MSAPO: A Multi-Strategy Fusion Artificial Protozoa Optimizer for Solving Real-World Problems
Abstract
1. Introduction
- (1)
- First, we adopt the piecewise chaotic opposition-based learning strategy in the stochastic initialization process, which serves to augment the dispersion and exploration space of the initial solution set and improves the algorithm’s ability to search globally. Next, cyclone foraging strategy is implemented during the heterotrophic foraging phase. enabling the algorithm to identify the optimal search direction with greater precision, guided by the globally optimal individuals. In addition, hybrid mutation strategy is added in the reproduction phase to enhance the ability of the algorithm to quickly move away from the local optimum in the early phase and to converge accurately in the later phase. The incorporation of the crisscross strategy prior to the conclusion of the iteration not only enhances the algorithm’s capacity for efficient global domain search but also augments its capability to circumvent local optima.
- (2)
- The effectiveness of MSAPO is substantiated through its validation in three distinct dimensions of the CEC2017 test set and in the highest dimension of the CEC2022 test set. Furthermore, its performance is benchmarked against other state-of-the-art swarm intelligence optimization algorithms, and the experimental outcomes substantiate MSAPO’s superiority.
- (3)
- The efficacy of MSAPO in addressing practical engineering challenges has been substantiated through the examination of eight illustrative case studies.
2. Artificial Protozoa Optimizer
| Algorithm 1: APO |
| Input: The population size N, the individual dimension D, Controlling parameters np, pfmax, and the maximum number of iterations T. |
| Output: The optimal individual ybest and its corresponding fitness fbest. |
![]() |
2.1. Population Initialization
2.2. Foraging
2.2.1. Autotrophic Mode
2.2.2. Heterotrophic Mode
2.3. Dormancy or Reproduction
2.3.1. Dormancy
2.3.2. Reproduction
3. The Proposed MSAPO
3.1. Piecewise Chaotic Opposition-Based Learning Strategy
3.2. Cyclone Foraging Strategy
3.3. Hybrid Mutation Strategy
3.4. Crisscross Strategy
3.4.1. Horizontal Crossover
3.4.2. Vertical Crossover
| Algorithm 2: MSAPO |
| Input: The population size N, the individual dimension D, Controlling parameters np, pfmax, and the maximum number of iterations T. |
| Output: The optimal individual ybest and its corresponding fitness fbest. |
![]() |
3.5. Computational Complexity
4. Numerical Experiments and Analysis
4.1. Baseline Algorithms and Benchmark Function Sets
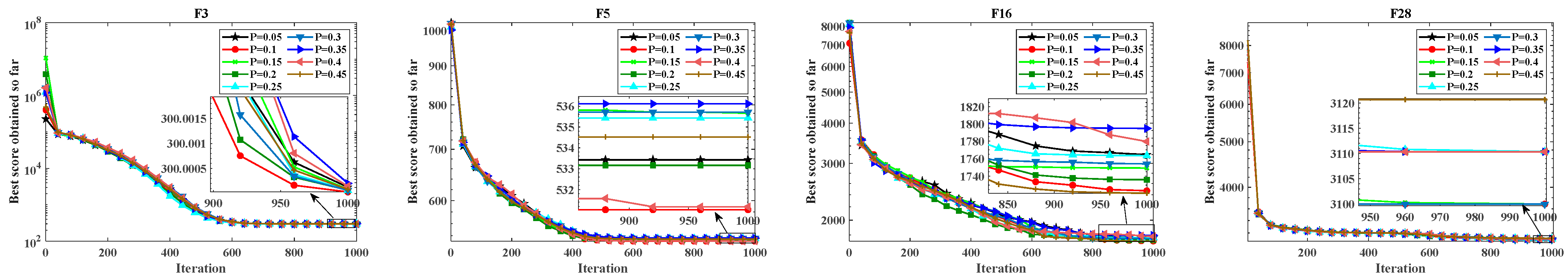
4.2. Sensitivity Analysis of Parameter
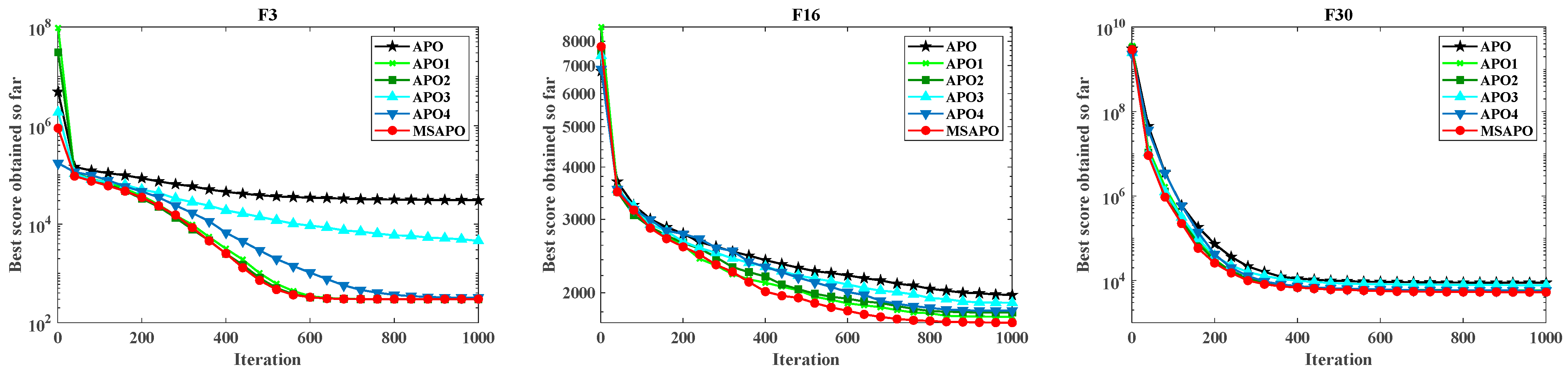
4.3. Ablation Experiment
4.4. Algorithm Parameter Settings and Performance Indicators
4.5. Analysis of Results Under CEC2022
4.6. Result Analysis on CEC2017
4.7. Result Analysis on CEC2017
5. Real-World Optimization Problems
5.1. Process Synthesis Problem (PSP)
5.2. Weight Minimization of a Speed Reducer (WMSR)
5.3. Tension/Compression Spring Design (T/CSD)
5.4. Welded Beam Design (WBD)
5.5. Three-Bar Truss Design Problem (TBTD)
5.6. Step-Cone Pulley Problem (SCP)
5.7. Gas Transmission Compressor Design (GTCD)
5.8. Himmelblau’s Function (HF)
5.9. Conclusion on Engineering Optimization Problems
6. Conclusions and Future Work
Supplementary Materials
Author Contributions
Funding
Data Availability Statement
Conflicts of Interest
References
- Yao, L.; Yuan, P.; Tsai, C.Y.; Zhang, T.; Lu, Y.; Ding, S. ESO: An enhanced snake optimizer for real-world engineering problems. Expert Syst. Appl. 2023, 230, 120594. [Google Scholar] [CrossRef]
- Elnokrashy, A.F.; Abdelaziz, L.N.; Shawky, A.; Tawfeek, R.M. Advanced framework for enhancing ultrasound images through an optimized hybrid search algorithm and a novel motion compounding processing chain. Biomed. Signal Process. Control 2023, 86, 105237. [Google Scholar] [CrossRef]
- Abdel-Salam, M.; Alzahrani, A.I.; Alblehai, F.; Zitar, R.A.; Abualigah, L. An improved Genghis Khan optimizer based on enhanced solution quality strategy for global optimization and feature selection problems. Knowl.-Based Syst. 2024, 302, 112347. [Google Scholar] [CrossRef]
- Ming, F.; Gong, W.; Zhen, H.; Wang, L.; Gao, L. Constrained multi-objective optimization evolutionary algorithm for real-world continuous mechanical design problems. Eng. Appl. Artif. Intell. 2024, 135, 108673. [Google Scholar] [CrossRef]
- Hu, G.; Zhong, J.; Du, B.; Guo, W. An enhanced hybrid arithmetic optimization algorithm for engineering applications. Comput. Methods Appl. Mech. Eng. 2022, 394, 114901. [Google Scholar] [CrossRef]
- Houssein, E.H.; Çelik, E.; Mahdy, M.A.; Ghoniem, R.M. Self-adaptive Equilibrium Optimizer for solving global, combinatorial, engineering, and Multi-Objective problems. Expert Syst. Appl. 2022, 195, 116552. [Google Scholar] [CrossRef]
- Luo, W.; Yu, X. Reinforcement learning-based modified cuckoo search algorithm for economic dispatch problems. Knowl.-Based Syst. 2022, 257, 109844. [Google Scholar] [CrossRef]
- Liang, S.; Yin, M.; Sun, G.; Li, J.; Li, H.; Lang, Q. An enhanced sparrow search swarm optimizer via multi-strategies for high-dimensional optimization problems. Swarm Evol. Comput. 2024, 88, 101603. [Google Scholar] [CrossRef]
- Lu, H.C.; Tseng, H.Y.; Lin, S.W. Double-track particle swarm optimizer for nonlinear constrained optimization problems. Inf. Sci. 2023, 622, 587–628. [Google Scholar] [CrossRef]
- Meng, X.; Li, H. An adaptive co-evolutionary competitive particle swarm optimizer for constrained multi-objective optimization problems. Swarm Evol. Comput. 2024, 91, 101746. [Google Scholar] [CrossRef]
- Zhao, S.; Zhang, T.; Ma, S.; Wang, M. Sea-horse optimizer: A novel nature-inspired meta-heuristic for global optimization problems. Appl. Intell. 2023, 53, 11833–11860. [Google Scholar] [CrossRef]
- Hu, G.; Cheng, M.; Houssein, E.H.; Hussien, A.G.; Abualigah, L. SDO: A novel sled dog-inspired optimizer for solving engineering problems. Adv. Eng. Inform. 2024, 62, 102783. [Google Scholar] [CrossRef]
- Hamarashid, H.K.; Hassan, B.A.; Rashid, T.A. Modified-improved fitness dependent optimizer for complex and engineering problems. Knowl.-Based Syst. 2024, 300, 112098. [Google Scholar] [CrossRef]
- Bohrer, J.D.S.; Dorn, M. Enhancing classification with hybrid feature selection: A multi-objective genetic algorithm for high-dimensional data. Expert Syst. Appl. 2024, 255, 124518. [Google Scholar] [CrossRef]
- Storn, R.; Price, K. Differential evolution—A simple and efficient heuristic for global optimization over continuous spaces. J. Glob. Optim. 1997, 11, 341–359. [Google Scholar] [CrossRef]
- Civicioglu, P. Backtracking Search Optimization Algorithm for numerical optimization problems. Appl. Math. Comput. 2013, 219, 8121–8144. [Google Scholar] [CrossRef]
- Serrano-Rubio, J.P.; Hernández-Aguirre, A.; Herrera-Guzmán, R. An evolutionary algorithm using spherical inversions. Soft Comput. 2018, 22, 1993–2014. [Google Scholar] [CrossRef]
- Segovia-Domínguez, I.; Herrera-Guzmán, R.; Serrano-Rubio, J.P.; Hernández-Aguirre, A. Geometric probabilistic evolutionary algorithm. Expert Syst. Appl. 2020, 144, 113080. [Google Scholar] [CrossRef]
- Al-Bahrani, L.T.; Patra, J.C. A novel orthogonal PSO algorithm based on orthogonal diagonalization. Swarm Evol. Comput. 2018, 40, 1–23. [Google Scholar] [CrossRef]
- Dorigo, M.; Birattari, M.; Stutzle, T. Ant colony optimization. IEEE Comput. Intell. Mag. 2006, 1, 28–39. [Google Scholar] [CrossRef]
- Mirjalili, S.; Mirjalili, S.M.; Lewis, A. Grey Wolf Optimizer. Adv. Eng. Softw. 2014, 69, 46–61. [Google Scholar] [CrossRef]
- Mirjalili, S.; Lewis, A. The Whale Optimization Algorithm. Adv. Eng. Softw. 2016, 95, 51–67. [Google Scholar] [CrossRef]
- Heidari, A.A.; Mirjalili, S.; Faris, H.; Aljarah, I.; Mafarja, M.; Chen, H. Harris hawks optimization: Algorithm and applications. Future Gener. Comput. Syst. 2019, 97, 849–872. [Google Scholar] [CrossRef]
- Faramarzi, A.; Heidarinejad, M.; Mirjalili, S.; Gandomi, A.H. Marine Predators Algorithm: A nature-inspired metaheuristic. Expert Syst. Appl. 2020, 152, 113377. [Google Scholar] [CrossRef]
- Hashim, F.A.; Hussien, A.G. Snake Optimizer: A novel meta-heuristic optimization algorithm. Knowl.-Based Syst. 2022, 242, 108320. [Google Scholar] [CrossRef]
- Abdel-Basset, M.; Mohamed, R.; Jameel, M.; Abouhawwash, M. Nutcracker optimizer: A novel nature-inspired metaheuristic algorithm for global optimization and engineering design problems. Knowl.-Based Syst. 2023, 262, 110248. [Google Scholar] [CrossRef]
