Abstract
Accurately recognizing tiny defects on printed circuit boards (PCBs) remains a significant challenge due to the abundance of small targets and complex background textures. To tackle this issue, this article proposes a novel YOLO-SPD-SimAM-WIoU (YOLO-SSW) network, based on an improved YOLOv8 algorithm, to detect tiny PCB defects with greater accuracy and efficiency. Firstly, a high-resolution feature layer (P2) is incorporated into the feature fusion part to preserve detailed spatial information of small targets. Secondly, a Non-strided Convolution with Space-to-Depth (Conv-SPD) module is incorporated to retain fine-grained information by replacing traditional strided convolutions, which helps maintain spatial resolution. Thirdly, the Simple Parameter-Free Attention Module (SimAM) is integrated into the backbone to enhance feature extraction and noise resistance, focusing the model’s attention on small targets in relevant areas. Finally, the Wise-IoU (WIoU) loss function is adopted to dynamically adjust gradient gains, reducing the impact of low-quality examples, thereby enhancing localization accuracy. Comprehensive evaluations on publicly available PCB defect datasets have demonstrated that the proposed YOLO-SSW model significantly outperforms several state-of-the-art models, achieving a mean average precision (mAP) of 98.4%. Notably, compared to YOLOv8s, YOLO-SSW improved the mAP, precision, and recall by 0.8%, 0.6%, and 0.8%, respectively, confirming its accuracy and effectiveness.
MSC:
68T07
1. Introduction
Printed circuit boards (PCBs) form the backbone of modern electronics, supporting essential components like integrated circuits, resistors, and capacitors. As market demands for increasingly complex and sophisticated electronic circuits grow, PCB designs are evolving to incorporate greater precision, more layers, and smaller sizes [1]. However, defects in PCB manufacturing can significantly impair performance, making the implementation of efficient and rapid defect detection methods essential for maintaining product quality.
PCBs play a vital role in modern electronic devices, and their performance and functionality are heavily dependent on their quality and reliability. However, various factors, including manufacturing conditions, soldering mistakes, human errors, and improper storage, can cause PCB defects. Common production defects include missing holes, mouse bites, open circuits, shorts, spurs, and spurious copper. The present study investigates the six defect types. Major challenges include: (1) complex environment: the diversity in PCB designs creates a complex detection environment; (2) camouflaged defects: defect areas are usually small, and their colors often blend with the background, making detection difficult; (3) overlapping characteristics: due to the variety of defect types and overlapping characteristics, accurate detection becomes complicated, increasing the likelihood of false detections and missed detections. Such challenges result in several detection issues: (1) foreground–background distinction: complex textures make it difficult to discern between the foreground and background; (2) small object detection: small size of defects complicates detection. Current methods to address these problems primarily focus on optimizing detection models, enhancing feature extraction, implementing attention mechanisms, background modeling, multi-scale training, and data augmentation. Enhancing feature extraction capabilities is essential to achieving higher defect detection accuracy, as it enables the model to identify and highlight important features of defects more effectively, while optimizing detection models facilitates the better capture and differentiation of defect characteristics. Background modeling can more precisely separate defects from complex backgrounds, while data augmentation techniques artificially augment the variety of the training dataset, thereby enhancing detection model robustness. Multi-scale training methods enable models to recognize defects of various scales, thereby boosting detection performance across different defect sizes. The attention mechanism helps models prioritize key regions of the image, thereby enhancing detection accuracy. To address tiny target detection and the interference of complex background textures on PCB surfaces, detection technology has progressed through the following stages of development.
Early detection methods primarily relied on manual visual inspection, online instrument inspection, and functional testing. Manual visual inspection, though intuitive, is highly subjective, inefficient, and prone to human error. Online instrument inspection is cost-effective and easy to operate, but programming and debugging are very time-consuming, making it difficult to adapt to the rapid changes in production lines. Functional testing requires specialized testing equipment to be installed in the middle and end of the production line, which involves complex programming, is difficult to promote, and cannot detect all possible defects in real time. Due to these methods’ inefficiencies, high costs, and lack of adaptability, they are unable to meet the demands of modern electronic manufacturing. To overcome these shortcomings, researchers have begun exploring automated vision detection technologies.
Automated optical inspection (AOI) is an automated detection technology based on machine vision, widely used in the PCB manufacturing process [2]. AOI systems use high-resolution cameras and image processing algorithms to quickly and continuously detect various PCB defects, such as solder joint defects, missing components, misalignment, bridging, and open circuits. Compared to traditional detection methods, AOI offers strengths like improved efficiency, accuracy, automation, and timely feedback. Although AOI is superior to traditional methods in many aspects, it still faces challenges in dealing with complex backgrounds and diverse defect types. For example, AOI systems may struggle to detect micro-cracks or defects in hidden areas and may produce false detection and missed detection. To overcome these challenges, researchers are working on integrating other detection technologies or developing more advanced algorithms to improve the performance and adaptability of AOI systems.
Traditional image processing methods were among the first automated techniques applied to PCB defect detection. These methods utilized image processing technologies such as Fourier transform, principal component analysis, wavelet transform, and image pattern matching to extract and analyze features from PCB images. Fourier transform is used for frequency domain feature extraction by converting an image from the spatial domain to the frequency domain, enabling the analysis of the image’s frequency components, which allows for the effective detection of periodic defects and noise. Principal component analysis extracts the main features by reducing the dimensionality of the data, retaining the primary information within the data, thereby simplifying computation and analysis. Wavelet transform, on the other hand, can analyze different frequency components of an image at various scales, making it highly effective for multi-scale feature extraction. Image pattern matching detects defects by comparing the image to be inspected with a predefined standard template, identifying regions that are inconsistent with the template to detect defects. While these techniques improved detection efficiency and accuracy to some extent, their ability to handle complex backgrounds and small target defects was limited, leading to the adoption of more advanced machine learning methods.
Machine learning-based PCB defect detection methods further improved detection performance. Traditional machine learning approaches extracted features such as color, grayscale, and geometric shapes from PCB images and utilized classifiers like support vector machines (SVMs) [3] and traditional neural networks to detect defects. These methods automated the detection and classification of PCB defects, significantly enhancing detection accuracy and efficiency. However, the performance of these methods was constrained by the quality of feature extraction and the design of the classifiers, making it challenging to address complex backgrounds and detect small target defects.
Deep learning-based PCB defect detection methods have attained remarkable success within image recognition as well as object detection in the last few years, becoming the mainstream approach for PCB defect detection. Deep learning methods can be divided into two-stage and single-stage detection approaches. Two-stage detection methods, like Faster R-CNN [4] and Fast R-CNN [5], involve a process in which candidate regions are initially generated, followed by performing classification and regression within these regions to accurately locate and identify defects. Faster R-CNN employs a region proposal network to produce candidate regions and combines convolutional neural networks to perform feature extraction, demonstrating excellent performance. Fast R-CNN, however, utilizes external algorithms, like Selective Search, for generating candidate regions. These methods perform exceptionally well in precise recognition scenarios and have very high recognition accuracy. However, the training process is complex, the model size is large, and the detection speed is slow, which renders it impractical for lightweight, fast detection needs in industrial applications.
Single-stage detection methods, like YOLO [6], SSD [7], and RetinaNet [8], directly perform classification and regression on the whole image, offering quicker detection. YOLO treats the detection task as a regression problem, while SSD uses multi-scale feature maps for detection. RetinaNet integrates Focal Loss to address class imbalance by down-weighting easy-to-classify negatives. These methods, through end-to-end training, can automatically extract deep features from images, excelling in detecting defects in complex backgrounds and small targets, enhancing PCB defect detection with notable improvements in accuracy and efficiency. YOLO is frequently applied in single-stage detection tasks, offering unique benefits in accuracy, speed, and ease of deployment over other models.
