A Green Supplier Selection Through an MCDM Based Framework Under Fuzzy Environment
Abstract
1. Introduction
2. Preliminaries
2.1. Z-Numbers
- (1)
- (Population of Taiwan, about 23 million, very sure)
- (2)
- (The price of houses, plummets 30–50%, not sure)
2.2. Arithmetical Operations of Discrete Z-Numbers
2.3. ZE-Numbers
2.4. Improved ELECTRE II
- Step 1. Establish a decision matrix
- Step 2. Normalize the decision matrix.
- Step 3. Calculate concordance and discordance indices
- Step 3.1. Calculate the concordance index
- Step 3.2. Calculate the discordance index
- Step 4. Calculate the credibility degree
- Step 5. Rank the alternatives
3. Proposed ZE-ELECTRE II
- Phase 1: The first stage is preparatory work, which consists of a description of the decision problem, identification of criteria, and of alternative and criteria weight.
- Phase 2: The second stage is ZE-numbers evaluation. The internal decision-maker provides the Z-number evaluation for each alternative and the information reliability under different criteria. In addition, external experts vote on the information reliability given by the internal decision-maker to correct this further so that the decision information can be both subjective and objective.
- Phase 3: The third stage is to convert the ZE-numbers evaluation into crisp numbers before proceeding to the improved ELECTRE II.
- Phase 4: The fourth stage is that of decision supporting, which ranks the programs based on the improved ELECTRE II proposed by Lin et al. [20].
- Step 1. Establish the decision matrix with Z-numbers
- Step 2. Obtain the credibility matrix E
- Step 3. Obtain the ZE-numbers matrix
- Step 4. Calculate the recognition matrix R
- Step 5. Normalize the decision matrix with Z-numbers
- Step 6. Convert ZE-numbers to Z-numbers
- Step 7. Estimate the hidden probabilities p(xi)
- Step 8. Convert the Z-numbers to crisp numbers
- Step 8.1. Convert fuzzy reliability () to crisp numbers
- Step 8.2. Calculate the average evaluation and standard deviation of constraints (A)
- Step 8.3. Convert Z-numbers to crisp numbers by reassembly of matrix G
- Step 9. Calculate concordance and discordance indices
- Step 9.1. Calculate the concordance index
- Step 9.2. Calculate the discordance index
- Step 10. Calculate degree of credibility
- Step 11. Rank the alternative
4. Illustrative Examples
4.1. Background Description
4.2. Calculation for Supplier Selection
- Phase 1: Preparatory Work
- Phase 2:ZE-numbers Evaluation
- Step 1. Establish the decision matrix with Z-numbers
- Steps 2–3. Obtain the credibility matrix E and ZE-numbers’ matrix
- Step 4. Calculate the recognition matrix R
- Step 5. Normalize the decision matrix with Z-numbers
- Phase 3: Convert ZE-numbers Evaluation to Crisp Evaluation
- Step 6. Convert ZE-numbers to Z-numbers
- Step 7. Estimate the hidden probabilities p(xi)
- Step 8. Convert the Z-numbers to crisp numbers
- Phase 4: Decision Supporting-Improved ELECTRE II
- Step 9.1. Calculate concordance index
- Step 9.2. Calculate the discordance index
- Step 10. Calculate the credibility degree
- Step 11. Ranking of Alternatives
5. Sensitivity Analysis
5.1. Impact of Voting Situations by External Experts
- (1)
- Situation 1: More than 50% of votes are in approval.
- (2)
- Situation 2: More than 50% of votes are against.
- (3)
- Situation 3: More than 50% of votes are hesitant.
- (4)
- Situation 4: The ratio of approval to against votes is 2:1.
- (5)
- Situation 5: The ratio of approval to against votes is 1:2.
5.2. Influence of Criteria Weight Adjustments
6. Results and Discussion
- (1)
- The issue of green supplier selection is a decision-making problem that is often used in practice. In the decision-making process, it is often impossible to give a crisp value in the face of multiple criteria, thus giving the opportunity for fuzzy number implantation. The proposed ZE-ELECTRE II method demonstrates strong applicability in addressing uncertainties commonly encountered in green supplier evaluation by utilizing ZE-numbers. These uncertainties, such as fluctuating environmental performance metrics or subjective assessments of sustainability practices, are systematically managed through a framework that combines both subjective and objective criteria. This integration ensures that decisions are not overly biased or arbitrary, thus enhancing the transparency and defensibility of supplier evaluations.
- (2)
- Furthermore, in the operation of this study example, in addition to the internal experts as the first level of evaluation, external experts (as the second level) are added to recheck the first level of scores. Thus, the entire evaluation process is more rigorous and the results are more trustworthy.
- (3)
- The sensitivity analysis provided by ZE-ELECTRE II further aids managers by anticipating potential decision shifts under different scenarios, thereby reducing the risks of selecting suppliers who may underperform environmentally or financially. Additionally, the use of OWA allows decision-makers to dynamically adjust weights based on varying stakeholder preferences, such as prioritizing sustainability over cost. This flexibility is essential for aligning supplier selection with organizational sustainability goals. By integrating these features, ZE-ELECTRE II not only supports environmentally responsible decision-making but also ensures robust and reliable outcomes in green supplier selection.
- (4)
- This paper assumes voting results using random numbers. As shown in Table 11, via the ZE-ELECTRE II proposed in this paper, the third supplier (A3) was chosen as the best green supplier. The result was supported by the other eleven previous methods [23,24,25,26,27,28,29,30,31,32,33]. The robustness of ZE-ELECTRE as proposed in this paper can thus be seen.
- (5)
- Figure 7 shows the hidden probabilities from C1 to C10 of A1. From the nine figures, it can be seen that some probability distributions show an inverted bell shape; some are pulled up, and some are lowered. For example, Figure 7e,f obviously increase the reliability of the information. As is known from the voting results of the external experts, there are more votes in approval than against, and the number of approval votes is more than half of the total number of votes. Figure 7h significantly decreases reliability and displays an inverted bell shape. From the voting results of the external experts, the number of votes against is more than the number of approval votes, and the number of votes against is more than half of the total number of votes cast. All the other figures slightly decrease the reliability of the information.
- (6)
- Impact of voting situations by external experts
- From Figure 9a,b, it can be observed that, under the random voting situation, all methods selected A3 as the top-ranked alternative, demonstrating the stability of these methods. However, in the results for situation 4, it was found that the traditional ELECTRE II and ELECTRE II proposed by An et al. selected A2 as the top-ranked alternative, which differs from the selection made by ZE-ELECTRE II and other MCDM methods. This difference primarily arises because these two methods do not consider the magnitude of the differences between alternatives but rely solely on weight-based calculations, leading to this result. Additionally, these methods also struggle to differentiate between alternatives that are very similar.
- The ZE-ELECTRE II method consistently identified the same top-ranked alternative as other MCDM methods, demonstrating its reliability in selecting the best option.
- Traditional ELECTRE II [27] and modified ELECTRE II [28] were found to exhibit limitations in differentiating between similar alternatives, often leading to ties in the rankings. ZE-ELECTRE II’s ability to effectively distinguish between highly similar alternatives enhances its practical applicability, particularly in complex decision-making scenarios where alternatives have subtle differences.
- ZE-ELECTRE II demonstrated a balance between sensitivity and stability. While ranking results showed minor variations in hesitant-majority scenarios, the method consistently provided a clear decision direction.
- Patterns and trends in rankings revealed that, even under distinct voting distributions, such as a 2:1 or 1:2 ratio of approval to against votes, the overall ranking trends remained consistent, highlighting the method’s adaptability to different expert opinions.
