Partially Functional Linear Regression Based on Gaussian Process Prior and Ensemble Learning
Abstract
1. Introduction
2. Methodology
2.1. Functional Gaussian Process Regression Model with Random Effects
2.2. Parameter Estimation and Prediction Process
| Algorithm 1: Functional Gaussian Process Regression (FGPR). |
|
2.3. Ensemble Learning for FGPR
| Algorithm 2: Functional Gaussian Process Ensemble Regression (FGPER). |
|
3. Data Analysis
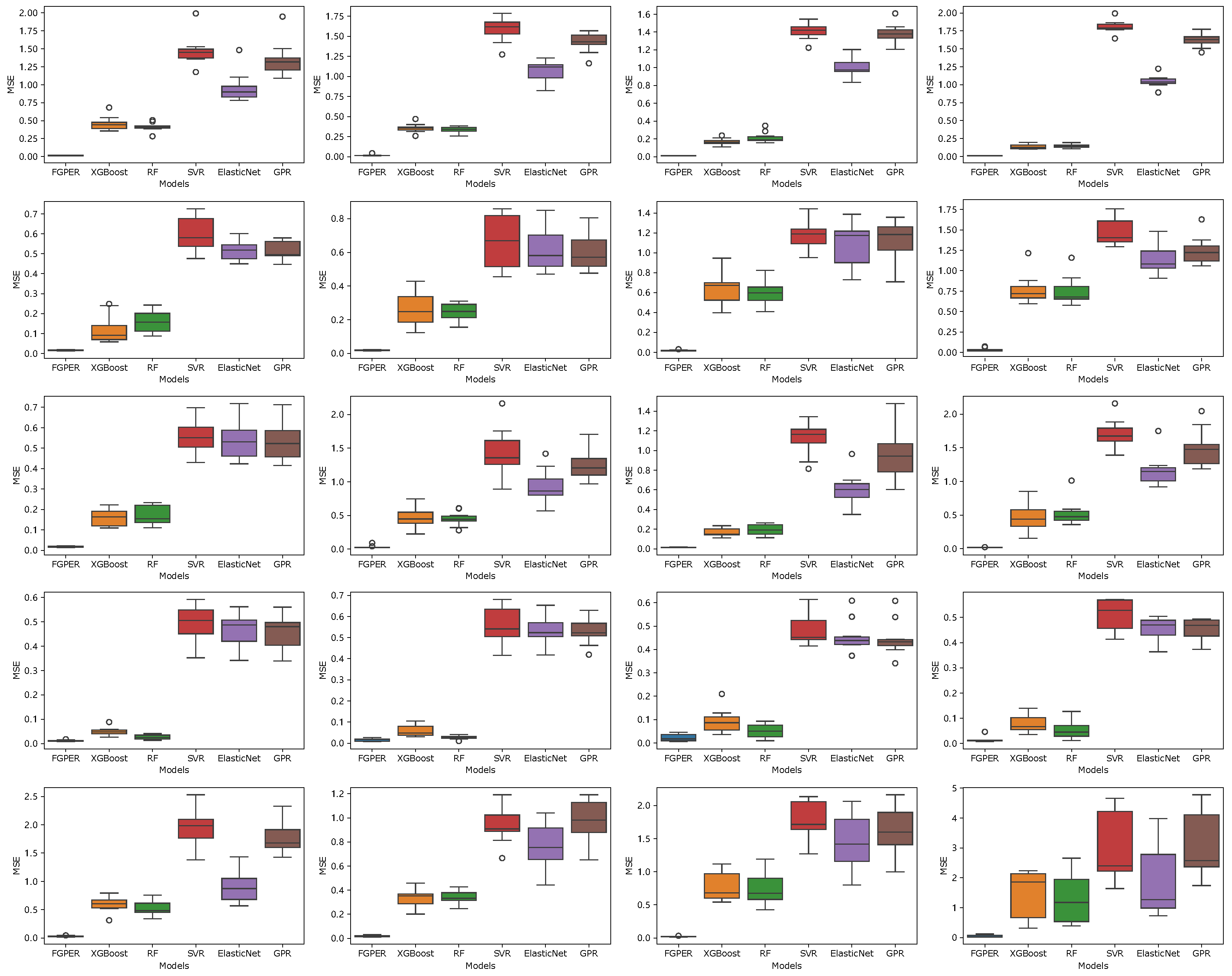
3.1. Simulation Studies
- (1)
- Assume a truncation level , where , a regularization parameter , and the number of sub-models fixed at 2, while keeping all other parameters constant.
