Abstract
Imagine using mobile guards to defend the vertices of a graph G from a sequence of attacks subject to the conditions that after each attack: (i) each guard either remains in place or moves to an adjacent vertex; (ii) the configuration of guards forms a Roman-dominating set; and (iii) there is at least one guard on each attacked vertex. We show that it is always possible to defend the vertices of a tree with n vertices using at most guards and that this bound is tight.
MSC:
05C69; 05C57; 91A43
1. Introduction
In the 4th century AD, Constantine the Great was faced with the problem of defending his empire from outside attacks. He lacked the resources to use the defensive strategy of past emperors wherein an army was placed in each region. His new strategy involved recruiting limitanei, local troops who lacked the extensive training and equipment of those in the legions. He decided that either the limitanei or the legions could defend the region in which they were located, but only the legions were strong enough to defend neighboring regions as well.
Constantine’s problem is presented as a mathematical puzzle in [1]. ReVelle and Rosing [2] gave a 0-1 integer programming formulation to a generalization of this problem. They found solutions in a handful of specific scenarios, including the Roman empire in 327, the British empire in the late 19th century, and the modern day United States. Cockayne et al. [3] defined the Roman Domination problem: place guards of either strength 2 (representing legions) or 1 (representing limitanei) on the vertices of a graph such that any vertex with no guards assigned is adjacent to at least one of strength 2. A different formulation of the condition in the previous sentence is that all guards have the same strength and each vertex with no guards is adjacent to a vertex with two guards. In either case, such a configuration of guards is said to be Roman-dominating. If a vertex of a graph in which the guard configuration is Roman-dominating is attacked, then the attack can be defended by a guard located there, or from a neighboring vertex where the guards have strength 2. The problem of defending the vertices of a graph from a sequence of consecutive attacks via Roman-dominating configurations was first studied by Henning [4]. Hoepner [5] defined two different models of eternal Roman domination: one with guards of strength 1 and guards of strength 2, and another with all guards of the same strength. To defend an attack at a vertex x, some or all guards relocate to adjacent vertices so that the resulting configuration is again Roman-dominating and has at least one guard on x. The goal is to ensure the resulting configuration of guards can defend against the next attack. In [5], the smallest number of guards needed for eternal defense by Roman-dominating sets is calculated for several graph classes, and bounds on this quantity are provided in terms of other graph parameters.
A survey on the results concerning protecting the vertices of a graph with mobile guards can be found in [6]. A comprehensive survey on Roman domination in graphs can be found in [7].
We study the version of eternal Roman domination where all guards have the same strength, and it is required that a vertex on which there is no guard be adjacent to a vertex with at least two guards. The main result of the paper is that any connected graph with n vertices can be guarded with at most guards, and that this bound is the best possible. We prove that the bound holds for trees. Extending it to all connected graphs follows from the observation that a strategy that defends a spanning tree, in fact, defends the entire graph.
2. Definitions and Terminology
Let be a graph. A Roman-dominating function of G is a function , such that every vertex x with is adjacent to a vertex y with . The weight of a Roman-dominating function r is , and the Roman domination number of a graph is the minimum weight of a Roman-dominating function, denoted or when G is clear from the context.
Before we can define the game of eternal Roman domination, we require a few definitions regarding assignments of guards to the vertices of a graph. A k-configuration of guards on a graph G is defined as a function , such that forms a partition of (except that some parts may be empty). In other words, each vertex is assigned a subset of the guards, such that each guard is present on exactly one vertex. We specify that the guards are drawn from for convenience, as having labeled guards can be useful in proofs. A k-configuration is said to be a Roman-dominating configuration if the function defined by is a Roman-dominating function.
The game of k eternal Roman domination is played on a graph G as follows:
- There are two players; the attacker and the defender.
- In the first round, the defender places k guards on G in a Roman-dominating k-configuration. If this is not possible, then they lose.
- Each subsequent round begins with the attacker choosing a vertex a to attack.