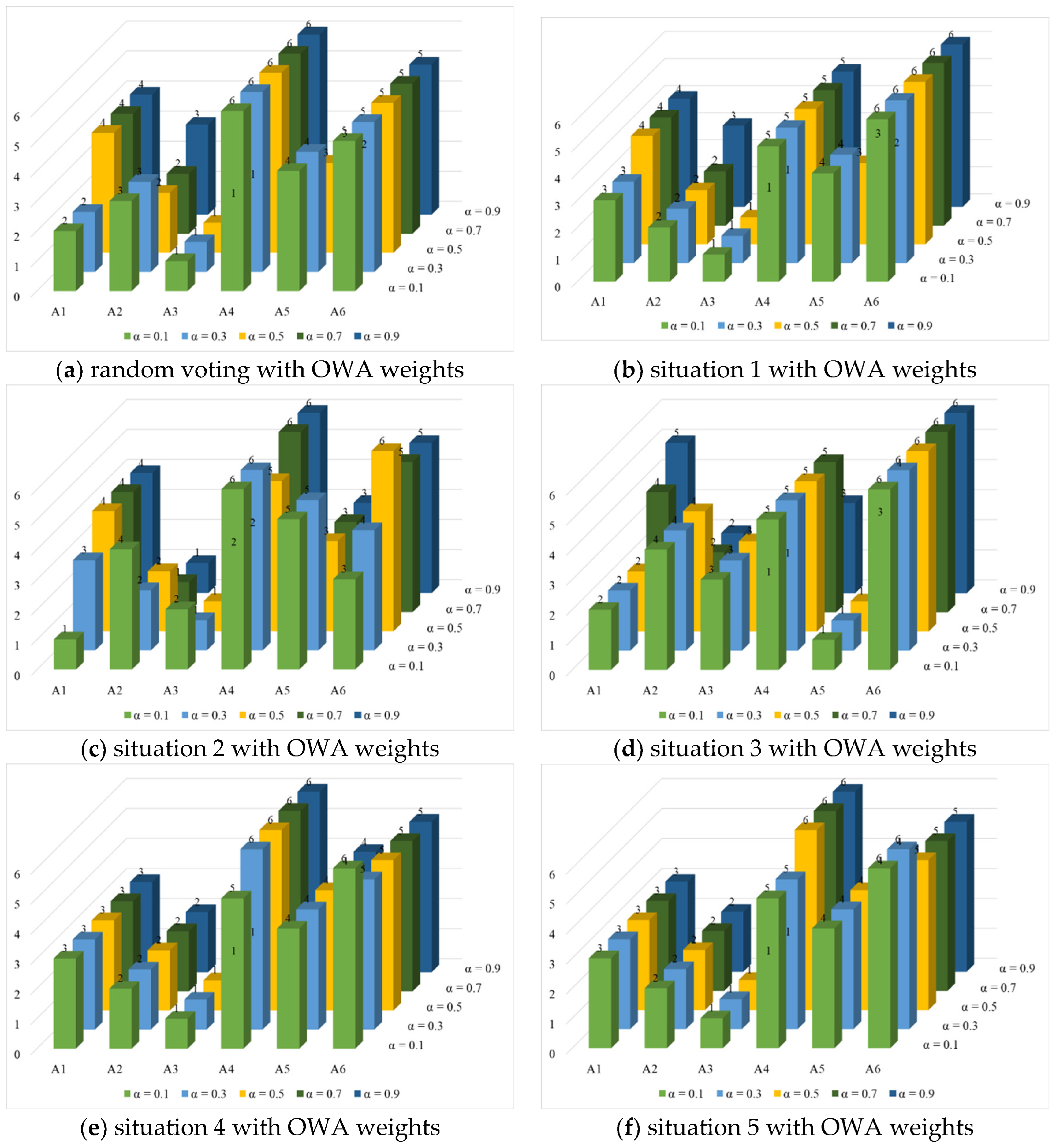
- (7)
- Influence of criteria weight adjustments
- From Table 14 and Figure 10a (random voting with OWA weights), A3 consistently ranks first across all decision-maker preferences (α = 0.1 to α = 0.9), demonstrating its strong competitiveness even under random voting conditions. A4, A5, and A6 remain consistently ranked lower, with minimal fluctuation, indicating their weaker performance in the evaluated criteria. The stability of rankings in a random scenario showcases ZE-ELECTRE II’s robustness in handling unstructured or arbitrary voting inputs.
- From Table 14 and Figure 10b (situation 1: majority approval with OWA weights), A3 maintains its dominance as the top-ranked option, reflecting its alignment with the majority approval perspective. A1 sees slight improvements in rankings at higher α values (α ≥ 0.5), indicating its growing competitiveness under more optimistic decision-maker preferences. Lower-ranked alternatives (A5 and A6) consistently remain at the bottom, unaffected by changes in α, suggesting their limited adaptability in this scenario.
- From Table 14 and Figure 10c (situation 2: majority against with OWA weights), A1 achieves the top rank at α = 0.1, reflecting its ability to align with more pessimistic decision-maker preferences. A3 regains its dominant position as α increases, underscoring its adaptability and resilience across varying preferences. A2, A4, A5, and A6 experience minor shifts, but their relative rankings remain largely consistent, indicating limited sensitivity to the majority against perspective.
- From Table 14 and Figure 10d (situation 3: hesitant majority with OWA weights), A5 emerges as the top-ranked option at α = 0.1 to α = 0.5, reflecting its competitiveness under more conservative decision-maker preferences. As α increases, A3 progressively takes over the top rank, demonstrating its ability to outperform in less hesitant contexts. A hesitant majority leads to greater variability in rankings compared to other scenarios, reflecting the complexity of aggregating indecisive inputs.
- From Table 14 and Figure 10e (situation 4: approval to against ratio 2:1 with OWA weights), A3 retains its dominance as the top-ranked alternative across all α values, reflecting its strong alignment with this favorable voting distribution. A2 and A1 show competitive performance but consistently trail behind A3, indicating their limited ability to outperform under this scenario. Lower-ranked alternatives (A5 and A6) remain unaffected by changes in α, highlighting their weaker adaptability.
- From Table 14 and Figure 10f (situation 5: approval to against ratio 1:2 with OWA weights), A3 consistently ranks first across all α values, showcasing its resilience even under less favorable voting distributions. A2 and A1 maintain their positions as close competitors, but they fail to surpass A3, highlighting its consistent strength. A4, A5, and A6 remain at the bottom, further confirming their limited competitiveness under this scenario.
- Across all situations and decision-maker preferences (α = 0.1 to α = 0.9), the top-ranked alternative remains stable for the majority of scenarios. This demonstrates the robustness and reliability of ZE-ELECTRE II in identifying the best alternative under varying conditions.
- Variations in rankings for specific alternatives (A5 and A6) show that ZE-ELECTRE II reflects the impact of decision-maker preferences. The method effectively captures shifts in rankings as preferences change from pessimistic (α = 0.1) to optimistic (α = 0.9) attitudes.
- Across all five structured voting scenarios, the rankings adapt well to different distributions of approval, hesitation, and opposition. This adaptability underscores ZE-ELECTRE II’s suitability for dynamic decision-making contexts.
- ZE-ELECTRE II consistently avoids ties between similar alternatives, even in hesitant or polarized scenarios (situation 3 or situation 5). This ability to provide clear rankings is a key advantage over traditional ELECTRE II and related methods.
7. Conclusions
Author Contributions
Funding
Data Availability Statement
Acknowledgments
Conflicts of Interest
References
- Zadeh, L.A. Information and control. Fuzzy Sets 1965, 8, 338–353. [Google Scholar]
- Zadeh, L.A. The concept of a linguistic variable and its application to approximate reasoning—I. Inf. Sci. 1975, 8, 199–249. [Google Scholar] [CrossRef]
- Atanassov, K. Intuitionistic fuzzy sets. Fuzzy Sets Syst. 1986, 20, 87–96. [Google Scholar] [CrossRef]
- Zadeh, L.A. A Note on Z-numbers. Inf. Sci. 2011, 181, 2923–2932. [Google Scholar] [CrossRef]
- Tian, Y.; Mi, X.; Ji, Y.; Kang, B. ZE-numbers: A new extended Z-numbers and its application on multiple attribute group decision making. Eng. Appl. Artif. Intell. 2021, 101, 104225. [Google Scholar] [CrossRef]
- Azadeh, A.; Saberi, M.; Atashbar, N.Z.; Chang, E.; Pazhoheshfar, P. Z-AHP: A Z-number extension of fuzzy analytical hierarchy process. In Proceedings of the 2013 7th IEEE International Conference on Digital Ecosystems and Technologies (DEST), California, CA, USA, 24–26 July 2013. [Google Scholar]
- Yaakob, A.M.; Gegov, A. Interactive TOPSIS based group decision making methodology using Z-Numbers. Int. J. Comput. Intell. Syst. 2014, 9, 311–324. [Google Scholar] [CrossRef]
- Azadeh, A.; Kokabi, R. Z-number DEA: A new possibilistic DEA in the context of Z-numbers. Adv. Eng. Inform. 2016, 30, 604–617. [Google Scholar] [CrossRef]
- Aboutorab, H.; Saberi, M.; Asadabadi, M.R.; Hussain, O.; Chang, E. ZBWM: The Z-number extension of best worst method and its application for supplier development. Expert Syst. Appl. 2018, 107, 115–125. [Google Scholar] [CrossRef]
- Shen, K.W.; Wang, J.Q. Z-VIKOR method based on a new comprehensive weighted distance measure of Z-number and its application. IEEE Trans. Fuzzy Syst. 2018, 26, 3232–3245. [Google Scholar] [CrossRef]
- Fan, J.; Guan, R.; Wu, M. Z-MABAC method for the selection of third-party logistics suppliers in fuzzy environment. IEEE Access 2020, 8, 199111–199119. [Google Scholar] [CrossRef]
- Unsal, O.; Demir, G.; Karakus, C.B.; Pamucar, D. Application of Z-number based fuzzy MCDM in solar power plant location selection problem in Spatial planning. Energy Rep. 2024, 12, 4034–4054. [Google Scholar] [CrossRef]
- Ashraf, S.; Akram, M.; Jana, C.; Jin, L.; Pamucar, D. Multi-criteria assessment of climate change due to green house effect based on Sugeno Weber model under spherical fuzzy Z-numbers. Inf. Sci. 2024, 606, 120428. [Google Scholar] [CrossRef]
- Gottwald, D.; Chocholac, J.; Çodur, M.K.; Cubranic-Dobrodolac, M.; Yazir, K. Z-Numbers-Based MCDM Approach for Personnel Selection at Institutions of Higher Education for Transportation. Mathematics 2024, 12, 523. [Google Scholar] [CrossRef]
- Haseli, G.; Torkayesh, A.E.; Hakiaghaei-Keshteli, M.; Venghaus, S. Sustainable resilient recycling partner selection for urban waste management: Consolidating perspectives of decision-makers and experts. Appl. Soft Comput. 2023, 127, 110120. [Google Scholar] [CrossRef]
- Haseli, G.; Ogel, I.Y.; Ecer, F.; Hajiaghaei-Keshteli, M. Luxury in female technology (FemTech): Selection of smart jewelry for women through BCM-MARCOS group decision-making framework with fuzzy ZE-numbers. Technol. Forecast. Soc. Chang. 2023, 196, 122870. [Google Scholar] [CrossRef]
- Haseli, G.; Bonab, S.R.; Hajiaghaei-Keshteli, M.; Ghoushchi, S.J.; Deveci, M. Fuzzy ZE-numbers framework in group decision-making using the BCM and CoCoSo to address sustainable urban transportation. Inf. Sci. 2024, 653, 119809. [Google Scholar] [CrossRef]
- Haseli, G.; Deveci, M.; Isik, M.; Gokasar, I.; Pamucar, D.; Hakiaghaei-Keshteli, M. Providing climate change resilient land-use transport projects with green finance using Z extended numbers based decision-making model. Expert Syst. Appl. 2024, 243, 122858. [Google Scholar] [CrossRef]
- Ecer, F.; Haseli, G.; Krishankumar, R.; Hakiaghaei-Keshteli, M. Evaluation of sustainable cold chain suppliers using a combined multi-criteria group decision-making framework under fuzzy ZE-numbers. Expert Syst. Appl. 2024, 245, 123063. [Google Scholar] [CrossRef]
- Lin, T.Y.; Hung, K.C.; Lin, K.P.; Hon, J.S.; Chiu, A.S.F. Improved ELECTRE II sustainability assessment framework in power generation technological evaluation. J. Intell. Fuzzy Syst. 2022, 43, 6405–6418. [Google Scholar] [CrossRef]
- Aliev, R.A.; Alizadeh, A.V.; Huseynov, O.H. The arithmetic of discrete Z-numbers. Inf. Sci. 2015, 290, 134–155. [Google Scholar] [CrossRef]
- Ezadi, S.; Allahviranloo, T.; Mohammadi, S. Two new methods for ranking of Z-numbers based on sigmoid function and sign method. J. Intell. Fuzzy Syst. 2018, 33, 1476–1487. [Google Scholar] [CrossRef]
- Jiang, W.; Xie, C.; Luo, Y.; Tang, Y. Ranking Z-numbers with an improved ranking method for generalized fuzzy numbers. J. Intell. Fuzzy Syst. 2017, 32, 1931–1943. [Google Scholar] [CrossRef]
- Benayoun, R.; Roy, B.; Sussman, B. ELECTRE: Une methode pour guider le choix en presence de points de vue multiples. Note De Trav. 1966, 49, 2–120. [Google Scholar]
- Puska, A.; Bozanic, D.; Medeljkovic, M.; Janosevic, M. Green supplier selection in an uncertain environment in agriculture using a hybrid MCDM model: Z-Numbers–Fuzzy LMAW–Fuzzy CRADIS Model. Axioms 2022, 11, 417. [Google Scholar] [CrossRef]
- Environmental Management Systems—Requirements with Guidance for Use. International Organization for Standardization: Geneva, Switzerland, 2015.