- (2)
- Explore different values of the regularization parameter , with the number of sub-models set to 2, and all other parameters held fixed.
- (3)
- Investigate the impact of varying the number of sub-models , with the regularization parameter and all other parameters unchanged.
- (1)
- Consider that different total sample , S is a scale random variable with standard normal distribution and the other parameters remain unchanged.
- (2)
- Consider that the different variance of coefficient , , S is a scale random variable with standard normal distribution and the other parameters remain unchanged.
- (3)
- Consider that the different dimension of vector-valued predictors , , and the other parameters remain unchanged.
- (4)
- Let be a standard Brownian motion; consider that the different slope functions, or or or , , S is a scale random variable with standard normal distribution and the other parameters remain unchanged.
- (5)
- Consider that the different link functions, , , or , , S is a scale random variable with standard normal distribution and the other parameters remain unchanged.
3.2. Real Data Analysis
3.2.1. Tecator Data
3.2.2. Corn Data
4. Conclusions
Author Contributions
Funding
Data Availability Statement
Conflicts of Interest
References
- Yao, F.; Müller, H.G.; Wang, J.L. Functional data analysis for sparse longitudinal data. J. Am. Stat. Assoc. 2005, 100, 577–590. [Google Scholar] [CrossRef]
- Cai, T.T.; Hall, P. Prediction in Functional Linear Regression. Ann. Stat. 2006, 34, 2159–2179. [Google Scholar] [CrossRef]
- He, G.; Müller, H.G.; Wang, J.L.; Yang, W. Functional linear regression via canonical analysis. Bernoulli 2010, 16, 705–729. [Google Scholar] [CrossRef]
- Maronna, R.A.; Yohai, V.J. Robust functional linear regression based on splines. Comput. Stat. Data Anal. 2013, 65, 46–55. [Google Scholar] [CrossRef]
- Wang, J.L.; Chiou, J.M.; Müller, H.G. Functional data analysis. Annu. Rev. Stat. Its Appl. 2016, 3, 257–295. [Google Scholar] [CrossRef]
- Shin, H.; Lee, S. An RKHS approach to robust functional linear regression. Stat. Sin. 2016, 255–272. [Google Scholar] [CrossRef]
- Chiou, J.M.; Yang, Y.F.; Chen, Y.T. Multivariate functional linear regression and prediction. J. Multivar. Anal. 2016, 146, 301–312. [Google Scholar] [CrossRef]
- Benatia, D.; Carrasco, M.; Florens, J.P. Functional linear regression with functional response. J. Econom. 2017, 201, 269–291. [Google Scholar] [CrossRef]
- Gertheiss, J.; Rügamer, D.; Liew, B.X.; Greven, S. Functional data analysis: An introduction and recent developments. Biom. J. 2024, 66, e202300363. [Google Scholar] [CrossRef]
- Hall, P.; Hosseini-Nasab, M. On properties of functional principal components analysis. J. R. Stat. Soc. Ser. B Stat. Methodol. 2006, 68, 109–126. [Google Scholar] [CrossRef]
- Shang, H.L. A survey of functional principal component analysis. AStA Adv. Stat. Anal. 2014, 98, 121–142. [Google Scholar] [CrossRef]
- Chen, K.; Lei, J. Localized functional principal component analysis. J. Am. Stat. Assoc. 2015, 110, 1266–1275. [Google Scholar] [CrossRef]