- Hu, G.; Guo, Y.; Wei, G.; Abualigah, L. Genghis Khan shark optimizer: A novel nature-inspired algorithm for engineering optimization. Adv. Eng. Inf. 2023, 58, 102210. [Google Scholar] [CrossRef]
- Abdel-Basset, M.; Mohamed, R.; Abouhawwash, M. Crested Porcupine Optimizer: A new nature-inspired metaheuristic. Knowl.-Based Syst. 2024, 284, 111257. [Google Scholar] [CrossRef]
- Fu, Y.; Liu, D.; Chen, J.; He, L. Secretary bird optimization algorithm: A new metaheuristic for solving global optimization problems. Artif. Intell. Rev. 2024, 57, 123. [Google Scholar] [CrossRef]
- Rao, R.V.; Savsani, V.J.; Vakharia, D.P. Teaching-learning-based optimization: A novel method for constrained mechanical design optimization problems. Comput.-Aided Des. 2011, 43, 303–315. [Google Scholar] [CrossRef]
- Das, B.; Mukherjee, V.; Das, D. Student psychology based optimization algorithm: A new population based optimization algorithm for solving optimization problems. Adv. Eng. Softw. 2020, 146, 102804. [Google Scholar] [CrossRef]
- Moosavi, S.H.S.; Bardsiri, V.K. Poor and rich optimization algorithm: A new human-based and multi populations algorithm. Eng. Appl. Artif. Intell. 2019, 86, 165–181. [Google Scholar] [CrossRef]
- Mohamed, A.W.; Hadi, A.A.; Mohamed, A.K. Gaining-sharing knowledge based algorithm for solving optimization problems: A novel nature-inspired algorithm. Int. J. Mach. Learn. Cybern. 2020, 11, 1501–1529. [Google Scholar] [CrossRef]
- Zhu, D.; Wang, S.; Zhou, C.; Yan, S.; Xue, J. Human memory optimization algorithm: A memory-inspired optimizer for global optimization problems. Expert Syst. Appl. 2024, 237, 121597. [Google Scholar] [CrossRef]
- Mirjalili, S. SCA: A Sine Cosine Algorithm for solving optimization problems. Knowl.-Based Syst. 2016, 96, 120–133. [Google Scholar] [CrossRef]
- Bouchekara, H.R. Electrostatic discharge algorithm: A novel nature-inspired optimisation algorithm and its application to worst-case tolerance analysis of an EMC filter. IET Sci. Meas. Technol. 2019, 13, 491–499. [Google Scholar] [CrossRef]
- Hashim, F.A.; Hussain, K.; Houssein, E.H.; Mabrouk, M.S.; Al-Atabany, W. Archimedes optimization algorithm: A new metaheuristic algorithm for solving optimization problems. Appl. Intell. 2021, 51, 1531–1551. [Google Scholar] [CrossRef]
- Deng, L.; Liu, S. Snow ablation optimizer: A novel metaheuristic technique for numerical optimization and engineering design. Expert Syst. Appl. 2023, 225, 120069. [Google Scholar] [CrossRef]
- Hashim, F.A.; Mostafa, R.R.; Hussien, A.G.; Mirjalili, S.; Sallam, K.M. Fick’s Law Algorithm: A physical law-based algorithm for numerical optimization. Knowl.-Based Syst. 2023, 260, 110146. [Google Scholar] [CrossRef]
- Hu, G.; Gong, C.; Li, X.; Xu, Z. CGKOA: An enhanced Kepler optimization algorithm for multi-domain optimization problems. Comput. Methods Appl. Mech. Eng. 2024, 425, 116964. [Google Scholar] [CrossRef]
- Duan, Y.; Yu, X. A collaboration-based hybrid GWO-SCA optimizer for engineering optimization problems. Expert Syst. Appl. 2023, 213, 119017. [Google Scholar] [CrossRef]
- Wolpert, D.H.; Macready, W.G. No free lunch theorems for optimization. IEEE Trans. Evol. Comput. 1997, 1, 67–82. [Google Scholar] [CrossRef]
- Wang, X.; Snášel, V.; Mirjalili, S.; Pan, J.S.; Kong, L.; Shehadeh, H.A. Artificial Protozoa Optimizer (APO): A novel bio-inspired metaheuristic algorithm for engineering optimization. Knowl.-Based Syst. 2024, 295, 111737. [Google Scholar] [CrossRef]
- Zhao, W.; Zhang, Z.; Wang, L. Manta ray foraging optimization: An effective bio-inspired optimizer for engineering applications. Eng. Appl. Artif. Intell. 2020, 87, 103300. [Google Scholar] [CrossRef]
- Chakraborty, S.; Saha, A.K.; Ezugwu, A.E.; Chakraborty, R.; Saha, A. Horizontal crossover and co-operative hunting-based Whale Optimization Algorithm for feature selection. Knowl.-Based Syst. 2023, 282, 111108. [Google Scholar] [CrossRef]
- Li, S.; Chen, H.; Wang, M.; Heidari, A.A.; Mirjalili, S. Slime mould algorithm: A new method for stochastic optimization. Future Gener. Comput. Syst. 2020, 111, 300–323. [Google Scholar] [CrossRef]
- Abdollahzadeh, B.; Gharehchopogh, F.S.; Mirjalili, S. African vultures optimization algorithm: A new nature-inspired metaheuristic algorithm for global optimization problems. Comput. Ind. Eng. 2021, 158, 107408. [Google Scholar] [CrossRef]
- Wang, L.; Cao, Q.; Zhang, Z.; Mirjalili, S.; Zhao, W. Artificial rabbits optimization: A new bio-inspired meta-heuristic algorithm for solving engineering optimization problems. Eng. Appl. Artif. Intell. 2022, 114, 105082. [Google Scholar] [CrossRef]
- Gao, Y. PID-based search algorithm: A novel metaheuristic algorithm based on PID algorithm. Expert Syst. Appl. 2023, 232, 120886. [Google Scholar] [CrossRef]
- Mirjalili, S.; Gandomi, A.H.; Mirjalili, S.Z.; Saremi, S.; Faris, H.; Mirjalili, S.M. Salp Swarm Algorithm: A bio-inspired optimizer for engineering design problems. Adv. Eng. Softw. 2017, 114, 163–191. [Google Scholar] [CrossRef]
- Xia, X.; Gui, L.; He, G.; Wei, B.; Zhang, Y.; Yu, F.; Wu, H.; Zhan, Z.H. An expanded particle swarm optimization based on multi-exemplar and forgetting ability. Inf. Sci. Int. J. 2020, 508, 105–120. [Google Scholar] [CrossRef]
- Xu, S.; Xiong, G.; Mohamed, A.W.; Bouchekara, H.R. Bouchekara, Forgetting velocity based improved comprehensive learning particle swarm optimization for non-convex economic dispatch problems with valve-point effects and multi-fuel options. Energy 2022, 256, 124511. [Google Scholar] [CrossRef]
- Tanweer, M.R.; Suresh, S.; Sundararajan, N. Self regulating particle swarm optimization algorithm. Inf. Sci. 2015, 294, 182–202. [Google Scholar] [CrossRef]
- Awad, N.H.; Ali, M.Z.; Suganthan, P.N. Ensemble sinusoidal differential covariance matrix adaptation with Euclidean neighborhood for solving CEC2017 benchmark problems. In Proceedings of the 2017 IEEE Congress on Evolutionary Computation, CEC, IEEE, San Sebastián, Spain, 5–8 June 2017. [Google Scholar] [CrossRef]
- Mohamed, A.W.; Hadi, A.A.; Fattouh, A.M.; Jambi, K.M. LSHADE with semi-parameter adaptation hybrid with CMA-ES for solving CEC 2017 benchmark problems. In Proceedings of the 2017 IEEE Congress on Evolutionary Computation, CEC, IEEE, San Sebastián, Spain, 5–8 June 2017. [Google Scholar] [CrossRef]
- Kumar, A.; Wu, G.; Ali, M.Z.; Mallipeddi, R.; Suganthan, P.N.; Das, S. A test-suite of non-convex constrained optimization problems from the real-world and some baseline results. Swarm Evol. Comput. 2020, 56, 100693. [Google Scholar] [CrossRef]
- Hu, G.; Song, K.; Abdel-salam, M. Sub-population evolutionary particle swarm optimization with dynamic fitness-distance balance and elite reverse learning for engineering design problems. Adv. Eng. Softw. 2025, 202, 103866. [Google Scholar] [CrossRef]
- Wang, W.C.; Tian, W.C.; Xu, D.M.; Zang, H.F. Arctic puffin optimization: A bio-inspired metaheuristic algorithm for solving engineering design optimization. Adv. Eng. Softw. 2024, 195, 103694. [Google Scholar] [CrossRef]
- Kumar, N.; Mahato, S.K.; Bhunia, A.K. Design of an efficient hybridized CS-PSO algorithm and its applications for solving constrained and bound constrained structural engineering design problems. Results Control Optim. 2021, 5, 100064. [Google Scholar] [CrossRef]























| F | MSAPO | APO | APO1 | APO2 | APO3 | APO4 |
|---|---|---|---|---|---|---|
| F1 | 1.0010E+02 | 3.6670E+03 | 1.0020E+02 | 1.0010E+02 | 2.0805E+03 | 1.0122E+02 |
| F3 | 3.0000E+02 | 3.0315E+04 | 3.0000E+02 | 3.0000E+02 | 4.5763E+03 | 3.2184E+02 |
| F4 | 4.2279E+02 | 5.0889E+02 | 4.3407E+02 | 4.2423E+02 | 5.0893E+02 | 4.6988E+02 |
| F5 | 5.3671E+02 | 5.3046E+02 | 5.3234E+02 | 5.3064E+02 | 5.2552E+02 | 5.4438E+02 |
| F6 | 6.0000E+02 | 6.0000E+02 | 6.0000E+02 | 6.0000E+02 | 6.0000E+02 | 6.0000E+02 |
| F7 | 7.6139E+02 | 7.5792E+02 | 7.5876E+02 | 7.6566E+02 | 7.5809E+02 | 7.6975E+02 |
| F8 | 8.3273E+02 | 8.2728E+02 | 8.3413E+02 | 8.3562E+02 | 8.2829E+02 | 8.4597E+02 |
| F9 | 9.0001E+02 | 9.0060E+02 | 9.0004E+02 | 9.0005E+02 | 9.0002E+02 | 9.0086E+02 |
| F10 | 3.4372E+03 | 3.8150E+03 | 3.3170E+03 | 3.2895E+03 | 3.7963E+03 | 3.3472E+03 |
| F11 | 1.1439E+03 | 1.1829E+03 | 1.1351E+03 | 1.1372E+03 | 1.1559E+03 | 1.1363E+03 |
| F12 | 1.5912E+04 | 4.8696E+05 | 1.1148E+04 | 1.2251E+04 | 3.1425E+05 | 2.7184E+04 |
| F13 | 4.1810E+03 | 1.0161E+04 | 1.5974E+03 | 1.5640E+03 | 1.2586E+04 | 1.8285E+03 |
| F14 | 1.4485E+03 | 1.4410E+03 | 1.4459E+03 | 1.4415E+03 | 1.4383E+03 | 1.4470E+03 |
| F15 | 1.5498E+03 | 1.5726E+03 | 1.5453E+03 | 1.5388E+03 | 1.5843E+03 | 1.5498E+03 |
| F16 | 1.6966E+03 | 1.9763E+03 | 1.7532E+03 | 1.7935E+03 | 1.8927E+03 | 1.8121E+03 |
