Growth of Oxygen Minimum Zones May Indicate Approach of Global Anoxia
Abstract
1. Introduction
1.1. General Context
1.2. Oxygen in the Ocean
1.3. Methodology, Goals, and an Outline of the Main Result
2. Mathematical Model of Oxygen–Phytoplankton Dynamics: Nonspatial Case
- The extinction (trivial) steady state always exists without any dependence on the choice of parameter values.
3. Spatiotemporal Dynamics of the OMZ
3.1. 1D Case
3.2. OMZ Dynamics in the 2D Case
4. Discussion and Concluding Remarks
Author Contributions
Funding
Data Availability Statement
Acknowledgments
Conflicts of Interest
Appendix A
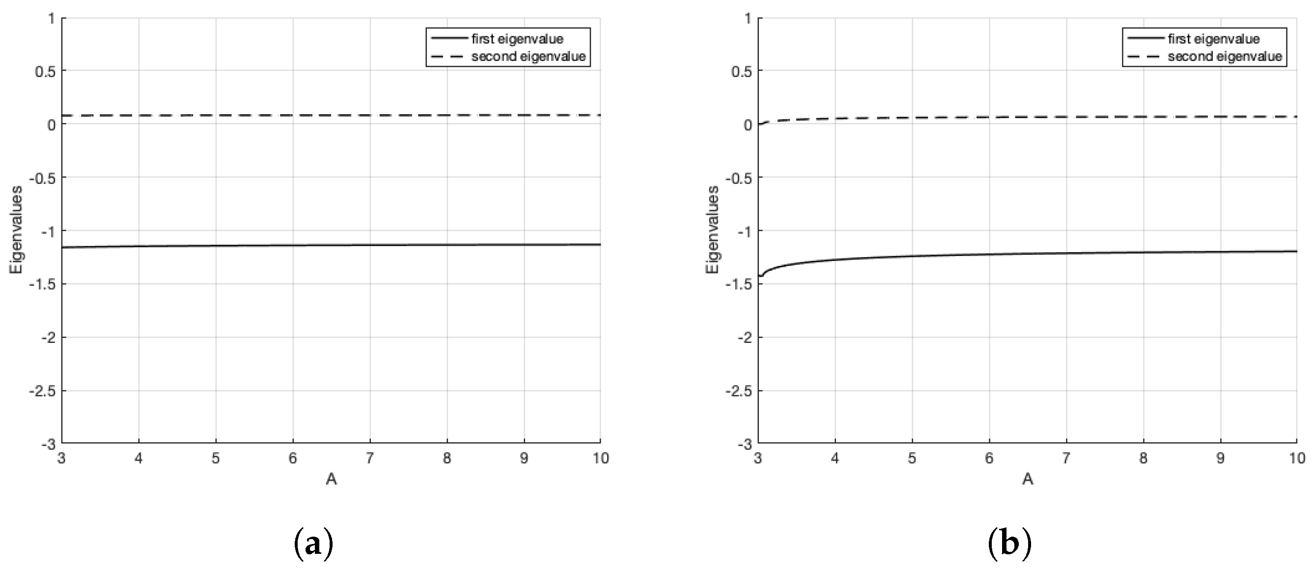
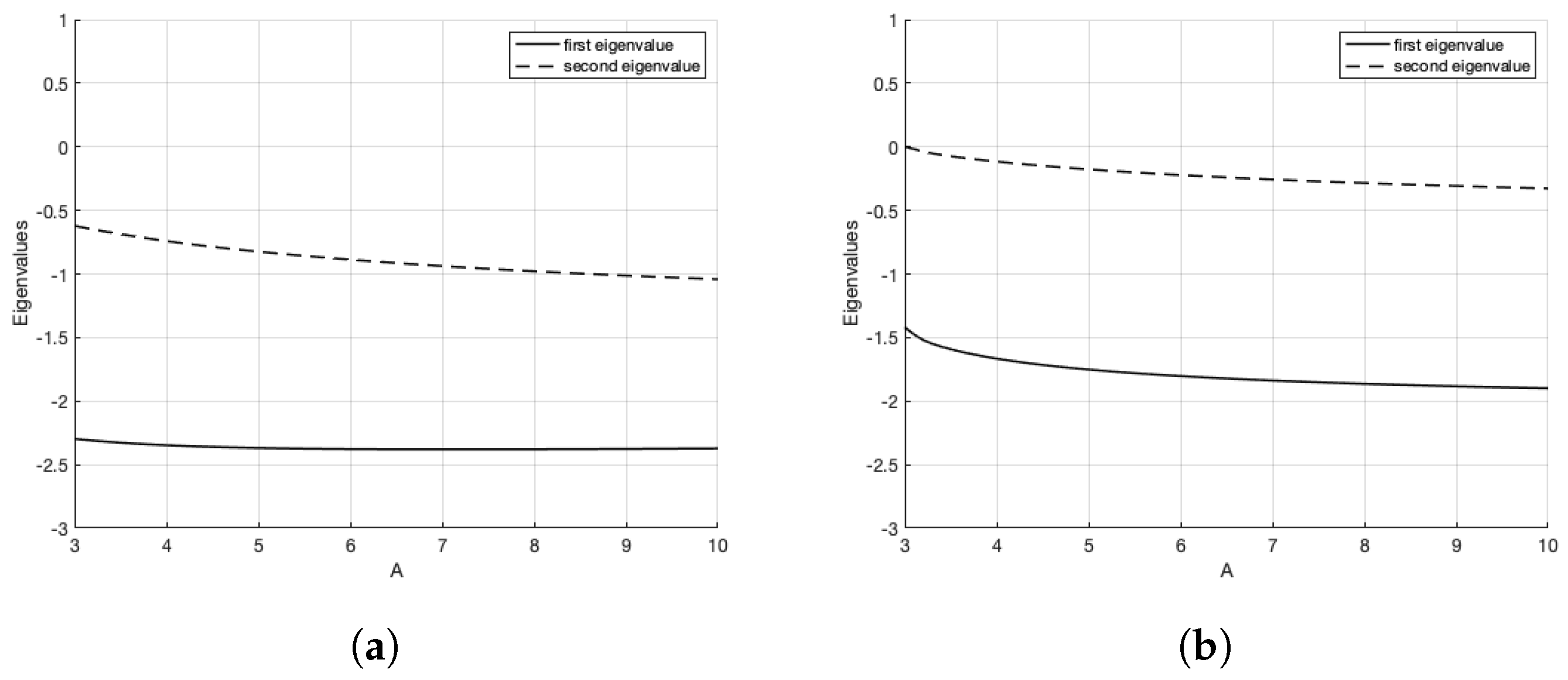
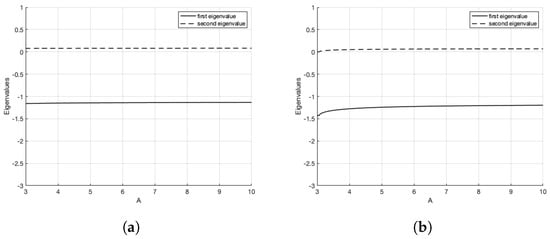
- Extinction steady stateFor the stability of , we need to find the roots of the following characteristic equation:where represents the eigenvalues of this matrix. Thus, the eigenvalues are and , which means that the extinction steady state is always stable.