- Warmenhoven, J.; Bargary, N.; Liebl, D.; Harrison, A.; Robinson, M.A.; Gunning, E.; Hooker, G. PCA of waveforms and functional PCA: A primer for biomechanics. J. Biomech. 2021, 116, 110106. [Google Scholar] [CrossRef]
- Park, Y.; Kim, H.; Lim, Y. Functional principal component analysis for partially observed elliptical process. Comput. Stat. Data Anal. 2023, 184, 107745. [Google Scholar] [CrossRef]
- Gomon, D.; Putter, H.; Fiocco, M.; Signorelli, M. Dynamic prediction of survival using multivariate functional principal component analysis: A strict landmarking approach. Stat. Methods Med. Res. 2024, 33, 256–272. [Google Scholar] [CrossRef]
- Shang, Z.; Cheng, G. Nonparametric inference in generalized functional linear models. Ann. Stat. 2015, 1742–1773. [Google Scholar] [CrossRef]
- Zhang, H.; Zou, G. Cross-validation model averaging for generalized functional linear model. Econometrics 2020, 8, 7. [Google Scholar] [CrossRef]
- Ahmedou, A.; Marion, J.M.; Pumo, B. Generalized linear model with functional predictors and their derivatives. J. Multivar. Anal. 2016, 146, 313–324. [Google Scholar] [CrossRef]
- Rodrigues, G.M.; Ortega, E.M.; Cordeiro, G.M. New Partially Linear Regression and Machine Learning Models Applied to Agronomic Data. Axioms 2023, 12, 1027. [Google Scholar] [CrossRef]
- Cordeiro, G.M.; Rodrigues, G.M.; Prataviera, F.; Ortega, E.M. A new quantile regression model with application to human development index. Comput. Stat. 2024, 39, 2925–2948. [Google Scholar] [CrossRef]
- Rodrigues, G.M.; Ortega, E.M.; Vila, R.; Cordeiro, G.M. A New Bivariate Family Based on Archimedean Copulas: Simulation, Regression Model and Application. Symmetry 2023, 15, 1778. [Google Scholar] [CrossRef]
- Hu, L.; Huang, T.; You, J. Robust inference in varying-coefficient additive models for longitudinal/functional data. Stat. Sin. 2021, 31, 773–796. [Google Scholar] [CrossRef]
- Zhu, X.; Cai, Z.; Ma, Y. Network functional varying coefficient model. J. Am. Stat. Assoc. 2022, 117, 2074–2085. [Google Scholar] [CrossRef]
- Tan, J.; Liang, D.; Guan, Y.; Huang, H. Graphical principal component analysis of multivariate functional time series. J. Am. Stat. Assoc. 2024, 119, 3073–3085. [Google Scholar] [CrossRef]
- Fan, Y.; James, G.M.; Radchenko, P. Functional Additive Regression. Ann. Stat. 2015, 43, 2296–2325. [Google Scholar] [CrossRef]
- Febrero-Bande, M.; González-Manteiga, W.; Oviedo De La Fuente, M. Variable selection in functional additive regression models. Comput. Stat. 2019, 34, 469–487. [Google Scholar] [CrossRef]
- Han, K.; Müller, H.G.; Park, B.U. Additive functional regression for densities as responses. J. Am. Stat. Assoc. 2020, 115, 997–1010. [Google Scholar] [CrossRef]
- Volkmann, A.; Stöcker, A.; Scheipl, F.; Greven, S. Multivariate functional additive mixed models. Stat. Model. 2023, 23, 303–326. [Google Scholar] [CrossRef]
- Yang, H.; Baladandayuthapani, V.; Rao, A.U.; Morris, J.S. Quantile function on scalar regression analysis for distributional data. J. Am. Stat. Assoc. 2020, 115, 90–106. [Google Scholar] [CrossRef]
