Dynamical Properties of a Stochastic Tumor–Immune System with Impulsive Perturbations and Regime Switching
Abstract
1. Introduction
2. Tumor–Immune Model and Preliminaries
2.1. Stochastic Tumor–Immune Model with Pulsed Effect and Regime Switching
2.2. Preliminaries
- (1)
- is absolutely continuous in the intervals and ,
- (2)
- For each , we have
- (3)
- satisfies the given system equation for , and at each , it satisfies the impulse condition.
- (1)
- If , then is said to be extinct;
- (2)
- If , then is said to be non-persistent in the mean;
- (3)
- If , then is said to be weakly persistent.
- (1)
- For any , it holds that .
- (2)
- For each , the diffusion matrix is symmetric and satisfies the inequalitywhere is a constant independent of .
- (3)
- There exists a bounded, open subset, , with a smooth boundary such that, for each , there exists a nonnegative function . The function is twice continuously differentiable in and satisfiesfor some constant, , and all .
3. Dynamic Analysis of the System
3.1. The Existence and Uniqueness of the Positive Solution
3.2. Extinction and Non-Persistence in the Mean
- (1)
- Extinction:
- If , the helper T-cells will eventually go extinct.
- If , the hunting T-cells will eventually go extinct.
- If , the tumor cells will eventually go extinct.
- (2)
- Non-persistence in the mean:
- If , the helper T-cells are non-persistent in the mean.
- If , both the hunting T-cells and the tumor cells are non-persistent in the mean.
Here,
- (1)
- Analysis of the Dynamics of the Helper T-Cells
- (2)
- Analysis of the Dynamics of the Hunting T-Cells
- (3)
- Analysis of the Dynamics of the Tumor Cells
3.3. Weak Persistence
3.4. Stationary Distribution
4. Numerical Simulations
4.1. Impact of Noise Intensity
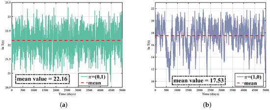
4.2. Impact of State Switching
4.3. Impact of
5. Conclusions
- In the presence of high-intensity white noise, tumor cell growth is significantly suppressed, with the suppression effect further enhanced by prolonged exposure.
- The relevant results of the extinction, persistence, and existence of the stationary distribution in the system address the importance of white noise intensity and exposure duration in influencing tumor dynamics, highlighting their potential as key factors in designing effective tumor control strategies.
Author Contributions
Funding
Data Availability Statement
Conflicts of Interest
References
- Guckenberger, M.; Opitz, I.; Dafni, U.; Fontecedro, A.C.; Scherz, A.; Elicin, O.; Addeo, A.; Aerts, J.; Dingemans, A.M.; Hendriks, L.; et al. 1417TiP Immunotherapy, chemotherapy and stereotactic radiotherapy to metastases, followed by definitive surgery or radiotherapy to the primary tumour, in patients with synchronous oligo-metastatic NSCLC: The ETOP CHESS trial. Ann. Oncol. 2020, 31, S895–S896. [Google Scholar] [CrossRef]
- Qu, X.; Zhou, D.; Lu, J.; Qin, D.; Zhou, J.; Liu, H.J. Cancer nanomedicine in preoperative therapeutics: Nanotechnology-enabled neoadjuvant chemotherapy, radiotherapy, immunotherapy, and phototherapy. Bioact. Mater. 2023, 24, 136–152. [Google Scholar] [CrossRef]
- Groenewold, M.D.; Olthof, C.G.; Bosch, D.J. Anaesthesia after neoadjuvant chemotherapy, immunotherapy or radiotherapy. BJA Educ. 2022, 22, 12–19. [Google Scholar] [CrossRef] [PubMed]
- Ganesan, P.; Sekaran, S.; Ramasamy, P.; Ganapathy, D. Systematic analysis of chemotherapy, immunotherapy, and combination therapy in Head and Neck Squamous Cell Carcinoma (HNSCC) clinical trials: Focusing on overall survival and progression-free survival outcomes. Oral Oncol. Rep. 2024, 12, 100673. [Google Scholar] [CrossRef]
- Pang, L.; Shen, L.; Zhao, Z. Mathematical modelling and analysis of the tumor treatment regimens with pulsed immunotherapy and chemotherapy. Comput. Math. Methods Med. 2016, 2016, 6260474. [Google Scholar] [CrossRef] [PubMed]