Consequently, this research focuses on developing a single-stage detection method using YOLOv8s as the baseline model. It explores various techniques, including the extraction of small object features, attention mechanisms, and multi-scale feature enhancement. The proposed YOLO-SSW aims to address the challenges in differentiating PCB surface defects from their background, as well as issues with small defect sizes causing false detection and missed detection. This study’s key contributions are outlined as follows.
- To maximize the use of shallow information, we introduced a high-resolution feature P2 layer. This approach minimizes the loss of shallow features due to deeper networks while boosting detection of small objects.
- We incorporate the Conv-SPD module into the network, which preserves fine-grained information by replacing strided convolutions. This allows the model to effectively capture details in low-resolution images and small objects.
- We integrate the SimAM attention module into the backbone to lessen noise from shallow features, thus boosting the network’s capacity to extract features and resist noise.
- We incorporate the Wise-IoU loss function in training, dynamically adjusting gradient gains to lessen the impact of low-quality examples, resulting in improved localization accuracy.
The following sections are arranged in the following manner: The “Related Work” reviews prior research on detecting PCB surface defects. The “Methodology” elaborates on the proposed approach. The “Experiment” presents the experimental setup, data, procedures, results, and their analysis. Finally, the “Conclusion” summarizes the proposed method and discusses future research directions.
2. Related Work
This part provides a summary of prior studies using traditional image processing, machine learning, and deep learning methods for detecting PCB surface defects, assessing their strengths as well as limitations. Subsequently, we outline the performance results of our proposed model.
Research on traditional image processing methods for detecting PCB defects has explored various approaches. Wang et al. [9] proposed a local information Normalized Cross-Correlation (NCC) method to detect defects in IC images, which are integral parts of PCBs, reducing the false positive rate by calculating NCC using significant points in the neighborhood window. Su et al. [10] first used NCC to locate the center of flip chip solder bumps then extracted the features of the solder bumps for defect detection, achieving better detection performance. Annaby et al. [11] proposed an improved low-complexity NCC method for locating missing ICs on PCBs by converting 2D sub-images into 1D feature descriptors and performing calculations in the transform domain, enhancing both speed and robustness to noise. However, these traditional image processing methods often involve high computational complexity and lack real-time capabilities. Furthermore, these approaches may face challenges due to changes in lighting conditions, noise interference, and various environmental influences, which can impact both the accuracy and robustness of defect detection. As a result, while traditional methods can be effective under controlled conditions, their application in dynamic and fast-paced industrial environments is limited. Therefore, there is a need for more advanced and efficient algorithms to satisfy the requirements of contemporary PCB manufacturing processes.
Research on machine learning methods for detecting PCB defects has shown that traditional machine learning techniques have been employed to improve detection capabilities. Jiang et al. [12] introduced a method for detecting PCB solder paste defects, leveraging color bio-features, using biologically inspired color features and a sub-manifold learning method called PNDA. This method effectively classifies solder paste images into high-quality and low-quality categories. Hua et al. [13] used feature tracking corner detectors and Speeded Up Robust Features descriptors for image feature extraction, addressing issues of information loss and position shift in Harris corner detection, thus enhancing the speed and precision of PCB defect detection. Zhong et al. [14] calculated the probability of each pixel’s background feature between the background and defects in flexible integrated circuits (FICS) images, achieving FICS image defect classification with yellow circuit backgrounds, spotted film backgrounds, and black backgrounds. However, traditional machine learning algorithms face challenges such as large data volumes, redundant information, and sensitivity to environmental factors like lighting and noise. Additionally, traditional machine learning algorithms typically rely on manually designed features, which means the feature extraction process can be influenced by human subjectivity and may struggle to adapt automatically to different types of defects and scenarios.
Research on deep learning methods for detecting PCB defects has shown that both two-stage and single-stage object detection networks are commonly explored. Noteworthy among the two-stage approaches are the following: Hu et al. [15] proposed a deep learning-based method using an improved Faster-RCNN and Feature Pyramid Network (FPN) with ResNet50 and ShuffleNetV2 residual units to enhance the detection accuracy and speed of PCB surface defects in production environments. Luo et al. [16] proposed a decoupled two-stage object detection framework for detecting FPCB surface defects, utilizing a multi-hierarchical aggregation block for defect localization and a locally non-local block for defect classification, significantly enhancing detection performance. Li et al. [17] introduced a method for detecting PCB defects, leveraging an extended FPN model, which integrates semantic features at higher levels and geometric details at lower levels to accurately detect and classify small objects. Two-stage object detection methods, while excelling in high accuracy, small object detection, complex background handling, and multi-task processing, have significant drawbacks. Firstly, they have high computational complexity and slower detection speed, making them unsuitable for real-time applications. Secondly, they consume substantial resources and require high hardware capabilities, limiting their deployment on resource-constrained devices. Thirdly, they rely heavily on the quality of region proposals; if the generated proposals are subpar, the overall detection performance suffers. Consequently, in industrial applications requiring rapid, lightweight, and dependable solutions, they are less effective for detecting PCB surface defects.
Researchers have introduced single-stage detection methods to tackle the shortcomings of two-stage detection algorithms. These algorithms perform regression and classification simultaneously in a single forward pass, eliminating the need for region proposal generation. This method notably lowers the computational complexity while accelerating detection. As an example, Jiang et al. [18] introduced the RAR-SSD model, which integrates multi-scale feature fusion and attention mechanisms to enhance the accuracy of detecting small and medium-sized PCB defects, achieving significant performance gains over traditional SSD. Jin et al. [19] introduced a method for detecting PCB defects, leveraging EfficientDet-D1, which uses EfficientNet-B1 as the backbone and K-means clustering to predict anchor ratios, achieving similar mAP to other methods while reducing detection time. Bhattacharya et al. [20] introduced an end-to-end deep learning model that uses an improved YOLOv5 model combined with Transformers to quickly and accurately detect and classify manufacturing defects on PCBs, achieving superior performance while greatly minimizing the model’s parameter count. Despite their advantage of fast detection speeds and reasonable accuracy, single-stage object detection algorithms often fall short in accurately detecting tiny objects.
To address the issues present in the aforementioned algorithms and to enhance the accuracy and detection speed of PCB surface defect identification while meeting the requirements for deploying in a lightweight manner, this research focuses on single-stage detection algorithms, using the YOLOv8s model as the baseline, and proposes the improved YOLO-SSW model. The model performs well in addressing the challenges of foreground–background distinction and small object detection for PCBs. Using the PCB dataset, the proposed method attains 98.4% mAP@0.5, runs at 114.8 FPS, and has a model size of 23.7 MB, demonstrating its effectiveness.
3. Methodology
To tackle the challenges of tiny defect sizes, the strong similarity between background and defects, and low differentiation among various defect types on PCB surfaces, this study proposes YOLO-SSW, an improved model based on YOLOv8s, incorporating the Conv-SPD module and SimAM. The section begins with an overview of the YOLOv8s framework, subsequently detailing the main architecture and the four key improvements proposed in this approach.
3.1. Overview of YOLOv8 Framework
YOLO serves as a model designed for detecting objects based on convolutional neural networks and deep learning. YOLOv8 features five distinct models: YOLOv8n, YOLOv8s, YOLOv8m, YOLOv8l, and YOLOv8x, with network depth and width increasing progressively. YOLOv8n, the smallest model, is suitable for resource-limited scenarios, while YOLOv8x, the largest, is designed for high-precision applications. This research adopts YOLOv8s as the baseline model for its balanced performance and computational efficiency. Leveraging transfer learning and pre-trained COCO dataset weights, we develop a method for detecting PCB defects. This technique effectively utilizes existing model knowledge, reducing training time and resource requirements.