| F17 | 1.7475E+03 | 1.7624E+03 | 1.7480E+03 | 1.7502E+03 | 1.7536E+03 | 1.7521E+03 |
| F18 | 2.3738E+03 | 2.9820E+04 | 2.0872E+03 | 2.1971E+03 | 1.7743E+04 | 2.2266E+03 |
| F19 | 1.9281E+03 | 1.9763E+03 | 1.9281E+03 | 1.9314E+03 | 2.7031E+03 | 1.9329E+03 |
| F20 | 2.0782E+03 | 2.0780E+03 | 2.0622E+03 | 2.0786E+03 | 2.1098E+03 | 2.0933E+03 |
| F21 | 2.3342E+03 | 2.3277E+03 | 2.3293E+03 | 2.3268E+03 | 2.3220E+03 | 2.3287E+03 |
| F22 | 2.3000E+03 | 2.3005E+03 | 2.3000E+03 | 2.3000E+03 | 2.3000E+03 | 2.3002E+03 |
| F23 | 2.6861E+03 | 2.6750E+03 | 2.6845E+03 | 2.6806E+03 | 2.6715E+03 | 2.6811E+03 |
| F24 | 2.8520E+03 | 2.8461E+03 | 2.8546E+03 | 2.8550E+03 | 2.8404E+03 | 2.8545E+03 |
| F25 | 2.8868E+03 | 2.8878E+03 | 2.8865E+03 | 2.8864E+03 | 2.8868E+03 | 2.8887E+03 |
| F26 | 3.9985E+03 | 3.8484E+03 | 3.9364E+03 | 3.9543E+03 | 3.7921E+03 | 3.9921E+03 |
| F27 | 3.2032E+03 | 3.2086E+03 | 3.2071E+03 | 3.2052E+03 | 3.2048E+03 | 3.2091E+03 |
| F28 | 3.1103E+03 | 3.2287E+03 | 3.1517E+03 | 3.1103E+03 | 3.2041E+03 | 3.1527E+03 |
| F29 | 3.3649E+03 | 3.4187E+03 | 3.3781E+03 | 3.3833E+03 | 3.3949E+03 | 3.3776E+03 |
| F30 | 5.2553E+03 | 8.7990E+03 | 5.7758E+03 | 5.4629E+03 | 7.7271E+03 | 5.7277E+03 |
| Rank | 1 | 6 | 2 | 3 | 4 | 5 |
| Algorithm | Parameter | Value |
|---|---|---|
| MSAPO (Proposed) | neighbor pairs () | 1 |
| proportion fraction maximum | 0.1 | |
| Chaotic parameter () | 0.1 | |
| APO | neighbor pairs () | 1 |
| proportion fraction maximum | 0.1 | |
| SMA | Controlling parameter () | 0.03 |
| AVOA | Controlling parameters () | 0.6, 0.4, 0.6, 0.8, 0.2, 2.5 |
| SO | Threshold value | 0.25 |
| ARO | / | / |
| NOA | Controlling parameters () | 0.2, 0.2, 0.05 |
| PSA | Controlling parameters () | 1, 1, 0.5, 1,2 |
| GWO | Convergence constant | Decreases Linearly from 2 to 0 |
| WOA | Convergence constant | Decreases Linearly from 2 to 0 |
| Spiral factor | 1 | |
| SSA | Decreases from 2 to 0 | |
| XPSO | acceleration constants () | [1.0 0.5 0.5] |
| weight of the search space | 0.1 | |
| FVICLPSO | Controlling parameters () | 0.3, 0 |
| SRPSO | Controlling parameters () | 0.5, 1.05, 1.49445, 1.49445 |
| LSHADE_cnEpSin | change freq | 0.5 |
| Controlling parameters () | 0.4, 0.5 | |
| LSHADE_SPACMA | 0.8 | |
| Controlling parameter | 10−8 |
| F | Index | MSAPO | APO | SMA | AVOA | SO | ARO | NOA | PSA | GWO | WOA | SSA | XPSO | FVICLPSO | SRPSO |
|---|---|---|---|---|---|---|---|---|---|---|---|---|---|---|---|
| F1 | MR | 1.0000 | 9.3667 | 5.2333 | 6.4333 | 10.0000 | 13.5333 | 7.2333 | 3.4667 | 11.4000 | 11.2667 | 2.0000 | 3.5667 | 13.4333 | 7.0667 |
| Rank | 1 | 9 | 5 | 6 | 10 | 14 | 8 | 3 | 12 | 11 | 2 | 4 | 13 | 7 | |
| F2 | MR | 3.2333 | 7.8333 | 5.9333 | 8.2667 | 5.7000 | 10.4667 | 5.6333 | 6.0667 | 10.7667 | 12.3333 | 7.2667 | 10.8000 | 5.4667 | 5.2333 |
| Rank | 1 | 9 | 6 | 10 | 5 | 11 | 4 | 7 | 12 | 14 | 8 | 13 | 3 | 2 | |
| F3 | MR | 1.0000 | 2.0667 | 8.5000 | 12.6000 | 7.0333 | 10.2000 | 5.2000 | 9.3667 | 9.8667 | 13.9333 | 12.4333 | 5.8000 | 2.9333 | 4.0667 |
| Rank | 1 | 2 | 8 | 13 | 7 | 11 | 5 | 9 | 10 | 14 | 12 | 6 | 3 | 4 | |
| F4 | MR | 2.7667 | 1.1000 | 9.5667 | 10.4333 | 3.8667 | 12.4667 | 6.6000 | 9.0667 | 6.4667 | 12.5333 | 9.5667 | 3.7667 | 12.0667 | 4.7333 |
| Rank | 2 | 1 | 9 | 11 | 4 | 13 | 7 | 8 | 6 | 14 | 10 | 3 | 12 | 5 | |
| F5 | MR | 1.0000 | 3.4000 | 8.6000 | 11.5333 | 3.9333 | 13.3333 | 2.5333 | 9.3333 | 7.7000 | 12.9333 | 8.9000 | 4.6667 | 11.6667 | 5.4667 |
| Rank | 1 | 3 | 8 | 11 | 4 | 14 | 2 | 10 | 7 | 13 | 9 | 5 | 12 | 6 | |
| F6 | MR | 1.3667 | 4.1333 | 11.7667 | 7.1000 | 7.1667 | 8.9667 | 2.9333 | 6.5333 | 10.5667 | 10.8000 | 9.3000 | 6.4667 | 11.8333 | 6.0667 |
| Rank | 1 | 3 | 13 | 7 | 8 | 9 | 2 | 6 | 11 | 12 | 10 | 5 | 14 | 4 | |
| F7 | MR | 1.7000 | 2.4000 | 6.9000 | 12.2000 | 6.0333 | 11.7333 | 6.1000 | 9.3000 | 8.2333 | 13.4000 | 11.4333 | 4.6000 | 5.0333 | 5.9333 |
| Rank | 1 | 2 | 8 | 13 | 6 | 12 | 7 | 10 | 9 | 14 | 11 | 3 | 4 | 5 | |
| F8 | MR | 1.5333 | 3.2333 | 6.4333 | 10.8000 | 5.9000 | 10.6000 | 7.3667 | 5.6000 | 9.8667 | 12.4000 | 11.3333 | 5.0000 | 6.5333 | 8.4000 |
| Rank | 1 | 2 | 6 | 12 | 5 | 11 | 8 | 4 | 10 | 14 | 13 | 3 | 7 | 9 | |
| F9 | MR | 1.0000 | 3.3667 | 8.2333 | 8.7667 | 5.3667 | 12.2333 | 5.4000 | 2.1000 | 12.5000 | 13.3000 | 10.4333 | 11.3667 | 6.6667 | 4.2667 |
| Rank | 1 | 3 | 8 | 9 | 5 | 12 | 6 | 2 | 13 | 14 | 10 | 11 | 7 | 4 | |
| F10 | MR | 2.9667 | 4.7333 | 10.1000 | 10.1000 | 4.1667 | 10.5333 | 5.6667 | 9.4333 | 9.8667 | 12.3000 | 9.1667 | 6.9667 | 1.5667 | 7.4333 |
| Rank | 2 | 4 | 11 | 12 | 3 | 13 | 5 | 9 | 10 | 14 | 8 | 6 | 1 | 7 | |
| F11 | MR | 1.6333 | 4.6000 | 10.2000 | 6.5000 | 7.2000 | 10.6333 | 7.3667 | 4.4333 | 13.6667 | 11.4000 | 8.5667 | 5.0667 | 9.0000 | 4.7333 |
| Rank | 1 | 3 | 11 | 6 | 7 | 12 | 8 | 2 | 14 | 13 | 9 | 5 | 10 | 4 | |
| F12 | MR | 1.8000 | 2.3667 | 5.1000 | 9.4000 | 8.8667 | 12.7000 | 2.8667 | 9.9667 | 7.9333 | 13.0000 | 8.3000 | 11.5000 | 4.9000 | 6.3000 |
| Rank | 1 | 2 | 5 | 10 | 9 | 13 | 3 | 11 | 7 | 14 | 8 | 12 | 4 | 6 | |
| +/=/− | compared | 10/1/1 | 11/1/0 | 12/0/0 | 10/2/0 | 12/0/0 | 12/0/0 | 12/0/0 | 12/0/0 | 12/0/0 | 12/0/0 | 12/0/0 | 10/1/1 | 12/0/0 | |
| Average MR | 1.7500 | 4.0500 | 8.0472 | 9.5111 | 6.2694 | 11.4500 | 5.4083 | 7.0556 | 9.9028 | 12.4667 | 9.0583 | 6.6306 | 7.5917 | 5.8083 | |
| Total Rank | 1 | 2 | 9 | 11 | 5 | 13 | 3 | 7 | 12 | 14 | 10 | 6 | 8 | 4 | |
| F | Index | MSAPO | APO | SMA | AVOA | SO | ARO | NOA | PSA | GWO | WOA | SSA | XPSO | FVICLPSO | SRPSO | LSHADE_ cnEpSin | LSHADE_ SPACMA |
|---|---|---|---|---|---|---|---|---|---|---|---|---|---|---|---|---|---|
| F1 | MR | 2.8333 | 6.9000 | 10.2667 | 7.8333 | 10.2000 | 14.4333 | 7.9667 | 7.7667 | 15.9000 | 14.6667 | 7.7333 | 7.6333 | 9.6333 | 9.0667 | 2.1667 | 1.0000 |
| Rank | 3 | 4 | 13 | 8 | 12 | 14 | 9 | 7 | 16 | 15 | 6 | 5 | 11 | 10 | 2 | 1 | |
| F3 | MR | 1.8000 | 11.0333 | 3.8333 | 8.5000 | 12.6000 | 14.5667 | 6.6000 | 5.5333 | 11.7667 | 15.5000 | 6.4667 | 7.1333 | 14.6000 | 9.6000 | 2.8000 | 3.6667 |
| Rank | 1 | 11 | 4 | 9 | 13 | 14 | 7 | 5 | 12 | 16 | 6 | 8 | 15 | 10 | 2 | 3 | |
| F4 | MR | 1.4333 | 9.3000 | 7.1667 | 9.3667 | 6.8000 | 13.8667 | 6.3000 | 6.9000 | 13.2000 | 15.4000 | 9.6667 | 12.4000 | 9.7000 | 8.5000 | 3.7333 | 2.2667 |
| Rank | 1 | 9 | 7 | 10 | 5 | 15 | 4 | 6 | 14 | 16 | 11 | 13 | 12 | 8 | 3 | 2 | |
| F5 | MR | 3.9000 | 3.3000 | 10.0333 | 14.3667 | 4.5000 | 13.5333 | 10.1667 | 10.4667 | 9.1333 | 15.8333 | 12.1667 | 5.6667 | 12.0000 | 6.3000 | 2.6000 | 2.0333 |
| Rank | 4 | 3 | 9 | 15 | 5 | 14 | 10 | 11 | 8 | 16 | 13 | 6 | 12 | 7 | 2 | 1 | |
| F6 | MR | 1.0000 | 2.3667 | 10.2333 | 14.5667 | 8.6333 | 12.5000 | 6.6000 | 12.1000 | 11.2667 | 15.9667 | 14.3667 | 7.8667 | 5.4333 | 5.8333 | 4.1000 | 3.1667 |
| Rank | 1 | 2 | 10 | 15 | 9 | 13 | 7 | 12 | 11 | 16 | 14 | 8 | 5 | 6 | 4 | 3 | |
| F7 | MR | 3.3667 | 3.4000 | 8.5667 | 15.2667 | 6.7000 | 13.6667 | 9.8333 | 12.1000 | 10.2000 | 15.6667 | 10.3667 | 5.4667 | 11.4333 | 6.1333 | 2.7333 | 1.1000 |
| Rank | 3 | 4 | 8 | 15 | 7 | 14 | 9 | 13 | 10 | 16 | 11 | 5 | 12 | 6 | 2 | 1 | |
| F8 | MR | 5.2000 | 2.8667 | 9.8667 | 13.8000 | 4.2333 | 14.1333 | 9.8000 | 10.7667 | 8.6667 | 15.5000 | 12.2000 | 6.0000 | 13.0333 | 5.5667 | 2.5667 | 1.8000 |
| Rank | 5 | 3 | 10 | 14 | 4 | 15 | 9 | 11 | 8 | 16 | 12 | 7 | 13 | 6 | 2 | 1 | |
| F9 | MR | 1.6000 | 3.7667 | 11.0333 | 13.9000 | 5.7000 | 13.6333 | 3.3667 | 11.3333 | 9.2333 | 15.7000 | 12.9333 | 6.9333 | 12.2333 | 6.8333 | 4.4333 | 3.3667 |
| Rank | 1 | 4 | 10 | 15 | 6 | 14 | 2 | 11 | 9 | 16 | 13 | 8 | 12 | 7 | 5 | 3 | |
| F10 | MR | 3.9667 | 5.5667 | 7.4667 | 12.8000 | 9.8667 | 9.0000 | 13.9000 | 9.2000 | 7.8667 | 15.1333 | 9.4667 | 6.0667 | 13.1000 | 6.6333 | 3.1000 | 2.8667 |
| Rank | 3 | 4 | 7 | 13 | 12 | 9 | 15 | 10 | 8 | 16 | 11 | 5 | 14 | 6 | 2 | 1 | |
| F11 | MR | 2.0000 | 4.8667 | 8.7000 | 9.0000 | 5.9000 | 15.8000 | 6.0000 | 9.3000 | 13.3333 | 15.0667 | 11.3333 | 7.4000 | 13.4667 | 7.0667 | 3.3000 | 3.4667 |
| Rank | 1 | 4 | 9 | 10 | 5 | 16 | 6 | 11 | 13 | 15 | 12 | 8 | 14 | 7 | 2 | 3 | |
| F12 | MR | 2.5667 | 7.8000 | 10.4000 | 11.0333 | 6.3667 | 12.3333 | 4.4000 | 7.0667 | 14.4000 | 15.8667 | 12.9333 | 6.0667 | 13.5333 | 7.7000 | 2.0667 | 1.4667 |
| Rank | 3 | 9 | 10 | 11 | 6 | 12 | 4 | 7 | 15 | 16 | 13 | 5 | 14 | 8 | 2 | 1 | |
| F13 | MR | 2.1667 | 6.6667 | 9.3667 | 12.1000 | 7.7333 | 11.2333 | 5.0333 | 7.0667 | 13.8667 | 15.0333 | 13.9667 | 6.6000 | 12.5333 | 7.5667 | 2.6667 | 2.4000 |
| Rank | 1 | 6 | 10 | 12 | 9 | 11 | 4 | 7 | 14 | 16 | 15 | 5 | 13 | 8 | 3 | 2 | |
| F14 | MR | 2.2333 | 1.4333 | 11.6000 | 11.4333 | 8.9000 | 15.1333 | 3.9333 | 8.9000 | 11.2667 | 15.3667 | 9.4333 | 8.0667 | 12.5667 | 8.3333 | 4.0000 | 3.4000 |
