Abstract
This paper develops a nonlinear quantile structural equation model via the Bayesian approach, aiming to more accurately analyze the relationships between latent variables, with special attention paid to the issue of non-ignorable missing data in the model. The model not only incorporates quantile regression to examine the relationships between latent variables at different quantile levels but also features a specially designed mechanism for handling missing data. The non-ignorable missing mechanism is specified through a logistic regression model, and a combined method of Gibbs sampling and Metropolis–Hastings sampling is adopted for missing value imputation, while simultaneously estimating unknown parameters, latent variables, and parameters in the missing data model. To verify the effectiveness of the proposed method, simulation studies are conducted under conditions of different sample sizes and missing rates. The results of these simulation studies indicate that the developed method performs excellently in handling complex data structures and missing data. Furthermore, this paper demonstrates the practical application value of the nonlinear quantile structural equation model through a case study on the growth of listed companies, providing researchers in related fields with a new analytical tool.
MSC:
37M10; 65P40; 93C10
1. Introduction
Structural equation modeling (SEM) is a statistical method used to analyze relationships among latent variables, consisting of two components: measurement equations composed of multiple related observed indicators, and structural equations that assess the mutual influences between latent variables. SEM has found extensive utilization across diverse domains, including behavioral science, education, medicine, psychology, and social sciences. Despite its many advantages in data processing, SEM, like traditional regression models, is sensitive to outliers and typically focuses on analyzing conditional means. To address these limitations, researchers have begun integrating quantile regression techniques into SEM to provide a more comprehensive analysis of relationships between variables.
Since its introduction by Koenker and Bassett [1], quantile regression has emerged as an effective tool to overcome the limitations of traditional regression models. By estimating at different quantile levels, it more comprehensively reflects data characteristics, exhibiting strong robustness, especially when dealing with non-normal distributions and outliers, without requiring normality assumptions for error distributions. The wide application of quantile regression across various fields has significantly expanded the scope of traditional regression models. Against this backdrop, Wang et al. [2] were the first to integrate quantile regression into SEM, proposing the quantile structural equation model (QSEM). This model effectively addresses the sensitivity of traditional models to non-normal distributions and outliers by introducing the Asymmetric Laplace Distribution (ALD) and Markov Chain Monte Carlo (MCMC) algorithms, and has played an important role in research areas such as chronic kidney disease.
In the extended research on QSEM, Feng et al. [3] proposed a Bayesian regularized quantile structural equation model, introducing Bayesian Lasso and adaptive Lasso methods for variable selection and parameter estimation to enhance model flexibility and interpretability. Wang Zhiqiang [4] put forward a composite quantile structural equation model, which combines Gibbs sampling and Metropolis–Hastings algorithms for parameter and latent variable estimation. Xue Jiao et al. [5] proposed a variational approximation inference for Bayesian quantile structural equation models based on Mean Field Variational Bayes (MFVB) and adopted a non-parametric bootstrap method to improve the performance of MFVB. Cheng [6] developed a quantile varying-coefficient structural equation model and a new estimation method based on local polynomials (LPs) for flexible model estimation. However, relevant studies have mostly focused on linear frameworks and not involved nonlinear relationships between latent variables. Therefore, we propose a new nonlinear quantile structural equation model that can capture nonlinear interactions between variables and enhance the interpretability and prediction accuracy for complex phenomena.
In practice, missing data are prevalent in various research scenarios. Regarding missing data issues in SEM, previous studies have covered both linear and nonlinear frameworks, involving two mechanisms: Missing At Random (MAR) and Missing Not At Random (MNAR). In early research, Lee and Tang [7] developed a Bayesian method to analyze nonlinear structural equation models with non-ignorable missing data, which specifies the non-ignorable missing mechanism through a logistic regression model and combines Gibbs sampling and Metropolis–Hastings algorithms for parameter estimation. Cai et al. [8] proposed a nonlinear structural equation model capable of handling mixed data types (continuous, ordered, and unordered categorical) and non-ignorable missing data, exploring its Bayesian estimation and model comparison methods. The integrated SEM proposed by Lee and Song [9] realizes estimation and model comparison of mixed data under MAR through Bayesian methods combined with MCMC and path sampling. Cai and Song [10] focused on the situation where response variables have non-ignorable missing data in mixed structural equation models, also adopting Bayesian methods for analysis. Cai et al. [11] addressed the problem of both response variables and covariates having non-ignorable missing data in mixed structural equation models, achieving parameter estimation and model selection through Bayesian methods. Existing studies have mostly focused on traditional mean-structured SEM, with insufficient attention to quantile structural equation models, especially lacking systematic research on non-ignorable missing data in nonlinear quantile structural equation models. Therefore, this paper considers a nonlinear quantile structural equation model with non-ignorable missing data.
This paper focuses on the influencing factors of the growth of listed companies in Xinjiang. Corporate growth refers to a company’s ability to achieve sustained development and expansion in the future, and this study mainly examines it from two dimensions: profitability and solvency. Since these influencing factors cannot be directly measured by a single observed variable and there are complex nonlinear relationships between them, this study aims to construct a nonlinear quantile structural equation model to conduct an in-depth analysis of the influencing factors and their interaction mechanisms of corporate growth among 61 listed companies in Xinjiang, providing a scientific decision-making basis for corporate management and contributing to the sustainable development of the regional economy.
The structure of this paper is arranged as follows: Section 2 introduces the nonlinear quantile structural equation model with non-ignorable missing data. Section 3 presents a Bayesian analysis of the above model. Section 4 conducts simulation studies with different sample sizes and missing rates to evaluate the performance of the proposed method. Section 5 illustrates the proposed method through a practical case study. Section 6 includes a discussion. Appendix A presents some technical details.
2. Model and Notation
2.1. Nonlinear Quantile Structural Equation Model
The quantile structural equation model (QSEM) typically consists of a measurement equation in the form of median regression and a structural equation in the form of quantile regression. The measurement equation characterizes the features of latent variables through multiple observed variables, while the structural equation evaluates the associations between latent variables and reveals the mechanism by which explanatory latent variables influence outcome latent variables. In previous QSEM studies, both the measurement equation and the structural equation were mostly assumed to have linear relationships. Based on this, we extend the “double-linear” specification of traditional QSEM and propose a new definition of the nonlinear quantile structural equation model.
This model takes “linear measurement equation + nonlinear structural equation” as its core feature. It not only inherits the classical framework of nonlinear structural equation models defined by Lee [12] and Song and Lee [13], where the linear measurement equation ensures the effective reflection of latent variables by observed variables and the nonlinear form characterizes the associations between latent variables, but also introduces innovations within the quantile regression framework. Specifically, the structural equation allows nonlinear relationships in the form of differentiable functions between latent variables. Meanwhile, by means of the quantile regression-type equation, it overcomes the limitation that traditional models can only characterize the average associations between variables, realizes the accurate characterization of variable relationships at different quantiles, and thus better conforms to the actual characteristics of variable associations in complex data scenarios.
First, to investigate the association between observed and latent variables, we begin by assuming that the observed variables are independently distributed, where each represents a p-dimensional vector of measurements. Correspondingly, the latent variables are also independent, with each being a q-dimensional random vector ().
The linear relationship between and can then be defined by the following measurement equation:
where is an unknown coefficient matrix; is an unknown factor loading matrix; is a vector of fixed covariates; and is a random error vector. Within this model, a linear regression model connects the conditional median of with and .
Next, to study the relationships between latent variables, we decompose into , where denotes the outcome latent variable, denotes the explanatory latent variable, and . For simplicity, we assume . The nonlinear relationship between and can then be defined by the following structural equation:
where and are unknown coefficient matrices to be estimated; the subscript indicates that these matrices may differ across quantiles; is a vector of fixed covariates; is a -dimensional nonlinear function of , whose components are differentiable functions; and is a random error vector. In the present model, a nonlinear regression model connects the conditional quantile of with and .
2.2. Asymmetric Laplace Distribution
In the Bayesian quantile regression method based on the Asymmetric Laplace Distribution (ALD) proposed by Yu and Moyeed [14], the “true underlying distribution” of the error term is unknown. This is not only an objective constraint in real-world data scenarios but also the starting point of the core design logic of this method. In practical research, data often exhibit complex characteristics such as non-normality, heavy tails, and heteroscedasticity, which makes it difficult for researchers to pre-determine or describe the true underlying distribution of the error term using a single fixed distribution.
To address this issue, the key innovation of Yu and Moyeed [14] is to avoid direct modeling of the “unknown true underlying distribution”. Instead, they revealed the intrinsic theoretical connection between quantile regression and ALD: the quantiles of ALD correspond exactly to the conditional quantiles of the regression model. On this basis, they designated ALD as a “working distribution”. By assuming that the error term follows ALD, they constructed the likelihood function. This assumption is not intended to reconstruct the true distribution of the error term; instead, it uses ALD as a bridge to enable Bayesian estimation of quantile regression parameters without relying on the true underlying distribution of the error term.
The core that supports the validity of this approach is the in-depth compatibility between the check loss function of quantile regression and the probability density function of ALD. The check loss function of quantile regression is defined as , where x denotes the residual (i.e., the difference between the model’s predicted values and the actual observed values), is the preset quantile level, and is an indicator function that takes the value of 1 when and 0 otherwise. This function assigns asymmetric weights to positive and negative residuals: when , the loss is ; when , the loss is , which precisely matches the need of quantile regression to “characterize the relationship between variables at different quantiles”. The probability density function of ALD is expressed as , where y represents a random variable following ALD, is the location parameter, is the scale parameter, and is the skewness parameter. This probability density function directly embeds the aforementioned check loss function, and the equivalence between the two means that maximizing the ALD likelihood function is essentially equivalent to minimizing the quantile regression loss function—providing a theoretically consistent quantitative basis for Bayesian inference. At the same time, this modeling approach based on the check loss function and ALD can effectively handle complex data characteristics such as non-normality and heteroscedasticity, and ultimately yield robust parameter estimation results.