- Yang, J.; Tang, S.; Cheke, R.A. Modelling pulsed immunotherapy of tumour–immune interaction. Math. Comput. Simul. 2015, 109, 92–112. [Google Scholar] [CrossRef]
- Tang, S.; Li, S.; Tang, B.; Wang, X.; Xiao, Y.; Cheke, R.A. Hormetic and synergistic effects of cancer treatments revealed by modelling combinations of radio-or chemotherapy with immunotherapy. BMC Cancer 2023, 23, 1040. [Google Scholar] [CrossRef]
- Zhao, Z.; Pang, L.; Li, Q. Analysis of a hybrid impulsive tumor-immune model with immunotherapy and chemotherapy. Chaos Solitons Fractals 2021, 144, 110617. [Google Scholar] [CrossRef]
- Rouf, S.; Moore, C.; Saha, D.; Nguyen, D.; Bleile, M.L.; Timmerman, R.; Peng, H.; Jiang, S. PULSAR Effect: Revealing potential synergies in combined radiation therapy and immunotherapy via differential equations. J. Theor. Biol. 2025, 596, 111974. [Google Scholar] [CrossRef]
- Bashkirtseva, I.; Ryashko, L.; Seoane, J.M.; Sanjuán, M.A. Chaotic transitions in a tumor-immune model under chemotherapy treatment. Commun. Nonlinear Sci. Numer. Simul. 2024, 132, 107946. [Google Scholar] [CrossRef]
- Ngoc, N.T.Y.; Khoa, V.A. An explicit Fourier-Klibanov method for an age-dependent tumor growth model of Gompertz type. Appl. Numer. Math. 2024, 198, 401–418. [Google Scholar] [CrossRef]
- Khaliq, R.; Iqbal, P.; Bhat, S.A.; Sheergojri, A.R. A fuzzy mathematical model for tumor growth pattern using generalized Hukuhara derivative and its numerical analysis. Appl. Soft Comput. 2022, 118, 108467. [Google Scholar] [CrossRef]
- Dehingia, K.; Das, P.; Upadhyay, R.K.; Misra, A.K.; Rihan, F.A.; Hosseini, K. Modelling and analysis of delayed tumour–immune system with hunting T-cells. Math. Comput. Simul. (MATCOM) 2023, 203, 669–684. [Google Scholar] [CrossRef]
- Wang, J.; Shi, H.; Xu, L.; Zang, L. Hopf bifurcation and chaos of tumor-Lymphatic model with two time delays. Chaos Solitons Fractals 2022, 157, 111922. [Google Scholar] [CrossRef]
- Aamer, Z.; Jawad, S.; Batiha, B.; Ali, A.H.; Ghanim, F.; Lupaş, A.A. Evaluation of the Dynamics of Psychological Panic Factor, Glucose Risk and Estrogen Effects on Breast Cancer Model. Computation 2024, 12, 160. [Google Scholar] [CrossRef]
- Guo, Y.; Yao, T.; Wang, L.; Tan, J. Levy noise-induced transition and stochastic resonance in a tumor growth model. Appl. Math. Model. 2021, 94, 506–515. [Google Scholar] [CrossRef]
- Hua, M.; Wu, Y. Cross-correlated sine-Wiener noises-induced transitions in a tumor growth system. Commun. Nonlinear Sci. Numer. Simul. 2023, 126, 107489. [Google Scholar] [CrossRef]
- Li, D.; Xu, W.; Guo, Y.; Xu, Y. Fluctuations induced extinction and stochastic resonance effect in a model of tumor growth with periodic treatment. Phys. Lett. A 2011, 375, 886–890. [Google Scholar] [CrossRef]
- Lv, H.; He, G.; Cheng, H.; Peng, Y. Stochastic behaviors of an improved Gompertz tumor growth model with coupled two types noise. Heliyon 2022, 8, e11574. [Google Scholar] [CrossRef]
- Deng, Y.; Liu, M. Analysis of a stochastic tumor-immune model with regime switching and impulsive perturbations. Appl. Math. Model. 2020, 78, 482–504. [Google Scholar] [CrossRef]
- Yu, X.; Yuan, S.; Zhang, T. Persistence and ergodicity of a stochastic single species model with Allee effect under regime switching. Commun. Nonlinear Sci. Numer. Simul. 2018, 59, 359–374. [Google Scholar] [CrossRef]
- Chen, X.; Li, X.; Ma, Y.; Yuan, C. The threshold of stochastic tumor-immune model with regime switching. J. Math. Anal. Appl. 2023, 522, 126956. [Google Scholar] [CrossRef]
- Dritschel, H.; Waters, S.; Roller, A.; Byrne, H. A mathematical model of cytotoxic and helper T cell interactions in a tumor microenvironment. Lett. Biomath. 2018, 5, 1–33. [Google Scholar] [CrossRef]
- Gaach, M. Dynamics of the tumor-immune system competition: The effect of time delay. Int. J. Appl. Math. Comput. Sci. 2003, 13, 395–406. [Google Scholar]