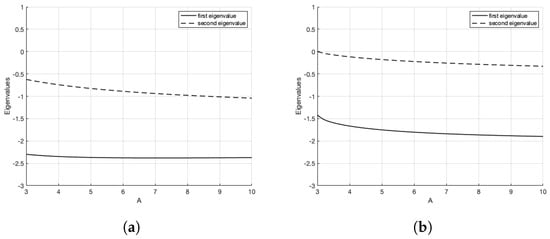
- Positive steady states and






References
- Alley, R.; Marotzke, J.; Nordhaus, W.; Overpeck, J.; Peteet, D.; Pielke, R.; Pierrehumbert, R.; Rhines, P.; Stocker, T.; Talley, L.; et al. Abrupt Climate Change. Science 2003, 299, 2005–2010. [Google Scholar] [CrossRef] [PubMed]
- Lenton, T.; Held, H.; Kriegler, E.; Hall, J.; Lucht, W.; Rahmstorf, S.; Schellnhuber, H. Tipping elements in the Earth’s climate system. Proc. Natl. Acad. Sci. USA 2008, 105, 1786–1793. [Google Scholar] [CrossRef] [PubMed]
- Rocha, J.C.; Peterson, G.; Bodin, O.; Levin, S. Cascading regime shifts within and across scales. Science 2018, 362, 1379–1383. [Google Scholar] [CrossRef] [PubMed]
- Lenton, T.; Rockström, J.; Gaffney, O.; Rahmstorf, S.; Richardson, K.; Steffen, W.; Schellnhuber, H.J. Climate tipping points—Too risky to bet against. Nature 2019, 575, 592–595. [Google Scholar] [CrossRef] [PubMed]
- Lenton, T. Tipping points in the climate system. Weather 2021, 76, 325–326. [Google Scholar] [CrossRef]
- McKay, D.; Abrams, J.; Winkelmann, R.; Sakschewski, B.; Loriani, S.; Fetzer, I.; Cornell, S.; Rockström, J.; Staal, A.; Lenton, T. Exceeding 1.5 °C global warming could trigger multiple climate tipping points. Science 2022, 377, eabn7950. [Google Scholar] [CrossRef]
- Ashwin, P.; Wieczorek, S.; Vitolo, R.; Cox, P. Tipping points in open systems: Bifurcation, noise-induced and rate-dependent examples in the climate system. Philos. Trans. R. Soc. A 2012, 370, 1166–1184. [Google Scholar] [CrossRef] [PubMed]
- O’Keeffe, P.; Wieczorek, S. Tipping phenomena and points of no return in ecosystems: Beyond classical bifurcations. SIAM J. Appl. Dyn. Syst. 2020, 19, 2371–2402. [Google Scholar] [CrossRef]
- Gregory, J.; Huybrechts, P. Ice-sheet contributions to future sea-level change. Phil. Tran. R. Soc. A 2006, 364, 1709–1732. [Google Scholar] [CrossRef] [PubMed]
- Robinson, A.; Calov, R.; Ganopolski, A. Multistability and critical thresholds of the Greenland ice sheet. Nat. Clim. Change 2012, 2, 429–432. [Google Scholar] [CrossRef]
- Scheffer, M.; Bascompte, J.; Brock, W.; Brovkin, V.; Carpenter, S.; Dakos, V.; Held, H.; van Nes, E.; Rietkerk, M.; Sugihara, G. Early-warning signals for critical transitions. Nature 2009, 461, 53–59. [Google Scholar] [CrossRef] [PubMed]
- Scheffer, M.; Carpenter, S.; Lenton, T.; Bascompte, J.; Brock, W.; Dakos, V.; van de Koppel, J.; van de Leemput, I.; Levin, S.; van Nes, E.; et al. Anticipating Critical Transitions. Science 2012, 338, 344–348. [Google Scholar] [CrossRef] [PubMed]
- Dakos, V.; Boulton, C.A.; Buxton, J.E.; Abrams, J.F.; Arellano-Nava, B.; Armstrong McKay, D.I.; Bathiany, S.; Blaschke, L.; Boers, N.; Dylewsky, D.; et al. Tipping point detection and early warnings in climate, ecological, and human systems. Earth Syst. Dyn. 2024, 15, 1117–1135. [Google Scholar] [CrossRef]
- Lucarini, V.; Chekroun, M. Detecting and Attributing Change in Climate and Complex Systems: Foundations, Green’s Functions, and Nonlinear Fingerprints. Phys. Rev. Lett. 2024, 133, 244201. [Google Scholar] [CrossRef] [PubMed]
- Watson, A.; Lenton, T.; Mills, B. Ocean deoxygenation, the global phosphorus cycle and the possibility of human-caused large-scale ocean anoxia. Philos. Trans. A 2017, 375, 20160318. [Google Scholar] [CrossRef]
