CrossRef]
- Yadav, P.; Jahan, S.; Nisar, K.S. Solving fractional Bagley-Torvik equation by fractional order Fibonacci wavelet arising in fluid mechanics. Ain Shams Eng. J. 2024, 15, 102299. [Google Scholar] [CrossRef]
- Zheng, Z.; Yuan, H.; He, J. A Physics-Informed Neural Network model combined Pell–Lucas polynomials for solving the Lane–Emden type equation. Eur. Phys. J. Plus 2024, 139, 223. [Google Scholar] [CrossRef]
- Chaudhary, R.; Aeri, S.; Bala, A.; Kumar, R.; Baleanu, D. Solving system of fractional differential equations via Vieta-Lucas operational matrix method. Int. J. Appl. Comput. Math. 2024, 10, 14. [Google Scholar]
- Wang, W.; Wang, H. Some results on convolved (p,q)-Fibonacci polynomials. Integral Transform. Spec. Funct. 2015, 26, 340–356. [Google Scholar]
- Ramírez, J.L. On convolved generalized Fibonacci and Lucas Polynomials. Appl. Math. Comput. 2014, 229, 208–213. [Google Scholar]
- Şahin, A.; Ramirez, J.L. Determinantal and permanental representations of convolved Lucas polynomials. Appl. Math. Comput. 2016, 281, 314–322. [Google Scholar]
- Ye, X.; Zhang, Z. A common generalization of convolved generalized Fibonacci and Lucas polynomials and its applications. Appl. Math. Comput. 2017, 306, 31–37. [Google Scholar] [CrossRef]
- Abd-Elhameed, W.M.; Napoli, A. New formulas of convolved Pell polynomials. AIMS Math. 2022, 9, 565–593. [Google Scholar] [CrossRef]
- Abd-Elhameed, W.M.; Alqubori, O.M.; Napoli, A. On convolved Fibonacci polynomials. Mathematics 2024, 13, 22. [Google Scholar] [CrossRef]
- Hafez, R.M.; Youssri, Y.H. Review on Jacobi-Galerkin spectral method for linear PDEs in applied mathematics. Contemp. Math. 2024, 5, 2051–2088. [Google Scholar]
- Zhang, X.; Wang, J.; Wu, Z.; Tang, Z.; Zeng, X. Spectral Galerkin Methods for Riesz Space-Fractional Convection-Diffusion Equations. Fractal Fract. 2024, 8, 431. [Google Scholar] [CrossRef]
- Abd-Elhameed, W.M.; Alsuyuti, M.M. New spectral algorithm for fractional delay pantograph equation using certain orthogonal generalized Chebyshev polynomials. Commun. Nonlinear Sci. Numer. Simul. 2025, 141, 108479. [Google Scholar] [CrossRef]
- Abd-Elhameed, W.M.; Alqubori, O.M.; Al-Harbi, A.K.; Alharbi, M.H.; Atta, A.G. Generalized third-kind Chebyshev tau approach for treating the time fractional cable problem. Elect. Res. Arch. 2024, 32, 6200–6224. [Google Scholar] [CrossRef]
- Masoud, M. Numerical solution of systems of fractional order integro-differential equations with a Tau method based on monic Laguerre polynomials. J. Math. Anal. Model. 2022, 3, 1–13. [Google Scholar] [CrossRef]
- Sadri, K.; Amilo, D.; Hosseini, K.; Hinçal, E.; Seadawy, A.R. A tau-Gegenbauer spectral approach for systems of fractional integrodifferential equations with the error analysis. AIMS Math. 2024, 9, 3850–3880. [Google Scholar] [CrossRef]
- Banihashemi, S.; Jafari, H.; Babaei, A. A stable collocation approach to solve a neutral delay stochastic differential equation of fractional order. J. Comput. Appl. Math. 2022, 403, 113845. [Google Scholar] [CrossRef]
- Wang, F.; Zhao, Q.; Chen, Z.; Fan, C.M. Localized Chebyshev collocation method for solving elliptic partial differential equations in arbitrary 2D domains. Appl. Math. Comput. 2021, 397, 125903. [Google Scholar] [CrossRef]
- Ayalew, M.; Ayalew, M.; Aychluh, M. Numerical approximation of space-fractional diffusion equation using Laguerre spectral collocation method. Int. J. Math. Ind. 2025, 2450029. [Google Scholar] [CrossRef]