YOLOv8 is composed of a set of key components: input, backbone, neck, along with head. First, this input stage processes the image data, including scaling, normalization, and data augmentation. Among these, mosaic data augmentation entails randomly cropping and scaling four distinct images and compositing them into a single image, which not only creates more diverse and enriched training samples but also boosts the model’s object detection capabilities, enabling it to understand complex scenes. Next, the backbone mainly comprises three key components: Strided Conv, C2f, and SPPF. Strided Conv is the fundamental component for feature extraction, capturing local features of the image by applying convolutional kernels and gradually extracting more complex features from low-level ones. The C2f module primarily consists of bottlenecks and convolutional layers, utilizing cross-stage partial connections to minimize redundant computation and enhance efficiency of feature extraction. The SPPF module performs three consecutive max-pooling operations with a kernel size of 5 on the input image, which simulates the effect of using pooling kernels of sizes 5, 9, and 13, greatly enhancing the network’s receptive field. Additionally, the neck links the backbone with the head and is responsible for further feature integration and improvement. It is composed of a Feature Pyramid Network (FPN) [21] and a Path Aggregation Network (PAN) [22]. The FPN enhances the detection capabilities for different sized targets through multi-scale feature fusion, while the PAN further optimizes feature representation, boosting the precision of object detection. Finally, the head is the network’s prediction component, producing tensors across multiple feature scales, with each tensor containing the bounding box coordinates, object confidence scores, and class probabilities for detected objects.
3.2. Overall Framework of YOLO-SSW
The proposed YOLO-SSW framework is illustrated in Figure 1. Its key improvements are outlined as follows.
Figure 1.
Framework of YOLO-SSW.
- To retain the small objects’ spatial details from the shallow layer, we introduced a high-resolution P2 layer in the network’s feature fusion part. By integrating detailed features across multiple scales, the feature fusion layer enhances the network’s adaptability to various defect scales, thereby boosting its accuracy in detecting small objects.
- To address the issue of fine-grained information loss caused by traditional strided convolutions, we introduced the Conv-SPD module into the network. This module replaces strided convolutions with non-strided convolutions and space-to-depth operations. This design maintains spatial resolution and converts spatial dimension information into channel dimension information, further enhancing the feature map’s representation capability. This improvement significantly boosts the model’s capacity for detecting small defects in low-resolution images.
- To capture more efficient feature information, we introduced SimAM into the backbone network. SimAM is a parameter-free attention module that identifies important neurons by measuring the linear separability between neurons and generates three-dimensional attention weights for the feature maps. By adding SimAM modules after each C2f layer in the backbone, the feature extraction effect is enhanced, noise interference from shallow feature layers is reduced, and the quality of feature representation is further improved. This improvement significantly enhances the model’s accuracy in detecting tiny objects within complex backgrounds.
- To improve localization accuracy, we introduced the Wise-IoU loss function during the training process. Wise-IoU dynamically adjusts gradient gains to reduce the impact of low-quality examples, allowing the model to focus more effectively on high-quality examples. This enhances localization accuracy and significantly improves the model’s performance in detecting tiny objects within complex backgrounds.
3.3. High-Resolution P2 Layer
Small objects refer to targets within an image that have small dimensions and few pixels. In the COCO dataset, small objects are typically defined as those with an area less than 32 × 32 pixels [23]. These targets often hold significant importance in practical applications. However, during feature extraction in convolutional neural networks, the tiny size of these objects significantly reduces the resolution of feature maps after multiple downsampling operations. This reduction in feature map resolution is accompanied by information loss, which is particularly severe in deep networks. The deeper the network, the more the resolution of feature maps decreases, making it easier to lose information about small objects, thus reducing the model’s precision in detecting them.
In YOLOv8, an FPN has been introduced to improve the model’s capacity for detecting objects of various sizes through multi-scale feature fusion. FPN improves the capability to detect small objects by integrating feature maps from different levels. Specifically, FPN utilizes feature maps P3, P4, and P5, which correspond to downsampled feature maps of the original size by 1/8, 1/16, and 1/32, respectively. In PCB defect detection tasks, where numerous tiny objects are present, FPN can alleviate some difficulties, but it struggles with even smaller targets, such as those smaller than 10 × 10 pixels. The features of these tiny targets become weak or even disappear after multiple downsampling processes.
To enhance the detection capability for tiny targets, we have introduced a high-resolution feature map P2 in the backbone network of YOLOv8. As shown in Figure 2, the P2 feature map corresponds to a 1/4 downsampling of the original size, retaining more detailed information, which is crucial for detecting very tiny targets. Consequently, we have added feature layers F2 and N2 in the neck network of YOLOv8 to further enrich high-resolution feature representation and improve the accuracy in detecting tiny targets. Through the fusion of these different levels of features, the model can better detect targets of various sizes at different resolutions, making it more effective in detecting tiny targets. Thus, by introducing the P2 feature map in the backbone and adding feature layers F2 and N2 in the neck, we have significantly improved the detection ability of YOLOv8 for tiny targets in the PCB dataset. These enhancements not only strengthen the model’s capability to extract features from small objects but also improve the overall detection accuracy and robustness.
Figure 2.
High-resolution P2 layer architecture.
3.4. Conv-SPD Module for Enhanced Feature Retention
Stride convolution layers are typically employed in convolutional neural networks for downsampling and feature extraction. However, these layers can result in the loss of fine-grained information and lead to less effective feature representations. This issue is particularly significant when it comes to detecting small targets, as the reduction in fine-grained information can significantly undermine the precision and overall performance of the detection procedure.
To address this issue, we introduce a module called Conv-SPD to replace strided convolution layers for PCB defect detection, targeting improved feature extraction and downsampling efficiency. Conv-SPD consists of a non-strided convolution (Conv) layer followed by a space-to-depth (SPD) layer, reversing the operation order of the SPD-Conv module [24]. The reordered sequence allows Conv-SPD to extract detailed features prior to downsampling, addressing the limitations of SPD-Conv in preserving fine-grained information. This design effectively reduces information loss and enhances feature representation capabilities, making it particularly effective in detecting small and intricate defects in PCB detection tasks, where preserving fine-grained details is critical for accurate detection.
Specifically, the Conv-SPD module initially processes the input feature map with dimensions through a non-strided convolution with a stride of 1, resulting in an output feature map of dimensions . Subsequently, the space-to-depth operation [25] is applied. As shown in Figure 3, when the scale is 2, this operation transforms the input feature map from to by converting spatial dimensions into channel dimensions. This approach not only allows for detailed feature extraction but also effectively reduces the spatial dimensions while preserving all original information, thus enhancing the model’s feature representation ability.
Figure 3.
Conv-SPD illustration when scale = 2 for feature map processing.
To enhance YOLOv8’s performance in detecting small objects, we integrate the Conv-SPD module into the network. Specifically, the Conv-SPD module comprises a non-strided convolution layer and a space-to-depth layer. By replacing seven strided convolution layers in YOLOv8 with this module, we aim to avoid losing fine-grained information. These seven strided convolution layers include four in the backbone (out of a total of five strided convolutions in the backbone, with the first one not being replaced) and three in the neck. Our approach first applies the non-strided convolution followed by the space-to-depth operation. This sequence ensures detailed extraction of initial features and converts spatial dimensions into additional channel information, thereby reducing information loss. For PCB defect detection tasks, this combination is particularly well suited for extracting and retaining the specific shapes and texture features of defects, thereby enhancing detection performance.
In summary, our methodology integrates the detailed feature extraction capabilities of non-strided convolutions with the efficient downsampling and information retention properties of space-to-depth. This combination is effective in boosting the performance and reliability of PCB defect detection, positioning it as an effective method for practical uses.
3.5. SimAM for Backbone Enhancement
Attention modules can allocate varying weights to distinct channels or spatial regions, enabling models to prioritize extracting essential information. Typically, existing attention mechanisms produce one-dimensional or two-dimensional weights along either the channel or spatial dimensions. However, during the weight generation process, these approaches uniformly treat each neuron within a channel or spatial location, which restricts their capacity to discern additional distinguishing features.