- Breitburg, D.; Levin, L.A.; Oschlies, A.; Grégoire, M.; Chavez, F.P.; Conley, D.J.; Garçon, V.; Gilbert, D.; Gutiérrez, D.; Isensee, K.; et al. Declining oxygen in the global ocean and coastal waters. Science 2018, 359, eaam7240. [Google Scholar] [CrossRef] [PubMed]
- O’Boyle, S. Oxygen Depletion in Coastal Waters and the Open Ocean; CRC: Boca Raton, FL, USA; Taylor and Francis: Abingdon, UK, 2020. [Google Scholar]
- Borges, F.; Sampaio, E.; Santos, C.; Rosa, R. Impacts of low oxygen on marine life: Neglected, but a crucial priority for research. Biol. Bull. 2022, 243, 104–119. [Google Scholar] [CrossRef]
- Paulmier, A.; Ruiz-Pino, D. Oxygen minimum zones (OMZs) in the modern ocean. Prog. Oceanogr. 2009, 80, 113–128. [Google Scholar] [CrossRef]
- Véronique, G.; Johannes, K.; Artur, P.; Maciej, T.; Aparco, L.T.; Denise, B.; Francisco, C.; Paulo, C.; Marcela, C.; Carmen, S.; et al. Multidisciplinary observing in the world ocean’s Oxygen Minimum Zone regions: From climate to fish—The VOICE initiative. Front. Mar. Sci. 2019, 6, 722. [Google Scholar]
- Ito, T.; Minobe, S.; Long, M.; Deutsch, C. Upper ocean O2 trends: 1958–2015. Geophys. Res. Lett. 2017, 44, 4214–4223. [Google Scholar] [CrossRef]
- Richardson, K.; Bendtsen, J. Photosynthetic oxygen production in a warmer ocean: The Sargasso Sea as a case study. Phil. Trans. R. Soc. A 2017, 375, 20160329. [Google Scholar] [CrossRef]
- Lalli, C.; Parsons, T.R. Biological Oceanography: An Introduction; Elsevier: Amsterdam, The Netherlands, 1997. [Google Scholar]
- Stramma, L.; Johnson, G.C.; Sprintall, J.; Mohrholz, V. Expanding oxygen-minimum zones in the tropical oceans. Science 2008, 320, 655–658. [Google Scholar] [CrossRef]
- Devol, A. Vertical distribution of zooplankton respiration in relation to the intense oxygen minimum zones in two British Columbia fjords. J. Plankton Res. 1981, 3, 593–602. [Google Scholar] [CrossRef]
- Ruvalcaba Baroni, I.; Palastanga, V.; Slomp, C.P. Enhanced organic carbon burial in sediments of oxygen minimum zones upon ocean deoxygenation. Front. Mar. Sci. 2020, 6, 839. [Google Scholar] [CrossRef]
- Brandt, P.; Hormann, V.; Körtzinger, A.; Visbeck, M.; Krahmann, G.; Stramma, L.; Lumpkin, R.; Schmid, C. Changes in the ventilation of the oxygen minimum zone of the tropical North Atlantic. J. Phys. Oceanogr. 2010, 40, 1784–1801. [Google Scholar] [CrossRef]
- Seibel, B.A. Critical oxygen levels and metabolic suppression in oceanic oxygen minimum zones. J. Exp. Biol. 2011, 214, 326–336. [Google Scholar] [CrossRef]
- Stramma, L.; Prince, E.D.; Schmidtko, S.; Luo, J.; Hoolihan, J.P.; Visbeck, M.; Wallace, D.W.; Brandt, P.; Körtzinger, A. Expansion of oxygen minimum zones may reduce available habitat for tropical pelagic fishes. Nat. Clim. Change 2012, 2, 33–37. [Google Scholar] [CrossRef]
- Ito, T.; Deutsch, C. Variability of the oxygen minimum zone in the tropical North Pacific during the late twentieth century. Glob. Biogeochem. Cycles 2013, 27, 1119–1128. [Google Scholar] [CrossRef]
- Löscher, C.; Bange, H.W.; Schmitz, R.A.; Callbeck, C.M.; Engel, A.; Hauss, H.; Kanzow, T.; Kiko, R.; Lavik, G.; Loginova, A.N.; et al. Water column biogeochemistry of oxygen minimum zones in the eastern tropical North Atlantic and eastern tropical South Pacific oceans. Biogeosciences 2016, 13, 3585–3606. [Google Scholar] [CrossRef]