- Roy, B.; Bertier, P. La method ELECTRE II. Note De Trav. 1971, 142, 25. [Google Scholar]
- An, D.; Xi, B.; Wang, Y.; Xu, D.; Tang, J.; Dong, L.; Ren, J.; Pang, C. A sustainability assessment methodology for prioritizing the technologies of groundwater contamination remediation. J. Clean. Prod. 2016, 112, 4647–4656. [Google Scholar] [CrossRef]
- Churchman, C.W.; Ackoff, R.L. An approximate measure of value. J. Oper. Res. Soc. Am. 1954, 2, 172–187. [Google Scholar] [CrossRef]
- Hwang, C.L.; Yoon, K. Multiple Attribute Decision Making Methods and Applications: A State of the Art Survey; Springer: Berlin/Heidelberg, Germany, 1981. [Google Scholar]
- Opricovic, S. Multicriteria Opitimization of Civil Engineering Systems; Faculty of Civil Engineering: Belgrade, Serbia, 1998. [Google Scholar]
- Brauers, W.K.; Zavadskas, E.K. The MOORA method and its application to privatization in a transition economy. Control Cybern. 2006, 35, 445–469. [Google Scholar]
- Zavadskas, E.K.; Turskis, Z.; Antucheviciene, J.; Zakare-vicius, A. Optimization of weighted aggregated sum product assessment. Elektron. Ir Elektrotechnika 2012, 122, 3–6. [Google Scholar] [CrossRef]
- Pamucar, D.; Cirovic, G. The selection of transport and handling resources in logistics centers using multi-attributive border approximation area comparison (MABAC). Expert Syst. Appl. 2015, 42, 3016–3028. [Google Scholar] [CrossRef]
- Ghorabaee, M.K.; Zavadskas, E.K.; Olfat, L.; Turskis, Z. Multi-criteria inventory classification using a new method of evaluation based on distance from average solution (EDAS). Informatica 2015, 26, 435–451. [Google Scholar] [CrossRef]
- Yazdani, M.; Zarate, P.; Zavadskas, E.K.; Turskis, Z. A combined compromise solution (CoCoSo) method for multi-criteria decision-making problems. Manage. Decis. 2019, 57, 2501–2519. [Google Scholar] [CrossRef]
- Stevic, Z.; Pamucar, D.; Puska, A.; Chatterjee, R. Sustainable supplier selection in healthcare industries using a new MCDM method: Measurement of alternatives and ranking according to compromise solution (MARCOS). Comput. Ind. Eng. 2020, 140, 106231. [Google Scholar] [CrossRef]
- Yager, R.R.; Elmore, P.; Petry, F. Soft likelihoof functions in combining evidence. Inf. Fusion 2017, 36, 185–190. [Google Scholar] [CrossRef]










| Criteria | |||||
|---|---|---|---|---|---|
| Weight | |||||
| Alternative | |||||
| Abbreviation | Criteria | Meaning | Weight |
|---|---|---|---|
| C1 | Green product | Environmentally friendly products | 0.0990 |
| C2 | Eco design of the product | Designed to ecological standards | 0.0990 |
| C3 | Environmental management system | Application of ISO 14,001 [26] | 0.0733 |
| C4 | Recycling | Reuse of waste and materials | 0.1191 |
| C5 | Pollution control | Reduction of environmental impacts | 0.0919 |
| C6 | Quality | Degree of customer satisfaction | 0.1518 |
| C7 | The price | Monetary value | 0.1558 |
| C8 | Logistics service | Supply from supplier to customer | 0.0889 |
| C9 | Innovativeness | New product applications | 0.0606 |
| C10 | Technological capacities | Technical capabilities of suppliers | 0.0649 |
| Linguistic Terms | Abbreviation | Fuzzy Number A |
|---|---|---|
| Absolutely low | AL | (1.00, 1.00, 1.00, 1.00, 1.00, 1.00, 1.00, 1.00, 1.00) |
| Very low | VL | (1.00, 1.13, 1.25, 1.38, 1.50, 1.63, 1,75, 1.88, 2.00) |
| Low | L | (1.50, 1.63, 1.75, 1.88, 2.00, 2.13, 2,25, 2.38, 2.50) |
| Medium low | ML | (2.00, 2.13, 2.25, 2.38, 2.50, 2.63, 2,75, 2.88, 3.00) |
| Equal | E | (2.50, 2.63, 2.75, 2.88, 3.00, 3.13, 3,25, 3.38, 3.50) |
| Medium high | MH | (3.00, 3.13, 3.25, 3.38, 3.50, 3.63, 3,75, 3.88, 4.00) |
| High | H | (3.50, 3.63, 3.75, 3.88, 4.00, 4.13, 4,25, 4.38, 4.50) |
| Very high | VH | (4.00, 4.13, 4.25, 4.38, 4.50, 4.63, 4,75, 4.88, 5.00) |
| Absolutely high | AH | (4.50, 4.63, 4.75, 4.88, 5.00, 5.00, 5.00, 5.00, 1.00) |
| Linguistic Terms | Abbreviation | Fuzzy Number B |
|---|---|---|
| Very small | VS | (0.00, 0.00, 0.00, 0.00, 0.00, 0.05, 0.10, 0.15, 0.20) |
| Small | S | (0.10, 0.14, 0.18, 0.21, 0.25, 0.29, 0.33, 0.36, 0.40) |
| Medium | M | (0.30, 0.35, 0.40, 0.45, 0.50, 0.55, 0.60, 0.65, 0.70) |
| High | H | (0.55, 0.60, 0.65, 0.70, 0.75, 0.80, 0.85, 0.90, 0.95) |
| Very high | VH | (0.80, 0.85, 0.90, 0.95, 1.00, 1.00, 1.00, 1.00, 1.00) |
| Criteria | C1 | C2 | C3 | C4 | C5 | C6 | C7 | C8 | C9 | C10 | |||||||||||
|---|---|---|---|---|---|---|---|---|---|---|---|---|---|---|---|---|---|---|---|---|---|
| Z-Numbers | A | B | A | B | A | B | A | B | A | B | A | B | A | B | A | B | A | B | A | B | |
| Decision-maker 1 | A1 | MH | H | L | H | MH | H | MH | VJ | E | H | AH | H | H | H | MH | H | ML | H | MH | H |
| A2 | E | M | H | H | H | M | E | H | MH | H | H | H | E | H | H | H | E | H | E | M | |
| A3 | H | H | E | M | E | VH | AH | M | H | M | E | VH | AH | M | E | VH | H | VH | H | M | |
| A4 | ML | H | E | H | L | H | L | VH | L | H | L | H | E | M | ML | M | MH | H | L | M | |
| A5 | L | M | MH | H | ML | H | H | VH | E | M | E | H | ML | H | E | H | E | H | E | H | |
| A6 | E | H | ML | M | E | VH | ML | M | ML | M | ML | VH | MH | M | L | M | L | H | ML | M | |