- The defender responds by moving their guards to adjacent vertices to form a new k-configuration. They lose if there is no guard on the attacked vertex a or if the k-configuration is not Roman-dominating.
The attacker wins if the defender loses, and the defender wins otherwise. The eternal Roman-dominating number is the minimum k such that the defender can win the k eternal Roman domination game on G. We denote this by . We would like to make explicit that we allow the defender to move any number of guards when defending against attacks and that at most two guards can occupy a vertex.
Finally, if T is a tree then the subtree of T rooted at x with respect to y is the subtree of T induced by the set of vertices v for which the unique path from v to y contains x, and it is denoted by . See Figure 1 for an example.
Figure 1.
A tree, along with an example of a subtree rooted at x with respect to y (as labeled in the figure).
Example 1.
We provide an example of the eternal Roman domination game. Figure 2 shows two Roman-dominating configurations of . If the defender chooses either to begin the game with, then they can defend against any possible sequence of attacks by reconfiguring to the other. Thus, this demonstrates a strategy they can use to win the 3 eternal Roman domination game on , and thus . Since it is not even possible to form a Roman-dominating configuration on with two guards, we have that . In general, we have [5].
Figure 2.
Two eternal Roman-dominating configurations on .
3. Decoy Constructions
Throughout our proof of the main result, we will work exclusively with trees and remove subtrees in order to apply an induction hypothesis. We will sometimes add vertices and employ what we call a decoy construction. These constructions rely on the following lemmas:
Lemma 1.
Let x and y be adjacent vertices such that x has degree 1 and y degree 2. Then, for any winning eternal Roman-dominating strategy:
- There is always at least one guard on x or y.
- If y is attacked, then after the defender’s response there are at least two guards on the vertices in .
Proof.
For the first claim, note that if it were not true, then x would not have guards on it and would not be adjacent to any vertices with two guards, a contradiction.
For the second claim, suppose for contradiction that it is not true. Then there is exactly one guard on an end of the edge . If this guard is on x, then we have not defended against the attack on y. If this guard is on y, then we do not have a Roman-dominating configuration. The result follows. □
Lemma 2.
Let x, y, and z be vertices in a tree T such that , , and y is adjacent to x and z. Then, for any winning eternal Roman-dominating strategy:
- There are always at least two guards on the vertices in .
- If x is attacked, then after the defender’s response there are at least three guards on the vertices in .
Proof.
For the first claim, observe that if it were not true, then there would be at most one guard available to Roman dominate both y and z, which cannot be done.
For the second claim, suppose that it is not true. By our first claim, we know there must then be exactly two guards across x, y, or z. At least one such guard is on x as we have defended against an attack there. If both guards are on x, then z is not adjacent to a vertex with two guards. If the spare guard is on one of y or z, then the other vertex is not adjacent to one with two guards. Either is a contradiction, and the result follows. □
To construct a strategy for eternal Roman domination on trees, we will remove (small) subtrees in a process we call a reduction. By induction, there is a winning eternal Roman domination strategy for the reduced tree. We then add the removed subtree back and extend the strategy to include the returned subtree. In order to force some guards to remain near the site of the subtree removal and thus be available to defend the removed subtree after it is returned, we employ what we call decoy constructions. The decoy constructions work on the principle that we can add some new (temporary) vertices when applying a reduction and force a structure to appear in the reduced tree. When adding back the removed subtree and extending the strategy to the entire tree, these decoy vertices are removed, but the guards on them are redistributed to the removed subtree.
Construction 1 (Decoy I).
Suppose we have applied a reduction to a rooted tree T that removes the subtree rooted at some vertex y. This decoy construction adds a decoy vertex i below the parent of y.
Construction 2 (Decoy II).
Suppose we have applied a reduction to a rooted tree T that removes the subtree rooted at some vertex y. This decoy construction adds two decoy vertices, and , with adjacent to and adjacent to y’s parent.
Construction 3 (Decoy III).