- Whitney, F.A.; Freeland, H.J.; Robert, M. Persistently declining oxygen levels in the interior waters of the eastern subarctic Pacific. Prog. Oceanogr. 2007, 75, 179–199. [Google Scholar] [CrossRef]
- Levitus, S.; Antonov, J.I.; Boyer, T.P.; Stephens, C. Warming of the world ocean. Science 2000, 287, 2225–2229. [Google Scholar] [CrossRef]
- Meredith, M.P.; King, J.C. Rapid climate change in the ocean west of the Antarctic Peninsula during the second half of the 20th century. Geophys. Res. Lett. 2005, 32, L19604. [Google Scholar] [CrossRef]
- Stramma, L.; Schmidtko, S.; Levin, L.A.; Johnson, G.C. Ocean oxygen minima expansions and their biological impacts. Deep Sea Res. Part Oceanogr. Res. Pap. 2010, 57, 587–595. [Google Scholar] [CrossRef]
- Stramma, L.; Oschlies, A.; Schmidtko, S. Mismatch between observed and modeled trends in dissolved upper-ocean oxygen over the last 50 yr. Biogeosciences 2012, 9, 4045–4057. [Google Scholar] [CrossRef]
- Palastanga, V.; Slomp, C.; Heinze, C. Glacial-interglacial variability in ocean oxygen and phosphorus in a global biogeochemical model. Biogeosciences 2013, 10, 945–958. [Google Scholar] [CrossRef]
- Cabré, A.; Marinov, I.; Bernardello, R.; Bianchi, D. Oxygen minimum zones in the tropical Pacific across CMIP5 models: Mean state differences and climate change trends. Biogeosciences 2015, 12, 5429–5454. [Google Scholar] [CrossRef]
- Cantrell, R.; Cosner, C. Spatial Ecology via Reaction-Diffusion Equations; John Wiley & Sons: Hoboken, NJ, USA, 2004. [Google Scholar]
- Malchow, H.; Petrovskii, S.; Venturino, E. Spatiotemporal Patterns in Ecology and Epidemiology: Theory, Models, Simulations; Chapman & Hall/CRC Press: Boca Raton, FL, USA, 2008. [Google Scholar]
- Okubo, A.; Levin, S. Diffusion and Ecological Problems: Modern Perspectives; Springer: Berlin/Heidelberg, Germany, 2001. [Google Scholar]
- Medvinsky, A.; Petrovskii, S.; Tikhonova, I.; Malchow, H.; Li, B. Spatiotemporal complexity of plankton and fish dynamics. SIAM Rev. 2002, 44, 311–370. [Google Scholar] [CrossRef]
- Reigada, R.; Hillary, R.; Bees, M.; Sancho, J.; Sagues, F. Plankton blooms induced by turbulent flows. Proc. R. Soc. Lond. B 2003, 270, 875–880. [Google Scholar] [CrossRef] [PubMed]
- Olla, P. Effect of demographic noise in a phytoplankton-zooplankton model of bloom dynamics. Phys. Rev. E 2013, 7, 012712. [Google Scholar] [CrossRef]
- Woodward, J.; Pitchford, J.; Bees, M. Physical flow effects can dictate plankton population dynamics. J. R. Soc. Interface 2019, 16, 20190247. [Google Scholar] [CrossRef] [PubMed]
- Volpert, V.; Petrovskii, S. Reaction–diffusion waves in biology. Phys. Life Rev. 2009, 6, 267–310. [Google Scholar] [CrossRef] [PubMed]
- Volpert, V.; Petrovskii, S. Reaction–diffusion waves in biology: New trends, recent developments. Phys. Life Rev. 2025, 52, 1–20. [Google Scholar] [CrossRef]
- Sekerci, Y.; Petrovskii, S. Mathematical modelling of plankton–oxygen dynamics under the climate change. Bull. Math. Biol. 2015, 77, 2325–2353. [Google Scholar] [CrossRef]
- Petrovskii, S.; Sekerci, Y.; Venturino, E. Regime shifts and ecological catastrophes in a model of plankton-oxygen dynamics under the climate change. J. Theor. Biol. 2017, 424, 91–109. [Google Scholar] [CrossRef]