- Jiang, F.; Cheng, Q.; Yin, G.; Shen, H. Functional censored quantile regression. J. Am. Stat. Assoc. 2020, 115, 931–944. [Google Scholar] [CrossRef]
- Li, M.; Wang, K.; Maity, A.; Staicu, A.M. Inference in functional linear quantile regression. J. Multivar. Anal. 2022, 190, 104985. [Google Scholar] [CrossRef]
- Shin, H. Partial functional linear regression. J. Stat. Plan. Inference 2009, 139, 3405–3418. [Google Scholar] [CrossRef]
- Aneiros, G.; Ferraty, F.; Vieu, P. Variable selection in partial linear regression with functional covariate. Statistics 2015, 49, 1322–1347. [Google Scholar] [CrossRef]
- Kong, D.; Xue, K.; Yao, F.; Zhang, H.H. Partially functional linear regression in high dimensions. Biometrika 2016, 103, 147–159. [Google Scholar] [CrossRef]
- Du, J.; Zhao, H.; Zhang, Z. Dynamic partially functional linear regression model. Stat. Methods Appl. 2019, 28, 679–693. [Google Scholar] [CrossRef]
- Xu, W.; Ding, H.; Zhang, R.; Liang, H. Estimation and inference in partially functional linear regression with multiple functional covariates. J. Stat. Plan. Inference 2020, 209, 44–61. [Google Scholar] [CrossRef]
- Boente, G.; Salibian-Barrera, M.; Vena, P. Robust estimation for semi-functional linear regression models. Comput. Stat. Data Anal. 2020, 152, 107041. [Google Scholar] [CrossRef]
- Guo, K.; Fan, J.; Zhu, L. Optimal prediction for kernel-based semi-functional linear regression. Anal. Appl. 2024, 22, 467–505. [Google Scholar] [CrossRef]
- Liu, J.; Shi, L. Statistical Optimality of Divide and Conquer Kernel-based Functional Linear Regression. J. Mach. Learn. Res. 2024, 25, 1–56. [Google Scholar]
- Xiao, P.; Wang, G. Partial functional linear regression with autoregressive errors. Commun. Stat.-Theory Methods 2022, 51, 4515–4536. [Google Scholar] [CrossRef]
- Papacharalampous, G.; Tyralis, H.; Doulamis, N.; Doulamis, A. Ensemble learning for blending gridded satellite and gauge-measured precipitation data. Remote Sens. 2023, 15, 4912. [Google Scholar] [CrossRef]
- Papacharalampous, G.; Tyralis, H.; Doulamis, A.; Doulamis, N. Comparison of tree-based ensemble algorithms for merging satellite and earth-observed precipitation data at the daily time scale. Hydrology 2023, 10, 50. [Google Scholar] [CrossRef]
- Panigrahi, R.; Kuanar, S.K.; Misra, S.; Kumar, L. Class-level refactoring prediction by ensemble learning with various feature selection techniques. Appl. Sci. 2022, 12, 12217. [Google Scholar] [CrossRef]
- Saheed, Y.K.; Misra, S. A voting gray wolf optimizer-based ensemble learning models for intrusion detection in the Internet of Things. Int. J. Inf. Secur. 2024, 23, 1557–1581. [Google Scholar] [CrossRef]
- Ogundokun, R.O.; Arowolo, M.O.; Damaševičius, R.; Misra, S. Phishing detection in blockchain transaction networks using ensemble learning. Telecom 2023, 4, 279–297. [Google Scholar] [CrossRef]
- Titsias, M. Variational learning of inducing variables in sparse Gaussian processes. In Artificial Intelligence and Statistics; PMLR: Westminster, UK, 2009; pp. 567–574. [Google Scholar]