SimAM [26] is an attention module that generates 3D attention weights for feature maps without requiring extra parameters, thereby enhancing feature refinement while maintaining computational efficiency, as shown in Figure 4. This innovative approach draws inspiration from principles in visual neuroscience, where it is observed that neurons conveying significant information exhibit unique firing patterns, markedly different from those of surrounding neurons [27]. Additionally, active neurons often exert an inhibitory effect on neighboring neurons, a phenomenon that helps to enhance the contrast of important signals. SimAM leverages these insights by employing a specifically designed energy function, which measures the linear separability between neurons. This separability is crucial for distinguishing key neurons from less important ones. By calculating this separability, SimAM effectively identifies and emphasizes the most informative neurons within the neural network. The formulation of the energy function is given inEquation (1):
where t and represent the target neuron and the other neurons within a single channel of the input feature . Here, i indexes the spatial dimension, and denotes the total number of neurons in that channel. The parameters and are the weight and bias applied during the transformation. Subsequently, by calculating the closed-form solutions for the variables and , and substituting them into Equation (1), the minimum energy can be derived as shown in Equation (2):
The expression in Equation (2) shows that a smaller energy value indicates greater linear separability between neuron t and the other neurons, highlighting its higher importance. According to the definition of attention mechanisms, the SimAM module can be formulated as shown in Equation (3):
where aggregates all energy function values across the channel and spatial dimensions. A function is applied to limit excessively large values in . Since is a monotonic function, it does not affect the comparative significance of each neuron.
Figure 4.
Structure diagram of SimAM attention module.
We integrate the SimAM module into the backbone of YOLOv8, enhancing feature extraction by adding SimAM modules after each C2f layer. The SimAM module refines feature maps by assigning three-dimensional attention weights, making sure that the most relevant features are highlighted. Since SimAM is parameter-free and lightweight, its application after multiple C2f layers maintains the network’s computational efficiency while more effectively preserving small target details. This helps mitigate the P2 layer’s introduction of shallow noise interference, which in turn improves tiny defect detection on PCBs.
3.6. Wise-IoU Loss Function for Improved Localization
In PCB defect detection, the high proportion of small targets presents a significant challenge. A well-designed loss function can markedly improve the model’s accuracy and effectiveness, ensuring precise identification of tiny defects in complex backgrounds, thereby improving overall model performance and reliability. The YOLOv8 loss function consists of bounding box regression (BBR) loss and classification loss. The BBR loss is computed using Distribution Focal Loss (DFL) and CIoU loss. In our proposed YOLO-SSW model, we replace the CIoU loss function of YOLOv8 with the WIoU loss function [28].
The BBR loss is essential to determining the precision of a model’s localization capabilities. The anchor box, denoted as , includes the center coordinates along with the width and height of the bounding box. In a similar manner, the target box, represented as , outlines the central coordinates and size specific to the target object. In the realm of object detection, the Intersection over Union (IoU) [29] metric is employed to evaluate how much the anchor box and the target box overlap, providing a measure of their intersection relative to their union.
As presented in Figure 5, the union area S of the anchor box and the target box is calculated as shown in Equation (4):
In this Equation (4), represents the anchor box area, represents the target box area, and represents the intersection area between the anchor and target boxes.
Figure 5.
Bounding box regression loss.
The loss function is applied by the model for BBR. This loss function, , is defined in Equation (5):
To avoid gradient vanishing issues during backpropagation when the two boxes have no overlap, it is crucial to integrate a penalty term into the BBR loss. This term, intended to address the issue, is specified in Equation (6):
Different penalty terms lead to varying BBR loss functions. For instance, CIoU enhances DIoU by considering aspect ratio, thereby improving overall performance [30]. However, while these improvements are significant, they are primarily effective in general scenarios and do not cater specifically to tiny defects. Therefore, for precise localization of such small defects, a more adaptive BBR loss function is required. To address this need, WIoU, which incorporates a dynamic nonmonotonic focusing mechanism, has been introduced into our proposed YOLO-SSW framework. Distance attention in WIoU is defined by the following Equation (7):
where , which ranges from 1 to e, will greatly enhance the for anchor boxes of ordinary quality, and , with a range of 0 to 1, will substantially decrease the for high-quality anchor boxes, focusing on the distance between central points when the anchor box closely matches the target box. Here, W and H denote the width and height of the smallest box that can enclose both the anchor box and the target box.
WIoU adopts a dynamic non-monotonic focusing mechanism to distribute gradient gains to anchor boxes according to their outlier degree, which is detailed in Equation (8). This method assigns smaller gradient gains to anchor boxes with higher outlier degrees, signifying their superior quality. Consequently, this strategy effectively reduces the effect of harmful gradients from low-quality proposals.
where denotes the exponential running average with momentum m.
Ultimately, the WIoU loss function is derived using Equation (9) below and incorporated into our proposed YOLO-SSW:
where and are hyperparameters set through experimental evaluation to ensure the best performance.
4. Experiment
4.1. Dataset Description
The dataset utilized for this research is based on the PCB dataset provided by Peking University [31]. This original dataset includes six types of defects: Spurious copper (Sc), Spur (Sp), Short (Sh), Open circuit (Oc), Mouse bite (Mb), and Missing hole (Mh). In total, the dataset comprises 693 images. Figure 6 depicts visual samples of the six defect types.
Figure 6.
Six defects on the PCB surface: (a) Missing hole, (b) Mouse bite, (c) Open circuit, (d) Short, (e) Spur, and (f) Spurious copper.
To more accurately simulate the various complex scenarios that may be encountered during automated PCB inspection, we utilized an enhanced dataset provided in reference [32], which is based on the original PCB defect dataset from Peking University. This enhanced dataset was created by applying various methods of image enhancement, like random rotation, salt and pepper noise, random light and dark adjustments, cropping, random zooming, and motion blur, expanding the dataset from the original 693 images to a total of 4158 images. In the enhanced dataset, Table 1 shows the spread of different defects and instances.
Table 1.
The PCB dataset’s small target distribution.
The dataset, which has been augmented, is divided into training, validation, and test sets in an 8:1:1 ratio. This division results in 3326 images for training and 416 images each for validation and testing.
4.2. Environment and Training Parameters
The experiment was carried out using the AutoDL platform featuring an RTX3090 GPU and an AMD EPYC 9754 CPU, operating under a Linux system. The environment was set up using PyTorch 2.0.0 alongside Python 3.8 and CUDA 11.8, ensuring compatibility and excellent performance for the tasks at hand. Detailed specifications of the experimental environment are outlined in Table 2.
Table 2.
Detailed experimental environment.
To achieve optimal performance, we carefully configured the training parameters for the model. The model was trained with weight decay set to 0.0005 and momentum set to 0.937, respectively, using the Stochastic Gradient Descent (SGD) optimizer. A learning rate of 0.01 was applied. We selected an image size of 640 × 640 and a batch size of 32, and the model underwent training for up to 300 epochs. SGD was chosen due to its proven ability to provide better generalization and stability in object detection tasks, particularly in small object detection scenarios. After considering the performance metrics and hardware constraints, we identified this configuration as the optimal set of hyperparameters. In Table 3, the specific training parameters are outlined.
Table 3.
Model training parameters.
To reduce the risk of overfitting and improve the model’s generalization, during the training phase, we applied the default YOLOv8 data augmentation settings. These settings, widely validated on public datasets such as COCO, are recognized for their ability to enhance object detection performance while offering a practical balance between accuracy and computational efficiency, ensuring the model performs well in real-world applications. Data augmentation serves as a crucial technique by generating additional training samples through either altering existing data or creating synthetic variations. In our approach, we utilized classic augmentation methods including mosaic augmentation, random flipping, random scale sampling, and image HSV enhancement. Table 4 details these hyperparameters. Mosaic augmentation, in particular, plays a significant role in improving data diversity and model robustness. This technique involves selecting four different images for each training iteration, which are then subjected to a set of transformations like optical adjustments, cropping, flipping, and random scaling. After these operations, the images are combined into a single mosaic image, with the modified labels provided to the model. Such an approach significantly increases the variability in the training dataset, thus boosting the model’s proficiency in detecting small targets.
Table 4.
Data augmentation hyperparameters.