Suppose we have applied a reduction to a rooted tree T that removes the subtree rooted at some vertex y. This decoy construction adds three decoy vertices, , , and , such that the three induce and is adjacent to the parent of y.
When Decoy I is applied, we typically identify i with y when developing a strategy for defending T. This allows us to bring a guard into the deleted subtree from above by simulating an attack on i in the reduced tree, but we cannot move this guard from y without replacing it.
When Decoy II is applied, we typically identify both and with y when building a strategy for T. Doing so allows us to assume that there is always at least one guard on y when defending the subtree by Lemma 1 and further lets us move a second guard there by simulating an attack on . By simulating an attack on , we can even move one of these guards off of y, but it must remain adjacent to y.
Applying Decoy III requires a more complex argument but yields stronger results. By Lemma 2, there will always be two guards on our decoy vertices, which we can assume are on y. By simulating an attack on , we can assume there is now a third guard on our decoy vertices, and in fact there must be on or . Because of this, this guard cannot leave our decoy vertices in the next round, meaning we can place this guard in the neighborhood of y in our original tree (the other two guards must remain on y). Repeatedly applying this fact allows us to defend the neighborhood of y in our original tree using decoy guards.
In both of the above constructions, it is necessary that we have a state that corresponds to the case where some vertex other than the decoy vertices has been attacked in the reduced tree. When constructing a strategy, this corresponds to including a state where there is no decoy guard in the removed subtree (when Decoy I is applied), a single decoy guard on y (when Decoy II is applied), or two only decoy guards on y (when Decoy III is applied). We will apply all three decoy constructions throughout this paper.
4. When Is a Reduction Satisfactory?
We begin the proof of our main result in this section. Our goal is to prove the following proposition:
Proposition 1.
If T is a tree, then .
We will do so by providing a comprehensive set of reductions that can be applied to any tree. Our reductions will consider removing subtrees of height of at most 3. We begin by proving the result is true given an unspecified reduction that we leave abstract.
Lemma 3.
Let T be a tree with n vertices and a diameter at most 3. Then,
Proof.
First, note that for , , and thus we can defend any such graph satisfactorily by placing a single guard on each vertex. The only trees with diameter 0 or 1 are and , both of which can be defended as above.
The trees with diameter 2 are stars, . If , we are again finished by the above. If , then we can defend T by placing two guards on the central vertex and one guard on a leaf. Whenever a leaf is attacked, we move one guard off the center to the attacked vertex and move the extra guard already present on a leaf back to the center. This is an eternal Roman-dominating strategy, and this case follows.
Finally, the trees with diameter 3 are double stars. Let denote the double star with centers u and v, each adjacent to t and r leaves, respectively. If , then we are finished by our earlier observation. We have two further cases to consider:
- First, suppose one of t or r is equal to 1 (we will suppose without a loss of generality). We can defend T by placing a single guard on the leaf adjacent to u and then defending the remainder of the graph as if it was a star (above), using 3 guards. This uses 4 guards in total, which is sufficient when , so we are finished.
- Next, suppose that both t and r are greater than or equal to 2. Consider the strategy obtained by placing two guards on both u and v and one guard on a leaf. If there is an attack on a leaf, we can move guards along the path from the attacked leaf to the leaf that already has a guard on it in order to defend against the attack. This is an eternal Roman-dominating strategy; it uses five guards, and thus is sufficient for when , which covers all cases.
□
Lemma 4.
Let T be a tree with vertices and a diameter at least 4. Suppose we apply a reduction that adds k guards, removes vertices, and adds vertices to produce the resulting tree , where . If , then .
Proof.
We proceed by induction on n. As established in Lemma 3, the result is clearly true for , and thus we assume . By induction, we can defend with at most guards.
where the last inequality holds because k is an integer. Thus, when defending the whole tree, we need at most guards. The statement follows, as
□
We will call a reduction satisfactory if it satisfies the conditions of Lemma 4. Our goal now is to provide a comprehensive catalog of such reductions. We begin with a general reduction that applies to rooted subtrees of height 1.