- Sekerci, Y.; Petrovskii, S. Global warming can lead to depletion of oxygen by disrupting phytoplankton photosynthesis: A mathematical modelling approach. Geosciences 2018, 8, 201. [Google Scholar] [CrossRef]
- Varea, C.; Hernández, D.; Barrio, R. Soliton behaviour in a bistable reaction diffusion model. J. Math. Biol. 2007, 54, 797–813. [Google Scholar] [CrossRef]
- Wong, J.C.Y.; Raven, J.A.; Aldunate, M.; Silva, S.; Gaitán-Espitia, J.D.; Vargas, C.A.; Ulloa, O.; von Dassow, P. Do phytoplankton require oxygen to survive? A hypothesis and model synthesis from oxygen minimum zones. Limnol. Oceanogr. 2023, 68, 1417–1437. [Google Scholar] [CrossRef]
- Cortés-Téllez, A.A.; D’ors, A.; Sánchez-Fortún, A.; Fajardo, C.; Mengs, G.; Nande, M.; Martín, C.; Costa, G.; Martín, M.; Bartolomé, M.C.; et al. Assessing the long-term adverse effects of aluminium nanoparticles on freshwater phytoplankton using isolated-species and microalgal communities. Chemosphere 2024, 368, 143747. [Google Scholar] [CrossRef]
- Steele, J.; Henderson, E. A simple plankton model. Am. Nat. 1981, 117, 676–691. [Google Scholar] [CrossRef]
- Franks, P. NPZ models of plankton dynamics: Their construction, coupling to physics, and applications. J. Oceanogr. 2002, 58, 379–387. [Google Scholar] [CrossRef]
- Edelstein-Keshet, L. Mathematical Models in Biology; Classics in Applied Mathematics; SIAM: Philadelphia, PE, USA, 2005; Volume 46. [Google Scholar]
- Jordan, D.W.; Smith, P. Non-Linear Ordinary Differential Equations: Introduction for Scientists and Engineers, 4th ed.; Oxford University Press: Oxford, UK, 2007; ISBN 978-0-19-920825-8. [Google Scholar]
- Fife, P. Mathematical Aspects of Reacting and Diffusing Systems; Springer: Berlin/Heidelberg, Germany, 1979. [Google Scholar]
- Volpert, A.; Volpert, V.; Volpert, V. Traveling Wave Solutions of Parabolic Systems; AMS: Providence, RI, USA, 1994. [Google Scholar]
- Zeldovich, Y.; Barenblatt, G.; Librovich, V.; Makhviladze, G. The Mathematical Theory of Combustion and Explosions; Springer: New York, NY, USA, 1985. [Google Scholar]
- Mikhailov, A.; Loskutov, A.; Haken, H. Foundations of Synergetics I: Distributed Active Systems; Springer: Berlin/Heidelberg, Germany, 2012. [Google Scholar]
- Dunbar, S. Traveling wave solutions of diffusive Lotka– Volterra equations: A heteroclinic connection in R4. Trans. Am. Math. Soc. 1984, 268, 557–594. [Google Scholar]
- Okubo, A.; Maini, P.; Williamson, M.; Murray, J. On the spatial spread of the grey squirrel in Britain. Proc. R. Soc. B 1989, 238, 113–125. [Google Scholar]
- Murray, J. Mathematical Biology II: Spatial Models and Biomedical Applications; Springer: Berlin/Heidelberg, Germany, 2003. [Google Scholar]
- Lenton, T.; Livina, V.; Dakos, V.; van Nes, E.; Scheffer, M. Early warning of climate tipping points from critical slowing down: Comparing methods to improve robustness. Phil. Trans. R. Soc. A 2012, 370, 1185. [Google Scholar] [CrossRef]
- Boettner, C.; Boers, N. Critical slowing down in dynamical systems driven by nonstationary correlated noise. Phys. Rev. Res. 2022, 4, 013230. [Google Scholar] [CrossRef]
- Held, H.; Kleinen, T. Detection of climate system bifurcations by degenerate fingerprinting. Geophys. Res. Lett. 2004, 31, L23207. [Google Scholar] [CrossRef]
- Robinson, C. Plankton gross production and respiration in the shallow water hydrothermal systems of Milos, Aegean Sea. J. Plankton Res. 2000, 22, 887–906. [Google Scholar] [CrossRef]