4.3. Evaluation Metrics
In order to comprehensively assess the performance of the proposed model, this experiment utilizes a range of evaluation metrics. These metrics include mean average precision (mAP), average precision (AP), precision (P), and recall (R), as well as frames per second (FPS) and the model’s complete size. Each metric offers a unique view on the model’s effectiveness, ensuring a thorough evaluation across different dimensions. The specific calculations for these metrics are detailed below, which are provided to illustrate the methodologies used to derive these performance indicators.
Precision is calculated as the ratio of true positive samples to the overall number of samples predicted as positive. This value is derived through the following calculation, as shown in Equation (10):
Recall measures the ratio of true positive samples to the total actual positive samples. The calculation of recall is defined by the formula shown in Equation (11):
The F1-Score, which combines precision and recall into a single metric, is the harmonic mean of these two measures. The F1-Score calculation is detailed in Equation (12):
Average precision (AP) is calculated as the area under the precision–recall curve, which is mathematically defined by integrating the precision (P) with respect to recall (R) from 0 to 1, as shown in Equation (13):
Mean average precision (mAP) is calculated as the sum of AP values for all categories, divided by the total number of categories, N, as shown in Equation (14):
4.4. Experimental Results and Analysis
For evaluating the role of modules, an ablation study was conducted, as outlined in Table 5. Scheme 1 serves as the baseline and utilizes the original YOLOv8s model without any modifications; Scheme 2 incorporates the shallow high-resolution layer P2 into the network architecture. Scheme 3 builds upon Scheme 2 by integrating the Conv-SPD module into the network; Scheme 4 further extends the network by embedding the SimAM module within the backbone, based on Scheme 3; and Scheme 5 implements the Wise-IoU loss function, building on the improvements made in Scheme 4.
Table 5.
Ablation study schemes.
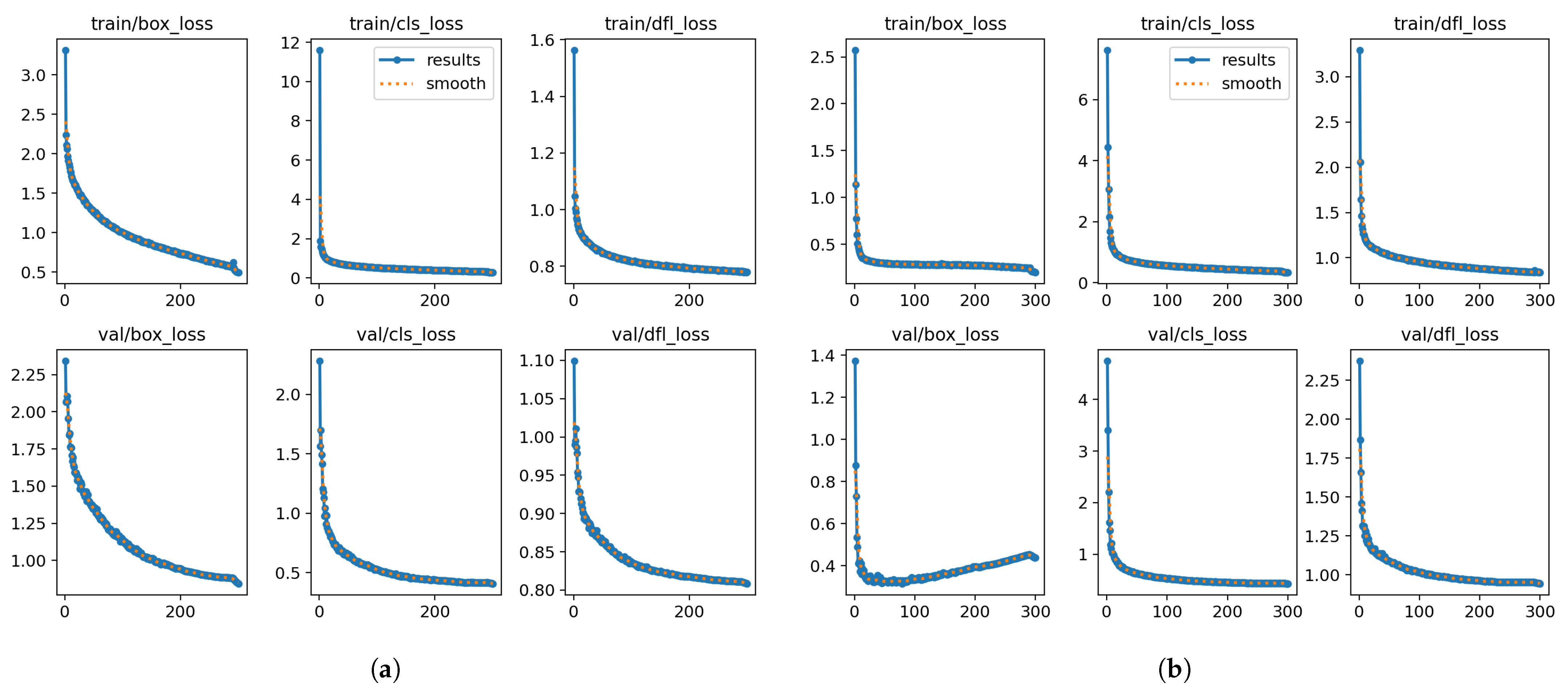
Table 6 provides its ablation study findings for the five schemes. Later sections discuss the improvements. In addition, to thoroughly evaluate the enhanced model’s performance and generalization capabilities, the training loss and evaluation metrics for both baseline YOLOv8 and the improved YOLO-SSW are visualized in Figure 7 and Figure 8, respectively.
Table 6.
Results of ablation study.
Figure 7.
Training loss comparison between YOLOv8 and YOLO-SSW: (a) loss curve for YOLOv8, (b) loss curve for YOLO-SSW.
Figure 8.
Training performance comparison between YOLOv8 and YOLO-SSW. Red lines represent YOLO-SSW, and blue lines represent YOLOv8: (a) mAP@0.5, (b) recall, (c) precision.
4.4.1. Effect of High-Resolution P2 Layer
Based on the findings presented in Table 6 for Scheme 2, the introduction of the P2 layer led to an improvement in mAP@0.5 by 0.3% and an increase in the recall rate by 0.6%. Notably, in the detail-rich Mouse bite category, the AP improved by 1.2%, and in the Spur category, it improved by 1.1%. These findings suggest that the addition of the P2 layer is crucial for enhancing the extraction of detailed information for shallow tiny objects. This improvement is crucial in reducing the likelihood of missed detections.
4.4.2. Effect of Conv-SPD Module
To validate the effectiveness of the Conv-SPD module and determine its suitability for Scheme 3 in the ablation study, a comparative experiment was conducted against the SPD-Conv module. This experiment was based on the YOLOv8s+P2 framework (Scheme 2 in Table 5), where the difference between the two configurations lies in the order of operations in the module: Conv-SPD places a non-strided convolution before the space-to-depth operation, while SPD-Conv applies the operations in reverse order. The results of this comparative experiment are summarized in Table 7.
Table 7.
Results of the comparative experiment between SPD-Conv and Conv-SPD.
The results indicate that Conv-SPD outperforms SPD-Conv, with recall improving by 1% and mAP@0.5 increasing by 0.5%. This demonstrates that Conv-SPD more effectively preserves fine-grained information, leading to superior performance in detecting small targets and intricate details.
Building on the improvements observed in the comparative experiment, Conv-SPD was introduced as the newly added module in Scheme 3 of the ablation study, replacing strided convolutions in Scheme 2. Scheme 3 results in Table 6 indicate that introducing the Conv-SPD module improved the model’s mAP@0.5 by 0.1%, while the recall rate remained consistent. Notably, in the detail-rich Spur category, the AP increased by 0.3%. These findings suggest that the Conv-SPD module enhances feature representation and detection performance by replacing strided convolutions, effectively preserving fine details, particularly in low-resolution images and tiny objects.