- Sang, P.; Wang, L.; Cao, J. Parametric functional principal component analysis. Biometrics 2017, 73, 802–810. [Google Scholar] [CrossRef]
- Happ, C.; Greven, S. Multivariate functional principal component analysis for data observed on different (dimensional) domains. J. Am. Stat. Assoc. 2018, 113, 649–659. [Google Scholar] [CrossRef]
- Toman, P.; Ravishanker, N.; Lally, N.; Rajasekaran, S. Latent Autoregressive Student-t Prior Process Models to Assess Impact of Interventions in Time Series. Future Internet 2023, 16, 8. [Google Scholar] [CrossRef]
- Lee, D.J.; Kim, T.H.; Mizen, P. Impulse response analysis in conditional quantile models with an application to monetary policy. J. Econ. Dyn. Control 2021, 127, 104102. [Google Scholar] [CrossRef]
- Massaoudi, M.; Refaat, S.S.; Chihi, I.; Trabelsi, M.; Oueslati, F.S.; Abu-Rub, H. A novel stacked generalization ensemble-based hybrid LGBM-XGB-MLP model for Short-Term Load Forecasting. Energy 2021, 214, 118874. [Google Scholar] [CrossRef]
- Zhang, X.; Liu, C.A. Model averaging prediction by K-fold cross-validation. J. Econom. 2023, 235, 280–301. [Google Scholar] [CrossRef]
- Gardner, J.; Pleiss, G.; Weinberger, K.Q.; Bindel, D.; Wilson, A.G. Gpytorch: Blackbox matrix-matrix gaussian process inference with gpu acceleration. Adv. Neural Inf. Process. Syst. 2018, 31, 7587–7597. [Google Scholar]
- Ohashi, O.; Torgo, L. Spatial Interpolation Using Multiple Regression. In Proceedings of the 2012 IEEE 12th International Conference on Data Mining, Brussels, Belgium, 10–13 December 2012; pp. 1044–1049. [Google Scholar] [CrossRef]
- Zhao, Y. Statistical inference for missing data mechanisms. Stat. Med. 2020, 39, 4325–4333. [Google Scholar] [CrossRef] [PubMed]
- Das, K.; Srivastava, A.N. Sparse inverse kernel Gaussian Process regression. Stat. Anal. Data Mining ASA Data Sci. J. 2013, 6, 205–220. [Google Scholar] [CrossRef]
- Liu, Q.; Sun, S. Sparse multimodal Gaussian processes. In Proceedings of the Intelligence Science and Big Data Engineering: 7th International Conference, IScIDE 2017, Dalian, China, 22–23 September 2017; Proceedings 6. Springer: Berlin/Heidelberg, Germany, 2017; pp. 28–40. [Google Scholar]
- Lázaro-Gredilla, M.; Quinonero-Candela, J.; Rasmussen, C.E.; Figueiras-Vidal, A.R. Sparse spectrum Gaussian process regression. J. Mach. Learn. Res. 2010, 11, 1865–1881. [Google Scholar]
- Wang, H.; Liao, H.; Ma, X.; Bao, R. Remaining useful life prediction and optimal maintenance time determination for a single unit using isotonic regression and gamma process model. Reliab. Eng. Syst. Saf. 2021, 210, 107504. [Google Scholar] [CrossRef]
- Chen, B.; Paisley, J.; Carin, L. Sparse linear regression with beta process priors. In Proceedings of the 2010 IEEE International Conference on Acoustics, Speech and Signal Processing, Dallas, TX, USA, 14–19 March 2010; pp. 1234–1237. [Google Scholar]







| Models | Mean | Std | Mean | Std | Mean | Std | Mean | Std |
| FGPER | 0.098640 | 0.126373 | 0.126025 | 0.186339 | 0.086953 | 0.069864 | 0.045491 | 0.021083 |
| XGBoost | 0.549197 | 0.116231 | 0.590441 | 0.148662 | 0.563402 | 0.128894 | 0.560581 | 0.098390 |