Building on this core finding of Yu and Moyeed [14], Wang et al. [2] further extended the application of ALD to quantile structural equation models (SEMs). They continued the approach of “constructing the likelihood function using ALD as the working distribution” and derived a form of likelihood function suitable for Bayesian analysis of quantile SEM, which provides effective support for Bayesian inference in such models.
Assume that the probability density function of the k-th component () of the error term follows an Asymmetric Laplace Distribution, with the form
where is the location parameter, is the scale parameter, is the skewness parameter, and is the check function. Thus, we denote . Similarly, this paper assumes , is a one-dimensional real number, and its probability density function is given by
Thus, we denote .
In statistics, “standard distributions” generally refer to distribution types (such as the normal distribution and gamma distribution) that are widely used in theoretical research and practical applications, with clear probability density forms and mature supporting analysis tools (e.g., having tractable conjugate priors). From this definition, ALD does not belong to such standard distributions. It is not only not a commonly used distribution type in statistics but, more importantly, lacks a tractable conjugate prior. Coupled with the inherent complexity of its likelihood function, this directly makes the posterior density function of the model difficult to handle through analytical methods, thereby inevitably increasing the computational burden in the process of model parameter estimation. Nevertheless, according to studies by Reed and Yu [15] and Kozumi and Kobayashi [16], ALD can be expressed as a mixture of exponential and normal distributions. Specifically, if the random variables and follow , they can be expressed as
where , , , , and ; is the k-th component of , is the k-th component of , and is independent of and , respectively.
Given the expressions for and , and noting that , we can derive the forms of both and in the nonlinear quantile structural equation model as follows:
where follows , and follows . By introducing latent variables and to augment and , the conditional distributions of and become normal distributions. Their conditional means are and , respectively, and their variances are and , respectively. This data augmentation facilitates subsequent Bayesian analysis, allowing normal distributions to be used as prior distributions for unknown coefficients.
2.3. Non-Ignorable Missing Data
Wang et al. [2] performed Bayesian statistical analyses on linear QSEM using completely observed data. In the present study, we extend this framework to account for incomplete observations of the vector , where missingness arises from a non-ignorable mechanism. Specifically, we decompose into two components: , where represents the observed portion of the manifest variables, and denotes the missing portion, with the dimension constraint .
We assume that the missingness in occurs in an arbitrary manner. Thus, can be seen as a reordering of the elements from the original . No matter how the elements are reordered, the observed vector and the unobserved vector together form the complete manifest variable vector with a non-ignorable missing mechanism.
In the study of missing data problems, if the missing pattern is correlated with the missing data itself, the mechanism is referred to as a non-ignorable missing mechanism. In this case, is a key conditional probability distribution, which describes the probability distribution of the missing indicator variable given the observed data and latent variable . It is crucial to select an appropriate model to describe this distribution, as the model needs to balance complexity and identifiability to avoid ineffective parameter estimation or computational difficulties caused by excessive model complexity.
Before introducing the model, it is necessary to clarify the definition of the missing indicator variable :
According to the properties of the indicator function, is a binary vector and follows a 0–1 distribution with probability .
In the nonlinear quantile structural equation model, given that the observation vectors are mutually independent, it is reasonable to assume that the missing indicator variables are also mutually independent, and their joint probability is the product of the respective independent probabilities. Since the components of are independent given , when , and are conditionally independent given and , and thus the joint probability can be further decomposed into the product of the probabilities of each component.
Drawing on the non-ignorable missingness mechanism model proposed by Ibrahim et al. [17], we model the binary missing missingness indicator by specifying the probability . We employ a logistic regression model for this purpose, as it reduces the number of parameters in the missing data mechanism and facilitates efficient sampling from the conditional distribution given the observed data. The link function for this model is denoted by , specifically, . The linear predictor is given by
Consequently, the distribution of the missingness indicator is
where , is the design vector, and is the coefficient vector; both are -dimensional.
In addressing nonlinear structural equation models (NSEMs) with non-ignorable missing data, Lee and Tang [7] made pioneering contributions. After in-depth analysis of the complex model structure and data characteristics, they adopted a specific form, as shown in Equation (12):
where (i.e., excluding the latent variable from the design vector), and this definition of is consistent with the notation used for in subsequent parts of the manuscript.
A prominent feature of this form is that it no longer depends on the latent variables . They argued that the characteristics of latent variables can be reflected by observed variables y. This insight offers dual advantages: from a computational perspective, it significantly reduces the dimension of parameter estimation and complex matrix operations during model computation, effectively alleviating the computational burden; from the perspective of model application, it simplifies the originally obscure and complex model structure, enhancing the model’s operability and interpretability in practical scenarios.
In subsequent studies, they further conducted large-scale simulation studies to comprehensively verify the effectiveness of this simplified model. During the simulation process, multiple sets of different data generation mechanisms and model parameter combinations were set up, covering common complex data scenarios. The results of the simulation studies verified the superiority of the simplified model from multiple dimensions: in terms of parameter estimation accuracy, its estimation bias (Bias) and root mean square error (RMS) were both at a level similar to those of the full model, indicating that this simplification did not lead to a significant loss of estimation precision; more importantly, the computational efficiency of the simplified model was significantly improved—it not only shortened the time required for parameter iteration convergence but also reduced the computational complexity in the high-dimensional sampling process.
Given that the research findings of Lee and Tang [7] possess both reliability and practicality, considering that the research scenario and data characteristics of this paper are highly consistent with those of their study, and for the further purposes of ensuring model identifiability and improving computational tractability, this paper decides to adopt Equation (12) for modeling. It is expected that this will also enable efficient and accurate model construction and analysis when dealing with nonlinear quantile structural equation models with non-ignorable missing data.
It can be seen from the above missing data mechanism model that the missingness of data is non-ignorable. Thus, describes such a data mechanism where the response variable has non-ignorable missingness.
3. Bayesian Inference for the Proposed Model
Let , denote the set of missing values related to observed variables, denote the set of observed response variables, , denote the vector of missing indicators, and represent all unknown parameters in Equations (1) and (2). Our primary focus is to perform posterior inference on the unknown parameters of interest and the missing mechanism parameter by utilizing the missing data indicators and the observed dataset .
The joint posterior distribution of the unknown parameters and conditioned on and is derived as follows:
where denotes a conditional probability density, and denotes the combined prior distribution assigned to and . It should be noted that the integral contained in Equation (13) is a high-dimensional integral, whose dimension equals the sum of the dimensions of and . Since such high-dimensional integrals are difficult to solve directly and have no closed-form expression, directly conducting posterior inference poses numerous challenges and is quite difficult. Therefore, numerical methods (such as Markov Chain Monte Carlo methods) need to be used for approximate calculation. In this study, we adopt a hybrid algorithm combining Gibbs sampling and the Metropolis–Hastings algorithm to implement posterior Bayesian analysis of the model.
By drawing on the data augmentation method proposed by Tanner and Wong [18], we extend the original joint posterior distribution to . Subsequently, based on this extended joint posterior distribution, we use the Gibbs sampling and Metropolis–Hastings algorithms to iteratively sample from the following conditional distributions in sequence, thereby obtaining a random observation sequence of . The specific implementation steps can be divided into two main parts.
1. Generating Observed Data
This part constructs the observed data and missing indicator matrix required for subsequent sampling by simulating complete data and the missing mechanism. The specific steps are as follows:
Step 1: Generate the Complete Dataset
Generate the complete dataset according to Equations (1) and (2). This dataset serves as the “ground truth dataset” for simulating missing status, which is used to determine whether data are missing and define the scope of observed data in subsequent steps, acting as a reference benchmark.
Step 2: Determine the Missing Status of Observations and Construct
Based on the missing mechanism (12) and a pre-specified value of , determine whether each observation is missing. Specifically, generate a random number u from a uniform distribution. If , mark as missing (denoted as ); otherwise, mark it as non-missing (denoted as ). Finally, extract non-missing values from the complete dataset to form the observed data , and construct the missing indicator matrix from all . Thus, required for subsequent sampling is obtained.
2. Posterior Sampling Based on to Obtain
With the generated as input, iterative sampling is performed to estimate the target parameters and missing data. The specific steps are as follows:
Step 1: Specify Initial Values
Specify the initial values as .
Step 2: Iterative Sampling by Traversing Each Component
Traverse each component of , , , and in sequence. Each component is sampled based on the current values of all other components. Denote the values at the t-th iteration as ; the hybrid sampling for the -th iteration is defined as follows:
- (a)
- Sample from the conditional distribution ;
- (b)
- Sample from the conditional distribution ;
- (c)
- Sample from the conditional distribution ;
- (d)
- Sample from the conditional distribution .
Repeat the iterative process in Step 2 (Posterior Sampling Iteration Step), which is the process of traversing components to sample and update , until the algorithm converges. Among them, the distributions corresponding to (a), (b), and (d) are non-standard, uncommon, and relatively complex; thus, the Metropolis–Hastings algorithm is required to address the sampling challenge. In contrast, the distribution corresponding to (c) is a standard and common distribution, and its sampling process is relatively straightforward and simple, so the Gibbs sampler can be directly used for sampling.
3.1. Posterior Distributions
To perform hybrid sampling, we need to specify the four posterior distributions involved in the sampling process. Drawing on relevant derivations in Lee and Tang [7], we can obtain the following conclusions:
First, consider the posterior distribution of the latent variable . When both the missing data and observed data are known, the posterior distribution can be simplified to , which depends on the complete dataset .