- Abd-Elhameed, W.M.; Alqubori, O.M.; Atta, A.G. A collocation procedure for the numerical treatment of the FitzHugh–Nagumo equation using a kind of Chebyshev polynomials. AIMS Math. 2025, 10, 1201–1223. [Google Scholar] [CrossRef]
- Hafez, R.M.; Youssri, Y.H. Legendre-collocation spectral solver for variable-order fractional functional differential equations. Comput. Methods Differ. Equ. 2020, 8, 99–110. [Google Scholar]
- Shafiq, M.; Abbas, M.; Abdullah, F.A.; Majeed, A.; Abdeljawad, T.; Alqudah, M.A. Numerical solutions of time fractional Burgers’ equation involving Atangana–Baleanu derivative via cubic B-spline functions. Results Phys. 2022, 34, 105244. [Google Scholar] [CrossRef]
- Wang, K.L.; He, C.H. A remark on Wang’s fractal variational principle. Fractals 2019, 27, 1950134. [Google Scholar]
- Podlubny, I. Fractional Differential Equations: An Introduction to Fractional Derivatives, Fractional Differential Equations, to Methods of Their Solution and Some of Their Applications; Elsevier: Amsterdam, The Netherlands, 1998; Volume 198. [Google Scholar]
- Raza, N.; Raza, A.; Ullah, M.A.; Gómez-Aguilar, J. Modeling and investigating the spread of COVID-19 dynamics with Atangana-Baleanu fractional derivative: A numerical prospective. Phys. Scr. 2024, 99, 035255. [Google Scholar] [CrossRef]
- Khan, M.A.; Atangana, A. Numerical Methods for Fractal-Fractional Differential Equations and Engineering: Simulations and Modeling; CRC Press: Boca Raton, FL, USA, 2023. [Google Scholar]
- Youssri, Y.H. A new operational matrix of Caputo fractional derivatives of Fermat polynomials: An application for solving the Bagley-Torvik equation. Adv. Differ. Equ. 2017, 2017, 73. [Google Scholar]
- Abd-Elhameed, W.M.; Al-Harbi, M.S.; Atta, A.G. New convolved Fibonacci collocation procedure for the Fitzhugh–Nagumo non-linear equation. Nonlinear Eng. 2024, 13, 20220332. [Google Scholar]
- Koepf, W. Hypergeometric Summation, 2nd ed.; Springer Universitext Series; Springer: Cham, Switzerland, 2014. [Google Scholar]
- Andrews, G.; Askey, R.; Roy, R. Special Functions; Cambridge University Press: Cambridge, UK, 1999; Volume 71. [Google Scholar]
- Luke, Y.L. Inequalities for generalized hypergeometric functions. J. Approx. Theory 1972, 5, 41–65. [Google Scholar]
- Gaunt, R.E. Bounds for modified Struve functions of the first kind and their ratios. J. Math. Anal. Appl. 2018, 468, 547–566. [Google Scholar]
- Jameson, G.J.O. The incomplete gamma functions. Math. Gaz. 2016, 100, 298–306. [Google Scholar]
- Ghafoor, A.; Fiaz, M.; Shah, K.; Abdeljawad, T. Analysis of nonlinear Burgers equation with time fractional Atangana-Baleanu-Caputo derivative. Heliyon 2024, 10, e33842. [Google Scholar] [CrossRef]
- Yadav, S.; Pandey, R.K. Numerical approximation of fractional Burgers equation with Atangana–Baleanu derivative in Caputo sense. Chaos Solitons Fractals 2020, 133, 109630. [Google Scholar]
Disclaimer/Publisher’s Note: The statements, opinions and data contained in all publications are solely those of the individual author(s) and contributor(s) and not of MDPI and/or the editor(s). MDPI and/or the editor(s) disclaim responsibility for any injury to people or property resulting from any ideas, methods, instructions or products referred to in the content. |
© 2025 by the authors. Licensee MDPI, Basel, Switzerland. This article is an open access article distributed under the terms and conditions of the Creative Commons Attribution (CC BY) license (https://creativecommons.org/licenses/by/4.0/).