- Yokoyama, W.M.; Kim, S.; French, A.R. The dynamic life of natural killer cells. Annu. Rev. Immunol. 2004, 22, 405–429. [Google Scholar] [CrossRef]
- Yang, H.; Tan, Y.; Yang, J. Dynamic behavior of stochastic prostate cancer system with comprehensive therapy under regime switching. Appl. Math. Model. 2023, 113, 398–415. [Google Scholar] [CrossRef]
- Kaur, G.; Ahmad, N. On Study of Immune Response to Tumor Cells in Prey-Predator System. Int. Sch. Res. Not. 2014, 2014, 346597. [Google Scholar] [CrossRef]
- Bingshuo, W.; Li, W.; Zhao, J.; Trišović, N. Longtime evolution and stationary response of a stochastic tumor-immune system with resting T cells. Math. Biosci. Eng. Spec. Issue Model. Investig.-Predat.-Prey Dyn. 2024, 21, 2813–2834. [Google Scholar]
- Li, W.; Wang, B.; Huang, D.; Rajic, V.; Zhao, J. Dynamical properties of a stochastic tumor–immune model with comprehensive pulsed therapy. Commun. Nonlinear Sci. Numer. Simul. 2025, 140, 108330. [Google Scholar] [CrossRef]
- Wang, L.; Jiang, D.; Feng, T. Threshold dynamics in a stochastic chemostat model under regime switching. Phys. A Stat. Mech. Its Appl. 2022, 599, 127454. [Google Scholar] [CrossRef]
- Zhan, J.; Wei, Y. Dynamical behavior of a stochastic non-autonomous distributed delay heroin epidemic model with regime-switching. Chaos Solitons Fractals 2024, 184, 115024. [Google Scholar] [CrossRef]
- Zhang, S.; Tan, D. Dynamics of a stochastic predator–prey system in a polluted environment with pulse toxicant input and impulsive perturbations. Appl. Math. Model. 2015, 39, 6319–6331. [Google Scholar] [CrossRef]
- Zhao, Y.; Yuan, S.; Ma, J. Survival and Stationary Distribution Analysis of a Stochastic Competitive Model of Three Species in a Polluted Environment. Bull. Math. Biol. 2015, 77, 1285–1326. [Google Scholar] [CrossRef] [PubMed]
- Liu, H.; Li, X.; Yang, Q. The ergodic property and positive recurrence of a multi-group Lotka–Volterra mutualistic system with regime switching. Syst. Control. Lett. 2013, 62, 805–810. [Google Scholar] [CrossRef]
- Mao, X.; Yuan, C. Stochastic Differential Equations with Markovian Switching; Imperial College Press: London, UK, 2006. [Google Scholar]
- Higham, D.J. An Algorithmic Introduction to Numerical Simulations of Stochastic Differentila Equations. SIAM Rev. 2001, 43, 525–546. [Google Scholar] [CrossRef]









Disclaimer/Publisher’s Note: The statements, opinions and data contained in all publications are solely those of the individual author(s) and contributor(s) and not of MDPI and/or the editor(s). MDPI and/or the editor(s) disclaim responsibility for any injury to people or property resulting from any ideas, methods, instructions or products referred to in the content. |
© 2025 by the authors. Licensee MDPI, Basel, Switzerland. This article is an open access article distributed under the terms and conditions of the Creative Commons Attribution (CC BY) license (https://creativecommons.org/licenses/by/4.0/).
Share and Cite
Zhao, J.; Wang, B.; Li, W.; Huang, D.; Rajic, V. Dynamical Properties of a Stochastic Tumor–Immune System with Impulsive Perturbations and Regime Switching. Mathematics 2025, 13, 928. https://doi.org/10.3390/math13060928
Zhao J, Wang B, Li W, Huang D, Rajic V. Dynamical Properties of a Stochastic Tumor–Immune System with Impulsive Perturbations and Regime Switching. Mathematics. 2025; 13(6):928. https://doi.org/10.3390/math13060928
Chicago/Turabian StyleZhao, Junfeng, Bingshuo Wang, Wei Li, Dongmei Huang, and Vesna Rajic. 2025. "Dynamical Properties of a Stochastic Tumor–Immune System with Impulsive Perturbations and Regime Switching" Mathematics 13, no. 6: 928. https://doi.org/10.3390/math13060928
APA StyleZhao, J., Wang, B., Li, W., Huang, D., & Rajic, V. (2025). Dynamical Properties of a Stochastic Tumor–Immune System with Impulsive Perturbations and Regime Switching. Mathematics, 13(6), 928. https://doi.org/10.3390/math13060928