| Rank | 2 | 1 | 13 | 12 | 8 | 15 | 4 | 9 | 11 | 16 | 10 | 6 | 14 | 7 | 5 | 3 | |
| F15 | MR | 1.1667 | 2.5667 | 11.1667 | 11.6000 | 9.0333 | 11.2000 | 4.6333 | 8.2000 | 14.3333 | 15.2667 | 14.3667 | 8.0667 | 8.1333 | 8.7000 | 3.9667 | 3.6000 |
| Rank | 1 | 2 | 11 | 13 | 10 | 12 | 5 | 8 | 14 | 16 | 15 | 6 | 7 | 9 | 4 | 3 | |
| F16 | MR | 1.7667 | 2.7667 | 8.6667 | 13.1000 | 6.3667 | 14.1667 | 7.9000 | 12.2000 | 9.5667 | 15.5667 | 12.1000 | 7.4000 | 8.8333 | 6.2333 | 3.7000 | 5.6667 |
| Rank | 1 | 2 | 9 | 14 | 6 | 15 | 8 | 13 | 11 | 16 | 12 | 7 | 10 | 5 | 3 | 4 | |
| F17 | MR | 1.3333 | 2.4667 | 12.2000 | 13.1667 | 8.2333 | 14.7667 | 5.8000 | 12.1667 | 10.0000 | 14.9333 | 11.6000 | 7.0000 | 7.2000 | 7.4000 | 3.5667 | 4.1667 |
| Rank | 1 | 2 | 13 | 14 | 9 | 15 | 5 | 12 | 10 | 16 | 11 | 6 | 7 | 8 | 3 | 4 | |
| F18 | MR | 2.6667 | 5.0667 | 12.0333 | 12.0000 | 9.5000 | 14.6333 | 3.7333 | 7.8667 | 11.4667 | 14.2333 | 10.2667 | 7.6333 | 11.1000 | 10.2000 | 1.7333 | 1.8667 |
| Rank | 3 | 5 | 14 | 13 | 8 | 16 | 4 | 7 | 12 | 15 | 10 | 6 | 11 | 9 | 1 | 2 | |
| F19 | MR | 1.5667 | 2.7333 | 11.7667 | 10.1333 | 8.7000 | 11.2000 | 3.8000 | 9.1667 | 13.9333 | 15.7333 | 14.7000 | 9.0333 | 7.1000 | 9.0667 | 3.5000 | 3.8667 |
| Rank | 1 | 2 | 13 | 11 | 7 | 12 | 4 | 10 | 14 | 16 | 15 | 8 | 6 | 9 | 3 | 5 | |
| F20 | MR | 2.1000 | 2.6000 | 11.5000 | 14.2667 | 6.7000 | 14.2667 | 6.1667 | 11.3000 | 10.5000 | 14.6000 | 12.1667 | 7.0667 | 7.1000 | 6.5333 | 3.8000 | 5.3333 |
| Rank | 1 | 2 | 12 | 14 | 7 | 15 | 5 | 11 | 10 | 16 | 13 | 8 | 9 | 6 | 3 | 4 | |
| F21 | MR | 3.0667 | 2.5667 | 10.7000 | 14.3000 | 4.7667 | 13.5667 | 9.3667 | 10.7333 | 9.2000 | 15.8667 | 12.0000 | 6.1000 | 11.0667 | 6.4667 | 2.8000 | 3.4333 |
| Rank | 3 | 1 | 10 | 15 | 5 | 14 | 9 | 11 | 8 | 16 | 13 | 6 | 12 | 7 | 2 | 4 | |
| F22 | MR | 2.6667 | 7.4667 | 12.9667 | 12.9000 | 11.2333 | 12.8667 | 6.6000 | 10.1333 | 11.5667 | 13.7667 | 8.9000 | 4.6833 | 10.2333 | 6.4333 | 2.5667 | 1.0167 |
| Rank | 3 | 7 | 15 | 14 | 11 | 13 | 6 | 9 | 12 | 16 | 8 | 4 | 10 | 5 | 2 | 1 | |
| F23 | MR | 4.1000 | 2.2667 | 10.1000 | 14.5667 | 5.6667 | 14.0333 | 8.9333 | 11.5667 | 9.8667 | 15.6667 | 11.1667 | 6.1000 | 11.4667 | 5.7667 | 2.2667 | 2.4667 |
| Rank | 4 | 1 | 10 | 15 | 5 | 14 | 8 | 13 | 9 | 16 | 11 | 7 | 12 | 6 | 2 | 3 | |
| F24 | MR | 4.1000 | 2.4333 | 10.2667 | 14.5667 | 5.7000 | 15.5333 | 9.0000 | 11.2667 | 9.3667 | 14.8000 | 9.5333 | 6.1667 | 12.8000 | 5.3000 | 2.7667 | 2.4000 |
| Rank | 4 | 2 | 11 | 14 | 6 | 16 | 8 | 12 | 9 | 15 | 10 | 7 | 13 | 5 | 3 | 1 | |
| F25 | MR | 4.0000 | 6.1333 | 6.8667 | 8.2667 | 7.1333 | 14.4000 | 3.5333 | 9.5000 | 14.3667 | 15.4667 | 10.4000 | 11.0333 | 11.5667 | 5.6000 | 4.0000 | 3.7333 |
| Rank | 3 | 6 | 7 | 9 | 8 | 15 | 1 | 10 | 14 | 16 | 11 | 12 | 13 | 5 | 4 | 2 | |
| F26 | MR | 5.6333 | 5.4333 | 11.0000 | 13.6333 | 8.5333 | 14.4667 | 5.7000 | 10.7000 | 9.8667 | 15.3000 | 8.6333 | 4.1667 | 8.5000 | 6.2667 | 3.9333 | 4.2333 |
| Rank | 5 | 4 | 13 | 14 | 9 | 15 | 6 | 12 | 11 | 16 | 10 | 2 | 8 | 7 | 1 | 3 | |
| F27 | MR | 2.8667 | 2.4333 | 6.1000 | 12.9667 | 10.6333 | 14.1667 | 7.6000 | 11.4333 | 9.9667 | 15.4667 | 10.2000 | 12.0333 | 7.0000 | 5.0333 | 4.0667 | 4.0333 |
| Rank | 2 | 1 | 6 | 14 | 11 | 15 | 8 | 12 | 9 | 16 | 10 | 13 | 7 | 5 | 4 | 3 | |
| F28 | MR | 2.1333 | 8.8667 | 9.5000 | 8.6667 | 9.9000 | 15.0000 | 4.4667 | 6.8667 | 14.7667 | 14.9000 | 9.7667 | 4.3667 | 12.9000 | 5.9667 | 5.4667 | 2.4667 |
| Rank | 1 | 9 | 10 | 8 | 12 | 16 | 4 | 7 | 14 | 15 | 11 | 3 | 13 | 6 | 5 | 2 | |
| F29 | MR | 1.4667 | 3.1667 | 11.2667 | 13.4333 | 8.1000 | 13.3000 | 9.0667 | 10.7667 | 9.6667 | 15.9000 | 13.2000 | 6.7667 | 8.2667 | 4.7667 | 3.3000 | 3.5667 |
| Rank | 1 | 2 | 12 | 15 | 7 | 14 | 9 | 11 | 10 | 16 | 13 | 6 | 8 | 5 | 3 | 4 | |
| F30 | MR | 2.0333 | 5.2000 | 8.6667 | 12.1333 | 5.8333 | 10.9000 | 9.6333 | 4.9000 | 15.0000 | 15.7333 | 14.2667 | 8.7333 | 11.9667 | 6.8667 | 2.2000 | 1.9333 |
| Rank | 2 | 5 | 8 | 13 | 6 | 11 | 10 | 4 | 15 | 16 | 14 | 9 | 12 | 7 | 3 | 1 | |
| Average MR | 2.6460 | 4.6011 | 9.7690 | 12.1954 | 7.7299 | 13.5276 | 6.8908 | 9.5609 | 11.5011 | 15.3069 | 11.2517 | 7.2293 | 10.6379 | 6.9563 | 3.2379 | 2.9580 | |
| Total Rank | 1 | 4 | 10 | 14 | 8 | 15 | 5 | 9 | 13 | 16 | 12 | 7 | 11 | 6 | 3 | 2 | |
| F | Index | MSAPO | APO | SMA | AVOA | SO | ARO | NOA | PSA | GWO | WOA | SSA | XPSO | FVICLPSO | SRPSO | LSHADE_ cnEpSin | LSHADE_ SPACMA |
|---|---|---|---|---|---|---|---|---|---|---|---|---|---|---|---|---|---|
| F1 | MR | 2.6000 | 10.0667 | 10.8000 | 5.6333 | 11.9333 | 15.8000 | 8.5667 | 5.3000 | 15.1667 | 14.0333 | 4.9000 | 5.1000 | 13.0000 | 6.0667 | 4.7333 | 2.3000 |
| Rank | 2 | 10 | 11 | 7 | 12 | 16 | 9 | 6 | 15 | 14 | 4 | 5 | 13 | 8 | 3 | 1 | |
| F3 | MR | 1.2000 | 12.0333 | 3.4333 | 7.6333 | 12.4333 | 15.5000 | 5.5333 | 6.3333 | 10.2000 | 13.9000 | 7.1333 | 8.3333 | 15.2667 | 9.7333 | 2.8000 | 4.5333 |
| Rank | 1 | 12 | 3 | 8 | 13 | 16 | 5 | 6 | 11 | 14 | 7 | 9 | 15 | 10 | 2 | 4 | |
| F4 | MR | 2.3333 | 8.5667 | 7.6667 | 7.3333 | 6.9000 | 15.6000 | 5.7333 | 4.6333 | 14.0667 | 15.0000 | 8.7333 | 11.5667 | 13.1667 | 6.8667 | 4.4667 | 3.3667 |
| Rank | 1 | 10 | 9 | 8 | 7 | 16 | 5 | 4 | 14 | 15 | 11 | 12 | 13 | 6 | 3 | 2 | |
| F5 | MR | 3.9333 | 5.7000 | 9.5333 | 12.6000 | 2.4667 | 14.3333 | 11.4333 | 9.9333 | 8.7667 | 15.8000 | 11.1333 | 4.8333 | 14.4667 | 5.6333 | 3.6667 | 1.7667 |
| Rank | 4 | 7 | 9 | 13 | 2 | 14 | 12 | 10 | 8 | 16 | 11 | 5 | 15 | 6 | 3 | 1 | |
| F6 | MR | 1.0000 | 2.0667 | 11.3000 | 14.4333 | 6.3667 | 12.1667 | 6.5000 | 11.9667 | 10.6000 | 16.0000 | 14.5333 | 7.9333 | 6.8333 | 5.3333 | 5.5667 | 3.4000 |
| Rank | 1 | 2 | 11 | 14 | 6 | 13 | 7 | 12 | 10 | 16 | 15 | 9 | 8 | 4 | 5 | 3 | |
| F7 | MR | 2.7667 | 4.6667 | 8.5000 | 14.8333 | 5.7333 | 14.0333 | 9.7667 | 12.1000 | 9.0333 | 15.8333 | 10.3667 | 4.1333 | 12.1333 | 7.6667 | 3.2333 | 1.2000 |
| Rank | 2 | 5 | 8 | 15 | 6 | 14 | 10 | 12 | 9 | 16 | 11 | 4 | 13 | 7 | 3 | 1 | |
| F8 | MR | 4.4000 | 5.3000 | 9.3000 | 13.0667 | 2.6333 | 13.8333 | 11.2667 | 10.1000 | 8.5000 | 15.4000 | 11.8000 | 5.0333 | 14.5667 | 5.7333 | 3.1667 | 1.9000 |
| Rank | 4 | 6 | 9 | 13 | 2 | 14 | 11 | 10 | 8 | 16 | 12 | 5 | 15 | 7 | 3 | 1 | |
| F9 | MR | 1.6667 | 2.7333 | 11.4667 | 12.3333 | 6.4000 | 13.6000 | 7.1333 | 10.9000 | 9.1667 | 15.7000 | 11.7333 | 5.6000 | 15.0667 | 4.3333 | 4.6667 | 3.5000 |
| Rank | 1 | 2 | 11 | 13 | 7 | 14 | 8 | 10 | 9 | 16 | 12 | 6 | 15 | 4 | 5 | 3 | |
| F10 | MR | 3.0667 | 8.3000 | 5.6667 | 10.3667 | 14.2333 | 6.9333 | 13.8000 | 5.5667 | 7.3333 | 13.7667 | 9.7333 | 4.7333 | 14.9333 | 5.9667 | 5.7667 | 5.8333 |
| Rank | 1 | 10 | 4 | 12 | 15 | 8 | 14 | 3 | 9 | 13 | 11 | 2 | 16 | 7 | 5 | 6 | |
| F11 | MR | 1.1667 | 4.0667 | 8.6333 | 7.2333 | 9.7000 | 15.5667 | 7.0667 | 7.9333 | 14.4667 | 13.4000 | 11.2667 | 7.2000 | 14.5667 | 3.8667 | 5.3667 | 4.5000 |
| Rank | 1 | 3 | 10 | 8 | 11 | 16 | 6 | 9 | 14 | 13 | 12 | 7 | 15 | 2 | 5 | 4 | |
| F12 | MR | 2.1333 | 7.2667 | 9.7333 | 10.3667 | 7.8667 | 14.3667 | 5.2000 | 6.7333 | 14.2667 | 15.1667 | 12.1667 | 5.7667 | 14.0000 | 6.9333 | 2.3000 | 1.7333 |
| Rank | 2 | 8 | 10 | 11 | 9 | 15 | 4 | 6 | 14 | 16 | 12 | 5 | 13 | 7 | 3 | 1 | |
| F13 | MR | 2.2333 | 3.7000 | 9.8667 | 11.3000 | 7.9000 | 13.6000 | 8.2333 | 5.0667 | 15.6000 | 14.4000 | 11.7000 | 5.3000 | 14.3667 | 4.5667 | 4.5000 | 3.6667 |
| Rank | 1 | 3 | 10 | 11 | 8 | 13 | 9 | 6 | 16 | 15 | 12 | 7 | 14 | 5 | 4 | 2 | |
| F14 | MR | 2.5333 | 5.2000 | 10.7333 | 11.0333 | 8.4667 | 15.7667 | 3.6000 | 8.1667 | 12.4000 | 14.4667 | 10.0000 | 7.0000 | 14.0667 | 8.6000 | 1.7667 | 2.2000 |
| Rank | 3 | 5 | 11 | 12 | 8 | 16 | 4 | 7 | 13 | 15 | 10 | 6 | 14 | 9 | 1 | 2 | |
| F15 | MR | 6.2667 | 5.3000 | 10.9333 | 12.2333 | 7.7667 | 12.6333 | 4.8000 | 7.0333 | 15.1000 | 15.0667 | 13.4333 | 4.9000 | 10.7667 | 5.6333 | 2.1000 | 2.0333 |
| Rank | 7 | 5 | 11 | 12 | 9 | 13 | 3 | 8 | 16 | 15 | 14 | 4 | 10 | 6 | 2 | 1 | |
| F16 | MR | 2.5000 | 4.0333 | 10.3333 | 13.3333 | 9.0000 | 13.5333 | 7.5000 | 11.1667 | 7.7000 | 15.8667 | 11.1000 | 6.0000 | 11.5000 | 3.9667 | 3.0667 | 5.4000 |
| Rank | 1 | 4 | 10 | 14 | 9 | 15 | 7 | 12 | 8 | 16 | 11 | 6 | 13 | 3 | 2 | 5 | |
| F17 | MR | 1.3333 | 3.7000 | 10.4333 | 13.4667 | 7.0000 | 13.6333 | 6.4333 | 11.0667 | 8.3000 | 15.2667 | 11.9000 | 7.5000 | 10.2000 | 6.8000 | 2.9667 | 6.0000 |
| Rank | 1 | 3 | 11 | 14 | 7 | 15 | 5 | 12 | 9 | 16 | 13 | 8 | 10 | 6 | 2 | 4 | |
| F18 | MR | 2.6000 | 5.4333 | 10.7333 | 9.8333 | 10.0333 | 14.6333 | 3.9333 | 7.6667 | 12.2333 | 15.2667 | 9.9000 | 7.6333 | 13.2333 | 9.4000 | 1.7333 | 1.7333 |