| Decision-maker 2 | A1 | ML | M | E | S | H | H | ML | M | E | VH | MH | H | MH | S | MH | M | E | H | MH | VH |
| A2 | MH | H | H | M | E | H | H | S | MH | H | E | H | AH | M | H | H | H | M | E | VH | |
| A3 | AH | H | AH | S | AH | VH | AH | S | AH | H | AH | H | E | S | AH | H | AH | M | AH | VH | |
| A4 | E | H | ML | S | ML | H | E | H | L | H | ML | H | L | S | ML | H | E | M | E | H | |
| A5 | H | M | MH | M | E | H | MH | M | H | VH | H | M | H | S | E | M | MH | H | H | H | |
| A6 | EH | H | EH | S | L | H | E | M | ML | VH | E | H | ML | S | L | M | ML | H | ML | H | |
| Decision-maker 3 | A1 | MH | H | E | H | MH | VH | H | H | H | VH | H | H | E | H | E | H | E | M | MH | VH |
| A2 | E | H | E | H | AH | H | AH | VH | AH | VH | AH | H | E | VH | E | H | AH | H | E | VH | |
| A3 | E | M | H | M | E | H | MH | H | MH | VH | E | M | AH | VH | AH | H | E | H | AH | VH | |
| A4 | L | M | ML | H | ML | VH | ML | H | E | H | ML | M | E | VH | ML | VH | ML | H | L | H | |
| A5 | H | M | MH | H | H | H | E | VH | E | VH | E | M | H | H | H | VH | H | M | H | VH | |
| A6 | ML | H | L | H | E | VH | E | H | L | VH | MH | H | L | VH | L | H | L | H | ML | H | |
| Decision-maker 1 | ||||||||||||||||||||||||||||||
|---|---|---|---|---|---|---|---|---|---|---|---|---|---|---|---|---|---|---|---|---|---|---|---|---|---|---|---|---|---|---|
| C1 | C2 | C3 | C4 | C5 | C6 | C7 | C8 | C9 | C10 | |||||||||||||||||||||
| Y | N | θ | Y | N | θ | Y | N | θ | Y | N | θ | Y | N | θ | Y | N | θ | Y | N | θ | Y | N | θ | Y | N | θ | Y | N | θ | |
| A1 | 4 | 15 | 11 | 17 | 12 | 1 | 4 | 10 | 16 | 12 | 13 | 5 | 2 | 4 | 24 | 30 | 0 | 0 | 25 | 4 | 1 | 3 | 13 | 14 | 11 | 16 | 3 | 10 | 13 | 7 |
| A2 | 12 | 15 | 3 | 7 | 23 | 0 | 19 | 11 | 0 | 8 | 7 | 15 | 1 | 9 | 20 | 1 | 11 | 18 | 8 | 12 | 10 | 18 | 8 | 4 | 8 | 13 | 9 | 5 | 6 | 19 |
| A3 | 9 | 5 | 16 | 12 | 16 | 2 | 18 | 10 | 2 | 11 | 16 | 3 | 1 | 26 | 3 | 7 | 3 | 20 | 10 | 5 | 15 | 24 | 6 | 0 | 9 | 2 | 19 | 11 | 14 | 5 |
| A4 | 12 | 8 | 10 | 13 | 8 | 9 | 16 | 10 | 4 | 24 | 0 | 6 | 13 | 8 | 9 | 15 | 14 | 1 | 20 | 1 | 9 | 3 | 25 | 2 | 2 | 0 | 28 | 13 | 4 | 13 |
| A5 | 2 | 12 | 16 | 8 | 12 | 10 | 18 | 4 | 8 | 5 | 19 | 6 | 21 | 5 | 4 | 2 | 27 | 1 | 6 | 16 | 8 | 21 | 7 | 2 | 4 | 10 | 16 | 3 | 10 | 17 |
| A6 | 7 | 21 | 2 | 2 | 10 | 18 | 5 | 19 | 6 | 17 | 3 | 10 | 5 | 6 | 19 | 12 | 15 | 3 | 2 | 5 | 23 | 29 | 1 | 0 | 17 | 8 | 5 | 1 | 28 | 1 |
| Decision-maker 2 | ||||||||||||||||||||||||||||||
| C1 | C2 | C3 | C4 | C5 | C6 | C7 | C8 | C9 | C10 | |||||||||||||||||||||
| Y | N | θ | Y | N | θ | Y | N | θ | Y | N | θ | Y | N | θ | Y | N | θ | Y | N | θ | Y | N | θ | Y | N | θ | Y | N | θ | |
| A1 | 5 | 14 | 11 | 4 | 12 | 14 | 0 | 27 | 3 | 1 | 29 | 0 | 10 | 2 | 18 | 25 | 2 | 3 | 11 | 6 | 13 | 0 | 22 | 8 | 27 | 2 | 1 | 7 | 0 | 23 |
| A2 | 16 | 11 | 3 | 3 | 6 | 21 | 16 | 3 | 11 | 24 | 2 | 4 | 17 | 4 | 9 | 18 | 5 | 7 | 5 | 0 | 25 | 22 | 6 | 2 | 17 | 2 | 11 | 13 | 10 | 7 |
| A3 | 13 | 11 | 6 | 20 | 9 | 1 | 11 | 18 | 1 | 5 | 12 | 13 | 16 | 7 | 7 | 5 | 8 | 17 | 3 | 20 | 7 | 2 | 21 | 7 | 10 | 19 | 1 | 9 | 8 | 13 |
| A4 | 23 | 3 | 4 | 1 | 23 | 6 | 15 | 4 | 11 | 5 | 13 | 12 | 7 | 2 | 21 | 5 | 17 | 8 | 1 | 6 | 23 | 5 | 7 | 18 | 10 | 13 | 7 | 10 | 8 | 12 |
| A5 | 10 | 4 | 16 | 13 | 5 | 12 | 10 | 4 | 16 | 9 | 9 | 12 | 15 | 15 | 0 | 4 | 17 | 9 | 5 | 6 | 19 | 12 | 15 | 3 | 11 | 12 | 7 | 15 | 9 | 6 |
| A6 | 10 | 2 | 18 | 24 | 2 | 4 | 21 | 2 | 7 | 12 | 11 | 7 | 5 | 9 | 16 | 9 | 0 | 21 | 6 | 11 | 13 | 6 | 16 | 8 | 8 | 11 | 11 | 7 | 5 | 18 |
| Decision-maker 3 | ||||||||||||||||||||||||||||||
| C1 | C2 | C3 | C4 | C5 | C6 | C7 | C8 | C9 | C10 | |||||||||||||||||||||
| Y | N | θ | Y | N | θ | Y | N | θ | Y | N | θ | Y | N | θ | Y | N | θ | Y | N | θ | Y | N | θ | Y | N | θ | Y | N | θ | |
| A1 | 21 | 5 | 4 | 1 | 17 | 12 | 15 | 11 | 4 | 3 | 11 | 16 | 15 | 5 | 10 | 14 | 8 | 8 | 17 | 9 | 4 | 0 | 6 | 24 | 2 | 22 | 6 | 5 | 5 | 20 |
| A2 | 7 | 21 | 2 | 5 | 23 | 2 | 1 | 29 | 0 | 23 | 5 | 2 | 16 | 6 | 8 | 12 | 9 | 9 | 3 | 2 | 25 | 0 | 25 | 5 | 4 | 20 | 6 | 1 | 15 | 14 |
| A3 | 20 | 10 | 0 | 7 | 4 | 19 | 19 | 4 | 7 | 11 | 3 | 16 | 22 | 5 | 3 | 12 | 2 | 16 | 18 | 0 | 12 | 7 | 2 | 21 | 28 | 2 | 0 | 10 | 18 | 2 |
| A4 | 11 | 3 | 16 | 11 | 17 | 2 | 10 | 18 | 2 | 19 | 11 | 0 | 0 | 17 | 13 | 12 | 4 | 14 | 9 | 0 | 21 | 1 | 0 | 29 | 8 | 18 | 4 | 3 | 25 | 2 |
| A5 | 3 | 1 | 26 | 3 | 19 | 8 | 10 | 16 | 4 | 21 | 8 | 1 | 1 | 19 | 10 | 2 | 2 | 26 | 8 | 16 | 6 | 22 | 8 | 0 | 18 | 5 | 7 | 16 | 6 | 8 |
| A6 | 5 | 24 | 1 | 1 | 25 | 4 | 6 | 13 | 11 | 23 | 1 | 6 | 3 | 11 | 16 | 17 | 5 | 8 | 4 | 18 | 8 | 19 | 0 | 11 | 19 | 4 | 7 | 13 | 16 | 1 |
| C1 | C2 | C3 | C4 | C5 | C6 | C7 | C8 | C9 | C10 | ||
|---|---|---|---|---|---|---|---|---|---|---|---|
| Decision-maker 1 | A1 | −0.474 | 0.172 | −0.429 | −0.040 | −0.333 | 1.000 | 0.724 | −0.625 | −0.185 | −0.130 |
| A2 | 0.185 | −0.533 | 0.267 | 0.067 | −0.800 | −0.833 | −0.200 | 0.385 | −0.238 | −0.091 | |
| A3 | 0.083 | −0.143 | 0.286 | −0.185 | −0.926 | 0.400 | 0.333 | 0.600 | 0.636 | −0.120 | |
| A4 | 0.769 | 0.238 | 0.231 | 1.000 | 0.238 | 0.034 | 0.905 | −0.786 | 1.000 | 0.529 | |