4.4.3. Effect of SimAM
The results shown in Scheme 4 of Table 6 highlight the impact of integrating the SimAM attention module within the backbone. This integration is vital for mitigating the adverse effects of shallow background noise, thereby preventing the transmission of invalid features through the network. As a result, the model more effectively focuses on areas with relevant information. When compared to Scheme 3, after the addition of SimAM, the recall rate showed a slight decrease; however, other evaluation metrics improved. Notably, in the Open circuit category, the AP improved by 0.7%, and in the Spurious copper category, it improved by 0.9%. This indicates a more refined detection performance overall.
4.4.4. Effect of Wise-IoU Loss Function
To evaluate the impact of the Wise-IoU loss function, we first conducted a parameter comparison experiment to determine its optimal configuration. By systematically varying its two parameters a and b, the results in Table 8 indicate that the combination of and achieved the best performance.
Table 8.
Results of the Wise-IoU parameters comparison experiment.
This optimal parameter configuration (, ) was then utilized in Scheme 5 of the ablation study to assess the effect of replacing CIoU with WIoU. As shown in Table 6, the introduction of Wise-IoU resulted in an improvement in mAP@0.5 by 0.3% and an increase in the recall rate by 0.4% compared to Scheme 4.
Notably, in the detail-rich Mouse bite category, the AP improved by 0.5%, and in the Spur category, it improved by 1%. These data indicate that the Wise-IoU, through its dynamic non-monotonic focusing mechanism, can effectively mitigate harmful gradients when dealing with low-quality samples while boosting the contribution of ordinary-quality anchor boxes. This allows for better extraction and utilization of detailed information, thus improving the model’s feature representation capability and detection performance.
4.4.5. Model Improvement Summary
The YOLOv8 model’s loss function consists of box, classification, and distribution focal losses. Box loss assesses the model’s capacity to measure the difference between the predicted bounding boxes and the ground truth bounding boxes in object detection tasks. Classification loss assesses the accuracy of the algorithm in predicting object classes in object detection tasks by measuring the difference between the predicted classes and the ground truth classes. Distribution focal loss is used to enhance the accuracy of bounding box regression.
As demonstrated in Figure 7, the YOLO-SSW model achieves a more rapid convergence rate and presents a smoother loss curve in comparison with the baseline YOLOv8. It can be concluded that YOLO-SSW not only trains more efficiently but also exhibits superior generalization capabilities, suggesting that it adapts better during the training process. Furthermore, Figure 8 reveals that YOLO-SSW outperforms YOLOv8 across several key metrics, including mAP@0.5, recall, and precision. Such a performance boost signifies that the improvements integrated into YOLO-SSW enhance its ability to accurately detect small defects on PCB surfaces. As a result, YOLO-SSW demonstrates a higher detection accuracy, particularly in identifying challenging, small defects that are critical in quality control processes.
4.5. Comparison with Existing Models
To comprehensively assess how well YOLO-SSW performs in detecting small objects under challenging scenarios, particularly in the presence of complex textures, we carried out a set of comparative experiments. Initially, we selected three advanced models [32,33,34] that have demonstrated strong capabilities in small object detection within PCB datasets, along with TPH-YOLO [35], a model that has achieved remarkable results in detecting tiny targets within unmanned aerial vehicle imagery. Table 9 provides detailed comparative results of these four algorithms tested on the enhanced PCB dataset.
Table 9.
Comparison of PCB defect detection models and tiny target detection models.
Following this, we extended our comparison by benchmarking YOLO-SSW against a broad range of advanced object detection models, including Faster R-CNN [4], RetinaNet [8], SSD [7], YOLOv5, YOLOv6, YOLOv7 [36], YOLOv8, YOLOv9 [37], YOLOv10 [38], and YOLO11 [39]. Table 10 presents the comparative data from these experiments, with the corresponding detection findings illustrated within Figure 9.
Table 10.
Comparison of advanced object detection models.
Figure 9.
Detection outcomes of advanced object detection models.
In addition to these performance comparisons, we further examined the complexity and stability of YOLO-SSW relative to other YOLO algorithms. The findings of this analysis highlight that YOLO-SSW achieves superior detection performance with high precision, recall, and F1-score, as summarized in Table 11. Despite its slightly higher complexity, the model demonstrates excellent stability, making it suitable for effective and accurate PCB defect detection deployment.
Table 11.
Comparison of YOLO series model stability and complexity.
4.5.1. Comparison of YOLO-SSW with Other Advanced PCB Defect Detection Models
As presented in Table 9, the experimental findings indicate that, in the enhanced PCB dataset, YOLO-SSW outperformed other small target detection models across most key metrics. Specifically, it achieved the highest mAP@0.5 value of 98.4%. In the detection of Spurious copper defects, YOLO-SSW achieved an AP value of 97.9%, significantly surpassing other models and outperforming the second-highest model by 1.7% AP, demonstrating exceptional detection capability. These results not only highlight YOLO-SSW’s remarkable advantage in handling complex small-scale defects, effectively reducing false positives and false negatives, but also underline its practical relevance in industrial scenarios. While the improvement in detection metrics may appear modest, these advancements hold considerable significance in practical industrial applications. In PCB manufacturing, consistent and reliable defect detection is essential to ensure product quality and minimize production losses. Missed defects in PCB manufacturing can lead to costly product recalls or production delays, which are critical in high-volume manufacturing environments. Even a minor improvement in detection accuracy can significantly reduce the occurrence of missed defects in large-scale industrial scenarios, especially for tasks involving small objects and complex backgrounds. This reduction in undetected defects decreases the likelihood of defective products entering the market or requiring costly rework, ensuring higher efficiency and reliability in manufacturing processes. Moreover, YOLO-SSW achieves a competitive FPS of 114.8, striking an excellent balance between detection accuracy and real-time performance, further solidifying its leading position in PCB defect detection tasks.
4.5.2. Comparison of YOLO-SSW with Other Advanced Object Detection Models
As illustrated in Figure 9, the detection findings suggest that SSD exhibited the weakest performance on the enhanced PCB dataset, with 12 missed detections as a result. Other models faced similar challenges. Faster R-CNN missed 10 detections, while RetinaNet missed 2 detections and produced 6 false detections. YOLOv5 missed 2 detections and produced 1 false detection. YOLOv6 missed 4 detections, YOLOv7 missed 6 detections, YOLOv8 missed 1 detection, and YOLOv9, YOLOv10, and YOLO11 each missed 3 detections. These errors were primarily associated with Spur, Open circuit, and Mouse bite defects, which posed challenges for accurate detection. YOLO-SSW, however, stood out by accurately identifying all defect targets without errors.
The findings of the comparison experiments indicate that YOLO-SSW significantly enhances detection precision across various defect types contrasted with mainstream algorithms, as shown in Table 10. Specifically, the model achieves AP scores of 98.1% for Mouse bite, 98.5% for Open circuit, 97.0% for Spur, and 97.9% for Spurious copper, demonstrating superior performance over other algorithms in these categories. It also achieves 99.5% for Missing hole and 99.3% for Short, matching the performance of the best existing algorithms. In addition, the overall performance metrics of YOLO-SSW are noteworthy, with mAP@0.5 and recall reaching 98.4% and 95.5%, respectively. These figures represent significant improvements of 0.8% in both mAP@0.5 and recall over the original YOLOv8s model. Moreover, even when compared to the latest YOLO11 algorithm, YOLO-SSW demonstrates an improvement of 0.8% in mAP@0.5, underscoring its advanced capabilities. YOLO-SSW demonstrates a detection speed of 114.8 FPS, which is notably faster than the 18.5 FPS achieved by Faster R-CNN, 18.6 FPS by RetinaNet, 21.0 FPS by SSD, and 77.5 FPS by YOLOv9. This remarkable speed, combined with its precision, makes YOLO-SSW highly adaptable and efficient for industrial scenarios where both accuracy and speed are critical.