| Rank | 3 | 5 | 12 | 9 | 11 | 15 | 4 | 7 | 13 | 16 | 10 | 6 | 14 | 8 | 1 | 2 | |
| F19 | MR | 1.6667 | 8.1000 | 7.1333 | 9.9333 | 8.8667 | 11.6667 | 4.3333 | 8.4333 | 14.2333 | 15.3000 | 15.3000 | 7.5333 | 11.2333 | 7.7333 | 2.6000 | 1.9333 |
| Rank | 1 | 8 | 5 | 11 | 10 | 13 | 4 | 9 | 14 | 15 | 16 | 6 | 12 | 7 | 3 | 2 | |
| F20 | MR | 2.1000 | 3.2000 | 10.3667 | 13.5667 | 10.2333 | 12.9667 | 6.3667 | 11.2333 | 9.3000 | 14.9000 | 12.0667 | 6.5000 | 8.0333 | 4.9667 | 3.7000 | 6.5000 |
| Rank | 1 | 2 | 11 | 15 | 10 | 14 | 5 | 12 | 9 | 16 | 13 | 6 | 8 | 4 | 3 | 7 | |
| F21 | MR | 2.0667 | 4.7000 | 9.4000 | 13.7667 | 2.9333 | 13.9667 | 10.5000 | 10.9000 | 8.9000 | 15.8000 | 10.7000 | 5.1333 | 13.9667 | 5.4000 | 3.7000 | 4.1667 |
| Rank | 1 | 5 | 9 | 13 | 2 | 14 | 10 | 12 | 8 | 16 | 11 | 6 | 15 | 7 | 3 | 4 | |
| F22 | MR | 1.1667 | 8.8333 | 6.9333 | 10.5667 | 13.1000 | 8.4333 | 12.2667 | 8.3667 | 6.7667 | 14.4667 | 9.1333 | 5.2667 | 14.0333 | 5.5333 | 6.2000 | 4.9333 |
| Rank | 1 | 10 | 7 | 12 | 14 | 9 | 13 | 8 | 6 | 16 | 11 | 3 | 15 | 4 | 5 | 2 | |
| F23 | MR | 1.9333 | 3.5000 | 9.4667 | 14.6333 | 4.9000 | 14.3667 | 10.5333 | 11.0333 | 9.2667 | 15.9667 | 9.9000 | 5.4000 | 12.7667 | 5.0000 | 3.3667 | 3.9667 |
| Rank | 1 | 3 | 9 | 15 | 5 | 14 | 11 | 12 | 8 | 16 | 10 | 7 | 13 | 6 | 2 | 4 | |
| F24 | MR | 1.5333 | 3.6000 | 9.4333 | 14.2333 | 7.1667 | 15.7667 | 10.3333 | 10.9333 | 8.7667 | 15.0000 | 9.0667 | 5.0000 | 12.9667 | 5.1333 | 3.3667 | 3.7000 |
| Rank | 1 | 3 | 10 | 14 | 7 | 16 | 11 | 12 | 8 | 15 | 9 | 5 | 13 | 6 | 2 | 4 | |
| F25 | MR | 6.7667 | 10.7000 | 4.8667 | 8.8000 | 6.0667 | 15.5667 | 7.5000 | 6.2333 | 14.4333 | 14.7667 | 5.5333 | 11.5667 | 13.1333 | 4.2667 | 2.0000 | 3.8000 |
| Rank | 8 | 11 | 4 | 10 | 6 | 16 | 9 | 7 | 14 | 15 | 5 | 12 | 13 | 3 | 1 | 2 | |
| F26 | MR | 3.1000 | 6.0333 | 8.0000 | 13.8000 | 6.9333 | 14.3667 | 9.5000 | 12.2000 | 9.7000 | 15.9667 | 5.6000 | 4.0333 | 12.8333 | 5.4000 | 4.4333 | 4.1000 |
| Rank | 1 | 7 | 9 | 14 | 8 | 15 | 10 | 12 | 11 | 16 | 6 | 2 | 13 | 5 | 4 | 3 | |
| F27 | MR | 2.1667 | 4.0000 | 7.1667 | 13.4000 | 9.3333 | 14.9333 | 9.9000 | 10.2333 | 10.1000 | 15.7667 | 9.6667 | 10.2000 | 8.7000 | 4.0000 | 4.1000 | 2.3333 |
| Rank | 1 | 3 | 6 | 14 | 8 | 15 | 10 | 13 | 11 | 16 | 9 | 12 | 7 | 4 | 5 | 2 | |
| F28 | MR | 3.2000 | 11.2333 | 5.7667 | 7.5333 | 9.3000 | 15.3667 | 8.4333 | 6.8333 | 14.3667 | 14.5000 | 5.5000 | 10.7333 | 13.7667 | 4.0333 | 2.6000 | 2.8333 |
| Rank | 3 | 12 | 6 | 8 | 10 | 16 | 9 | 7 | 14 | 15 | 5 | 11 | 13 | 4 | 1 | 2 | |
| F29 | MR | 1.6333 | 3.9000 | 9.8333 | 13.0333 | 4.9000 | 13.4667 | 9.2000 | 10.3667 | 10.1667 | 16.0000 | 13.9333 | 7.2667 | 10.3333 | 5.7333 | 3.5333 | 2.7000 |
| Rank | 1 | 4 | 9 | 13 | 5 | 14 | 8 | 12 | 10 | 16 | 15 | 7 | 11 | 6 | 3 | 2 | |
| F30 | MR | 1.7333 | 4.8333 | 8.0333 | 9.8333 | 5.8000 | 12.5000 | 11.9667 | 4.8000 | 14.6000 | 15.9333 | 14.4667 | 10.5333 | 10.0000 | 3.2667 | 3.8000 | 3.9000 |
| Rank | 1 | 6 | 8 | 9 | 7 | 13 | 12 | 5 | 15 | 16 | 14 | 11 | 10 | 2 | 3 | 4 | |
| Average MR | 2.5103 | 5.8885 | 8.8092 | 11.3839 | 7.8057 | 13.7552 | 8.1839 | 8.7322 | 11.1552 | 15.1276 | 10.4276 | 6.8184 | 12.5483 | 5.7782 | 3.6299 | 3.4460 | |
| Total Rank | 1 | 5 | 10 | 13 | 7 | 15 | 8 | 9 | 12 | 16 | 11 | 6 | 14 | 4 | 3 | 2 | |
| F | Index | MSAPO | APO | SMA | AVOA | SO | ARO | NOA | PSA | GWO | WOA | SSA | XPSO | FVICLPSO | SRPSO | LSHADE_ cnEpSin | LSHADE_ SPACMA |
|---|---|---|---|---|---|---|---|---|---|---|---|---|---|---|---|---|---|
| MR | 1.6667 | 12.0000 | 8.2333 | 5.8333 | 9.7667 | 16.0000 | 10.9667 | 6.8667 | 14.9667 | 14.0333 | 2.3667 | 2.3000 | 13.0000 | 8.8333 | 4.9333 | 4.2333 | |
| Rank | 1 | 12 | 8 | 6 | 10 | 16 | 11 | 7 | 15 | 14 | 3 | 2 | 13 | 9 | 5 | 4 | |
| MR | 1.0000 | 11.6667 | 3.8667 | 6.3000 | 9.4000 | 15.0667 | 4.2667 | 11.0667 | 7.1667 | 15.3000 | 7.6667 | 9.8667 | 14.4667 | 9.7000 | 3.4333 | 5.7667 | |
| Rank | 1 | 13 | 3 | 6 | 9 | 15 | 4 | 12 | 7 | 16 | 8 | 11 | 14 | 10 | 2 | 5 | |
| MR | 1.9000 | 10.7333 | 3.6667 | 9.2333 | 6.6000 | 16.0000 | 8.6000 | 7.1333 | 14.2667 | 14.7000 | 7.5333 | 11.4333 | 13.0333 | 4.7667 | 3.1000 | 3.3000 | |
| Rank | 1 | 11 | 4 | 10 | 6 | 16 | 9 | 7 | 14 | 15 | 8 | 12 | 13 | 5 | 2 | 3 | |
| MR | 2.0667 | 6.9333 | 9.2667 | 11.5667 | 3.4333 | 14.6000 | 12.5000 | 9.8000 | 8.5667 | 14.8333 | 11.2333 | 2.7000 | 15.4333 | 4.4667 | 5.1667 | 3.4333 | |
| Rank | 1 | 7 | 9 | 12 | 3 | 14 | 13 | 10 | 8 | 15 | 11 | 2 | 16 | 5 | 6 | 4 | |
| MR | 1.0000 | 2.7333 | 11.3000 | 14.3000 | 2.9333 | 12.2333 | 7.6333 | 12.0000 | 10.4667 | 16.0000 | 14.7000 | 7.0333 | 8.1000 | 6.1333 | 5.8000 | 3.6333 | |
| Rank | 1 | 2 | 11 | 14 | 3 | 13 | 8 | 12 | 10 | 16 | 15 | 7 | 9 | 6 | 5 | 4 | |
| MR | 1.5000 | 6.0333 | 8.1667 | 14.6000 | 4.1333 | 14.4333 | 9.0667 | 12.4000 | 10.0667 | 15.9667 | 10.7667 | 2.7000 | 12.0333 | 6.9000 | 4.9333 | 2.3000 | |
| Rank | 1 | 6 | 8 | 15 | 4 | 14 | 9 | 13 | 10 | 16 | 11 | 3 | 12 | 7 | 5 | 2 | |
| MR | 2.3333 | 6.9667 | 8.9333 | 12.5667 | 3.3333 | 14.6333 | 11.9333 | 10.2333 | 8.4000 | 15.5333 | 10.7667 | 2.5000 | 14.7000 | 4.7333 | 4.9000 | 3.5333 | |
| Rank | 1 | 7 | 9 | 13 | 3 | 14 | 12 | 10 | 8 | 16 | 11 | 2 | 15 | 5 | 6 | 4 | |
| MR | 1.2000 | 4.5667 | 11.5000 | 9.9333 | 3.7667 | 14.3333 | 8.4000 | 11.0333 | 10.4333 | 14.5667 | 11.0667 | 3.7333 | 16.0000 | 6.3333 | 5.6000 | 3.5333 | |
| Rank | 1 | 5 | 13 | 9 | 4 | 14 | 8 | 11 | 10 | 15 | 12 | 3 | 16 | 7 | 6 | 2 | |
| MR | 2.6000 | 10.0000 | 4.0667 | 6.8333 | 15.5000 | 6.2000 | 13.8000 | 4.8333 | 4.5333 | 12.9667 | 5.3667 | 4.1667 | 15.3000 | 9.2000 | 10.2000 | 10.4333 | |
| Rank | 1 | 10 | 2 | 8 | 16 | 7 | 14 | 5 | 4 | 13 | 6 | 3 | 15 | 9 | 11 | 12 | |
| MR | 1.0333 | 10.9333 | 2.6000 | 8.0667 | 12.6333 | 15.5667 | 9.1000 | 5.4333 | 12.5000 | 14.2000 | 7.4333 | 5.9333 | 15.0333 | 8.5333 | 3.4333 | 3.5667 | |
| Rank | 1 | 11 | 2 | 8 | 13 | 16 | 10 | 5 | 12 | 14 | 7 | 6 | 15 | 9 | 3 | 4 | |
| MR | 1.2000 | 8.1000 | 9.2333 | 9.0667 | 7.9333 | 15.9000 | 5.6000 | 4.6333 | 14.5333 | 13.2000 | 11.9333 | 9.4333 | 14.3667 | 5.8667 | 3.0000 | 2.0000 | |
| Rank | 1 | 8 | 10 | 9 | 7 | 16 | 5 | 4 | 15 | 13 | 12 | 11 | 14 | 6 | 3 | 2 | |
| MR | 1.5667 | 4.9667 | 11.5000 | 10.6000 | 9.4000 | 15.8667 | 3.0000 | 5.1667 | 15.0333 | 13.9667 | 10.5333 | 6.4000 | 13.0667 | 3.5667 | 6.5667 | 4.8000 | |
| Rank | 1 | 5 | 12 | 11 | 9 | 16 | 2 | 6 | 15 | 14 | 10 | 7 | 13 | 3 | 8 | 4 | |
| MR | 3.1667 | 9.7000 | 10.0333 | 8.3000 | 9.2333 | 15.6333 | 3.2667 | 7.6333 | 12.2667 | 13.9667 | 9.7000 | 5.7333 | 15.2667 | 8.5333 | 1.6333 | 1.9333 | |
| Rank | 3 | 10 | 12 | 7 | 9 | 16 | 4 | 6 | 13 | 14 | 11 | 5 | 15 | 8 | 1 | 2 | |
| MR | 1.7000 | 2.9333 | 10.7667 | 10.9333 | 8.3333 | 15.5000 | 5.7667 | 4.5000 | 15.3333 | 13.8000 | 11.5000 | 6.4000 | 13.1667 | 5.2667 | 6.3667 | 3.7333 | |
| Rank | 1 | 2 | 10 | 11 | 9 | 16 | 6 | 4 | 15 | 14 | 12 | 8 | 13 | 5 | 7 | 3 | |
| MR | 2.8667 | 5.4333 | 7.3333 | 9.8000 | 11.4667 | 12.9333 | 12.1667 | 7.7000 | 7.6333 | 15.9000 | 9.9667 | 5.2000 | 15.0333 | 2.1667 | 3.6333 | 6.7667 | |
| Rank | 2 | 5 | 7 | 10 | 12 | 14 | 13 | 9 | 8 | 16 | 11 | 4 | 15 | 1 | 3 | 6 | |
| MR | 1.6333 | 3.5667 | 9.2000 | 12.0000 | 10.8333 | 13.8667 | 7.9667 | 9.6667 | 5.9667 | 15.2000 | 10.2000 | 5.8000 | 14.8667 | 4.6000 | 3.3667 | 7.2667 | |
| Rank | 1 | 3 | 9 | 13 | 12 | 14 | 8 | 10 | 6 | 16 | 11 | 5 | 15 | 4 | 2 | 7 | |
| MR | 3.0000 | 7.1667 | 12.1333 | 8.2667 | 11.2000 | 14.7667 | 3.6333 | 7.2000 | 11.0667 | 12.5000 | 9.6333 | 5.8333 | 15.8667 | 10.3667 | 1.4333 | 1.9333 | |
| Rank | 3 | 6 | 13 | 8 | 12 | 15 | 4 | 7 | 11 | 14 | 9 | 5 | 16 | 10 | 1 | 2 | |
| MR | 3.7333 | 2.9000 | 9.7000 | 10.9333 | 8.1000 | 15.0000 | 4.6667 | 5.6333 | 14.7667 | 14.6000 | 13.4333 | 5.4333 | 12.1667 | 5.2000 | 5.0667 | 4.6667 | |
| Rank | 2 | 1 | 10 | 11 | 9 | 16 | 3 | 8 | 15 | 14 | 13 | 7 | 12 | 6 | 5 | 4 | |
| MR | 2.0333 | 4.3667 | 9.2333 | 11.6333 | 14.1000 | 11.0000 | 9.7667 | 8.4000 | 5.9667 | 14.1333 | 8.0667 | 4.2333 | 13.4333 | 6.7000 | 4.1667 | 8.7667 | |
| Rank | 1 | 4 | 10 | 13 | 15 | 12 | 11 | 8 | 5 | 16 | 7 | 3 | 14 | 6 | 2 | 9 | |
| MR | 1.1000 | 6.3333 | 9.0000 | 13.6333 | 3.3667 | 14.1000 | 11.0333 | 10.2333 | 8.9333 | 16.0000 | 10.7667 | 2.9333 | 14.2333 | 3.9333 | 5.3667 | 5.0333 | |
| Rank | 1 | 7 | 9 | 13 | 3 | 14 | 12 | 10 | 8 | 16 | 11 | 2 | 15 | 4 | 6 | 5 | |
| MR | 1.7333 | 10.5333 | 4.5000 | 8.0667 | 14.9667 | 6.7333 | 13.9000 | 4.2333 | 5.6667 | 13.4333 | 6.1667 | 4.3333 | 15.5333 | 6.7333 | 9.9000 | 9.5667 | |
| Rank | 1 | 12 | 4 | 9 | 15 | 7 | 14 | 2 | 5 | 13 | 6 | 3 | 16 | 8 | 11 | 10 | |
| MR | 1.0333 | 4.9333 | 7.5333 | 14.5000 | 2.0667 | 14.3667 | 9.0667 | 10.2333 | 9.9333 | 16.0000 | 11.2667 | 7.6667 | 13.1333 | 4.8333 | 5.3333 | 4.1000 | |