| RF | 0.477162 | 0.086327 | 0.523641 | 0.139252 | 0.471567 | 0.065941 | 0.478471 | 0.080250 |
| SVR | 1.764694 | 0.250082 | 1.621323 | 0.262005 | 1.581664 | 0.172967 | 1.684526 | 0.148351 |
| ElasticNet | 1.136556 | 0.191602 | 1.085996 | 0.245034 | 1.034616 | 0.143284 | 1.063093 | 0.131600 |
| GPR | 1.581396 | 0.165444 | 1.568276 | 0.256959 | 1.454183 | 0.166309 | 1.526595 | 0.169808 |
| Models | Mean | Std | Mean | Std | Mean | Std | Mean | Std |
| FGPER | 0.050228 | 0.022433 | 0.050691 | 0.021653 | 0.049281 | 0.021083 | 0.049491 | 0.021083 |
| XGBoost | 0.570704 | 0.217868 | 0.661106 | 0.212304 | 0.573672 | 0.100748 | 0.560581 | 0.098390 |
| RF | 0.510012 | 0.138543 | 0.596936 | 0.183002 | 0.540912 | 0.065173 | 0.478471 | 0.080250 |
| SVR | 1.616256 | 0.333460 | 1.693738 | 0.312784 | 1.680597 | 0.185740 | 1.684526 | 0.148351 |
| ElasticNet | 1.187757 | 0.272964 | 1.202594 | 0.315123 | 1.052653 | 0.117864 | 1.063093 | 0.131600 |
| GPR | 1.613746 | 0.275219 | 1.607003 | 0.255500 | 1.474043 | 0.112316 | 1.526595 | 0.169808 |
| Models | Mean | Std | Mean | Std | Mean | Std | Mean | Std |
| FGPER | 0.016246 | 0.008267 | 0.012357 | 0.003467 | 0.008798 | 0.000595 | 0.006431 | 0.000450 |
| XGBoost | 0.456975 | 0.092263 | 0.355759 | 0.052515 | 0.169690 | 0.033911 | 0.136347 | 0.030885 |
| RF | 0.411981 | 0.057457 | 0.336377 | 0.035882 | 0.213647 | 0.057039 | 0.147035 | 0.024851 |
| SVR | 1.468370 | 0.199291 | 1.581824 | 0.140730 | 1.410424 | 0.088077 | 1.806797 | 0.084530 |
| ElasticNet | 0.960186 | 0.196202 | 1.067378 | 0.131210 | 1.009096 | 0.098717 | 1.048206 | 0.079734 |
| GPR | 1.345697 | 0.234150 | 1.422681 | 0.114619 | 1.387111 | 0.099932 | 1.620321 | 0.090787 |
| Models | Mean | Std | Mean | Std | Mean | Std | Mean | Std |
| FGPER | 0.016001 | 0.002432 | 0.018172 | 0.003003 | 0.017709 | 0.005288 | 0.032225 | 0.019281 |
| XGBoost | 0.119501 | 0.067353 | 0.256691 | 0.098530 | 0.655191 | 0.177373 | 0.766155 | 0.172835 |
| RF | 0.161083 | 0.053426 | 0.244419 | 0.050225 | 0.594436 | 0.111841 | 0.748457 | 0.167476 |
| SVR | 0.598816 | 0.080846 | 0.663162 | 0.158682 | 1.176169 | 0.144068 | 1.468506 | 0.155171 |
| ElasticNet | 0.516020 | 0.045591 | 0.614075 | 0.120212 | 1.101984 | 0.215307 | 1.132061 | 0.168248 |
| GPR | 0.517602 | 0.042629 | 0.601169 | 0.102787 | 1.132612 | 0.181640 | 1.243282 | 0.159892 |
| Models | Mean | Std | Mean | Std | Mean | Std | Mean | Std |
| FGPER | 0.017960 | 0.002631 | 0.030871 | 0.021008 | 0.014782 | 0.001973 | 0.017069 | 0.002587 |
| XGBoost | 0.161433 | 0.041098 | 0.461541 | 0.140316 | 0.165535 | 0.040279 | 0.473812 | 0.205849 |
| RF | 0.172224 | 0.044897 | 0.448965 | 0.099995 | 0.193968 | 0.051856 | 0.521034 | 0.181238 |
| SVR | 0.556252 | 0.080299 | 1.431950 | 0.335770 | 1.127610 | 0.159568 | 1.705314 | 0.202938 |
| ElasticNet | 0.538738 | 0.088997 | 0.917172 | 0.254743 | 0.597466 | 0.162669 | 1.161193 | 0.220416 |
| GPR | 0.531335 | 0.087021 | 1.263785 | 0.243585 | 0.970141 | 0.243721 | 1.494299 | 0.264008 |
| Models | Mean | Std | Mean | Std | Mean | Std | Mean | Std |