Lemma 5.
Let x and y be vertices such that is a star; denote by L the set of leaves in . Then, if , the following is a satisfactory reduction:
- Add two guards.
- Construct by applying Decoy I to remove .
Proof.
We first show that we can extend a strategy for defending to one that defends T with only two more guards. Recall that the vertex added by Decoy I is denoted by i. We can augment the strategy for defending by adding the following states:
- For each state with no guard on i, add a corresponding state where two guards are placed on x.
- For each state in with a guard on i, add corresponding states where there are two guards on x and one on l, for each . One of these guards comes from the decoy construction.
Examples of these states are given in Figure 3. We can reconfigure between each state added here by moving a guard off of x to the attacked leaf and then simulating an attack on i in . Thus, this new strategy is eternal Roman-dominating. This is a satisfactory reduction, as when . □
Figure 3.
An example of a reduction used for eternal Roman domination. The two types of states added when applying the reduction given in Lemma 5. Recall that guards provided by the decoy construction are denoted with a superscript ∗.
4.1. Height 2 Reductions
Now, let z be a vertex such that has height 2. We denote by the number of neighbors of y that are adjacent to i leaves. By repeatedly applying the reduction in Lemma 5, we can assume that for . A general depiction of such a tree is given in Figure 4.
Figure 4.
A general height 2 subtree.
Definition 1.
Define the general height 2 reduction with respect to a rooted subtree as follows:
- Add guards.
- Construct by applying Decoy I to remove .
We now characterize when this reduction is satisfactory and provide alternate reductions in almost all of the cases when it is not.
Lemma 6.
The general height 2 reduction is satisfactory when
Proof.
We first show that there is an eternal Roman-dominating strategy that uses guards: place a guard on each leaf at distance 2 from y, never moving these guards, while defending the remainder of as if it were a star. The condition quickly follows from the definition of satisfactory. □
As we are now considering height 2 subtrees, we may assume that ; thus, the only cases where the general reduction is not satisfactory are when is any of the following triples:
We show that there are satisfactory reductions for all of these except . In each case, we delete and add a number of guards. Further, in two of the cases we use a decoy construction. The strategies for these cases are depicted in Figure 5 and Figure 6. Recall that we denote guards provided by the decoy construction with a superscript ∗.
Figure 5.
The strategies used for the height 2 subtrees characterized by the triples , , , , , and . Recall that the guards provided by decoy constructions are denoted with a superscript ∗.
Figure 6.
The strategies used for the height 2 subtrees characterized by the triples , , , and .
4.2. Height 3 Reductions
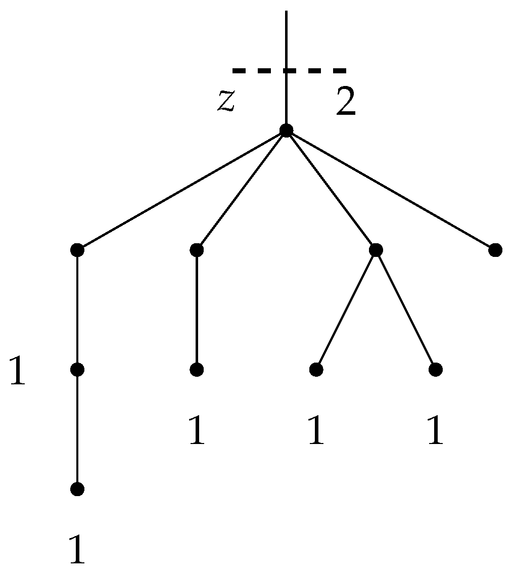
We now move on to considering height 3 subtrees. Let w be a vertex such that is a tree of height 3. Again, let denote the number of neighbors y of z for which has a height of at most 1 and contains i leaves. Additionally, define as the number of neighbors y of z for which is isomorphic to the height 2 tree characterized by the triple , i.e., . A general depiction of such a tree can be found in Figure 7.