Since are mutually independent, and are also mutually independent given , it follows that
For the reasons stated earlier, the ALD is used to model the error terms regardless of their true latent distribution. Specifically, let the k-th component of the error term follow to model the median-based regression specified in Equation (1); let the error term follow to model the -th quantile regression in Equation (2). This is denoted as and .
Building on this ALD specification, we first define the covariance matrices for the conditional distributions: the covariance matrix of is , and the variance of is . As the parameter was defined previously, substituting (the median case, consistent with ’s ALD setting) yields ; therefore, can also be simply expressed as .
Based on these settings, we can further derive the following conditional distributions:
Thus, it follows that
Second, consider the posterior distribution of the missing observed variables . It follows that
Moreover,
where denotes a subvector extracted from , whose entries correspond to the missing values in ; refers to a submatrix derived from , with rows that map to the missing entries in ; and represents a submatrix of , featuring both rows and columns that align with the missing components of .
Third, consider the posterior distribution of the unknown parameter . Similarly, the posterior distribution can be simplified to .
Let , where is the k-th row of for ; and let . Given and , the posterior distribution of can be obtained using the following conjugate prior distributions:
where , , , , , , , and the positive definite matrices , , are hyperparameters, whose specific values need to be set based on prior information or expert knowledge.
Finally, consider the posterior distribution of the missing mechanism parameter . This can be simplified to . Assume that denotes the prior probability density function of parameter , which follows a -dimensional multivariate normal distribution , where and are hyperparameters whose values are predetermined based on prior information. Given that the distribution of depends exclusively on , and , coupled with our assumption that the prior for is statistically independent of that for , the following result emerges:
From Equations (11) and (12), we have
and substituting the value of into , we get
where the posterior distribution of can be further derived as follows:
The specific implementation steps of the aforementioned hybrid sampling algorithm, as well as the complete derivation of the relevant posterior distributions, are all presented in Appendix A.
3.2. Bayesian Estimation
By applying the hybrid algorithm described in Section 3.1, we draw a random sample from the posterior distribution , denoted as . Based on these samples, we can calculate the joint Bayesian estimates of , , , and as follows:
As documented in Geyer’s [19] study, these combined Bayesian joint estimates serve as consistent approximations for the posterior means they each correspond to.
In Bayesian structural equation modeling, the evaluation of the overall model fit needs to comprehensively examine both its measurement and structural components. To ensure the reliability of statistical inference, it is insufficient to only focus on the accuracy of parameter estimation; a systematic assessment of the overall fit between the model and the data is also required. Regarding this issue, the existing literature has developed various diagnostic methods based on posterior distributions. For example, Gelman et al. [20] proposed the method of posterior predictive p-values. To address the issue of anomalous posterior p-value calculations that may arise from repeated use of observed data, Bayarri and Berger [21] further proposed the method of partial posterior predictive p-values. The most intuitive approach is to perform residual analysis. We can obtain the residual estimates of the measurement equations by calculating , where , , and are the Bayesian estimates of , , and , respectively. Residual plots are generated based on the values of , and scatter plots of against are constructed. If the plots of and the scatter plots of versus all lie between two parallel horizontal lines that are narrowly spaced and centered at zero, this indicates a good model fit. Similarly, the residual estimate of the structural equation is given by , where , , , and are all posterior estimates. The plotting and interpretation of are the same as those for .
4. Simulation
In this section, we verify the validity of the estimation methods for the Bayesian quantile structural equation model in handling complete and missing data through two simulation experiments. Simulated data are generated using the following nonlinear quantile structural equation model:
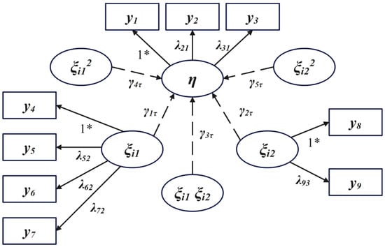
Let , , , , , and . We consider two cases of sample sizes, and , with quantiles set to 0.1, 0.5, and 0.9, respectively. The covariate coefficient . Fixed covariates and are both sampled from the standard normal distribution . The non-overlapping factor loading matrix is shown as follows:
where the zeros and ones marked with ∗ are pre-specified to clearly explain the identification of latent variables and the model, while other are unknown parameters to be estimated. Let , , and . The explanatory latent variables , where and .
In practical research, the true underlying distribution of error terms is often difficult to know in advance. To fully verify the adaptability of the proposed model under different data distribution characteristics, we refer to the setting of error scenarios in quantile structural equation models by Wang et al. [2] and the simulation idea of complex distributions in composite quantile regression by Wang Zhiqiang [4]. We select the following four representative distributions as the generation distributions for the error terms and , thereby constructing simulated data and with different characteristics. The specific distribution settings are as follows:
Case 1: Normal distribution .
Case 2: Skewed log-normal distribution .
Case 3: U-shaped distribution .
Case 4: Heavy-tailed skewed distribution .
To simplify the simulation design and avoid cumbersome permutations and combinations, this study only considers the scenario where and follow the same distribution. In the subsequent Bayesian analysis, given that the true underlying distribution of error terms is unknown, we select the Asymmetric Laplace Distribution (ALD) as a “working distribution” to replace the true distribution for modeling. By comparing the parameter estimation effects (such as bias and root mean squared error) of the ALD substitution assumption under the above four distribution scenarios, we corely verify the applicability of ALD when the true distribution is unknown, providing a reliable basis for the practical application of the model.
Based on the given true values and values sampled from specific distributions, and are calculated sequentially to obtain the complete dataset . Missing data are then generated according to the pre-specified values of and the missing mechanism Equation (12). In this process, we investigate three scenarios with missing rates of 20%, 30%, and 40%. Specifically, different values of are adopted for each scenario, and these varying values ultimately lead to the corresponding differences in missing rates. The true values of applied in these scenarios are presented in Table A1 and Table A2 of Appendix A.
Hyperparameters are set as follows: free elements in are set to their true values, and the covariance matrix is taken as a diagonal matrix with diagonal elements ; , and the covariance matrix is set the same as ; , ; , ; is set to its corresponding true values; and .
Accurate computation of Bayesian estimates requires determining how many iterations are required to achieve convergence. Therefore, we set three different sets of initial values, ran three chains separately, and calculated the EPSR values. To intuitively show the variation process of each parameter’s EPSR value with the number of iterations, we plotted the EPSR convergence trend graph for all parameters (see Figure 1). The results indicate that after around 3000 iterations, the EPSR values for all parameters fall below 1.2. Thus, we performed 5000 iterations, discarded the first 2000 iterations as the burn-in period, and conducted Bayesian parameter estimation based on the subsequent 3000 iterations. Residual plots and scatter plots were generated using the obtained parameter estimates to evaluate the model fit.
Figure 1.
EPSR convergence trend graph for all parameters.
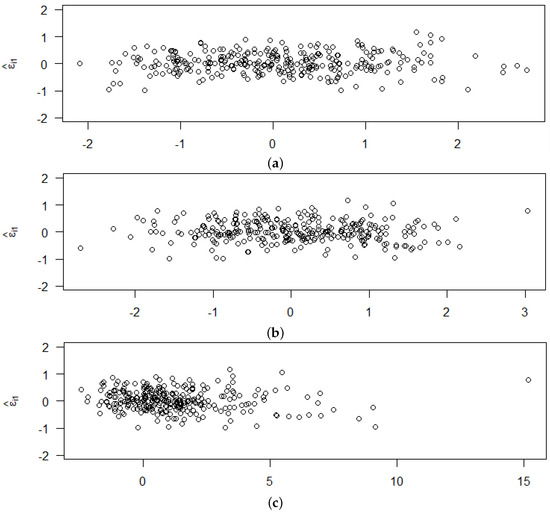
Figure 2 presents partial estimated residual plots of the model under the scenario with non-ignorable missing data, showing the changes in , , , and with observation indices. Figure 3 displays scatter plots of the measurement equation residuals against the latent variables , , and . Figure 4 shows scatter plots of the structural equation residuals against the latent variables and . From the overall performance of the residual plots and scatter plots, all residuals are uniformly distributed around zero, and most fall between two parallel horizontal lines with a narrow spacing, without showing obvious systematic bias or abnormal fluctuations. This indicates that the constructed model has a good fit to the data and can effectively capture the underlying relationships between variables. The residual plots and scatter plots for the model without missing data are similar, and thus are not repeated here.
Figure 2.
Estimated residual plots: (a) , (b) , (c) , and (d) .
Figure 3.
Plots of estimated residuals versus (a) , (b) , and (c) .
Figure 4.
Plots of estimated residuals versus (a) and (b) .
We repeated the sampling 100 times. To evaluate the accuracy of the model estimates, we used bias and root mean square error (RMSE), with the specific formulas as follows:
Table 1 presents the Bayesian estimation results of the core regression coefficients (, ) in the structural equation under the scenario of missing data with a sample size of . It covers three error distributions, namely , , and , as well as three missing rates (M1, M2, M3). The table focuses on reporting the bias and root mean square error (RMS) of each coefficient at the quantiles of , , and .
Table 1.
Bayesian estimates of regression coefficients in the structural equation with missing data.
As can be seen from the data in the table, regardless of whether the error distribution is normal or not and how the missing rate changes, the estimation performance of the core regression coefficients remains stable: the absolute values of bias are generally low, and those of all parameters are less than 0.1; the overall RMS maintains a low fluctuation range without significant abnormal values, and there is no obvious fluctuation across different quantiles. This fully demonstrates the reliable estimation ability of the proposed model for core parameters under the conditions of small sample size and missing data.