| FGPER | 0.011461 | 0.002973 | 0.015561 | 0.006532 | 0.021902 | 0.014374 | 0.021902 | 0.014374 |
| XGBoost | 0.049655 | 0.015798 | 0.058902 | 0.027072 | 0.093646 | 0.048543 | 0.093646 | 0.048543 |
| RF | 0.026991 | 0.009399 | 0.027774 | 0.008165 | 0.050808 | 0.028309 | 0.050808 | 0.028309 |
| SVR | 0.495724 | 0.072706 | 0.560857 | 0.083317 | 0.489487 | 0.068534 | 0.489487 | 0.068534 |
| ElasticNet | 0.460491 | 0.067577 | 0.531369 | 0.065401 | 0.456434 | 0.064485 | 0.456434 | 0.064485 |
| GPR | 0.452279 | 0.068317 | 0.527670 | 0.057472 | 0.447556 | 0.070704 | 0.447556 | 0.070704 |
| Mean | Std | Mean | Std | Mean | Std | Mean | Std | |
| FGPER | 0.029017 | 0.009425 | 0.016963 | 0.006344 | 0.019385 | 0.005082 | 0.052358 | 0.041435 |
| XGBoost | 0.594788 | 0.126136 | 0.331461 | 0.070165 | 0.771248 | 0.209477 | 1.469129 | 0.746415 |
| RF | 0.521808 | 0.125378 | 0.342783 | 0.050232 | 0.740279 | 0.222310 | 1.320688 | 0.824698 |
| SVR | 1.950513 | 0.293679 | 0.947603 | 0.150999 | 1.779695 | 0.284965 | 3.023473 | 1.165839 |
| ElasticNet | 0.889827 | 0.254545 | 0.772006 | 0.180410 | 1.451167 | 0.428549 | 1.948809 | 1.179469 |
| GPR | 1.769385 | 0.253185 | 0.981258 | 0.160671 | 1.632196 | 0.352799 | 3.112119 | 1.114236 |
| Models | Mean | Std |
|---|---|---|
| EFGPR | 1.570512 | 0.245816 |
| XGBoost | 1.713891 | 0.625767 |
| RF | 3.009488 | 1.202091 |
| SVR | 4.187361 | 0.706389 |
| ElasticNet | 2.282835 | 0.718402 |
| GPR | 3.553845 | 0.599632 |
| Models | Mean | Standard Deviation |
|---|---|---|
| EFGPR | 0.065086 | 0.012762 |
| XGBoost | 0.080411 | 0.027119 |
| RF | 0.093839 | 0.021709 |
| SVR | 0.176264 | 0.030072 |
| ElasticNet | 0.177012 | 0.026024 |
| GPR | 0.242407 | 0.036339 |
Disclaimer/Publisher’s Note: The statements, opinions and data contained in all publications are solely those of the individual author(s) and contributor(s) and not of MDPI and/or the editor(s). MDPI and/or the editor(s) disclaim responsibility for any injury to people or property resulting from any ideas, methods, instructions or products referred to in the content. |
© 2025 by the authors. Licensee MDPI, Basel, Switzerland. This article is an open access article distributed under the terms and conditions of the Creative Commons Attribution (CC BY) license (https://creativecommons.org/licenses/by/4.0/).
Share and Cite
Sun, W.; Xu, J.; Liu, T. Partially Functional Linear Regression Based on Gaussian Process Prior and Ensemble Learning. Mathematics 2025, 13, 853. https://doi.org/10.3390/math13050853
Sun W, Xu J, Liu T. Partially Functional Linear Regression Based on Gaussian Process Prior and Ensemble Learning. Mathematics. 2025; 13(5):853. https://doi.org/10.3390/math13050853
Chicago/Turabian StyleSun, Weice, Jiaqi Xu, and Tao Liu. 2025. "Partially Functional Linear Regression Based on Gaussian Process Prior and Ensemble Learning" Mathematics 13, no. 5: 853. https://doi.org/10.3390/math13050853
APA StyleSun, W., Xu, J., & Liu, T. (2025). Partially Functional Linear Regression Based on Gaussian Process Prior and Ensemble Learning. Mathematics, 13(5), 853. https://doi.org/10.3390/math13050853