| A5 | 0.429 | −0.200 | 0.636 | −0.583 | 0.615 | −0.862 | −0.455 | 0.500 | −0.429 | −0.538 | |
| A6 | 0.667 | −0.667 | −0.583 | 0.700 | −0.091 | −0.111 | −0.429 | 0.933 | 0.360 | −0.931 | |
| Decision-maker 2 | A1 | −0.474 | −0.500 | −1.000 | −0.933 | 0.667 | 0.852 | 0.294 | −1.000 | 0.862 | 1.000 |
| A2 | 0.185 | −0.333 | 0.684 | 0.846 | 0.619 | 0.565 | 1.000 | 0.571 | 0.789 | 0.130 | |
| A3 | 0.083 | 0.379 | −0.241 | −0.412 | 0.391 | −0.231 | −0.739 | −0.826 | −0.310 | 0.059 | |
| A4 | 0.769 | −0.917 | 0.579 | −0.444 | 0.556 | −0.545 | −0.714 | −0.167 | −0.130 | 0.111 | |
| A5 | 0.429 | 0.444 | 0.429 | 0.000 | 0.000 | −0.619 | −0.091 | −0.111 | −0.043 | 0.250 | |
| A6 | 0.667 | 0.846 | 0.826 | 0.043 | −0.286 | 1.000 | −0.294 | −0.455 | −0.158 | 0.167 | |
| Decision-maker 3 | A1 | 0.615 | −0.889 | 0.154 | −0.571 | 0.500 | 0.273 | 0.308 | −1.000 | −0.833 | 0.000 |
| A2 | −0.500 | −0.643 | −0.933 | 0.643 | 0.455 | 0.143 | 0.200 | −1.000 | −0.667 | −0.875 | |
| A3 | 0.333 | 0.273 | 0.652 | 0.571 | 0.630 | 0.714 | 1.000 | 0.556 | 0.867 | −0.286 | |
| A4 | 0.571 | −0.214 | −0.286 | 0.267 | −1.000 | 0.500 | 1.000 | 1.000 | −0.385 | −0.786 | |
| A5 | 0.500 | −0.727 | −0.231 | 0.448 | −0.900 | 0.000 | −0.333 | 0.467 | 0.565 | 0.455 | |
| A6 | −0.655 | −0.923 | −0.368 | 0.917 | −0.571 | 0.545 | −0.636 | 1.000 | 0.652 | −0.103 |
| Membership | 0 | 0.25 | 0.5 | 0.75 | 1 | 0.75 | 0.5 | 0.25 | 0 | ||
|---|---|---|---|---|---|---|---|---|---|---|---|
| C1 | A1 | A | 2.667 | 2.792 | 2.917 | 3.042 | 3.167 | 3.292 | 3.417 | 3.542 | 3.667 |
| B | 0.425 | 0.449 | 0.473 | 0.497 | 0.521 | 0.545 | 0.568 | 0.592 | 0.616 | ||
| A2 | A | 2.667 | 2.792 | 2.917 | 3.042 | 3.167 | 3.292 | 3.417 | 3.542 | 3.667 | |
| B | 0.446 | 0.481 | 0.517 | 0.552 | 0.588 | 0.623 | 0.659 | 0.694 | 0.730 | ||
| A3 | A | 3.500 | 3.625 | 3.750 | 3.875 | 4.000 | 4.083 | 4.167 | 4.250 | 4.333 | |
| B | 0.569 | 0.611 | 0.653 | 0.694 | 0.736 | 0.778 | 0.819 | 0.861 | 0.903 | ||
| A4 | A | 2.000 | 2.125 | 2.250 | 2.375 | 2.500 | 2.625 | 2.750 | 2.875 | 3.000 | |
| B | 0.831 | 0.846 | 0.860 | 0.875 | 0.890 | 0.905 | 0.920 | 0.935 | 0.949 | ||
| A5 | A | 2.833 | 2.958 | 3.083 | 3.208 | 3.333 | 3.458 | 3.583 | 3.708 | 3.833 | |
| B | 0.617 | 0.644 | 0.671 | 0.699 | 0.726 | 0.754 | 0.781 | 0.808 | 0.836 | ||
| A6 | A | 2.333 | 2.458 | 2.583 | 2.708 | 2.833 | 2.958 | 3.083 | 3.208 | 3.333 | |
| B | 0.630 | 0.647 | 0.664 | 0.680 | 0.697 | 0.714 | 0.731 | 0.748 | 0.765 | ||
| C2 | A1 | A | 2.167 | 2.292 | 2.417 | 2.542 | 2.667 | 2.792 | 2.917 | 3.042 | 3.167 |
| B | 0.246 | 0.268 | 0.290 | 0.312 | 0.334 | 0.356 | 0.378 | 0.399 | 0.421 | ||
| A2 | A | 3.167 | 3.292 | 3.417 | 3.542 | 3.667 | 3.792 | 3.917 | 4.042 | 4.167 | |
| B | 0.218 | 0.243 | 0.267 | 0.292 | 0.317 | 0.342 | 0.367 | 0.392 | 0.416 | ||
| A3 | A | 3.500 | 3.625 | 3.750 | 3.875 | 4.000 | 4.083 | 4.167 | 4.250 | 4.333 | |
| B | 0.396 | 0.431 | 0.465 | 0.499 | 0.533 | 0.567 | 0.601 | 0.636 | 0.670 | ||
| A4 | A | 2.167 | 2.292 | 2.417 | 2.542 | 2.667 | 2.792 | 2.917 | 3.042 | 3.167 | |
| B | 0.366 | 0.393 | 0.420 | 0.446 | 0.473 | 0.500 | 0.527 | 0.554 | 0.581 | ||
| A5 | A | 3.000 | 3.125 | 3.250 | 3.375 | 3.500 | 3.625 | 3.750 | 3.875 | 4.000 | |
| B | 0.400 | 0.428 | 0.455 | 0.482 | 0.509 | 0.536 | 0.563 | 0.590 | 0.617 | ||
| A6 | A | 2.000 | 2.125 | 2.250 | 2.375 | 2.500 | 2.625 | 2.750 | 2.875 | 3.000 | |
| B | 0.335 | 0.343 | 0.352 | 0.361 | 0.370 | 0.378 | 0.387 | 0.396 | 0.405 | ||
| C3 | A1 | A | 3.167 | 3.292 | 3.417 | 3.542 | 3.667 | 3.792 | 3.917 | 4.042 | 4.167 |
| B | 0.382 | 0.405 | 0.429 | 0.453 | 0.476 | 0.486 | 0.495 | 0.505 | 0.514 | ||
| A2 | A | 3.500 | 3.625 | 3.750 | 3.875 | 4.000 | 4.083 | 4.167 | 4.250 | 4.333 | |
| B | 0.460 | 0.479 | 0.498 | 0.516 | 0.535 | 0.553 | 0.572 | 0.591 | 0.609 | ||
| A3 | A | 3.167 | 3.292 | 3.417 | 3.542 | 3.667 | 3.750 | 3.833 | 3.917 | 4.000 | |
| B | 0.769 | 0.800 | 0.830 | 0.860 | 0.891 | 0.896 | 0.902 | 0.908 | 0.914 | ||
| A4 | A | 1.833 | 1.958 | 2.083 | 2.208 | 2.333 | 2.458 | 2.583 | 2.708 | 2.833 | |
| B | 0.679 | 0.710 | 0.742 | 0.774 | 0.806 | 0.825 | 0.845 | 0.865 | 0.885 | ||
| A5 | A | 3.167 | 3.292 | 3.417 | 3.542 | 3.667 | 3.792 | 3.917 | 4.042 | 4.167 | |
| B | 0.667 | 0.696 | 0.724 | 0.753 | 0.781 | 0.809 | 0.838 | 0.866 | 0.895 | ||
| A6 | A | 2.167 | 2.292 | 2.417 | 2.542 | 2.667 | 2.792 | 2.917 | 3.042 | 3.167 | |
| B | 0.587 | 0.607 | 0.628 | 0.648 | 0.668 | 0.671 | 0.674 | 0.677 | 0.680 | ||
| C4 | A1 | A | 2.833 | 2.958 | 3.083 | 3.208 | 3.333 | 3.458 | 3.583 | 3.708 | 3.833 |
| B | 0.341 | 0.365 | 0.390 | 0.414 | 0.438 | 0.447 | 0.455 | 0.463 | 0.471 | ||
| A2 | A | 3.500 | 3.625 | 3.750 | 3.875 | 4.000 | 4.083 | 4.167 | 4.250 | 4.333 | |
| B | 0.790 | 0.813 | 0.837 | 0.860 | 0.884 | 0.901 | 0.919 | 0.936 | 0.954 | ||
| A3 | A | 4.000 | 4.125 | 4.250 | 4.375 | 4.500 | 4.542 | 4.583 | 4.625 | 4.667 | |
| B | 0.370 | 0.398 | 0.426 | 0.454 | 0.482 | 0.511 | 0.539 | 0.567 | 0.595 | ||
| A4 | A | 2.000 | 2.125 | 2.250 | 2.375 | 2.500 | 2.625 | 2.750 | 2.875 | 3.000 | |
| B | 0.659 | 0.680 | 0.701 | 0.723 | 0.744 | 0.766 | 0.787 | 0.809 | 0.830 | ||
| A5 | A | 3.000 | 3.125 | 3.250 | 3.375 | 3.500 | 3.625 | 3.750 | 3.875 | 4.000 | |