| Rank | 1 | 5 | 7 | 15 | 2 | 14 | 9 | 11 | 10 | 16 | 12 | 8 | 13 | 4 | 6 | 3 | |
| MR | 1.1000 | 4.4667 | 8.0333 | 14.3000 | 3.7000 | 14.7333 | 10.2000 | 11.1667 | 9.9333 | 15.9667 | 9.5333 | 7.2000 | 12.8667 | 2.4333 | 5.1333 | 5.2333 | |
| Rank | 1 | 4 | 8 | 14 | 3 | 15 | 11 | 12 | 10 | 16 | 9 | 7 | 13 | 2 | 5 | 6 | |
| MR | 2.2333 | 10.9333 | 4.0667 | 7.4333 | 7.9667 | 15.9667 | 8.1667 | 6.8667 | 14.4000 | 13.4000 | 8.4667 | 11.9000 | 14.2333 | 3.7000 | 3.7000 | 2.5667 | |
| Rank | 1 | 11 | 5 | 7 | 8 | 16 | 9 | 6 | 15 | 13 | 10 | 12 | 14 | 3 | 4 | 2 | |
| MR | 3.6000 | 5.0667 | 8.1000 | 14.3333 | 4.0667 | 14.6667 | 10.7000 | 11.7000 | 9.5000 | 16.0000 | 8.6000 | 3.5000 | 12.7000 | 3.1667 | 5.0000 | 5.3000 | |
| Rank | 3 | 6 | 8 | 14 | 4 | 15 | 11 | 12 | 10 | 16 | 9 | 2 | 13 | 1 | 5 | 7 | |
| MR | 2.2000 | 5.8333 | 5.0000 | 12.7667 | 6.0333 | 14.7667 | 9.6667 | 9.3333 | 11.6000 | 15.9000 | 9.3667 | 10.3000 | 13.3333 | 2.4333 | 4.3000 | 3.1667 | |
| Rank | 1 | 6 | 5 | 13 | 7 | 15 | 10 | 8 | 12 | 16 | 9 | 11 | 14 | 2 | 4 | 3 | |
| MR | 2.1333 | 11.5667 | 2.9000 | 7.1667 | 10.3333 | 15.2000 | 8.8333 | 6.7333 | 13.6333 | 13.3667 | 7.0333 | 11.0333 | 15.8000 | 3.7000 | 3.6667 | 2.9000 | |
| Rank | 1 | 12 | 2 | 8 | 10 | 15 | 9 | 6 | 14 | 13 | 7 | 11 | 16 | 5 | 4 | 3 | |
| MR | 1.8000 | 5.0000 | 7.2000 | 11.4333 | 3.4000 | 14.1667 | 11.1333 | 7.9000 | 10.6333 | 15.9667 | 12.9667 | 7.7000 | 14.0000 | 4.7667 | 3.7667 | 4.1667 | |
| Rank | 1 | 6 | 7 | 12 | 2 | 15 | 11 | 9 | 10 | 16 | 13 | 8 | 14 | 5 | 3 | 4 | |
| MR | 1.1000 | 6.9667 | 8.6667 | 11.3667 | 7.0333 | 14.5000 | 8.0667 | 3.0000 | 14.8000 | 15.3000 | 13.4000 | 9.5333 | 11.1333 | 4.9000 | 4.0667 | 2.1667 | |
| Rank | 1 | 6 | 9 | 12 | 7 | 14 | 8 | 3 | 15 | 16 | 13 | 10 | 11 | 5 | 4 | 2 | |
| Average MR | 1.9046 | 7.0115 | 7.7839 | 10.5437 | 7.7598 | 14.0943 | 8.7195 | 8.0253 | 10.7920 | 14.7138 | 9.7046 | 6.3080 | 13.8379 | 5.6023 | 4.7230 | 4.4759 | |
| Total Rank | 1 | 6 | 8 | 12 | 7 | 15 | 10 | 9 | 13 | 16 | 11 | 5 | 14 | 4 | 3 | 2 | |
| F | APO | SMA | AVOA | SO | ARO | NOA | PSA | GWO | WOA | SSA | XPSO | FVICLPSO | SRPSO | LSHADE_ cnEpSin | LSHADE_ SPACMA |
|---|---|---|---|---|---|---|---|---|---|---|---|---|---|---|---|
| F1 | 1.5099E−11 + | 1.5099E−11 + | 1.5099E−11 + | 1.5099E−11 + | 1.5099E−11 + | 1.5099E−11 + | 1.5099E−11 + | 1.5099E−11 + | 1.5099E−11 + | 1.5099E−11 + | 1.5099E−11 + | 1.5099E−11 + | 1.5099E−11 + | 9.9998E−01 − | 1.0000E+00 − |
| F3 | 1.5099E−11 + | 1.5099E−11 + | 1.5099E−11 + | 1.5099E−11 + | 1.5099E−11 + | 1.5099E−11 + | 1.5099E−11 + | 1.5099E−11 + | 1.5099E−11 + | 1.5099E−11 + | 1.5099E−11 + | 1.5099E−11 + | 1.5099E−11 + | 1.5099E−11 + | 9.9997E−01 − |
| F4 | 1.8449E−11 + | 8.0661E−11 + | 2.7470E−11 + | 9.7839E−11 + | 1.5099E−11 + | 7.3215E−11 + | 1.2193E−09 + | 1.5099E−11 + | 1.5099E−11 + | 1.5099E−11 + | 2.7863E−10 + | 1.5099E−11 + | 1.8449E−11 + | 6.5555E−09 + | 5.2033E−05 + |
| F5 | 1.4128E−01 = | 1.6692E−11 + | 1.5099E−11 + | 7.7312E−01 = | 1.5099E−11 + | 1.5099E−11 + | 1.6692E−11 + | 1.6692E−11 + | 1.5099E−11 + | 1.5099E−11 + | 9.2874E−04 + | 1.5099E−11 + | 7.4590E−07 + | 9.9912E−01 − | 9.9996E−01 − |
| F6 | 1.4986E−11 + | 1.4986E−11 + | 1.4986E−11 + | 1.4986E−11 + | 1.4986E−11 + | 1.4986E−11 + | 1.4986E−11 + | 1.4986E−11 + | 1.4986E−11 + | 1.4986E−11 + | 1.4986E−11 + | 1.4986E−11 + | 1.4986E−11 + | 1.4986E−11 + | 1.4986E−11 + |
| F7 | 6.7350E−01 = | 5.4683E−11 + | 1.5099E−11 + | 6.5555E−09 + | 1.5099E−11 + | 1.5099E−11 + | 1.5099E−11 + | 1.8449E−11 + | 1.5099E−11 + | 1.5099E−11 + | 1.7962E−05 + | 1.5099E−11 + | 2.4005E−07 + | 9.0490E−02 = | 1.0000E+00 − |
| F8 | 1.0000E+00 − | 2.2508E−11 + | 1.5090E−11 + | 9.9308E−01 − | 1.5090E−11 + | 1.5090E−11 + | 1.5090E−11 + | 4.8752E−10 + | 1.5090E−11 + | 1.5090E−11 + | 2.1789E−02 + | 1.5090E−11 + | 1.5797E−01 = | 1.0000E+00 − | 1.0000E+00 − |
| F9 | 2.1536E−08 + | 7.1337E−12 + | 7.1337E−12 + | 1.0808E−10 + | 7.1337E−12 + | 4.6311E−07 + | 7.1337E−12 + | 7.1337E−12 + | 7.1337E−12 + | 7.1337E−12 + | 1.6221E−11 + | 7.1337E−12 + | 7.1337E−12 + | 1.9564E−09 + | 1.6715E−04 + |
| F10 | 1.2551E−02 + | 2.6320E−04 + | 2.2522E−11 + | 2.6325E−05 + | 5.1387E−07 + | 1.5099E−11 + | 1.0076E−08 + | 9.3042E−07 + | 1.5099E−11 + | 4.1760E−08 + | 4.9417E−03 + | 1.5099E−11 + | 7.5071E−03 + | 4.0354E−01 = | 9.9258E−02 = |
| F11 | 8.0311E−07 + | 2.0998E−10 + | 1.0772E−10 + | 8.6470E−08 + | 1.5099E−11 + | 4.5316E−08 + | 1.0772E−10 + | 1.5099E−11 + | 1.5099E−11 + | 2.4876E−11 + | 9.2837E−10 + | 1.5099E−11 + | 7.1471E−09 + | 8.4066E−05 + | 4.9417E−03 + |
| F12 | 1.5099E−11 + | 1.5099E−11 + | 1.5099E−11 + | 1.5099E−11 + | 1.5099E−11 + | 9.7839E−11 + | 1.5099E−11 + | 1.5099E−11 + | 1.5099E−11 + | 1.5099E−11 + | 6.0116E−09 + | 1.5099E−11 + | 1.5099E−11 + | 9.8966E−01 − | 9.9998E−01 − |
| F13 | 2.3080E−10 + | 1.6692E−11 + | 1.5099E−11 + | 2.7470E−11 + | 1.5099E−11 + | 2.4990E−09 + | 1.0974E−08 + | 1.5099E−11 + | 1.5099E−11 + | 1.5099E−11 + | 6.2704E−08 + | 1.5099E−11 + | 2.0564E−07 + | 2.7850E−03 + | 5.1877E−02 = |
| F14 | 9.9916E−01 − | 1.5099E−11 + | 1.5099E−11 + | 1.5099E−11 + | 1.5099E−11 + | 3.3610E−10 + | 1.5099E−11 + | 1.5099E−11 + | 1.5099E−11 + | 1.5099E−11 + | 1.5099E−11 + | 1.5099E−11 + | 1.5099E−11 + | 1.2457E−06 + | 6.2385E−05 + |
| F15 | 3.7996E−07 + | 1.5099E−11 + | 1.5099E−11 + | 1.5099E−11 + | 1.5099E−11 + | 1.5099E−11 + | 2.2522E−11 + | 1.5099E−11 + | 1.5099E−11 + | 1.5099E−11 + | 1.5099E−11 + | 1.5099E−11 + | 1.8449E−11 + | 3.0605E−10 + | 1.7486E−09 + |
| F16 | 1.5915E−03 + | 8.8845E−11 + | 1.5099E−11 + | 6.5555E−09 + | 1.5099E−11 + | 6.6443E−11 + | 1.6692E−11 + | 6.6443E−11 + | 1.5099E−11 + | 1.5099E−11 + | 1.2193E−09 + | 1.6692E−11 + | 2.4990E−09 + | 1.3863E−05 + | 2.7664E−08 + |
| F17 | 4.8959E−05 + | 1.5099E−11 + | 1.5099E−11 + | 7.3215E−11 + | 1.5099E−11 + | 1.5099E−11 + | 2.4876E−11 + | 1.5099E−11 + | 1.5099E−11 + | 1.5099E−11 + | 3.0329E−11 + | 1.5099E−11 + | 1.5099E−11 + | 2.7664E−08 + | 1.6760E−08 + |
| F18 | 1.5099E−11 + | 1.5099E−11 + | 1.5099E−11 + | 1.5099E−11 + | 1.5099E−11 + | 7.0334E−05 + | 1.5099E−11 + | 1.5099E−11 + | 1.5099E−11 + | 1.5099E−11 + | 1.5099E−11 + | 1.5099E−11 + | 1.5099E−11 + | 9.9971E−01 − | 9.9957E−01 − |
| F19 | 5.1573E−03 + | 1.5099E−11 + | 1.5099E−11 + | 2.4876E−11 + | 1.5099E−11 + | 2.4876E−11 + | 2.0386E−11 + | 1.5099E−11 + | 1.5099E−11 + | 1.5099E−11 + | 1.5099E−11 + | 1.5099E−11 + | 1.5099E−11 + | 9.3655E−08 + | 2.4990E−09 + |
| F20 | 1.5733E−02 + | 7.3215E−11 + | 1.5099E−11 + | 8.6452E−07 + | 1.5099E−11 + | 7.3666E−08 + | 3.3478E−11 + | 6.0283E−11 + | 1.5099E−11 + | 1.5099E−11 + | 7.7326E−10 + | 1.7486E−09 + | 7.7326E−10 + | 9.4581E−05 + | 2.2102E−06 + |
| F21 | 3.2553E−01 = | 1.5099E−11 + | 1.5099E−11 + | 1.5915E−03 + | 1.5099E−11 + | 2.7863E−10 + | 1.8449E−11 + | 1.5099E−11 + | 1.5099E−11 + | 1.5099E−11 + | 5.9684E−07 + | 1.5405E−08 + | 2.4990E−09 + | 5.2014E−01 = | 7.8446E−01 = |
| F22 | 1.4299E−10 + | 1.2145E−11 + | 1.8184E−11 + | 2.9970E−11 + | 1.2145E−11 + | 2.3037E−10 + | 2.7131E−11 + | 1.2145E−11 + | 1.2145E−11 + | 5.4197E−11 + | 3.0356E−10 + | 1.2145E−11 + | 1.2989E−10 + | 6.9649E−01 = | 1.0000E+00 − |
| F23 | 9.9996E−01 − | 1.5099E−11 + | 1.5099E−11 + | 1.3863E−05 + | 1.6692E−11 + | 4.4967E−11 + | 1.5099E−11 + | 1.5099E−11 + | 1.5099E−11 + | 1.5099E−11 + | 3.8294E−05 + | 1.5099E−11 + | 2.4909E−04 + | 9.9996E−01 − | 9.9972E−01 − |
| F24 | 9.9967E−01 − | 1.5099E−11 + | 1.5099E−11 + | 2.0165E−03 + | 1.5099E−11 + | 1.6692E−11 + | 1.5099E−11 + | 1.9101E−10 + | 1.5099E−11 + | 1.5099E−11 + | 3.4563E−04 + | 1.5099E−11 + | 1.5733E−02 + | 9.9667E−01 − | 9.9938E−01 − |
| F25 | 4.8959E−05 + | 3.3681E−06 + | 5.0177E−04 + | 5.1387E−07 + | 1.5099E−11 + | 8.5000E−02 = | 7.9820E−08 + | 1.5099E−11 + | 1.5099E−11 + | 4.5316E−08 + | 1.5099E−11 + | 1.5099E−11 + | 4.7341E−03 + | 7.7312E−01 = | 6.2040E−01 = |
| F26 | 9.9239E−02 = | 1.8403E−11 + | 2.5418E−08 + | 2.4941E−09 + | 1.5061E−11 + | 8.9999E−01 = | 1.6600E−06 + | 3.0539E−10 + | 1.5061E−11 + | 3.9778E−03 + | 3.7104E−01 = | 8.8214E−03 + | 2.3982E−01 = | 9.9999E−01 − | 9.9986E−01 − |
| F27 | 2.9727E−01 = | 8.1753E−06 + | 1.5099E−11 + | 1.5099E−11 + | 1.5099E−11 + | 4.4967E−11 + | 2.0998E−10 + | 1.1857E−10 + | 1.5099E−11 + | 1.0772E−10 + | 2.5362E−10 + | 1.6692E−11 + | 7.2061E−03 + | 1.8354E−03 + | 5.5546E−02 = |
| F28 | 1.5099E−11 + | 1.6692E−11 + | 2.4876E−11 + | 1.5099E−11 + | 1.5099E−11 + | 1.3049E−10 + | 2.7470E−11 + | 1.5099E−11 + | 1.5099E−11 + | 1.5099E−11 + | 1.6937E−02 + | 1.5099E−11 + | 3.6945E−11 + | 4.5316E−08 + | 6.5671E−02 = |