It is worth noting that the estimation results of other parameters in the measurement equation (such as , , , etc., and ) are similar to or even better than those of the core regression coefficients. To save space, the detailed estimation results of the above-mentioned other parameters, as well as those under different sample sizes, complete data, and more error distribution combinations (Table A3, Table A4, Table A5, Table A6, Table A7, Table A8 and Table A9), have been uniformly organized in Appendix A, which can be further referred to by readers to verify the estimation performance of the model in a wider range of scenarios.
All simulation experiments in this study were computed using a device with an Intel (R) Core (TM) i5-10210U CPU (1.60GHz, 2112 MHz, 4 cores, and 8 logical processors) and implemented in R software (Version 4.4.2). The total runtime for completing both Simulation 1 and Simulation 2 was approximately 364 h, and the relevant codes are provided in Appendix A.
5. A Real Example
In this section, we illustrate the proposed model by analyzing the factors influencing the growth of Chinese listed companies. We selected annual financial report data of Xinjiang listed companies from the Shanghai, Shenzhen, and Beijing Stock Exchanges during the period 2020–2024 from CNINFO (China Securities Information Co., Ltd., Beijing, China). These data include nine observed variables ( to ). After data preprocessing, we obtained continuous 5-year observation records of 61 companies, with an overall data missing rate of 8.6%.
Different from the simulation study, in which it was necessary to preset four types of distributions for the error term (such as the normal distribution and skewed log-normal distribution) and simulate the generation of missing data, in practical application, the real data itself already contains inherent distribution characteristics and has natural missing situations. Therefore, there is no need to additionally preset the distribution type of the error term or simulate the generation of missing data. It is only required to generate the missing indicator matrix based on the preprocessed real data, then substitute the real data into the model, and conduct Bayesian inference using the Asymmetric Laplace Distribution (ALD) as the working distribution (for the specific process, refer to the Section 2 “Posterior Sampling Based on to Obtain ” in Section 3).
We consider an NQSEM with parameters , , , , , , . Its measurement equation is as follows:
where . The non-overlapping factor loading matrix has the following form:
The measurement equation expresses the explicit relationship between each latent variable and its corresponding indicators. Based on this, we propose the following structural equation to evaluate the impact of potential determinants on growth:
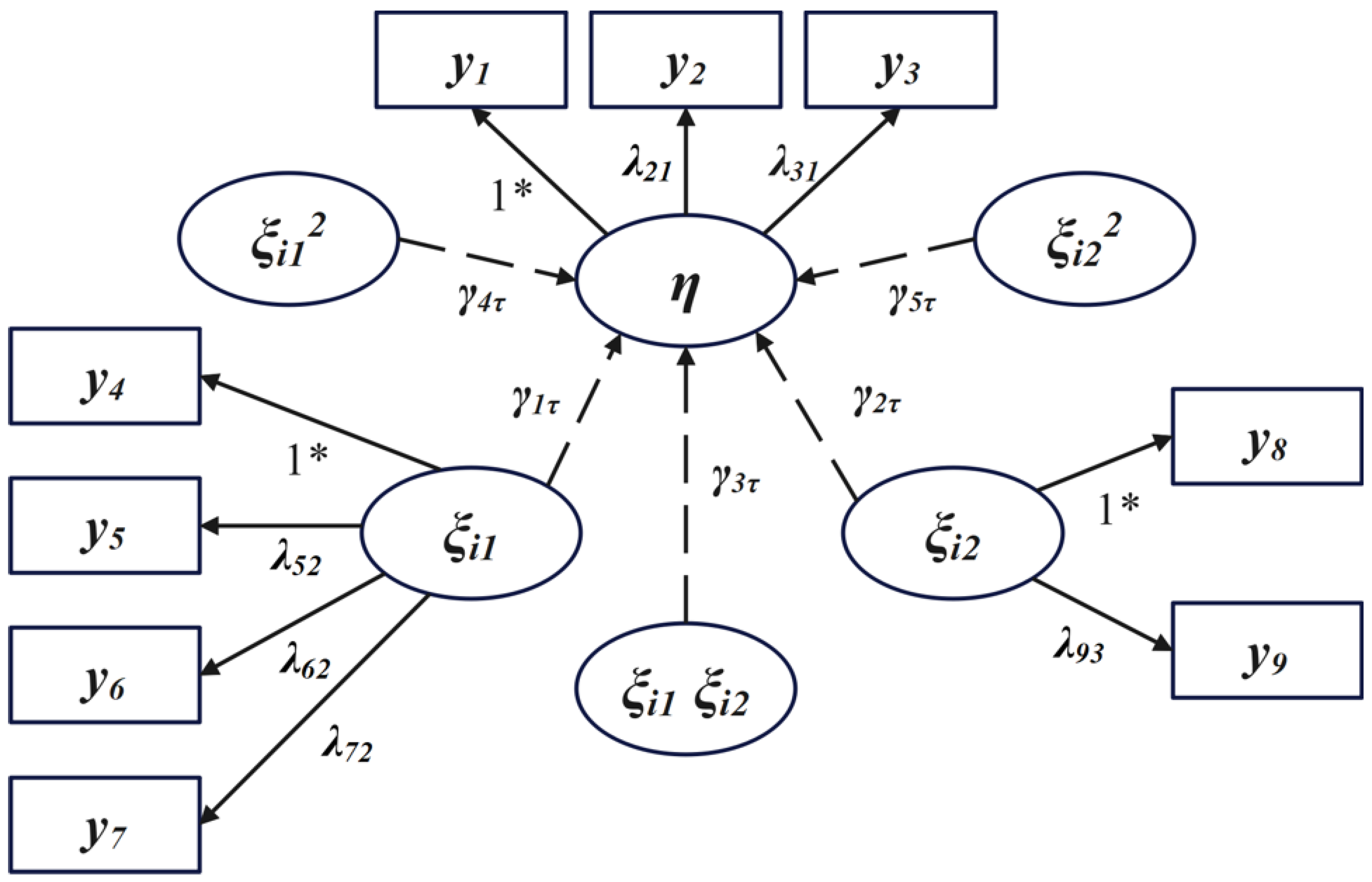
Inspired by the existing literature such as Zhi Zheng [22], we set “profitability ()” and “solvency ()” as latent variables, and selected five quantiles (0.1, 0.3, 0.5, 0.7, 0.9) to more comprehensively characterize the impact of various factors on development capability under different quantiles. Neither of the above equations considers covariates and . The observation indicators of the two types of latent variables are calculated according to the formulas listed in Table 2, and the specific path relationships are shown in Figure 5.
Table 2.
Variables in the NQSEM for analyzing determinants of company growth.
Figure 5.
Path diagram of the NQSEM model in financial data. indicates that this variable is fixed.
The hyperparameter values of the model are set as follows: The elements to be estimated in are set to 0.4, and the covariance matrix is a diagonal matrix with diagonal elements of ; , and the covariance matrix is a diagonal matrix with diagonal elements of ; , ; and ; ; and .
To examine convergence, we calculated the EPSR values for all parameters based on two parallel Markov chains. The results indicate that the algorithm converges within 5000 iterations. Therefore, we generated a total of 7000 iterations, discarded the results of the first 5000 iterations, and performed Bayesian estimation of the parameters based on the last 2000 iterations. The specific estimation results are shown in Table 3.
Table 3.
Estimation results of parameters under different quantiles in the case study.
First, we set the quantile to obtain the estimation results of the factor loading matrix . Since factor loadings may differ across quantiles, which would lead to inconsistent measurement scales of latent variables across quantiles, we fixed the factor loadings across all quantiles to the above-estimated values . Subsequent analyses under other quantile scenarios were conducted based on this setting to enhance the robustness of the model.
As shown in Table 3, these factors all affect corporate growth, and the magnitudes of the coefficients vary across quantiles, indicating that their impacts on the growth of Xinjiang-listed companies change with quantiles.
- Profitability has a significant positive impact on corporate growth, which is consistent with the findings of Wang and He [23] and Kou [24]. Quantile regression analysis reveals that the profitability coefficient exhibits a clear monotonically increasing characteristic: for low-growth companies, the marginal contribution of profitability is relatively limited because their growth is mainly constrained by factors such as market environment or management efficiency; for high-growth companies, the driving effect of profitability is significantly enhanced, which is consistent with the research conclusion of Du [25]. Specifically, as a company’s weighted return on equity, operating profit margin, net profit margin, and gross profit margin improve, its comprehensive growth gradually strengthens, with high-growth companies significantly outperforming low-growth ones.
- Solvency also has a positive effect on corporate growth—the stronger a company’s solvency, the higher its growth. This is consistent with the findings of Shen and Wu [26], but its impact is slightly weaker than that of profitability, which aligns with the conclusion drawn by Xu and Guo [27]. The coefficient shows an overall downward trend and stabilizes in the high quantile range: solvency has a relatively stronger impact on low-growth companies; its impact on high-growth companies is relatively weaker. This may be because low-growth companies often face issues such as tight capital chains and financing constraints, and strong solvency (e.g., low debt ratio, sufficient cash flow) can effectively reduce financial risks, provide a foundation for their basic growth, and serve as an important support to break through growth bottlenecks. In contrast, the growth of high-growth companies relies more on endogenous funds generated by profits or efficient external financing to support expansion. Although solvency still provides necessary financial stability for growth, its marginal driving effect on growth decreases.