| B | 0.508 | 0.540 | 0.573 | 0.606 | 0.639 | 0.656 | 0.672 | 0.689 | 0.706 | ||
| A6 | A | 2.333 | 2.458 | 2.583 | 2.708 | 2.833 | 2.958 | 3.083 | 3.208 | 3.333 | |
| B | 0.694 | 0.717 | 0.739 | 0.761 | 0.784 | 0.806 | 0.828 | 0.851 | 0.873 | ||
| C5 | A1 | A | 2.833 | 2.958 | 3.083 | 3.208 | 3.333 | 3.458 | 3.583 | 3.708 | 3.833 |
| B | 0.733 | 0.758 | 0.783 | 0.808 | 0.833 | 0.844 | 0.856 | 0.867 | 0.878 | ||
| A2 | A | 3.500 | 3.625 | 3.750 | 3.875 | 4.000 | 4.083 | 4.167 | 4.250 | 4.333 | |
| B | 0.610 | 0.629 | 0.647 | 0.666 | 0.685 | 0.695 | 0.704 | 0.714 | 0.724 | ||
| A3 | A | 3.667 | 3.792 | 3.917 | 4.042 | 4.167 | 4.250 | 4.333 | 4.417 | 4.500 | |
| B | 0.558 | 0.576 | 0.593 | 0.611 | 0.628 | 0.640 | 0.651 | 0.662 | 0.674 | ||
| A4 | A | 1.833 | 1.958 | 2.083 | 2.208 | 2.333 | 2.458 | 2.583 | 2.708 | 2.833 | |
| B | 0.486 | 0.506 | 0.526 | 0.546 | 0.566 | 0.586 | 0.606 | 0.626 | 0.647 | ||
| A5 | A | 2.833 | 2.958 | 3.083 | 3.208 | 3.333 | 3.458 | 3.583 | 3.708 | 3.833 | |
| B | 0.537 | 0.562 | 0.586 | 0.611 | 0.636 | 0.642 | 0.649 | 0.655 | 0.662 | ||
| A6 | A | 1.833 | 1.958 | 2.083 | 2.208 | 2.333 | 2.458 | 2.583 | 2.708 | 2.833 | |
| B | 0.396 | 0.430 | 0.464 | 0.498 | 0.532 | 0.548 | 0.563 | 0.578 | 0.593 | ||
| C6 | A1 | A | 3.667 | 3.792 | 3.917 | 4.042 | 4.167 | 4.250 | 4.333 | 4.417 | 4.500 |
| B | 0.869 | 0.883 | 0.898 | 0.912 | 0.927 | 0.942 | 0.956 | 0.971 | 0.985 | ||
| A2 | A | 3.500 | 3.625 | 3.750 | 3.875 | 4.000 | 4.083 | 4.167 | 4.250 | 4.333 | |
| B | 0.503 | 0.528 | 0.552 | 0.576 | 0.601 | 0.625 | 0.649 | 0.674 | 0.698 | ||
| A3 | A | 3.167 | 3.292 | 3.417 | 3.542 | 3.667 | 3.750 | 3.833 | 3.917 | 4.000 | |
| B | 0.701 | 0.729 | 0.756 | 0.784 | 0.811 | 0.829 | 0.847 | 0.864 | 0.882 | ||
| A4 | A | 1.833 | 1.958 | 2.083 | 2.208 | 2.333 | 2.458 | 2.583 | 2.708 | 2.833 | |
| B | 0.489 | 0.521 | 0.553 | 0.585 | 0.617 | 0.649 | 0.681 | 0.713 | 0.745 | ||
| A5 | A | 2.833 | 2.958 | 3.083 | 3.208 | 3.333 | 3.458 | 3.583 | 3.708 | 3.833 | |
| B | 0.163 | 0.189 | 0.214 | 0.239 | 0.265 | 0.290 | 0.315 | 0.341 | 0.366 | ||
| A6 | A | 2.500 | 2.625 | 2.750 | 2.875 | 3.000 | 3.125 | 3.250 | 3.375 | 3.500 | |
| B | 0.836 | 0.858 | 0.880 | 0.903 | 0.925 | 0.933 | 0.940 | 0.948 | 0.955 | ||
| C7 | A1 | A | 3.000 | 3.125 | 3.250 | 3.375 | 3.500 | 3.625 | 3.750 | 3.875 | 4.000 |
| B | 0.643 | 0.668 | 0.693 | 0.718 | 0.743 | 0.768 | 0.793 | 0.818 | 0.843 | ||
| A2 | A | 3.167 | 3.292 | 3.417 | 3.542 | 3.667 | 3.750 | 3.833 | 3.917 | 4.000 | |
| B | 0.760 | 0.787 | 0.813 | 0.840 | 0.867 | 0.880 | 0.893 | 0.907 | 0.920 | ||
| A3 | A | 3.833 | 3.958 | 4.083 | 4.208 | 4.333 | 4.375 | 4.417 | 4.458 | 4.500 | |
| B | 0.520 | 0.534 | 0.549 | 0.563 | 0.577 | 0.592 | 0.606 | 0.620 | 0.635 | ||
| A4 | A | 2.167 | 2.292 | 2.417 | 2.542 | 2.667 | 2.792 | 2.917 | 3.042 | 3.167 | |
| B | 0.654 | 0.659 | 0.664 | 0.669 | 0.675 | 0.680 | 0.685 | 0.690 | 0.695 | ||
| A5 | A | 3.000 | 3.125 | 3.250 | 3.375 | 3.500 | 3.625 | 3.750 | 3.875 | 4.000 | |
| B | 0.253 | 0.284 | 0.316 | 0.347 | 0.379 | 0.410 | 0.442 | 0.473 | 0.505 | ||
| A6 | A | 2.167 | 2.292 | 2.417 | 2.542 | 2.667 | 2.792 | 2.917 | 3.042 | 3.167 | |
| B | 0.178 | 0.202 | 0.226 | 0.251 | 0.275 | 0.294 | 0.312 | 0.330 | 0.349 | ||
| C8 | A1 | A | 2.833 | 2.958 | 3.083 | 3.208 | 3.333 | 3.458 | 3.583 | 3.708 | 3.833 |
| B | 0.069 | 0.075 | 0.081 | 0.088 | 0.094 | 0.100 | 0.106 | 0.113 | 0.119 | ||
| A2 | A | 3.167 | 3.292 | 3.417 | 3.542 | 3.667 | 3.792 | 3.917 | 4.042 | 4.167 | |
| B | 0.510 | 0.527 | 0.545 | 0.562 | 0.580 | 0.597 | 0.614 | 0.632 | 0.649 | ||
| A3 | A | 3.833 | 3.958 | 4.083 | 4.208 | 4.333 | 4.375 | 4.417 | 4.458 | 4.500 | |
| B | 0.605 | 0.622 | 0.639 | 0.656 | 0.673 | 0.683 | 0.694 | 0.704 | 0.714 | ||
| A4 | A | 2.000 | 2.125 | 2.250 | 2.375 | 2.500 | 2.625 | 2.750 | 2.875 | 3.000 | |
| B | 0.508 | 0.525 | 0.542 | 0.560 | 0.577 | 0.595 | 0.612 | 0.630 | 0.647 | ||
| A5 | A | 2.833 | 2.958 | 3.083 | 3.208 | 3.333 | 3.458 | 3.583 | 3.708 | 3.833 | |
| B | 0.645 | 0.677 | 0.709 | 0.741 | 0.773 | 0.796 | 0.819 | 0.843 | 0.866 | ||
| A6 | A | 1.500 | 1.625 | 1.750 | 1.875 | 2.000 | 2.125 | 2.250 | 2.375 | 2.500 | |
| B | 0.706 | 0.716 | 0.726 | 0.736 | 0.746 | 0.757 | 0.767 | 0.777 | 0.787 | ||
| C9 | A1 | A | 2.333 | 2.458 | 2.583 | 2.708 | 2.833 | 2.958 | 3.083 | 3.208 | 3.333 |
| B | 0.479 | 0.497 | 0.516 | 0.535 | 0.553 | 0.572 | 0.591 | 0.609 | 0.628 | ||
| A2 | A | 3.500 | 3.625 | 3.750 | 3.875 | 4.000 | 4.083 | 4.167 | 4.250 | 4.333 | |
| B | 0.485 | 0.507 | 0.529 | 0.550 | 0.572 | 0.594 | 0.616 | 0.637 | 0.659 | ||
| A3 | A | 3.500 | 3.625 | 3.750 | 3.875 | 4.000 | 4.083 | 4.167 | 4.250 | 4.333 | |
| B | 0.691 | 0.711 | 0.731 | 0.751 | 0.770 | 0.784 | 0.798 | 0.812 | 0.825 | ||
| A4 | A | 2.500 | 2.625 | 2.750 | 2.875 | 3.000 | 3.125 | 3.250 | 3.375 | 3.500 | |
| B | 0.533 | 0.558 | 0.583 | 0.607 | 0.632 | 0.657 | 0.682 | 0.706 | 0.731 | ||
| A5 | A | 3.000 | 3.125 | 3.250 | 3.375 | 3.500 | 3.625 | 3.750 | 3.875 | 4.000 | |
| B | 0.512 | 0.545 | 0.577 | 0.610 | 0.643 | 0.676 | 0.708 | 0.741 | 0.774 | ||