| F29 | 1.9026E−07 + | 1.5099E−11 + | 1.5099E−11 + | 2.2522E−11 + | 1.5099E−11 + | 1.5099E−11 + | 1.5099E−11 + | 1.5099E−11 + | 1.5099E−11 + | 1.5099E−11 + | 4.9593E−11 + | 1.5099E−11 + | 1.7486E−09 + | 2.7310E−06 + | 6.4302E−07 + |
| F30 | 1.5099E−11 + | 1.5099E−11 + | 1.5099E−11 + | 2.3080E−10 + | 1.5099E−11 + | 1.5099E−11 + | 9.7839E−11 + | 1.5099E−11 + | 1.5099E−11 + | 1.5099E−11 + | 1.5099E−11 + | 1.5099E−11 + | 1.5099E−11 + | 9.9258E−02 = | 7.8446E−01 = |
| +/=/− | 20/5/4 | 29/0/0 | 29/0/0 | 27/1/1 | 29/0/0 | 27/2/0 | 29/0/0 | 29/0/0 | 29/0/0 | 29/0/0 | 28/1/0 | 29/0/0 | 27/2/0 | 15/6/8 | 11/7/11 |
| F | APO | SMA | AVOA | SO | ARO | NOA | PSA | GWO | WOA | SSA | XPSO | FVICLPSO | SRPSO | LSHADE_ cnEpSin | LSHADE_ SPACMA |
|---|---|---|---|---|---|---|---|---|---|---|---|---|---|---|---|
| F1 | 1.5099E−11 + | 1.5099E−11 + | 1.7600E−07 + | 1.5099E−11 + | 1.5099E−11 + | 1.5099E−11 + | 7.4658E−05 + | 1.5099E−11 + | 1.5099E−11 + | 4.7604E−04 + | 2.9853E−05 + | 1.5099E−11 + | 1.6760E−08 + | 1.2497E−03 + | 7.2827E−01 = |
| F3 | 1.5099E−11 + | 2.4876E−11 + | 1.5099E−11 + | 1.5099E−11 + | 1.5099E−11 + | 1.5099E−11 + | 1.5099E−11 + | 1.5099E−11 + | 1.5099E−11 + | 1.5099E−11 + | 1.5099E−11 + | 1.5099E−11 + | 1.5099E−11 + | 8.0661E−11 + | 2.4990E−09 + |
| F4 | 4.9593E−11 + | 2.5362E−10 + | 2.2863E−09 + | 4.2424E−09 + | 1.5099E−11 + | 2.1553E−08 + | 1.5786E−05 + | 1.5099E−11 + | 1.5099E−11 + | 4.8778E−10 + | 2.0386E−11 + | 1.5099E−11 + | 1.2193E−09 + | 6.6248E−05 + | 9.3341E−02 = |
| F5 | 2.9853E−05 + | 1.5099E−11 + | 1.5099E−11 + | 9.9993E−01 − | 1.5099E−11 + | 1.5099E−11 + | 1.5099E−11 + | 1.6692E−11 + | 1.5099E−11 + | 1.5099E−11 + | 1.2078E−02 + | 1.5099E−11 + | 1.2653E−04 + | 3.4783E−01 = | 1.0000E+00 − |
| F6 | 1.5099E−11 + | 1.5099E−11 + | 1.5099E−11 + | 1.5099E−11 + | 1.5099E−11 + | 1.5099E−11 + | 1.5099E−11 + | 1.5099E−11 + | 1.5099E−11 + | 1.5099E−11 + | 1.5099E−11 + | 1.5099E−11 + | 1.5099E−11 + | 1.5099E−11 + | 1.5099E−11 + |
| F7 | 3.0052E−08 + | 1.5099E−11 + | 1.5099E−11 + | 6.0116E−09 + | 1.5099E−11 + | 1.5099E−11 + | 1.5099E−11 + | 1.5099E−11 + | 1.5099E−11 + | 1.5099E−11 + | 3.4563E−04 + | 1.5099E−11 + | 3.0605E−10 + | 3.6322E−01 = | 1.0000E+00 − |
| F8 | 7.2446E−02 = | 1.5099E−11 + | 1.5099E−11 + | 9.9999E−01 − | 1.5099E−11 + | 1.5099E−11 + | 1.5099E−11 + | 1.5099E−11 + | 1.5099E−11 + | 1.5099E−11 + | 1.8090E−01 = | 1.5099E−11 + | 1.6693E−03 + | 9.9816E−01 − | 1.0000E+00 − |
| F9 | 5.8736E−05 + | 1.5099E−11 + | 1.5099E−11 + | 8.0661E−11 + | 1.5099E−11 + | 1.8449E−11 + | 1.5099E−11 + | 1.5099E−11 + | 1.5099E−11 + | 1.5099E−11 + | 3.0329E−11 + | 1.5099E−11 + | 7.7904E−09 + | 2.7863E−10 + | 1.1884E−07 + |
| F10 | 1.5984E−09 + | 7.5890E−04 + | 1.0772E−10 + | 2.2522E−11 + | 2.2220E−07 + | 1.5099E−11 + | 1.8219E−02 + | 2.6325E−05 + | 1.6692E−11 + | 1.0974E−08 + | 1.4603E−02 + | 1.5099E−11 + | 6.7869E−02 = | 1.2164E−05 + | 2.2102E−06 + |
| F11 | 1.8449E−11 + | 1.5099E−11 + | 1.5099E−11 + | 1.5099E−11 + | 1.5099E−11 + | 1.5099E−11 + | 1.5099E−11 + | 1.5099E−11 + | 1.5099E−11 + | 1.5099E−11 + | 4.0764E−11 + | 1.5099E−11 + | 3.0605E−10 + | 7.3215E−11 + | 1.0169E−09 + |
| F12 | 1.5099E−11 + | 1.5099E−11 + | 1.5099E−11 + | 1.5099E−11 + | 1.5099E−11 + | 1.5099E−11 + | 1.5099E−11 + | 1.5099E−11 + | 1.5099E−11 + | 1.5099E−11 + | 3.5593E−09 + | 1.5099E−11 + | 1.8449E−11 + | 8.1875E−01 = | 9.7897E−01 − |
| F13 | 5.8688E−04 + | 1.5099E−11 + | 1.5099E−11 + | 8.8845E−11 + | 1.5099E−11 + | 2.4876E−11 + | 2.0420E−05 + | 1.5099E−11 + | 1.5099E−11 + | 1.5099E−11 + | 6.9263E−07 + | 1.5099E−11 + | 7.2116E−04 + | 1.4395E−06 + | 1.8852E−04 + |
| F14 | 2.5362E−10 + | 1.5099E−11 + | 1.5099E−11 + | 1.5099E−11 + | 1.5099E−11 + | 3.1886E−03 + | 1.5099E−11 + | 1.5099E−11 + | 1.5099E−11 + | 1.5099E−11 + | 1.5099E−11 + | 1.5099E−11 + | 1.5099E−11 + | 5.0120E−02 = | 3.7108E−01 = |
| F15 | 9.9336E−01 − | 1.8229E−08 + | 1.7371E−10 + | 2.7071E−01 = | 1.1857E−10 + | 9.9833E−01 − | 4.6427E−01 = | 1.5099E−11 + | 1.5099E−11 + | 3.0329E−11 + | 9.8594E−01 − | 1.5099E−11 + | 1.5367E−01 = | 9.9992E−01 − | 9.9992E−01 − |
| F16 | 6.5083E−04 + | 2.0386E−11 + | 1.5099E−11 + | 5.3328E−08 + | 1.5099E−11 + | 8.8845E−11 + | 6.6443E−11 + | 4.8778E−10 + | 1.5099E−11 + | 7.3215E−11 + | 3.3825E−05 + | 1.5099E−11 + | 1.0753E−02 + | 3.0418E−01 = | 1.1390E−05 + |
| F17 | 1.5984E−09 + | 1.5099E−11 + | 1.5099E−11 + | 2.4990E−09 + | 1.5099E−11 + | 2.2522E−11 + | 1.5099E−11 + | 7.3215E−11 + | 1.5099E−11 + | 1.5099E−11 + | 2.4876E−11 + | 1.5099E−11 + | 1.5794E−10 + | 8.6452E−07 + | 1.9101E−10 + |
| F18 | 1.5099E−11 + | 1.5099E−11 + | 1.5099E−11 + | 1.5099E−11 + | 1.5099E−11 + | 5.0523E−09 + | 1.5099E−11 + | 1.5099E−11 + | 1.5099E−11 + | 1.5099E−11 + | 1.5099E−11 + | 1.5099E−11 + | 1.5099E−11 + | 9.9986E−01 − | 9.9995E−01 − |
| F19 | 1.5099E−11 + | 1.5099E−11 + | 1.5099E−11 + | 1.5099E−11 + | 1.5099E−11 + | 1.5099E−11 + | 1.5099E−11 + | 1.5099E−11 + | 1.5099E−11 + | 1.5099E−11 + | 2.3080E−10 + | 1.5099E−11 + | 1.9101E−10 + | 2.9369E−04 + | 2.9727E−01 = |
| F20 | 2.6320E−04 + | 2.7470E−11 + | 1.5099E−11 + | 9.2837E−10 + | 1.6692E−11 + | 3.8863E−09 + | 2.2522E−11 + | 8.0661E−11 + | 1.5099E−11 + | 1.5099E−11 + | 1.3914E−07 + | 1.6692E−11 + | 5.0177E−04 + | 9.4581E−05 + | 3.6901E−10 + |
| F21 | 5.9684E−07 + | 1.5099E−11 + | 1.5099E−11 + | 6.1809E−04 + | 1.5099E−11 + | 1.5099E−11 + | 1.5099E−11 + | 1.5099E−11 + | 1.5099E−11 + | 1.6692E−11 + | 5.9684E−07 + | 1.5099E−11 + | 1.0979E−07 + | 1.2164E−05 + | 1.5786E−05 + |
| F22 | 1.5099E−11 + | 1.5099E−11 + | 1.5099E−11 + | 1.5099E−11 + | 1.5099E−11 + | 1.6692E−11 + | 1.5099E−11 + | 1.5099E−11 + | 1.5099E−11 + | 1.6692E−11 + | 4.7570E−06 + | 1.5099E−11 + | 2.4876E−11 + | 2.0386E−11 + | 2.7863E−10 + |
| F23 | 1.1390E−05 + | 1.5099E−11 + | 1.5099E−11 + | 1.1949E−08 + | 1.5099E−11 + | 1.5099E−11 + | 1.5099E−11 + | 1.5099E−11 + | 1.5099E−11 + | 1.5099E−11 + | 8.6452E−07 + | 1.5099E−11 + | 3.2631E−07 + | 6.6248E−05 + | 4.4414E−06 + |
| F24 | 5.5386E−07 + | 1.5099E−11 + | 1.5099E−11 + | 8.8845E−11 + | 1.5099E−11 + | 1.5099E−11 + | 1.5099E−11 + | 1.5099E−11 + | 1.5099E−11 + | 1.5099E−11 + | 4.9164E−08 + | 1.5099E−11 + | 7.7326E−10 + | 6.2466E−06 + | 1.3392E−06 + |
| F25 | 3.2639E−08 + | 9.9667E−01 − | 2.0165E−03 + | 4.3764E−01 = | 1.5099E−11 + | 2.1156E−01 = | 5.3951E−01 = | 1.5099E−11 + | 1.5099E−11 + | 2.5805E−01 = | 6.4352E−10 + | 1.5099E−11 + | 9.9902E−01 − | 1.0000E+00 − | 9.9997E−01 − |
| F26 | 6.6834E−06 + | 1.7600E−07 + | 6.6443E−11 + | 2.4005E−07 + | 2.0386E−11 + | 4.2424E−09 + | 1.5099E−11 + | 2.4876E−11 + | 1.5099E−11 + | 3.9795E−03 + | 9.3341E−02 = | 1.5099E−11 + | 7.2116E−04 + | 5.3813E−03 + | 6.7869E−02 = |
| F27 | 2.3195E−05 + | 3.5593E−09 + | 1.5099E−11 + | 1.5099E−11 + | 1.5099E−11 + | 2.4876E−11 + | 1.3049E−10 + | 2.0386E−11 + | 1.5099E−11 + | 4.4967E−11 + | 1.5099E−11 + | 1.5099E−11 + | 4.0600E−04 + | 6.5083E−04 + | 5.4933E−01 = |
| F28 | 1.5099E−11 + | 1.1942E−04 + | 1.0169E−09 + | 2.2522E−11 + | 1.5099E−11 + | 4.0507E−10 + | 8.4736E−10 + | 1.5099E−11 + | 1.5099E−11 + | 7.4658E−05 + | 1.7371E−10 + | 1.5099E−11 + | 2.7071E−01 = | 1.2967E−01 = | 1.3345E−01 = |
| F29 | 5.5386E−07 + | 4.9593E−11 + | 1.5099E−11 + | 1.8229E−08 + | 1.5099E−11 + | 1.5099E−11 + | 2.0386E−11 + | 1.5099E−11 + | 1.5099E−11 + | 1.5099E−11 + | 1.3049E−10 + | 1.5099E−11 + | 1.4608E−09 + | 2.7310E−06 + | 7.9844E−04 + |
| F30 | 4.0507E−10 + | 1.5099E−11 + | 1.5099E−11 + | 3.6945E−11 + | 1.5099E−11 + | 1.5099E−11 + | 4.6301E−09 + | 1.5099E−11 + | 1.5099E−11 + | 1.5099E−11 + | 1.5099E−11 + | 1.5099E−11 + | 6.6834E−06 + | 1.0783E−03 + | 2.4713E−05 + |
| +/=/− | 27/1/1 | 28/0/1 | 29/0/0 | 25/2/2 | 29/0/0 | 27/1/1 | 27/2/0 | 29/0/0 | 29/0/0 | 28/1/0 | 26/2/1 | 29/0/0 | 25/3/1 | 19/6/4 | 15/7/7 |
| F | APO | SMA | AVOA | SO | ARO | NOA | PSA | GWO | WOA | SSA | XPSO | FVICLPSO | SRPSO | LSHADE_ cnEpSin | LSHADE_ SPACMA |
|---|---|---|---|---|---|---|---|---|---|---|---|---|---|---|---|
| F1 | 1.5099E−11 + | 1.5099E−11 + | 1.5099E−11 + | 1.5099E−11 + | 1.5099E−11 + | 1.5099E−11 + | 1.5099E−11 + | 1.5099E−11 + | 1.5099E−11 + | 5.3813E−03 + | 2.1130E−03 + | 1.5099E−11 + | 1.5099E−11 + | 1.5099E−11 + | 1.6692E−11 + |
| F3 | 1.5099E−11 + | 1.5099E−11 + | 1.5099E−11 + | 1.5099E−11 + | 1.5099E−11 + | 1.5099E−11 + | 1.5099E−11 + | 1.5099E−11 + | 1.5099E−11 + | 1.5099E−11 + | 1.5099E−11 + | 1.5099E−11 + | 1.5099E−11 + | 1.5099E−11 + | 3.6945E−11 + |
| F4 | 1.5099E−11 + | 2.2296E−04 + | 1.5099E−11 + | 3.3478E−11 + | 1.5099E−11 + | 1.6692E−11 + | 1.0169E−09 + | 1.5099E−11 + | 1.5099E−11 + | 1.0772E−10 + | 4.4967E−11 + | 1.5099E−11 + | 1.2861E−07 + | 2.7806E−04 + | 1.5170E−03 + |
| F5 | 1.5099E−11 + | 1.5099E−11 + | 1.5099E−11 + | 3.8486E−04 + | 1.5099E−11 + | 1.5099E−11 + | 1.5099E−11 + | 1.5099E−11 + | 1.5099E−11 + | 1.5099E−11 + | 6.1001E−01 = | 1.5099E−11 + | 8.6470E−08 + | 6.0283E−11 + | 1.5159E−02 + |