- The impact coefficient of the interaction term between profitability and solvency on growth () is significantly positive at all quantiles and shows an overall upward trend, indicating that their synergistic effect positively drives growth, with such effect strengthening as corporate growth improves. Specifically, the coefficient of the interaction term for low-growth companies, though positive, is relatively small, suggesting that the synergistic pull on growth is weak in this case. This may be because the core constraints on the growth of such companies lie in unresolved fundamental issues such as insufficient business expansion capabilities and market competitiveness, rather than inadequate coordination between profitability and solvency, making it difficult for synergistic effects to take hold. For high-growth companies, the coefficient of the interaction term increases significantly, and the synergistic effect is notably enhanced. This is because high-growth companies not only need profitability to support endogenous expansion but also require strong solvency to ensure smooth external financing, forming a positive cycle of “profit laying the foundation for expansion + solvency alleviating financing constraints” and thus providing stronger impetus for high growth.
- The impact coefficient of the squared term of profitability on growth () gradually shifts from negative to positive with increasing values: for low-growth companies, the negative coefficient indicates that increased profitability may inhibit growth, i.e., an “excessive pursuit of profits” can have adverse effects. This is likely because such companies have limited profit scales, with profits mostly used to cover operational gaps; an excessive focus on profitability would squeeze investments in growth-oriented activities such as research and development and market development, leading to a diminishing marginal positive effect of profitability on growth. For high-growth companies, the positive and increasing coefficient reflects an increasing marginal positive effect of profitability on growth. At this stage, companies have a solid profit foundation, and profit growth can be more efficiently converted into growth momentum by supporting large-scale expansion, enhancing risk resistance, and improving financing advantages.
- The impact coefficient of the squared term of solvency on growth () changes from a slightly negative value to a significantly positive one with a monotonic increasing trend: for low-growth companies, the coefficient of the squared term is close to zero, indicating that marginal changes in solvency have little differential impact on growth. This may be because the growth bottleneck for these companies lies in business fundamentals (e.g., insufficient market demand and low efficiency), and improved solvency can only maintain financial stability without generating additional impetus for growth. For high-growth companies, the significantly positive and increasing coefficient of the squared term indicates an increasing marginal positive effect of improved solvency. This is probably because their expansion requires substantial capital, and enhanced solvency can reduce financing costs, broaden financing channels, and boost investor confidence, supporting aggressive growth strategies. This forms a cycle of “strengthened solvency → expanded financing advantages → accelerated growth,” where the leverage effect of marginal improvements on growth increases with the enhancement of solvency.
In summary, this study identifies profitability, solvency, their squared terms, and their interaction term as key factors influencing corporate growth, and quantifies their specific impact intensities at different quantile levels. This provides more detailed empirical evidence for unraveling the driving logic behind enterprise growth.
6. Discussion
In this paper, we constructed a nonlinear quantile structural equation model with non-ignorable missing data. This model can not only comprehensively analyze the latent variable relationships between corporate financial variables and growth but also account for the non-ignorable missing mechanism through a linear logistic regression model. Meanwhile, we propose a Bayesian method based on ALD theory to carry out posterior inference. Simulation studies show that the model performs well in both computational efficiency and parameter estimation accuracy. After applying it to the data analysis of growth and its determinants of listed companies in Xinjiang, the results not only confirm previous research conclusions on the impact of factors such as profitability and solvency on growth but also provide new insights into the driving mechanisms of corporate growth.
Future research can proceed in the following four directions: First, in nonlinear quantile structural equation models, variable selection is also of great significance, especially when latent variables in the model exhibit significant impacts only at certain quantiles but not at others. Regularization methods show obvious advantages in this model framework because they can simultaneously realize parameter estimation and variable selection. A feasible research idea is to introduce the method proposed by Feng et al. [3] into nonlinear quantile structural equation models and conduct further research on its adaptability and extensibility under nonlinear settings. Second, the current model only incorporates continuous indicators in the measurement equations, while real-world data often include various types such as ordinal data (e.g., satisfaction scores, rating assessments), count data (e.g., number of event occurrences, quantity statistics), and unordered categorical data (e.g., attribute classification, group division). Therefore, we can further construct a generalized nonlinear quantile structural equation model compatible with multiple data types. By extending the distributional assumptions of measurement equations (e.g., introducing discrete response models within the quantile regression framework), the model can handle continuous, ordinal, count, and unordered categorical indicators simultaneously, thus better fitting the complexity of actual data and enhancing its applicability and explanatory power. Furthermore, regarding missing data, we can explore the Bayesian analysis of nonlinear quantile structural equation models under scenarios where covariates have non-ignorable missingness, or where both response variables and covariates have non-ignorable missingness. Finally, similar to Dang and Maestrini’s [28] exploration of variational approximate inference in conventional structural equation models (CSEMs), introducing variational methods into nonlinear quantile structural equation models with non-ignorable missing data is expected to significantly improve computational efficiency while providing reliable inference results, offering a more efficient solution for the practical application of such complex models.
Author Contributions
Conceptualization, L.Z.; methodology, M.T.; software, L.Z.; validation, M.T.; formal analysis, L.Z.; investigation, M.T.; resources, M.T.; data curation, L.Z.; writing—original draft preparation, L.Z.; writing—review and editing, M.T.; visualization, L.Z.; supervision, M.T.; project administration, M.T.; funding acquisition, M.T. All authors have read and agreed to the published version of the manuscript.
Funding
This research was funded by 2025 Xinjiang University Faculty Excellence Program under the Autonomous Region’s Double First-Class Initiative (grant no. 51172500101).
Data Availability Statement
These data were derived from the following resources available in the public domain: [annual financial report data of Xinjiang 399 listed companies from the Shanghai, Shenzhen, and Beijing Stock Exchanges during the 400 period 2020–2024 from CNINFO] [https://www.cninfo.com.cn (accessed on 18 June 2025)].
Conflicts of Interest
The authors declare no conflicts of interest.
Appendix A
When performing Metropolis–Hastings sampling, the required proposal distributions and their variances are as follows, with reference to the methods proposed by Lee and Song [13] and Lee and Tang [7].
First, samples are drawn from . Specifically, is chosen as its proposal distribution, where , and is given by
with . The implementation of the MH algorithm is as follows:
In the -th iteration, based on the current , a new candidate value is generated from the proposal distribution . The probability of accepting this new candidate is
where the variance is adjusted to ensure the mean acceptance rate reaches roughly 0.25 or greater (Gelman et al. [29]).
Second, samples are drawn from . is selected as its proposal distribution, with variance , where is a submatrix of , and is a subvector of , both containing rows and columns corresponding to . is the set of indices corresponding to the observed data . The selection criteria for and the sampling process similarly apply.
Finally, samples are drawn from . is chosen as its proposal distribution, with variance . The selection criteria for and the sampling process similarly apply.
The selection of proposal distributions for the above three parameters and the calculation of their covariances both refer to the article by Lee and Tang [7], and the average acceptance rates of the three parameters are all maintained between 0.25 and 0.4 by adjusting , , and .
The Gibbs sampling process and the posterior distribution of the unknown parameter are presented below, where the notation used follows that in Song and Lee [13].
Let , , , , , , , , and , and is the k-th diagonal element of the matrix .
Given , let denote the corresponding element of the matrix, i.e., , where and . The positions of fixed elements in are identified by the index matrix , whose elements are defined as follows:
Let , , and be a submatrix of where . Rows corresponding to are set to zero vectors, while rows with are retained. Meanwhile, let , where , and is the j-th element of . The Gibbs sampling process is as follows:
1. Updating :
For , it holds that
2. Updating :
Let . Then,
For and , it holds that
where and .
3. Updating :
To derive , we can refer to the method proposed by Lindley and Smith [30] for deriving posterior distributions. Specifically, let denote that the column vector follows a multivariate normal distribution with mean vector and positive semi-definite variance matrix . Given ,
and given ,
then the distribution of given is , where and . Similarly, we can derive the posterior distribution of . Specifically, given , , and , we have
Thus, for , it holds that
where , , , and ; the variance of the multivariate normal distribution is , and the mean .
4. Updating :
Thus,
5. Updating :
Thus,
6. Updating :
Let . Then,
For , it holds that
7. Updating :
Similar to the posterior derivation of , given , , and , we have
Thus, we can conclude that
where , , , and ; the variance of the multivariate normal distribution is , and the mean .
Table A1.
True values of parameter vector under different missing rates and cases ().
Table A1.
True values of parameter vector under different missing rates and cases ().
| Missing Rate | Case | ||||||||||
|---|---|---|---|---|---|---|---|---|---|---|---|
| 20% | 1 | −4.00 | 0.28 | 0.28 | 0.28 | 0.28 | 0.28 | 0.28 | 0.28 | 0.28 | 0.28 |
| 3 | −3.80 | 0.19 | 0.19 | 0.19 | 0.19 | 0.19 | 0.19 | 0.19 | 0.19 | 0.19 | |
| 4 | −4.00 | 0.15 | 0.15 | 0.15 | 0.15 | 0.15 | 0.15 | 0.15 | 0.15 | 0.15 | |
| 30% | 1 | −4.00 | 0.40 | 0.40 | 0.40 | 0.40 | 0.40 | 0.40 | 0.40 | 0.40 | 0.40 |
| 3 | −4.00 | 0.27 | 0.27 | 0.27 | 0.27 | 0.27 | 0.27 | 0.27 | 0.27 | 0.27 | |
| 4 | −4.00 | 0.20 | 0.20 | 0.20 | 0.20 | 0.20 | 0.20 | 0.20 | 0.20 | 0.20 | |
| 40% | 1 | −4.00 | 0.60 | 0.60 | 0.60 | 0.60 | 0.60 | 0.60 | 0.60 | 0.60 | 0.60 |
| 3 | −4.00 | 0.36 | 0.36 | 0.36 | 0.36 | 0.36 | 0.36 | 0.36 | 0.36 | 0.36 | |
| 4 | −4.00 | 0.25 | 0.25 | 0.25 | 0.25 | 0.25 | 0.25 | 0.25 | 0.25 | 0.25 |
Table A2.
True values of parameter vector under different missing rates and cases ().