| A6 | A | 1.667 | 1.792 | 1.917 | 2.042 | 2.167 | 2.292 | 2.417 | 2.542 | 2.667 | |
| B | 0.673 | 0.703 | 0.734 | 0.764 | 0.795 | 0.825 | 0.856 | 0.886 | 0.917 | ||
| C10 | A1 | A | 3.000 | 3.125 | 3.250 | 3.375 | 3.500 | 3.625 | 3.750 | 3.875 | 4.000 |
| B | 0.759 | 0.791 | 0.822 | 0.853 | 0.884 | 0.899 | 0.913 | 0.928 | 0.942 | ||
| A2 | A | 2.500 | 2.625 | 2.750 | 2.875 | 3.000 | 3.125 | 3.250 | 3.375 | 3.500 | |
| B | 0.400 | 0.431 | 0.463 | 0.495 | 0.527 | 0.542 | 0.557 | 0.572 | 0.587 | ||
| A3 | A | 4.167 | 4.292 | 4.417 | 4.542 | 4.667 | 4.708 | 4.750 | 4.792 | 4.833 | |
| B | 0.549 | 0.591 | 0.634 | 0.676 | 0.718 | 0.733 | 0.747 | 0.762 | 0.777 | ||
| A4 | A | 1.833 | 1.958 | 2.083 | 2.208 | 2.333 | 2.458 | 2.583 | 2.708 | 2.833 | |
| B | 0.463 | 0.489 | 0.515 | 0.542 | 0.568 | 0.594 | 0.620 | 0.646 | 0.673 | ||
| A5 | A | 3.167 | 3.292 | 3.417 | 3.542 | 3.667 | 3.792 | 3.917 | 4.042 | 4.167 | |
| B | 0.602 | 0.632 | 0.661 | 0.690 | 0.720 | 0.740 | 0.760 | 0.780 | 0.800 | ||
| A6 | A | 2.000 | 2.125 | 2.250 | 2.375 | 2.500 | 2.625 | 2.750 | 2.875 | 3.000 | |
| B | 0.380 | 0.410 | 0.440 | 0.470 | 0.500 | 0.530 | 0.559 | 0.589 | 0.619 | ||
| C1 | C2 | C3 | C4 | C5 | C6 | C7 | C8 | C9 | C10 | |
|---|---|---|---|---|---|---|---|---|---|---|
| A1 | 0.521 | 0.334 | 0.467 | 0.428 | 0.825 | 0.927 | 0.743 | 0.094 | 0.553 | 0.874 |
| A2 | 0.588 | 0.317 | 0.535 | 0.880 | 0.679 | 0.601 | 0.858 | 0.580 | 0.572 | 0.516 |
| A3 | 0.736 | 0.533 | 0.875 | 0.482 | 0.624 | 0.805 | 0.577 | 0.669 | 0.767 | 0.701 |
| A4 | 0.890 | 0.473 | 0.798 | 0.744 | 0.566 | 0.617 | 0.675 | 0.577 | 0.632 | 0.568 |
| A5 | 0.726 | 0.509 | 0.781 | 0.629 | 0.624 | 0.265 | 0.379 | 0.768 | 0.643 | 0.714 |
| A6 | 0.697 | 0.370 | 0.657 | 0.784 | 0.521 | 0.916 | 0.271 | 0.746 | 0.795 | 0.500 |
| C1 | C2 | C3 | C4 | C5 | C6 | C7 | C8 | C9 | C10 | |
|---|---|---|---|---|---|---|---|---|---|---|
| A1 | 2.149 | 1.390 | 2.214 | 1.928 | 3.249 | 4.245 | 3.100 | 0.813 | 2.068 | 3.558 |
| A2 | 2.362 | 1.663 | 2.538 | 3.904 | 3.109 | 2.798 | 3.532 | 2.625 | 2.685 | 2.048 |
| A3 | 3.335 | 2.531 | 3.593 | 2.484 | 2.997 | 3.339 | 2.807 | 3.197 | 3.456 | 3.566 |
| A4 | 2.725 | 1.762 | 2.362 | 2.361 | 1.821 | 1.939 | 2.299 | 1.943 | 2.396 | 1.825 |
| A5 | 2.921 | 2.281 | 3.364 | 2.701 | 2.581 | 1.382 | 1.826 | 3.059 | 2.750 | 3.118 |
| A6 | 2.476 | 1.424 | 2.253 | 2.720 | 1.715 | 3.247 | 1.224 | 1.993 | 2.222 | 1.749 |
| Methods | Alternatives | ||||||
|---|---|---|---|---|---|---|---|
| A1 | A2 | A3 | A4 | A5 | A6 | ||
| Proposed ZE-ELECTRE II | 3 | 2 | 1 | 6 | 4 | 5 | |
| Variant ELECTRE II | Traditional ELECTRE II [27] | 3 | 2 | 1 | 6 | 4 | 5 |
| Modified ELECTRE II [28] | 3 | 2 | 1 | 6 | 4 | 5 | |
| Other MCDM methods | SAW [29] | 4 | 2 | 1 | 5 | 3 | 6 |
| TOPSIS [30] | 3 | 2 | 1 | 6 | 4 | 5 | |
| VIKOR [31] | 3 | 2 | 1 | 4 | 5 | 6 | |
| MOORA [32] | 3 | 2 | 1 | 5 | 4 | 6 | |
| WASPAS [33] | 5 | 2 | 1 | 3 | 4 | 6 | |
| MABAC [34] | 4 | 2 | 1 | 5 | 3 | 6 | |
| EDAS [35] | 3 | 2 | 1 | 4 | 6 | 5 | |
| CoCoSo [36] | 6 | 2 | 1 | 4 | 3 | 5 | |
| MARCOS [37] | 3 | 2 | 1 | 5 | 4 | 6 | |
| Methods | Situation 1 | Situation 2 | Situation 3 | |||||||||||||||
|---|---|---|---|---|---|---|---|---|---|---|---|---|---|---|---|---|---|---|
| A1 | A2 | A3 | A4 | A5 | A6 | A1 | A2 | A3 | A4 | A5 | A6 | A1 | A2 | A3 | A4 | A5 | A6 | |
| Proposed ZE-ELECTRE II | 3 | 2 | 1 | 6 | 4 | 5 | 4 | 1 | 2 | 5 | 3 | 6 | 4 | 3 | 2 | 5 | 1 | 6 |
| Traditional ELECTRE II [27] | 3 | 2 | 1 | 5.5 | 4 | 5.5 | 3 | 1 | 2 | 6 | 4 | 5 | 3 | 2 | 4 | 5 | 1 | 6 |
| Modified ELECTRE II [28] | 4 | 3 | 1 | 5.5 | 3 | 5.5 | 3 | 1 | 2 | 5 | 4 | 6 | 4 | 2 | 3 | 5 | 1 | 6 |
| SAW [29] | 4 | 2 | 1 | 6 | 3 | 5 | 4 | 2 | 1 | 5 | 3 | 6 | 4 | 3 | 2 | 5 | 1 | 6 |
| TOPSIS [30] | 4 | 2 | 1 | 5 | 3 | 6 | 4 | 3 | 1 | 5 | 2 | 6 | 4 | 3 | 2 | 5 | 1 | 6 |
| VIKOR [31] | 3 | 2 | 1 | 6 | 4 | 5 | 6 | 1 | 2 | 3 | 5 | 4 | 2 | 3 | 4 | 5 | 1 | 6 |
| MOORA [32] | 4 | 2 | 1 | 6 | 3 | 5 | 5 | 2 | 1 | 4 | 3 | 6 | 3 | 2 | 4 | 5 | 1 | 6 |
| WASPAS [33] | 4 | 2 | 1 | 6 | 3 | 5 | 4 | 2 | 1 | 5 | 3 | 6 | 2 | 4 | 3 | 5 | 1 | 6 |
| MABAC [34] | 4 | 2 | 1 | 6 | 3 | 5 | 4 | 2 | 1 | 5 | 3 | 6 | 4 | 3 | 2 | 5 | 1 | 6 |
| EDAS [35] | 4 | 2 | 1 | 3 | 6 | 5 | 5 | 4 | 1 | 2 | 3 | 6 | 4 | 1 | 2 | 3 | 6 | 5 |
| CoCoSo [36] | 4 | 2 | 1 | 6 | 3 | 5 | 3 | 1 | 2 | 6 | 4 | 5 | 2 | 4 | 3 | 6 | 1 | 5 |
| MARCOS [37] | 4 | 2 | 1 | 6 | 3 | 5 | 5 | 2 | 1 | 4 | 3 | 6 | 4 | 2 | 3 | 5 | 1 | 6 |
| Methods | Situation 4 | Situation 5 | ||||||||||||||||
| A1 | A2 | A3 | A4 | A5 | A6 | A1 | A2 | A3 | A4 | A5 | A6 | |||||||
| Proposed ZE-ELECTRE II | 3 | 2 | 1 | 6 | 4 | 5 | 3 | 1 | 2 | 6 | 4 | 5 | ||||||
| Traditional ELECTRE II [27] | 3 | 1 | 2 | 5.5 | 4 | 5.5 | 2 | 1 | 3 | 5.5 | 4 | 5.5 | ||||||
| Modified ELECTRE II [28] | 3 | 1 | 2 | 5.5 | 4 | 5.5 | 3 | 1 | 2 | 5.5 | 4 | 5.5 | ||||||
| SAW [29] | 3 | 2 | 1 | 6 | 4 | 5 | 3 | 1 | 2 | 6 | 4 | 5 | ||||||
| TOPSIS [30] | 4 | 2 | 1 | 6 | 3 | 5 | 3 | 2 | 1 | 6 | 4 | 5 | ||||||
| VIKOR [31] | 3 | 2 | 1 | 6 | 4 | 5 | 3 | 1 | 2 | 6 | 4 | 5 | ||||||
| MOORA [32] | 3 | 2 | 1 | 6 | 4 | 5 | 3 | 1 | 2 | 6 | 4 | 5 | ||||||
| WASPAS [33] | 3 | 2 | 1 | 6 | 4 | 5 | 3 | 1 | 2 | 6 | 4 | 5 | ||||||