Table 11 compares the stability and complexity across various YOLO models. YOLO-SSW achieves detection precision, recall, and F1-scores of 99.2%, 95.5%, and 97.3%, respectively, demonstrating superior performance compared to other algorithms. This indicates that YOLO-SSW demonstrates superiority not only in detection accuracy but also in robustness, highlighting its superior stability compared to other models.
In terms of model complexity, YOLO-SSW has 12,188,584 parameters and a model size of 23.7 MB. While the parameter count and model size increase only slightly compared to YOLOv8, this additional complexity enables enhanced feature extraction and detection capabilities, resulting in significantly better precision and recall. This trade-off between complexity and performance remains practical for industrial applications. Overall, YOLO-SSW not only delivers outstanding detection accuracy and robustness but also maintains a manageable level of complexity. Its high performance and manageable complexity make it a practical and viable choice for real-world PCB defect detection tasks, particularly in applications requiring a balance between precision, stability, and resource efficiency.
5. Conclusions
This paper puts forward the YOLO-SSW model, an advanced modification of the YOLOv8s architecture. The model is specifically designed to overcome the difficulties associated with detecting small defects on the PCB dataset, aiming to improve accuracy and reliability in identifying these small, yet critical, defects.
First, incorporating a shallow high-resolution P2 layer into the network mitigates the loss of critical small target features that often occurs due to excessive down-sampling. This addition ensures that essential details are preserved, allowing for more accurate detection of small objects. Second, introducing the Conv-SPD module into the network retains fine-grained information by replacing strided convolutions, enabling the model to effectively capture details in low-resolution images and small objects. Subsequently, integrating a SimAM attention module into the backbone helps to diminish the background noise interference originating from shallow layers, allowing the model to focus more effectively on relevant target regions. Finally, introducing the Wise-IoU loss function into the training process reduces the impact of low-quality examples by dynamically adjusting gradient gains, enabling the model to achieve more accurate localization performance.
The results of the experiments indicate that the YOLO-SSW model demonstrates superior performance compared to alternative mainstream detection models on the PCB dataset, particularly excelling in minimizing false detection and missed detection. Moreover, this model outperforms other mainstream models in detection accuracy, while its processing speed is on par with most other mainstream models. Its lightweight nature ensures that it meets the stringent requirements for deployment in industrial settings, making it an ideal choice for efficient and reliable detection of defects on PCB surfaces.
In our ongoing study, significant strides have been made in improving our model to enhance the detection of small PCB defects. Despite these efforts, the detection precision for spur-type defects, which are relatively small in size, continues to lag behind. This defect type frequently exhibits relatively the lowest precision across various ablation studies. The experimental results further revealed that after incorporating the SimAM attention module, there was an unexpected decline in the detection precision for spur defects. This module, while effective in reducing background noise and enhancing focus on the target area, seems to inadvertently suppress crucial fine details necessary for accurately identifying small-sized defects like spurs. Extensive experiments have demonstrated that while the incorporation of SimAM attention improves overall model performance for many defect types, it does not provide the same benefits for detecting relatively small defects like spur. The module might affect the representation of some fine details in shallow feature maps, potentially impacting the model’s ability to accurately distinguish very small features like spurs.
To address these issues, several strategies could be considered: (1) selective attention mechanism: Introducing an attention mechanism that selectively enhances fine details while still suppressing noise, potentially striking a balance between the two. This can involve a hybrid approach combining SimAM with another module that specifically focuses on small defect detection; (2) enhanced data augmentation: augmenting the training data with more examples of spur defects in varied conditions can help the model learn to identify these small defects better, even with noise suppression in place; (3) multi-resolution feature fusion: implementing a multi-resolution approach where features from different resolutions are combined might help in retaining the crucial small defect details while still benefiting from the noise suppression of the SimAM module.
In our future work, we plan to explore these improvements to enhance the detection accuracy of spur defects without compromising the overall performance gains provided by the SimAM attention module. Our focus will be on developing a more balanced approach that can maintain high precision across all defect types, ensuring robust performance in real-world PCB defect detection scenarios.
Author Contributions
Conceptualization, T.Y.; methodology, T.Y., Z.J. and N.D.; software, T.Y. and Z.J.; validation, T.Y.; formal analysis, T.Y. and N.D.; investigation, T.Y.; data curation, Z.J.; writing—original draft preparation, T.Y.; writing—review and editing, N.D.; visualization, T.Y.; supervision, N.D. All authors have read and agreed to the published version of the manuscript.
Funding
This work was supported by the Basic Research Project of Shijiazhuang-based Universities in Hebei under Grant 241790947A.
Data Availability Statement
The PKU-Market-PCB dataset, publicly available, was downloaded from https://robotics.pkusz.edu.cn/resources/dataset/(accessed on 1 May 2024).
Acknowledgments
The authors would like to thank the reviewers for their constructive comments and valuable suggestions, which have greatly contributed to the improvement of this manuscript.
Conflicts of Interest
The authors declare no conflicts of interest.
References
- Shi, Y.; Xin, Z.; Loh, P.C.; Blaabjerg, F. A review of traditional helical to recent miniaturized printed circuit board Rogowski coils for power-electronic applications. IEEE Trans. Power Electron. 2020, 35, 12207–12222. [Google Scholar] [CrossRef]
- Abd Al Rahman, M.; Mousavi, A. A review and analysis of automatic optical inspection and quality monitoring methods in electronics industry. IEEE Access 2020, 8, 183192–183271. [Google Scholar]
- Cortes, C. Support-Vector Networks. Mach. Learn. 1995, 20, 273–297. [Google Scholar] [CrossRef]
- Ren, S.; He, K.; Girshick, R.; Sun, J. Faster R-CNN: Towards real-time object detection with region proposal networks. IEEE Trans. Pattern Anal. Mach. Intell. 2016, 39, 1137–1149. [Google Scholar] [CrossRef]
- Girshick, R. Fast r-cnn. arXiv 2015, arXiv:1504.08083. [Google Scholar]
- Redmon, J. You only look once: Unified, real-time object detection. In Proceedings of the IEEE Conference on Computer Vision and Pattern Recognition, Las Vegas, NV, USA, 27–30 June 2016. [Google Scholar]
- Liu, W.; Anguelov, D.; Erhan, D.; Szegedy, C.; Reed, S.; Fu, C.Y.; Berg, A.C. SSD: Single shot multibox detector. In Proceedings of the Computer Vision–ECCV 2016: 14th European Conference, Amsterdam, The Netherlands, 11–14 October 2016; Proceedings, Part I 14. Springer: Berlin/Heidelberg, Germany, 2016; pp. 21–37. [Google Scholar]