Table A2.
True values of parameter vector under different missing rates and cases ().
| Missing Rate | Case | ||||||||||
|---|---|---|---|---|---|---|---|---|---|---|---|
| 20% | 1 | −4.00 | 0.28 | 0.28 | 0.28 | 0.28 | 0.28 | 0.28 | 0.28 | 0.28 | 0.28 |
| 3 | −3.80 | 0.18 | 0.18 | 0.18 | 0.18 | 0.18 | 0.18 | 0.18 | 0.18 | 0.18 | |
| 4 | −4.00 | 0.15 | 0.15 | 0.15 | 0.15 | 0.15 | 0.15 | 0.15 | 0.15 | 0.15 | |
| 30% | 1 | −4.00 | 0.40 | 0.40 | 0.40 | 0.40 | 0.40 | 0.40 | 0.40 | 0.40 | 0.40 |
| 3 | −3.80 | 0.25 | 0.25 | 0.25 | 0.25 | 0.25 | 0.25 | 0.25 | 0.25 | 0.25 | |
| 4 | −4.00 | 0.20 | 0.20 | 0.20 | 0.20 | 0.20 | 0.20 | 0.20 | 0.20 | 0.20 | |
| 40% | 1 | −4.00 | 0.65 | 0.65 | 0.65 | 0.65 | 0.65 | 0.65 | 0.65 | 0.65 | 0.65 |
| 3 | −3.80 | 0.34 | 0.34 | 0.34 | 0.34 | 0.34 | 0.34 | 0.34 | 0.34 | 0.34 | |
| 4 | −4.00 | 0.25 | 0.25 | 0.25 | 0.25 | 0.25 | 0.25 | 0.25 | 0.25 | 0.25 |
Table A3.
Bayesian estimates of regression coefficients in the structural equation with complete data.
Table A3.
Bayesian estimates of regression coefficients in the structural equation with complete data.
| Par | Bias | RMS | Bias | RMS | Bias | RMS | Bias | RMS | |
|---|---|---|---|---|---|---|---|---|---|
| 0.1 | 0.0090 | 0.0145 | 0.0011 | 0.0030 | 0.0046 | 0.0076 | −0.0006 | 0.0033 | |
| 0.5 | 0.0002 | 0.0093 | 0.0000 | 0.0023 | 0.0010 | 0.0043 | 0.0031 | 0.0042 | |
| 0.9 | −0.0048 | 0.0113 | 0.0002 | 0.0037 | −0.0035 | 0.0068 | 0.0090 | 0.0101 | |
| 0.1 | 0.0033 | 0.0082 | −0.0191 | 0.0193 | −0.0345 | 0.0348 | −0.0217 | 0.0219 | |
| 0.5 | −0.0014 | 0.0070 | −0.0034 | 0.0041 | −0.0203 | 0.0206 | −0.0087 | 0.0090 | |
| 0.9 | −0.0008 | 0.0082 | 0.0222 | 0.0228 | −0.0085 | 0.0108 | 0.0104 | 0.0121 | |
| 0.1 | 0.0165 | 0.0182 | −0.0193 | 0.0195 | −0.0375 | 0.0378 | −0.0242 | 0.0244 | |
| 0.5 | 0.0012 | 0.0071 | −0.0035 | 0.0041 | −0.0226 | 0.0229 | −0.0105 | 0.0108 | |
| 0.9 | −0.0072 | 0.0110 | 0.0219 | 0.0222 | −0.0160 | 0.0173 | 0.0052 | 0.0087 | |
| 0.1 | 0.0017 | 0.0058 | −0.0261 | 0.0263 | −0.0238 | 0.0241 | −0.0211 | 0.0213 | |
| 0.5 | −0.0004 | 0.0053 | −0.0186 | 0.0188 | −0.0253 | 0.0255 | −0.0165 | 0.0166 | |
| 0.9 | −0.0010 | 0.0059 | −0.0027 | 0.0062 | −0.0316 | 0.0323 | −0.0063 | 0.0080 | |
| 0.1 | −0.0401 | 0.0410 | −0.0278 | 0.0282 | −0.0290 | 0.0297 | −0.0247 | 0.0251 | |
| 0.5 | 0.0036 | 0.0088 | −0.0067 | 0.0075 | 0.0019 | 0.0058 | −0.0050 | 0.0060 | |
| 0.9 | 0.0502 | 0.0509 | 0.0378 | 0.0389 | 0.0782 | 0.0788 | 0.0486 | 0.0496 | |
| 0.1 | −0.0512 | 0.0519 | −0.0295 | 0.0299 | −0.0360 | 0.0366 | −0.0252 | 0.0255 | |
| 0.5 | −0.0027 | 0.0080 | −0.0086 | 0.0092 | −0.0057 | 0.0080 | −0.0045 | 0.0063 | |
| 0.9 | 0.0484 | 0.0493 | 0.0317 | 0.0325 | 0.0596 | 0.0606 | 0.0462 | 0.0477 | |
Note: Sample size .
Table A4.
Bayesian estimates of regression coefficients in the structural equation with complete data.
Table A4.
Bayesian estimates of regression coefficients in the structural equation with complete data.
| Par | Bias | RMS | Bias | RMS | Bias | RMS | Bias | RMS | |
|---|---|---|---|---|---|---|---|---|---|
| 0.1 | 0.0131 | 0.0196 | 0.0090 | 0.0099 | 0.0245 | 0.0261 | 0.0050 | 0.0076 | |
| 0.5 | 0.0021 | 0.0128 | 0.0076 | 0.0082 | 0.0191 | 0.0199 | 0.0080 | 0.0090 | |
| 0.9 | 0.0056 | 0.0173 | 0.0126 | 0.0145 | 0.0162 | 0.0186 | 0.0101 | 0.0147 | |
| 0.1 | 0.0490 | 0.0510 | −0.0471 | 0.0473 | −0.0306 | 0.0314 | 0.0229 | 0.0237 | |
| 0.5 | 0.0060 | 0.0144 | −0.0114 | 0.0119 | −0.0643 | 0.0645 | −0.0297 | 0.0300 | |
| 0.9 | −0.0211 | 0.0263 | 0.0470 | 0.0489 | 0.0572 | 0.0620 | 0.0074 | 0.0176 | |
| 0.1 | 0.0368 | 0.0396 | −0.0486 | 0.0489 | −0.0360 | 0.0368 | 0.0218 | 0.0225 | |
| 0.5 | 0.0004 | 0.0131 | −0.0143 | 0.0147 | −0.0717 | 0.0719 | −0.0221 | 0.0224 | |
| 0.9 | −0.0192 | 0.0246 | 0.0397 | 0.0418 | 0.0318 | 0.0450 | 0.0228 | 0.0278 | |
| 0.1 | 0.0058 | 0.0141 | 0.0350 | 0.0354 | 0.0166 | 0.0182 | 0.0300 | 0.0304 | |
| 0.5 | 0.0013 | 0.0111 | −0.0509 | 0.0511 | −0.0591 | 0.0593 | −0.0539 | 0.0541 | |
| 0.9 | −0.0016 | 0.0146 | 0.0024 | 0.0122 | −0.0280 | 0.0311 | −0.0354 | 0.0389 | |
| 0.1 | −0.0297 | 0.0332 | 0.0301 | 0.0312 | −0.0165 | 0.0196 | 0.0266 | 0.0280 | |
| 0.5 | 0.0026 | 0.0105 | −0.0258 | 0.0265 | −0.0171 | 0.0190 | −0.0100 | 0.0116 | |
| 0.9 | 0.0481 | 0.0501 | −0.0027 | 0.0208 | −0.0434 | 0.0528 | 0.0582 | 0.0630 | |
| 0.1 | −0.0363 | 0.0390 | 0.0347 | 0.0357 | 0.0011 | 0.0109 | 0.0166 | 0.0188 | |
| 0.5 | 0.0016 | 0.0114 | −0.0217 | 0.0224 | −0.0007 | 0.0079 | −0.0081 | 0.0099 | |
| 0.9 | 0.0447 | 0.0468 | 0.0083 | 0.0191 | −0.0082 | 0.0459 | 0.0549 | 0.0605 | |
Note: Sample size .
Table A5.
Bayesian estimates of other parameters with complete data when .
Table A5.
Bayesian estimates of other parameters with complete data when .
| Par | Bias | RMS | Bias | RMS | Bias | RMS |
|---|---|---|---|---|---|---|
| 0.0028 | 0.0037 | 0.0028 | 0.0037 | 0.0029 | 0.0037 | |
| 0.0013 | 0.0119 | −0.0007 | 0.0112 | −0.0024 | 0.0103 | |
| 0.0000 | 0.0120 | −0.0020 | 0.0111 | −0.0038 | 0.0111 | |
| 0.0285 | 0.0295 | 0.0285 | 0.0294 | 0.0281 | 0.0290 | |
| 0.0158 | 0.0207 | 0.0156 | 0.0210 | 0.0142 | 0.0205 | |
| 0.0169 | 0.0219 | 0.0169 | 0.0219 | 0.0151 | 0.0211 | |
| −0.0193 | 0.0211 | −0.0191 | 0.0209 | −0.0191 | 0.0209 | |
| −0.0063 | 0.0159 | −0.0055 | 0.0156 | −0.0010 | 0.0161 | |
| −0.0028 | 0.0140 | −0.0022 | 0.0142 | 0.0021 | 0.0145 | |
| −0.0596 | 0.0609 | −0.0445 | 0.0458 | 0.0393 | 0.0448 | |
| −0.0603 | 0.0616 | −0.0452 | 0.0461 | 0.0384 | 0.0438 | |
| 0.0571 | 0.0584 | 0.0179 | 0.0224 | 0.0192 | 0.0254 | |
| 0.0594 | 0.0608 | 0.0192 | 0.0237 | 0.0210 | 0.0268 | |
| 0.0369 | 0.0395 | 0.0022 | 0.0140 | −0.0034 | 0.0173 | |
| 0.0386 | 0.0410 | 0.0030 | 0.0145 | −0.0030 | 0.0173 | |
| −0.0384 | 0.0496 | −0.0113 | 0.0203 | 0.0396 | 0.0603 | |
| 0.0731 | 0.0751 | 0.0512 | 0.0527 | 0.0281 | 0.0451 | |
| 0.0140 | 0.0299 | −0.0350 | 0.0397 | 0.0147 | 0.0388 | |
Note: Sample size .