- Morris, I.; Glover, H.; Yentsch, C. Products of photosynthesis by marine phytoplankton: The effect of environmental factors on the relative rates of protein synthesis. Mar. Biol. 1974, 27, 1–9. [Google Scholar] [CrossRef]
- Levin, L.A.; Ekau, W.; Gooday, A.J.; Jorissen, F.; Middelburg, J.J.; Naqvi, S.W.A.; Neira, C.; Rabalais, N.N.; Zhang, J. Effects of natural and human-induced hypoxia on coastal benthos. Biogeosciences 2009, 6, 2063–2098. [Google Scholar] [CrossRef]
- IPCC. Climate Change 2014: Synthesis Report. Contribution of Working Groups I, II and III to the Fifth Assessment Report of the Intergovernmental Panel on Climate Change (Core Writing Team); IPCC: Geneva, Switzerland, 2014. [Google Scholar]
- Alhassan, Y.; Siekmann, I.; Petrovskii, S. Mathematical model of oxygen minimum zones in the vertical distribution of oxygen in the ocean. Sci. Rep. 2024, 14, 22248. [Google Scholar] [CrossRef]
- Hahn, J.; Brandt, P.; Greatbatch, R.; Krahmann, G.; Körtzinger, A. Oxygen variance and meridional oxygen supply in the Tropical North East Atlantic oxygen minimum zone. Clim. Dyn. 2014, 43, 2999–3024. [Google Scholar] [CrossRef]
- Bettencourt, J.H.; López, C.; Hernández-García, E.; Montes, I.; Sudre, J.; Dewitte, B.; Paulmier, A.; Garçon, V. Boundaries of the Peruvian oxygen minimum zone shaped by coherent mesoscale dynamics. Nat. Geosci. 2015, 8, 937–941. [Google Scholar] [CrossRef]
- Brandt, P.; Bange, H.W.; Banyte, D.; Dengler, M.; Didwischus, S.-H.; Fischer, T.; Greatbatch, R.J.; Hahn, J.; Kanzow, T.; Karstensen, J.; et al. On the role of circulation and mixing in the ventilation of oxygen minimum zones with a focus on the eastern tropical North Atlantic. Biogeosciences 2015, 12, 489–512. [Google Scholar] [CrossRef]
- Chowdhury, P.; Banerjee, M.; Petrovskii, S. A two-timescale model of plankton–oxygen dynamics predicts formation of oxygen minimum zones and global anoxia. J. Math. Biol. 2024, 89, 8. [Google Scholar] [CrossRef]













Disclaimer/Publisher’s Note: The statements, opinions and data contained in all publications are solely those of the individual author(s) and contributor(s) and not of MDPI and/or the editor(s). MDPI and/or the editor(s) disclaim responsibility for any injury to people or property resulting from any ideas, methods, instructions or products referred to in the content. |
© 2025 by the authors. Licensee MDPI, Basel, Switzerland. This article is an open access article distributed under the terms and conditions of the Creative Commons Attribution (CC BY) license (https://creativecommons.org/licenses/by/4.0/).
Share and Cite
Alhassan, Y.; Petrovskii, S. Growth of Oxygen Minimum Zones May Indicate Approach of Global Anoxia. Mathematics 2025, 13, 806. https://doi.org/10.3390/math13050806
Alhassan Y, Petrovskii S. Growth of Oxygen Minimum Zones May Indicate Approach of Global Anoxia. Mathematics. 2025; 13(5):806. https://doi.org/10.3390/math13050806
Chicago/Turabian StyleAlhassan, Yazeed, and Sergei Petrovskii. 2025. "Growth of Oxygen Minimum Zones May Indicate Approach of Global Anoxia" Mathematics 13, no. 5: 806. https://doi.org/10.3390/math13050806
APA StyleAlhassan, Y., & Petrovskii, S. (2025). Growth of Oxygen Minimum Zones May Indicate Approach of Global Anoxia. Mathematics, 13(5), 806. https://doi.org/10.3390/math13050806