Figure 7.
A depiction of a general height 3 subtree.
Definition 2.
Define the general height 3 reduction with respect to a rooted subtree of height 3 as follows:
- Add guards.
- Construct by applying Decoy I to remove .
Lemma 7.
The general height 3 reduction is satisfactory when
Proof.
The proof is similar to the one given for the general height 2 reduction. □
As with the general height 2 reduction, the general height 3 reduction is satisfactory in all but a few cases, namely, if is any of the following quadruples:
There are satisfactory reductions in all of these cases, consisting of removing and adding a number of guards, as well as in some cases applying one of the decoy constructions. The strategies for all of these reductions can be found in Figure 8, Figure 9 and Figure 10.

Figure 8.
The strategies used for the height 3 subtrees characterized by the quadruples , , , , and . Recall that the guards provided by decoy constructions are denoted with a superscript ∗.

Figure 9.
The strategies used for the height 3 subtrees characterized by , , , , , and . Recall that the guards provided by decoy constructions are denoted with a superscript ∗.
Figure 10.
The strategies used for the height 3 subtrees characterized by the quadruples , and .
4.3. Completing the Proof
Finally, we can complete the proof of Proposition 1.
Proof. (Of Proposition 1).
Suppose for contradiction that the result is not true and let T be a counterexample with the minimum number of vertices (among all those, the minimum diameter). Let and be a longest path in T, and note that by Lemma 3 we must have that and (it may be the case that ).
Root T at r and consider the subtree rooted at x. We now show that if we can apply any satisfactory reduction to x, y, or z (a height 1, 2, or 3 reduction, respectively), we are finished. Let be the reduced tree obtained by applying the reduction, and let . Since , we have by assumption that . But then since we have applied a satisfactory reduction to obtain , by Lemma 4 we have that , which is a contradiction.
Since the catalog of satisfactory reductions we developed cover all possible cases for rooted subtrees of height at most 3, we are in fact finished. □
Corollary 1.
Let G be a connected graph on n vertices. Then, .
Proof.
Let T be a spanning tree of G. It is clear that an eternal Roman-dominating strategy of T can be used to defend G. The result follows from Proposition 1. □
5. The Bound Is Tight
In this section, we provide an example of an infinite family of graphs that need exactly guards to be eternally Roman-dominated. Let be the tree obtained by taking k copies of and joining the third vertex in each successive copy with one another. The tree is shown in Figure 11.
Figure 11.
The tree , with the labelling used in the proof of the tightness of the bound.
Theorem 1.
For any n, there is a graph with and .
Proof.
Choose k such that , and let be as given above. We can eternally Roman dominate with guards by defending each copy of independently with five guards. We now show that this is optimal. Suppose we try to eternally Roman dominate with guards. Then, by the Pigeonhole Principle, for any state there is a copy of with at most four guards on it. Since each state is a Roman-dominating configuration, we must have exactly four guards on this copy. We consider the possible ways these guards could be split between the sets and as labeled in Figure 11.
Clearly, if there are 0 guards in , then we do not have a Roman-dominating configuration. Similarly, if there are three or more, then there are not enough guards remaining to form a Roman-dominating configuration on . If there is only one guard, then it must be on a, and there must be two guards on c. This then leaves only a single guard for with which it is impossible to form a Roman-dominating configuration. Thus, we can assume there are two guards on , placed arbitrarily. This leaves only two guards for , which must be placed on e to form a Roman-dominating set. Note that this implies there are no guards on c. If we then attack d, the guard that defends it must come from e. No matter how this occurs, either f or e will have no guards stationed on it and neither will be adjacent to a vertex with two guards. Thus, guards cannot be used to eternally Roman dominate . □
6. Future Work
In this paper, we presented an upper bound for the eternal Roman domination number on trees and showed that it was the best possible. However, that was but one variant of eternal Roman domination (known as free eternal Roman domination). In this variant, guards can move freely and in particular can travel away from vertices in different directions. We have only looked at trees in this paper, but other bounds likely exist for other classes of graphs.