- Ross, T.Y.; Dollár, G. Focal loss for dense object detection. In Proceedings of the IEEE Conference on Computer Vision and Pattern Recognition, Honolulu, HI, USA, 21–26 July 2017; pp. 2980–2988. [Google Scholar]
- Wang, C.C.; Jiang, B.C.; Lin, J.Y.; Chu, C.C. Machine vision-based defect detection in IC images using the partial information correlation coefficient. IEEE Trans. Semicond. Manuf. 2013, 26, 378–384. [Google Scholar] [CrossRef]
- Su, L.; Shi, T.; Xu, Z.; Lu, X.; Liao, G. Defect inspection of flip chip solder bumps using an ultrasonic transducer. Sensors 2013, 13, 16281–16291. [Google Scholar] [CrossRef]
- Annaby, M.H.; Fouda, Y.M.; Rushdi, M.A. Improved normalized cross-correlation for defect detection in printed-circuit boards. IEEE Trans. Semicond. Manuf. 2019, 32, 199–211. [Google Scholar] [CrossRef]
- Jiang, J.; Cheng, J.; Tao, D. Color biological features-based solder paste defects detection and classification on printed circuit boards. IEEE Trans. Compon. Packag. Manuf. Technol. 2012, 2, 1536–1544. [Google Scholar] [CrossRef]
- Hua, G.; Huang, W.; Liu, H. Accurate image registration method for PCB defects detection. J. Eng. 2018, 2018, 1662–1667. [Google Scholar] [CrossRef]
- Zhong, Z.; Ma, Z. A novel defect detection algorithm for flexible integrated circuit package substrates. IEEE Trans. Ind. Electron. 2021, 69, 2117–2126. [Google Scholar] [CrossRef]
- Hu, B.; Wang, J. Detection of PCB surface defects with improved faster-RCNN and feature pyramid network. IEEE Access 2020, 8, 108335–108345. [Google Scholar] [CrossRef]
- Luo, J.; Yang, Z.; Li, S.; Wu, Y. FPCB surface defect detection: A decoupled two-stage object detection framework. IEEE Trans. Instrum. Meas. 2021, 70, 1–11. [Google Scholar] [CrossRef]
- Li, C.J.; Qu, Z.; Wang, S.Y.; Bao, K.h.; Wang, S.Y. A method of defect detection for focal hard samples PCB based on extended FPN model. IEEE Trans. Compon. Packag. Manuf. Technol. 2021, 12, 217–227. [Google Scholar] [CrossRef]
- Jiang, W.; Li, T.; Zhang, S.; Chen, W.; Yang, J. PCB defects target detection combining multi-scale and attention mechanism. Eng. Appl. Artif. Intell. 2023, 123, 106359. [Google Scholar] [CrossRef]
- Jin, J.; Feng, W.; Lei, Q.; Gui, G.; Li, X.; Deng, Z.; Wang, W. Defect detection of printed circuit boards using efficientdet. In Proceedings of the 2021 IEEE 6th International Conference on Signal and Image Processing (ICSIP), Nanjing, China, 22–24 October 2021; pp. 287–293. [Google Scholar]
- Bhattacharya, A.; Cloutier, S.G. End-to-end deep learning framework for printed circuit board manufacturing defect classification. Sci. Rep. 2022, 12, 12559. [Google Scholar] [CrossRef]
- Lin, T.Y.; Dollár, P.; Girshick, R.; He, K.; Hariharan, B.; Belongie, S. Feature pyramid networks for object detection. In Proceedings of the IEEE Conference on Computer Vision and Pattern Recognition, Honolulu, HI, USA, 21–26 July 2017; pp. 2117–2125. [Google Scholar]
- Liu, S.; Qi, L.; Qin, H.; Shi, J.; Jia, J. Path aggregation network for instance segmentation. In Proceedings of the IEEE Conference on Computer Vision and Pattern Recognition, Salt Lake City, UT, USA, 18–23 June 2018; pp. 8759–8768. [Google Scholar]
- Torralba, A.; Fergus, R.; Freeman, W.T. 80 million tiny images: A large data set for nonparametric object and scene recognition. IEEE Trans. Pattern Anal. Mach. Intell. 2008, 30, 1958–1970. [Google Scholar] [CrossRef]
- Sunkara, R.; Luo, T. No more strided convolutions or pooling: A new CNN building block for low-resolution images and small objects. In Proceedings of the Joint European Conference on Machine Learning and Knowledge Discovery in Databases, Grenoble, France, 19–23 September 2022; pp. 443–459. [Google Scholar]
- Sajjadi, M.S.; Vemulapalli, R.; Brown, M. Frame-recurrent video super-resolution. In Proceedings of the IEEE Conference on Computer Vision and Pattern Recognition, Salt Lake City, UT, USA, 18–23 June 2018; pp. 6626–6634. [Google Scholar]
- Yang, L.; Zhang, R.Y.; Li, L.; Xie, X. Simam: A simple, parameter-free attention module for convolutional neural networks. In Proceedings of the International Conference on Machine Learning (PMLR), Virtual, 18–24 July 2021; pp. 11863–11874. [Google Scholar]
- Webb, B.S.; Dhruv, N.T.; Solomon, S.G.; Tailby, C.; Lennie, P. Early and late mechanisms of surround suppression in striate cortex of macaque. J. Neurosci. 2005, 25, 11666–11675. [Google Scholar] [CrossRef]
- Tong, Z.; Chen, Y.; Xu, Z.; Yu, R. Wise-IoU: Bounding box regression loss with dynamic focusing mechanism. arXiv 2023, arXiv:2301.10051. [Google Scholar]
- Yu, J.; Jiang, Y.; Wang, Z.; Cao, Z.; Huang, T. Unitbox: An advanced object detection network. In Proceedings of the 24th ACM International Conference on Multimedia, Amsterdam, The Netherlands, 15–19 October 2016; pp. 516–520. [Google Scholar]
- Zheng, Z.; Wang, P.; Liu, W.; Li, J.; Ye, R.; Ren, D. Distance-IoU loss: Faster and better learning for bounding box regression. In Proceedings of the AAAI Conference on Artificial Intelligence, New York, NY, USA, 7–12 February 2020; Volume 34, pp. 12993–13000. [Google Scholar]
- Ding, R.; Dai, L.; Li, G.; Liu, H. TDD-net: A tiny defect detection network for printed circuit boards. Caai Trans. Intell. Technol. 2019, 4, 110–116. [Google Scholar] [CrossRef]
- Xia, K.; Lv, Z.; Liu, K.; Lu, Z.; Zhou, C.; Zhu, H.; Chen, X. Global contextual attention augmented YOLO with ConvMixer prediction heads for PCB surface defect detection. Sci. Rep. 2023, 13, 9805. [Google Scholar] [CrossRef] [PubMed]
- Lim, J.; Lim, J.; Baskaran, V.M.; Wang, X. A deep context learning based PCB defect detection model with anomalous trend alarming system. Results Eng. 2023, 17, 100968. [Google Scholar] [CrossRef]
- Wang, Y.; Huang, J.; Dipu, M.S.K.; Zhao, H.; Gao, S.; Zhang, H.; Lv, P. YOLO-RLC: An Advanced Target-Detection Algorithm for Surface Defects of Printed Circuit Boards Based on YOLOv5. Comput. Mater. Contin. 2024, 80, 4973–4995. [Google Scholar] [CrossRef]
- Zhu, X.; Lyu, S.; Wang, X.; Zhao, Q. TPH-YOLOv5: Improved YOLOv5 based on transformer prediction head for object detection on drone-captured scenarios. In Proceedings of the IEEE/CVF International Conference on Computer Vision, Montreal, BC, Canada, 11–17 October 2021; pp. 2778–2788. [Google Scholar]
- Wang, C.Y.; Bochkovskiy, A.; Liao, H.Y.M. YOLOv7: Trainable bag-of-freebies sets new state-of-the-art for real-time object detectors. In Proceedings of the IEEE/CVF Conference on Computer Vision and Pattern Recognition, Vancouver, BC, Canada, 17–24 June 2023; pp. 7464–7475. [Google Scholar]
- Wang, C.Y.; Yeh, I.H.; Mark Liao, H.Y. Yolov9: Learning what you want to learn using programmable gradient information. In Proceedings of the European Conference on Computer Vision, Paris, France, 26–27 March 2025; pp. 1–21. [Google Scholar]
- Wang, A.; Chen, H.; Liu, L.; Chen, K.; Lin, Z.; Han, J.; Ding, G. Yolov10: Real-time end-to-end object detection. arXiv 2024, arXiv:2405.14458. [Google Scholar]
- Khanam, R.; Hussain, M. YOLOv11: An overview of the key architectural enhancements. arXiv 2024, arXiv:2410.17725. [Google Scholar]
Disclaimer/Publisher’s Note: The statements, opinions and data contained in all publications are solely those of the individual author(s) and contributor(s) and not of MDPI and/or the editor(s). MDPI and/or the editor(s) disclaim responsibility for any injury to people or property resulting from any ideas, methods, instructions or products referred to in the content. |
© 2025 by the authors. Licensee MDPI, Basel, Switzerland. This article is an open access article distributed under the terms and conditions of the Creative Commons Attribution (CC BY) license (https://creativecommons.org/licenses/by/4.0/).