Table A6.
Bayesian estimates of other parameters with missing data when .
Table A6.
Bayesian estimates of other parameters with missing data when .
| Par | Bias | RMS | Bias | RMS | Bias | RMS |
|---|---|---|---|---|---|---|
| 0.0014 | 0.0028 | 0.0011 | 0.0023 | 0.0010 | 0.0025 | |
| −0.0047 | 0.0121 | −0.0017 | 0.0107 | 0.0015 | 0.0106 | |
| −0.0010 | 0.0108 | 0.0025 | 0.0109 | 0.0038 | 0.0112 | |
| −0.0106 | 0.0119 | −0.0110 | 0.0124 | −0.0102 | 0.0113 | |
| −0.0042 | 0.0114 | −0.0034 | 0.0116 | −0.0016 | 0.0115 | |
| −0.0061 | 0.0115 | −0.0052 | 0.0113 | −0.0054 | 0.0111 | |
| −0.0055 | 0.0077 | −0.0044 | 0.0072 | −0.0048 | 0.0074 | |
| −0.0049 | 0.0119 | −0.0031 | 0.0111 | −0.0009 | 0.0106 | |
| −0.0039 | 0.0119 | −0.0032 | 0.0125 | −0.0008 | 0.0116 | |
| −0.0248 | 0.0268 | −0.0031 | 0.0109 | 0.0045 | 0.0117 | |
| −0.0262 | 0.0287 | −0.0047 | 0.0121 | 0.0034 | 0.0119 | |
| 0.0155 | 0.0180 | 0.0000 | 0.0104 | −0.0144 | 0.0179 | |
| 0.0172 | 0.0200 | −0.0020 | 0.0098 | −0.0128 | 0.0167 | |
| 0.0146 | 0.0174 | −0.0006 | 0.0103 | −0.0141 | 0.0182 | |
| 0.0115 | 0.0142 | −0.0020 | 0.0101 | −0.0186 | 0.0215 | |
| 0.0190 | 0.0587 | 0.0767 | 0.0947 | −0.0039 | 0.0591 | |
| −0.0314 | 0.0445 | −0.0418 | 0.0563 | −0.0385 | 0.0546 | |
| −0.0422 | 0.0610 | −0.0221 | 0.0561 | −0.0456 | 0.0655 | |
Note: Sample size ; missing rate = 30%.
Table A7.
Bayesian estimates of regression coefficients in the structural equation with missing data.
Table A7.
Bayesian estimates of regression coefficients in the structural equation with missing data.
| M1 | M2 | M3 | |||||
|---|---|---|---|---|---|---|---|
| Par | Bias | RMS | Bias | RMS | Bias | RMS | |
| 0.1 | 0.0098 | 0.0176 | 0.0099 | 0.0156 | 0.0095 | 0.0165 | |
| 0.5 | −0.0023 | 0.0128 | −0.0028 | 0.0122 | −0.0035 | 0.0105 | |
| 0.9 | −0.0007 | 0.0151 | −0.0061 | 0.0154 | −0.0064 | 0.0158 | |
| 0.1 | 0.0488 | 0.0507 | 0.0469 | 0.0488 | 0.0456 | 0.0472 | |
| 0.5 | 0.0063 | 0.0128 | 0.0046 | 0.0119 | 0.0047 | 0.0117 | |
| 0.9 | −0.0130 | 0.0189 | −0.0230 | 0.0274 | −0.0215 | 0.0250 | |
| 0.1 | 0.0389 | 0.0411 | 0.0364 | 0.0387 | 0.0357 | 0.0378 | |
| 0.5 | 0.0009 | 0.0103 | 0.0012 | 0.0107 | 0.0011 | 0.0091 | |
| 0.9 | −0.0121 | 0.0161 | −0.0203 | 0.0241 | −0.0204 | 0.0239 | |
| 0.1 | 0.0072 | 0.0135 | 0.0067 | 0.0121 | 0.0048 | 0.0101 | |
| 0.5 | 0.0020 | 0.0100 | 0.0022 | 0.0084 | 0.0020 | 0.0092 | |
| 0.9 | 0.0039 | 0.0129 | -0.0026 | 0.0116 | −0.0022 | 0.0109 | |
| 0.1 | −0.0197 | 0.0241 | −0.0083 | 0.0158 | −0.0047 | 0.0151 | |
| 0.5 | 0.0032 | 0.0115 | 0.0042 | 0.0117 | 0.0036 | 0.0111 | |
| 0.9 | 0.0931 | 0.0939 | 0.0320 | 0.0352 | 0.0290 | 0.0318 | |
| 0.1 | −0.0155 | 0.0213 | −0.0132 | 0.0199 | −0.0074 | 0.0155 | |
| 0.5 | 0.0014 | 0.0121 | 0.0005 | 0.0106 | 0.0005 | 0.0105 | |
| 0.9 | 0.0907 | 0.0917 | 0.0254 | 0.0286 | 0.0226 | 0.0263 | |
Table A8.
Bayesian estimates of regression coefficients in the structural equation with missing data.
Table A8.
Bayesian estimates of regression coefficients in the structural equation with missing data.
| M1 | M2 | M3 | |||||
|---|---|---|---|---|---|---|---|
| Par | Bias | RMS | Bias | RMS | Bias | RMS | |
| 0.1 | 0.0170 | 0.0190 | 0.0160 | 0.0179 | 0.0137 | 0.0157 | |
| 0.5 | 0.0151 | 0.0162 | 0.0133 | 0.0146 | 0.0136 | 0.0146 | |
| 0.9 | 0.0100 | 0.0145 | 0.0075 | 0.0129 | 0.0069 | 0.0137 | |
| 0.1 | −0.0111 | 0.0132 | −0.0096 | 0.0134 | −0.0044 | 0.0109 | |
| 0.5 | −0.0605 | 0.0607 | −0.0595 | 0.0597 | 0.0398 | 0.0402 | |
| 0.9 | 0.0512 | 0.0537 | 0.0555 | 0.0585 | 0.0584 | 0.0608 | |
| 0.1 | −0.0154 | 0.0178 | −0.0109 | 0.0146 | −0.0060 | 0.0119 | |
| 0.5 | −0.0669 | 0.0671 | −0.0646 | 0.0650 | 0.0360 | 0.0364 | |
| 0.9 | 0.0281 | 0.0328 | 0.0404 | 0.0439 | 0.0501 | 0.0525 | |
| 0.1 | 0.0401 | 0.0407 | 0.0410 | 0.0417 | 0.0437 | 0.0448 | |
| 0.5 | −0.0488 | 0.0490 | −0.0467 | 0.0470 | −0.0448 | 0.0453 | |
| 0.9 | −0.0305 | 0.0336 | −0.0274 | 0.0307 | −0.0236 | 0.0275 | |
| 0.1 | 0.0124 | 0.0173 | 0.0138 | 0.0193 | 0.0187 | 0.0243 | |
| 0.5 | −0.0051 | 0.0099 | −0.0009 | 0.0089 | −0.0048 | 0.0112 | |
| 0.9 | −0.0236 | 0.0343 | −0.0354 | 0.0427 | −0.0422 | 0.0509 | |
| 0.1 | 0.0278 | 0.0302 | 0.0324 | 0.0345 | 0.0329 | 0.0353 | |
| 0.5 | 0.0123 | 0.0150 | 0.0116 | 0.0148 | 0.0066 | 0.0122 | |
| 0.9 | 0.0038 | 0.0291 | −0.0148 | 0.0298 | −0.0322 | 0.0402 | |
| Par | Bias | RMS | Bias | RMS | Bias | RMS | |
| 0.1 | 0.0031 | 0.0061 | 0.0023 | 0.0062 | 0.0011 | 0.0052 | |
| 0.5 | 0.0064 | 0.0076 | 0.0061 | 0.0071 | 0.0046 | 0.0059 | |
| 0.9 | 0.0126 | 0.0155 | 0.0099 | 0.0130 | 0.0093 | 0.0135 | |
| 0.1 | 0.0391 | 0.0396 | 0.0416 | 0.0421 | 0.0457 | 0.0462 | |
| 0.5 | −0.0213 | 0.0218 | −0.0211 | 0.0216 | −0.0190 | 0.0194 | |
| 0.9 | 0.0236 | 0.0280 | 0.0233 | 0.0263 | 0.0245 | 0.0270 | |
| 0.1 | 0.0391 | 0.0395 | 0.0411 | 0.0416 | 0.0448 | 0.0452 | |
| 0.5 | −0.0156 | 0.0161 | −0.0164 | 0.0169 | −0.0155 | 0.0162 | |
| 0.9 | 0.0372 | 0.0393 | 0.0333 | 0.0350 | 0.0359 | 0.0383 | |
| 0.1 | 0.0510 | 0.0512 | 0.0521 | 0.0524 | 0.0555 | 0.0558 | |
| 0.5 | −0.0423 | 0.0425 | −0.0400 | 0.0403 | −0.0377 | 0.0381 | |
| 0.9 | −0.0154 | 0.0205 | −0.0064 | 0.0131 | −0.0005 | 0.0124 | |
| 0.1 | 0.0520 | 0.0527 | 0.0524 | 0.0533 | 0.0590 | 0.0601 | |
| 0.5 | 0.0086 | 0.0110 | 0.0101 | 0.0126 | 0.0162 | 0.0178 | |
| 0.9 | 0.0449 | 0.0498 | 0.0275 | 0.0340 | 0.0234 | 0.0316 | |
| 0.1 | 0.0456 | 0.0464 | 0.0474 | 0.0485 | 0.0508 | 0.0517 | |
| 0.5 | 0.0076 | 0.0106 | 0.0083 | 0.0115 | 0.0118 | 0.0140 | |
| 0.9 | 0.0465 | 0.0510 | 0.0311 | 0.0379 | 0.0256 | 0.0321 | |
Note: Sample size .