| MABAC [34] | 3 | 2 | 1 | 6 | 4 | 5 | 3 | 1 | 2 | 6 | 4 | 5 | ||||||
| EDAS [35] | 4 | 2 | 1 | 3 | 6 | 5 | 3 | 2 | 1 | 5 | 6 | 4 | ||||||
| CoCoSo [36] | 3 | 2 | 1 | 6 | 4 | 5 | 3 | 1 | 2 | 6 | 4 | 5 | ||||||
| MARCOS [37] | 3 | 2 | 1 | 6 | 4 | 5 | 3 | 1 | 2 | 6 | 4 | 5 | ||||||
| Attitude Preferences | C1 | C2 | C3 | C4 | C5 | C6 | C7 | C8 | C9 | C10 |
|---|---|---|---|---|---|---|---|---|---|---|
| 0.1 | 1.00 × 10−9 | 5.11× 10−7 | 1.92× 10−5 | 2.42 × 10−4 | 1.69 × 10−3 | 8.12 × 10−3 | 3.03 × 10−2 | 9.39 × 10−2 | 2.53 × 10−1 | 6.13 × 10−1 |
| 0.2 | 1.00 × 10−4 | 1.50 × 10−3 | 6.50 × 10−3 | 1.75 × 10−2 | 3.69 × 10−2 | 6.71 × 10−2 | 1.11 × 10−1 | 1.70 × 10−1 | 2.47 × 10−1 | 3.44 × 10−1 |
| 0.3 | 4.64 × 10−3 | 1.88 × 10−2 | 3.69 × 10−2 | 5.76 × 10−2 | 8.05 × 10−2 | 1.05 × 10−1 | 1.31 × 10−1 | 1.59 × 10−1 | 1.88 × 10−1 | 2.18 × 10−1 |
| 0.4 | 3.16 × 10−2 | 5.78 × 10−2 | 7.49 × 10−2 | 8.87 × 10−2 | 1.01 × 10−1 | 1.11 × 10−1 | 1.21 × 10−1 | 1.30 × 10−1 | 1.38 × 10−1 | 1.46 × 10−1 |
| 0.5 | 1.00 × 10−1 | 1.00 × 10−1 | 1.00 × 10−1 | 1.00 × 10−1 | 1.00 × 10−1 | 1.00 × 10−1 | 1.00 × 10−1 | 1.00 × 10−1 | 1.00 × 10−1 | 1.00 × 10−1 |
| 0.6 | 2.15 × 10−1 | 1.27 × 10−1 | 1.06 × 10−1 | 9.47 × 10−2 | 8.71 × 10−2 | 8.14 × 10−2 | 7.70 × 10−2 | 7.34 × 10−2 | 7.04 × 10−2 | 6.78 × 10−2 |
| 0.7 | 3.73 × 10−1 | 1.29 × 10−1 | 9.52 × 10−2 | 7.83 × 10−2 | 6.78 × 10−2 | 6.04 × 10−2 | 5.49 × 10−2 | 5.05 × 10−2 | 4.71 × 10−2 | 4.42 × 10−2 |
| 0.8 | 5.62 × 10−1 | 1.06 × 10−1 | 7.13 × 10−2 | 5.52 × 10−2 | 4.56 × 10−2 | 3.92 × 10−2 | 3.46 × 10−2 | 3.11 × 10−2 | 2.83 × 10−2 | 2.60 × 10−2 |
| 0.9 | 7.74 × 10−1 | 6.20 × 10−2 | 3.85 × 10−2 | 2.84 × 10−2 | 2.27 × 10−2 | 1.89 × 10−2 | 1.63 × 10−2 | 1.44 × 10−2 | 1.29 × 10−2 | 1.16 × 10−2 |
| Attitude Preferences | Random | Situation 1 | Situation 2 | |||||||||||||||
|---|---|---|---|---|---|---|---|---|---|---|---|---|---|---|---|---|---|---|
| A1 | A2 | A3 | A4 | A5 | A6 | A1 | A2 | A3 | A4 | A5 | A6 | A1 | A2 | A3 | A4 | A5 | A6 | |
| α = 0.1 | 2 | 3 | 1 | 6 | 4 | 5 | 3 | 2 | 1 | 5 | 4 | 6 | 1 | 4 | 2 | 6 | 5 | 3 |
| α = 0.2 | 2 | 3 | 1 | 6 | 4 | 5 | 3 | 2 | 1 | 5 | 4 | 6 | 2 | 3 | 1 | 6 | 5 | 4 |
| α = 0.3 | 2 | 3 | 1 | 6 | 4 | 5 | 3 | 2 | 1 | 5 | 4 | 6 | 3 | 2 | 1 | 6 | 5 | 4 |
| α = 0.4 | 3 | 2 | 1 | 6 | 4 | 5 | 3 | 2 | 1 | 5 | 4 | 6 | 4 | 2 | 1 | 5 | 3 | 6 |
| α = 0.5 | 4 | 2 | 1 | 6 | 3 | 5 | 4 | 2 | 1 | 5 | 3 | 6 | 4 | 2 | 1 | 5 | 3 | 6 |
| α = 0.6 | 4 | 2 | 1 | 6 | 3 | 5 | 4 | 2 | 1 | 5 | 3 | 6 | 4 | 1 | 2 | 6 | 3 | 5 |
| α = 0.7 | 4 | 2 | 1 | 6 | 3 | 5 | 4 | 2 | 1 | 5 | 3 | 6 | 4 | 1 | 2 | 6 | 3 | 5 |
| α = 0.8 | 4 | 3 | 1 | 6 | 2 | 5 | 4 | 2 | 1 | 5 | 3 | 6 | 4 | 1 | 2 | 6 | 3 | 5 |
| α = 0.9 | 4 | 3 | 1 | 6 | 2 | 5 | 4 | 3 | 1 | 5 | 2 | 6 | 4 | 1 | 2 | 6 | 3 | 5 |
| Attitude preferences | Situation 3 | Situation 4 | Situation 5 | |||||||||||||||
| A1 | A2 | A3 | A4 | A5 | A6 | A1 | A2 | A3 | A4 | A5 | A6 | A1 | A2 | A3 | A4 | A5 | A6 | |
| α = 0.1 | 2 | 4 | 3 | 5 | 1 | 6 | 3 | 2 | 1 | 5 | 4 | 6 | 3 | 2 | 1 | 5 | 4 | 6 |
| α = 0.2 | 2 | 4 | 3 | 5 | 1 | 6 | 3 | 2 | 1 | 5 | 4 | 6 | 3 | 2 | 1 | 5 | 4 | 6 |
| α = 0.3 | 2 | 4 | 3 | 5 | 1 | 6 | 3 | 2 | 1 | 6 | 4 | 5 | 3 | 2 | 1 | 5 | 4 | 6 |
| α = 0.4 | 2 | 4 | 3 | 5 | 1 | 6 | 3 | 2 | 1 | 6 | 4 | 5 | 3 | 2 | 1 | 5 | 4 | 6 |
| α = 0.5 | 2 | 4 | 3 | 5 | 1 | 6 | 3 | 2 | 1 | 6 | 4 | 5 | 3 | 2 | 1 | 6 | 4 | 5 |
| α = 0.6 | 4 | 3 | 1 | 5 | 2 | 6 | 3 | 2 | 1 | 6 | 4 | 5 | 3 | 2 | 1 | 6 | 4 | 5 |
| α = 0.7 | 4 | 2 | 1 | 5 | 3 | 6 | 3 | 2 | 1 | 6 | 4 | 5 | 3 | 2 | 1 | 6 | 4 | 5 |
| α = 0.8 | 5 | 2 | 1 | 4 | 3 | 6 | 3 | 2 | 1 | 6 | 4 | 5 | 3 | 2 | 1 | 6 | 4 | 5 |
| α = 0.9 | 5 | 2 | 1 | 3 | 4 | 6 | 3 | 2 | 1 | 6 | 4 | 5 | 3 | 2 | 1 | 6 | 4 | 5 |
Disclaimer/Publisher’s Note: The statements, opinions and data contained in all publications are solely those of the individual author(s) and contributor(s) and not of MDPI and/or the editor(s). MDPI and/or the editor(s) disclaim responsibility for any injury to people or property resulting from any ideas, methods, instructions or products referred to in the content. |
© 2025 by the authors. Licensee MDPI, Basel, Switzerland. This article is an open access article distributed under the terms and conditions of the Creative Commons Attribution (CC BY) license (https://creativecommons.org/licenses/by/4.0/).
Share and Cite
Lin, T.-Y.; Hung, K.-C.; Jablonsky, J.; Lin, K.-P. A Green Supplier Selection Through an MCDM Based Framework Under Fuzzy Environment. Mathematics 2025, 13, 436. https://doi.org/10.3390/math13030436
Lin T-Y, Hung K-C, Jablonsky J, Lin K-P. A Green Supplier Selection Through an MCDM Based Framework Under Fuzzy Environment. Mathematics. 2025; 13(3):436. https://doi.org/10.3390/math13030436
Chicago/Turabian StyleLin, Ting-Yu, Kuo-Chen Hung, Josef Jablonsky, and Kuo-Ping Lin. 2025. "A Green Supplier Selection Through an MCDM Based Framework Under Fuzzy Environment" Mathematics 13, no. 3: 436. https://doi.org/10.3390/math13030436
APA StyleLin, T.-Y., Hung, K.-C., Jablonsky, J., & Lin, K.-P. (2025). A Green Supplier Selection Through an MCDM Based Framework Under Fuzzy Environment. Mathematics, 13(3), 436. https://doi.org/10.3390/math13030436