Another variant of eternal Roman domination that has been investigated is that of strong eternal Roman domination [5]. In this variant, guards themselves have a strength of 1 or 2, and a guard cannot be split. We use to denote the minimum weight of a winning strategy in this game and use to denote the eternal domination number of a graph. There is an easy upper bound to this value:
Theorem 2.
Let G be a graph. Then, .
Proof.
This follows directly from replacing each guard in an eternal dominating strategy with one of strength 2 to obtain an eternal Roman-dominating strategy. □
Despite the simplicity of this bound, it may be the best possible in the case of trees. This would imply that there is no non-trivial upper bound on for all graphs, but such a bound may still exist for other classes of graphs:
Problem 1.
Does a tree T with exist?
Problem 2.
Let G be a graph. Are there characterizations for when ?
Finally, is it possible to compute in polynomial time when T is a tree? A catalog of reductions similar to the ones we have provided could be used to provide an algorithm for this problem. Our catalog cannot be used as it is, as we have not proved that the reductions given are in fact the best possible. However, we conjecture that this is the case for the reductions given in Figure 5, Figure 6, Figure 7, Figure 8, Figure 9 and Figure 10.
Author Contributions
Conceptualization, G.M.; Methodology, R.B. and E.W.; Software, E.W.; Validation, R.B., G.M. and E.W.; Formal analysis, E.W.; Investigation, R.B., G.M. and E.W.; Resources, G.M.; Writing – original draft, E.W.; Writing—review & editing, R.B., G.M. and E.W.; Supervision, R.B. and G.M.; Funding acquisition, R.B. and G.M. All authors have read and agreed to the published version of the manuscript.
Funding
This research was funded by NSERC grants numbers 2014-04760 and 2017-04459.
Data Availability Statement
No data was created or used.
Conflicts of Interest
The authors declare no conflicts of interest. The funders had no role in the design of the study; in the collection, analyses, or interpretation of data; in the writing of the manuscript, or in the decision to publish the results.
References
- Stewart, I. Defend the Roman empire. Sci. Am. 1999, 281, 136–138. [Google Scholar] [CrossRef]
- ReVelle, C.S.; Rosing, K.E. Defendens imperium romanum: A classical problem in military strategy. Am. Math. Mon. 2000, 107, 585–594. [Google Scholar] [CrossRef]
- Cockayne, E.J.; Dreyer, P.A.; Hedetniemi, S.M.; Hedetniemi, S.T. Roman domination in graphs. Discret. Math. 2004, 278, 11–22. [Google Scholar] [CrossRef]
- Henning, M.A. Defending the Roman empire from multiple attacks. Discret. Math. 2003, 271, 101–115. [Google Scholar] [CrossRef]
- Hoepner, J.I. Eternal Roman Domination. Manuscript. University of Victoria, Department of Mathematics and Statistics: Victoria, BC, Canada, Unpublished work. 2020. [Google Scholar]
- Klostermeyer, W.; Mynhardt, C.M. Protecting a graph with mobile guards. Appl. Anal. Discret. Math. 2014, 10, 07. [Google Scholar] [CrossRef]
- Chellali, M.; Rad, N.J.; Sheikholeslami, S.M.; Volkmann, L. Roman Domination in Graphs; Springer International Publishing: Cham, Switzerland, 2020; pp. 365–409. [Google Scholar]
Disclaimer/Publisher’s Note: The statements, opinions and data contained in all publications are solely those of the individual author(s) and contributor(s) and not of MDPI and/or the editor(s). MDPI and/or the editor(s) disclaim responsibility for any injury to people or property resulting from any ideas, methods, instructions or products referred to in the content. |
© 2025 by the authors. Licensee MDPI, Basel, Switzerland. This article is an open access article distributed under the terms and conditions of the Creative Commons Attribution (CC BY) license (https://creativecommons.org/licenses/by/4.0/).