Table A9.
Bayesian estimates of other parameters with missing data when .
Table A9.
Bayesian estimates of other parameters with missing data when .
| Par | Bias | RMS | Bias | RMS | Bias | RMS |
|---|---|---|---|---|---|---|
| −0.0048 | 0.0051 | −0.0051 | 0.0054 | −0.0055 | 0.0058 | |
| −0.0070 | 0.0119 | −0.0086 | 0.0123 | −0.0146 | 0.0162 | |
| −0.0060 | 0.0109 | −0.0067 | 0.0111 | −0.0129 | 0.0151 | |
| −0.0004 | 0.0076 | −0.0007 | 0.0066 | 0.0007 | 0.0070 | |
| −0.0023 | 0.0093 | −0.0021 | 0.0099 | 0.0021 | 0.0104 | |
| −0.0012 | 0.0079 | −0.0008 | 0.0078 | 0.0020 | 0.0098 | |
| 0.0042 | 0.0077 | 0.0043 | 0.0075 | 0.0050 | 0.0082 | |
| 0.0015 | 0.0093 | 0.0016 | 0.0107 | 0.0051 | 0.0126 | |
| 0.0015 | 0.0087 | 0.0012 | 0.0094 | 0.0046 | 0.0103 | |
| 0.0236 | 0.0287 | 0.0071 | 0.0148 | −0.0343 | 0.0380 | |
| 0.0224 | 0.0260 | 0.0036 | 0.0128 | −0.0370 | 0.0399 | |
| −0.0285 | 0.0315 | −0.0310 | 0.0337 | 0.0340 | 0.0365 | |
| −0.0285 | 0.0316 | −0.0305 | 0.0337 | 0.0341 | 0.0371 | |
| −0.0208 | 0.0245 | −0.0258 | 0.0288 | 0.0358 | 0.0382 | |
| −0.0214 | 0.0248 | −0.0232 | 0.0276 | 0.0342 | 0.0359 | |
| −0.0238 | 0.0691 | −0.0307 | 0.0545 | −0.0597 | 0.0828 | |
| −0.0538 | 0.0633 | −0.0435 | 0.0491 | 0.0682 | 0.0748 | |
| 0.0083 | 0.0646 | 0.0174 | 0.0457 | 0.0020 | 0.0517 | |
Note: Sample size ; missing rate = 40%.
References
- Koenker, R.; Bassett, G., Jr. Regression quantiles. Econometrica 1978, 46, 33–50. [Google Scholar] [CrossRef]
- Wang, Y.; Feng, X.N.; Song, X.Y. Bayesian quantile structural equation models. Struct. Equ. Model. 2016, 23, 246–258. [Google Scholar] [CrossRef]
- Feng, X.N.; Wang, Y.; Lu, B.; Song, X.Y. Bayesian regularized quantile structural equation models. J. Multivar. Anal. 2017, 154, 234–248. [Google Scholar] [CrossRef]
- Wang, Z.Q. Bayesian Statistical Inference for Quantile Regression Models. Ph.D. Thesis, Yunnan University, Kunming, China, 2019. [Google Scholar]
- Xue, J. Bayesian Quantile Factor Models and Their Extensions. Ph.D. Thesis, Lanzhou University of Finance and Economics, Lanzhou, China, 2023. [Google Scholar]
- Cheng, H. Quantile varying-coefficient structural equation model. Stat. Methods Appl. 2023, 32, 1439–1475. [Google Scholar] [CrossRef]
- Lee, S.Y.; Tang, N.S. Bayesian analysis of nonlinear structural equation models with nonignorable missing data. Psychometrika 2006, 71, 541–564. [Google Scholar] [CrossRef]
- Cai, J.H.; Lee, S.Y.; Song, X.Y. Bayesian analysis of nonlinear structural equation models with mixed continuous, ordered and unordered categorical, and nonignorable missing data. Stat. Interface 2008, 1, 99–114. [Google Scholar] [CrossRef]
- Lee, S.Y.; Song, X.Y. On Bayesian estimation and model comparison of an integrated structural equation model. Comput. Stat. Data Anal. 2008, 52, 4814–4827. [Google Scholar] [CrossRef]
- Cai, J.H.; Song, X.Y. Bayesian analysis of mixtures in structural equation models with non-ignorable missing data. Br. J. Math. Stat. Psychol. 2010, 63, 491–508. [Google Scholar] [CrossRef]
- Cai, J.H.; Song, X.Y.; Hser, Y.I. A Bayesian analysis of mixture structural equation models with non-ignorable missing responses and covariates. Stat. Med. 2010, 29, 1861–1874. [Google Scholar] [CrossRef] [PubMed]
- Lee, S.Y. Structural Equation Modeling: A Bayesian Approach; John Wiley & Sons: Hoboken, NJ, USA, 2007. [Google Scholar]
- Lee, S.Y.; Song, X.Y. Basic and Advanced Bayesian Structural Equation Modeling: With Applications in the Medical and Behavioral Sciences; John Wiley & Sons: Hoboken, NJ, USA, 2012. [Google Scholar]
- Yu, K.; Moyeed, R.A. Bayesian quantile regression. Stat. Probab. Lett. 2001, 54, 437–447. [Google Scholar] [CrossRef]
- Reed, C.; Yu, K. A Partially Collapsed Gibbs Sampler for Bayesian Quantile Regression; Technical report; Department of Mathematical Sciences, Brunel University: Uxbridge, UK, 2009. [Google Scholar]
- Kozumi, H.; Kobayashi, G. Gibbs sampling methods for Bayesian quantile regression. J. Stat. Comput. Simul. 2011, 81, 1565–1578. [Google Scholar] [CrossRef]
- Ibrahim, J.G.; Chen, M.H.; Lipsitz, S.R. Missing responses in generalised linear mixed models when the missing data mechanism is nonignorable. Biometrika 2001, 88, 551–564. [Google Scholar] [CrossRef]
- Tanner, M.A.; Wong, W.H. The calculation of posterior distributions by data augmentation. J. Am. Stat. Assoc. 1987, 82, 528–540. [Google Scholar] [CrossRef]
- Geyer, C.J. Practical markov chain monte carlo. Stat. Sci. 1992, 7, 473–483. [Google Scholar] [CrossRef]
- Gelman, A.; Meng, X.L.; Stern, H. Posterior predictive assessment of model fitness via realized discrepancies. Stat. Sin. 1996, 6, 733–760. [Google Scholar]
- Bayarri, M.; Berger, J.O. P values for composite null models. J. Am. Stat. Assoc. 2000, 95, 1127–1142. [Google Scholar]
- Zhi, Z. Research on the Growth of Chinese Agricultural Listed Companies. Master’s Thesis, Nanjing Agricultural University, Nanjing, China, 2023. [Google Scholar]
- Wang, Q.; He, Y. Analysis of main factors affecting the growth of Chinese listed companies. Stat. Decis. 2005, 61–63. [Google Scholar]
- Kou, P. Analysis of Corporate Growth Based on Nonlinear Structural Equation Modeling. Master’s Thesis, Kunming University of Science and Technology, Kunming, China, 2013. [Google Scholar]
- Du, L. Research on Enterprise Growth Evaluation Model and Its Application: An Empirical Test Based on 66 Listed Companies in Henan Province. Financ. Manag. Res. 2025, 97–102. [Google Scholar]
- Shen, H.; Wu, Q. Analysis of Factors Affecting the Growth of Small and Medium-Sized Enterprises: An Empirical Study Based on Panel Data of Small and Medium-Sized Board Listed Companies. J. Financ. Dev. Res. 2010, 66–70. [Google Scholar]
- Xu, Y.; Guo, H. Analysis on the Growth of Listed Companies on China’s GEM. Coop. Econ. Sci. 2016, 60–62. [Google Scholar]
- Dang, K.D.; Maestrini, L. Fitting structural equation models via variational approximations. Struct. Equ. Model. 2022, 29, 839–853. [Google Scholar] [CrossRef]
- Gelman, A.; Roberts, G.O.; Gilks, W.R. Efficient Metropolis jumping rules. Bayesian Stat. 5 1996, 5, 599–608. [Google Scholar]
- Lindley, D.V.; Smith, A.F. Bayes estimates for the linear model. J. R. Stat. Soc. B Stat. Methodol. 1972, 34, 1–18. [Google Scholar] [CrossRef]
Disclaimer/Publisher’s Note: The statements, opinions and data contained in all publications are solely those of the individual author(s) and contributor(s) and not of MDPI and/or the editor(s). MDPI and/or the editor(s) disclaim responsibility for any injury to people or property resulting from any ideas, methods, instructions or products referred to in the content. |
© 2025 by the authors. Licensee MDPI, Basel, Switzerland. This article is an open access article distributed under the terms and conditions of the Creative Commons Attribution (CC BY) license (https://creativecommons.org/licenses/by/4.0/).