| F6 | 1.5099E−11 + | 1.5099E−11 + | 1.5099E−11 + | 1.5099E−11 + | 1.5099E−11 + | 1.5099E−11 + | 1.5099E−11 + | 1.5099E−11 + | 1.5099E−11 + | 1.5099E−11 + | 1.5099E−11 + | 1.5099E−11 + | 1.5099E−11 + | 1.5099E−11 + | 1.5099E−11 + |
| F7 | 1.5099E−11 + | 1.5099E−11 + | 1.5099E−11 + | 3.3478E−11 + | 1.5099E−11 + | 1.5099E−11 + | 1.5099E−11 + | 1.5099E−11 + | 1.5099E−11 + | 1.5099E−11 + | 2.5456E−06 + | 1.5099E−11 + | 1.5099E−11 + | 1.5099E−11 + | 9.5562E−03 + |
| F8 | 1.5099E−11 + | 1.5099E−11 + | 1.5099E−11 + | 9.9415E−03 + | 1.5099E−11 + | 1.5099E−11 + | 1.5099E−11 + | 1.5099E−11 + | 1.5099E−11 + | 1.5099E−11 + | 8.7663E−01 = | 1.5099E−11 + | 2.7664E−08 + | 2.4876E−11 + | 1.5159E−02 + |
| F9 | 2.7863E−10 + | 1.5099E−11 + | 1.5099E−11 + | 1.5794E−10 + | 1.5099E−11 + | 1.5099E−11 + | 1.5099E−11 + | 1.5099E−11 + | 1.5099E−11 + | 1.5099E−11 + | 6.5555E−09 + | 1.5099E−11 + | 1.0974E−08 + | 3.0329E−11 + | 3.8863E−09 + |
| F10 | 1.5099E−11 + | 4.5344E−03 + | 4.1760E−08 + | 1.5099E−11 + | 3.2591E−09 + | 1.5099E−11 + | 6.6248E−05 + | 2.9853E−05 + | 1.5099E−11 + | 1.9153E−05 + | 9.1840E−03 + | 1.5099E−11 + | 2.7664E−08 + | 1.5099E−11 + | 1.5099E−11 + |
| F11 | 1.5099E−11 + | 2.9837E−09 + | 1.5099E−11 + | 1.5099E−11 + | 1.5099E−11 + | 1.5099E−11 + | 1.5099E−11 + | 1.5099E−11 + | 1.5099E−11 + | 1.5099E−11 + | 1.5099E−11 + | 1.5099E−11 + | 1.5099E−11 + | 1.1857E−10 + | 1.9101E−10 + |
| F12 | 1.5099E−11 + | 1.5099E−11 + | 1.5099E−11 + | 1.5099E−11 + | 1.5099E−11 + | 1.5099E−11 + | 1.5099E−11 + | 1.5099E−11 + | 1.5099E−11 + | 1.5099E−11 + | 9.7839E−11 + | 1.5099E−11 + | 1.5099E−11 + | 8.8845E−11 + | 1.5029E−04 + |
| F13 | 4.9593E−11 + | 1.5099E−11 + | 1.5099E−11 + | 1.5099E−11V | 1.5099E−11 + | 5.2033E−05 + | 6.4352E−10 + | 1.5099E−11 + | 1.5099E−11 + | 1.5099E−11 + | 1.7371E−10 + | 1.5099E−11 + | 3.1013E−04 + | 1.5099E−11 + | 3.0605E−10 + |
| F14 | 1.5099E−11 + | 1.5099E−11 + | 1.5099E−11 + | 1.5099E−11 + | 1.5099E−11 + | 6.1001E−01 = | 1.5099E−11 + | 1.5099E−11 + | 1.5099E−11 + | 1.5099E−11 + | 1.5099E−11 + | 1.5099E−11 + | 1.5099E−11 + | 1.0000E+00 − | 9.9999E−01 − |
| F15 | 1.5910E−04 + | 1.5099E−11 + | 1.5099E−11 + | 1.6692E−11 + | 1.5099E−11 + | 5.0523E−09 + | 4.4205E−07 + | 1.5099E−11 + | 1.5099E−11 + | 1.5099E−11 + | 1.2193E−09 + | 1.5099E−11 + | 7.4590E−07 + | 1.4358E−10 + | 2.8036E−05 + |
| F16 | 2.0564E−07 + | 1.0974E−08 + | 3.6945E−11 + | 5.8687E−10 + | 1.8449E−11 + | 1.8449E−11 + | 4.6301E−09 + | 2.9837E−09 + | 1.5099E−11 + | 4.0764E−11 + | 1.6840E−04 + | 1.5099E−11 + | 5.0120E−02 = | 7.4827E−02 = | 2.6320E−04 + |
| F17 | 5.0523E−09 + | 1.6692E−11 + | 1.5099E−11 + | 4.0764E−11 + | 1.5099E−11 + | 1.8449E−11 + | 4.0764E−11 + | 3.0605E−10 + | 1.5099E−11 + | 8.0661E−11 + | 3.5593E−09 + | 1.5099E−11 + | 1.6278E−07 + | 1.3392E−06 + | 2.0913E−09 + |
| F18 | 1.5099E−11 + | 1.5099E−11 + | 1.5099E−11 + | 1.5099E−11 + | 1.5099E−11 + | 3.4563E−04 + | 1.5099E−11 + | 1.5099E−11 + | 1.5099E−11 + | 1.5099E−11 + | 2.0386E−11 + | 1.5099E−11 + | 1.5099E−11 + | 1.0000E+00 − | 9.9992E−01 − |
| F19 | 3.6322E−01 = | 3.0329E−11 + | 1.5099E−11 + | 3.2591E−09 + | 1.5099E−11 + | 1.4603E−02 + | 1.5170E−03 + | 1.5099E−11 + | 1.5099E−11 + | 1.5099E−11 + | 4.5344E−03 + | 1.5099E−11 + | 1.1622E−02 + | 1.8219E−02 + | 2.1033E−02 + |
| F20 | 1.1884E−07 + | 4.8778E−10 + | 1.5099E−11 + | 1.5099E−11 + | 9.7839E−11 + | 1.5099E−11 + | 2.7863E−10 + | 4.7570E−06 + | 1.5099E−11 + | 9.7839E−11 + | 3.1013E−04 + | 1.5099E−11 + | 2.7310E−06 + | 1.7962E−05 + | 1.2861E−07 + |
| F21 | 1.5099E−11 + | 1.5099E−11 + | 1.5099E−11 + | 4.4455E−10 + | 1.5099E−11 + | 1.5099E−11 + | 1.5099E−11 + | 1.5099E−11 + | 1.5099E−11 + | 1.5099E−11 + | 1.3008E−08 + | 1.5099E−11 + | 1.5099E−11 + | 1.5099E−11 + | 8.0661E−11 + |
| F22 | 1.5099E−11 + | 2.9293E−06 + | 9.7839E−11 + | 1.5099E−11 + | 4.4455E−10 + | 1.5099E−11 + | 2.1765E−05 + | 2.2220E−07 + | 1.5099E−11 + | 3.2639E−08 + | 2.1088E−04 + | 1.5099E−11 + | 2.2220E−07 + | 1.5099E−11 + | 1.1857E−10 + |
| F23 | 1.5099E−11 + | 1.5099E−11 + | 1.5099E−11 + | 7.0549E−10 + | 1.5099E−11 + | 1.5099E−11 + | 1.5099E−11 + | 1.5099E−11 + | 1.5099E−11 + | 1.5099E−11 + | 1.5099E−11 + | 1.5099E−11 + | 2.7470E−11 + | 1.5099E−11 + | 1.5099E−11 + |
| F24 | 1.5099E−11 + | 1.5099E−11 + | 1.5099E−11 + | 2.7470E−11 + | 1.5099E−11 + | 1.5099E−11 + | 1.5099E−11 + | 1.5099E−11 + | 1.5099E−11 + | 1.5099E−11 + | 1.5099E−11 + | 1.5099E−11 + | 4.5316E−08 + | 3.0329E−11 + | 1.5794E−10 + |
| F25 | 1.5099E−11 + | 4.6056E−05 + | 3.6945E−11 + | 3.6945E−11 + | 1.5099E−11 + | 2.0386E−11 + | 1.7371E−10 + | 1.5099E−11 + | 1.5099E−11 + | 1.8449E−11 + | 1.5099E−11 + | 1.5099E−11 + | 1.4457E−03 + | 1.4603E−02 + | 7.0617E−01 = |
| F26 | 1.0262E−03 + | 4.5316E−08 + | 1.5099E−11 + | 9.9415E−03 + | 1.5099E−11 + | 2.0998E−10 + | 6.0283E−11 + | 5.3509E−10 + | 1.5099E−11 + | 4.1460E−06 + | 3.6322E−01 = | 1.5099E−11 + | 6.6273E−01 = | 7.2061E−03 + | 1.5170E−03 + |
| F27 | 8.4736E−10 + | 2.8000E−07 + | 1.5099E−11 + | 4.4455E−10 + | 1.5099E−11 + | 1.5099E−11 + | 4.0764E−11 + | 1.5099E−11 + | 1.5099E−11 + | 1.5099E−11 + | 1.5099E−11 + | 1.5099E−11 + | 3.4783E−01 = | 1.2164E−05 + | 2.1033E−02 + |
| F28 | 1.5099E−11 + | 7.5071E−03 + | 1.5099E−11 + | 1.5099E−11 + | 1.5099E−11 + | 1.5099E−11 + | 2.0386E−11 + | 1.5099E−11 + | 1.5099E−11 + | 1.6692E−11 + | 1.5099E−11 + | 1.5099E−11 + | 2.1088E−04 + | 1.3863E−05 + | 9.5562E−03 + |
| F29 | 2.0913E−09 + | 3.6945E−11 + | 1.5099E−11 + | 5.5289E−05 + | 1.5099E−11 + | 1.5099E−11 + | 3.3478E−11 + | 1.5099E−11 + | 1.5099E−11 + | 1.5099E−11 + | 2.0386E−11 + | 1.5099E−11 + | 2.4005E−07 + | 9.3042E−07 + | 5.4534E−06 + |
| F30 | 1.5099E−11 + | 1.5099E−11 + | 1.5099E−11 + | 1.5099E−11 + | 1.5099E−11 + | 1.5099E−11 + | 3.6901E−10 + | 1.5099E−11 + | 1.5099E−11 + | 1.5099E−11 + | 1.5099E−11 + | 1.5099E−11 + | 1.5099E−11 + | 1.5099E−11 + | 6.7972E−08 + |
| +/=/− | 28/1/0 | 29/0/0 | 29/0/0 | 29/0/0 | 29/0/0 | 28/1/0 | 29/0/0 | 29/0/0 | 29/0/0 | 29/0/0 | 26/3/0 | 29/0/0 | 26/3/0 | 26/1/2 | 26/1/2 |
| Problems | Name | D | g | h | Theoretical Optimum |
|---|---|---|---|---|---|
| 1 | Process synthesis problem | 7 | 9 | 0 | 2.9248305537 |
| 2 | Weight minimization of a speed reducer | 7 | 11 | 0 | 2994.4244658 |
| 3 | Tension/compression spring design | 3 | 3 | 0 | 0.0126652328 |
| 4 | Welded beam design | 4 | 5 | 0 | 1.6702177263 |
| 5 | Three-bar truss design problem | 2 | 3 | 0 | 263.89584338 |
| 6 | Step-cone pulley problem | 5 | 8 | 3 | 16.069868725 |
| 7 | Gas transmission compressor design | 4 | 1 | 0 | 2964895.4173 |
| 8 | Himmelblau’s function | 5 | 6 | 0 | −30665.538672 |
| Algorithm | Best | Mean | Worst | Std |
|---|---|---|---|---|
| MSAPO | 2.9248305537 | 2.9567965365 | 3.0817321271 | 0.0576094552 |
| APO | 2.9248399811 | 4.0124755032 | 10.7468528193 | 1.5855135136 |
| SMA | 6.9401199033 | 8.2048307039 | 11.4765727690 | 1.0678409572 |
| AVOA | 2.9248661295 | 3.2633425379 | 4.6900000052 | 0.6078710167 |
| SO | 2.9249114461 | 3.1079971435 | 4.2067341051 | 0.3686948968 |
| ARO | 2.9478917107 | 5.2080351840 | 12.5176062100 | 2.1988190414 |
| NOA | 2.9248305887 | 2.9382490990 | 3.0817321272 | 0.0397377470 |
| PSA | 2.9248428546 | 3.2819797321 | 4.7675006101 | 0.6159630085 |
| GWO | 2.9253957231 | 3.9055577651 | 7.1927710471 | 1.0964234765 |
| WOA | 2.9537565214 | 7.1137945439 | 13.3068528194 | 2.9114996820 |
| SSA | 2.9249923546 | 3.7996127327 | 4.9004992902 | 0.5862288981 |
| XPSO | 2.9249112624 | 3.7502193662 | 4.3239583112 | 0.5614549006 |
| FVICLPSO | 2.9248749385 | 3.3074364193 | 9.7542315171 | 1.2546785460 |
| SRPSO | 2.9248469916 | 3.4994773978 | 4.7884444002 | 0.6988961273 |
| Algorithm | Best | Mean | Worst | Std |
|---|---|---|---|---|
| MSAPO | 2994.4244658 | 2994.4244658 | 2994.4244658 | 8.40212E−13 |
| APO | 2994.4244689 | 2994.4244903 | 2994.4245585 | 1.98659E−05 |
| SMA | 2994.4263711 | 2994.4386356 | 2994.4941633 | 0.017359420 |
| AVOA | 2995.2005851 | 3003.6911932 | 3015.3627013 | 5.491776785 |
| SO | 2994.4244791 | 2994.8558129 | 3004.1586289 | 1.779878646 |
| ARO | 2996.0258442 | 3007.8257333 | 3062.6094724 | 1.45742E+01 |
| NOA | 2994.4244759 | 2994.4245298 | 2994.4246962 | 4.89070E−05 |
| PSA | 2994.4244658 | 2994.4269891 | 2994.4779000 | 0.010037723 |
| GWO | 3003.1078646 | 3010.5175094 | 3020.6678488 | 4.524933383 |
| WOA | 3009.4481980 | 3569.7259609 | 5590.4352755 | 7.76495E+02 |
| SSA | 3005.7441059 | 3036.9393368 | 3077.0139370 | 2.00322E+01 |
| XPSO | 3016.3628953 | 3021.7943767 | 3032.8365703 | 4.399323516 |
| FVICLPSO | 2994.4244658 | 2994.4244658 | 2994.4244658 | 1.33940E−10 |
| SRPSO | 2994.4244893 | 2994.4245727 | 2994.4247738 | 6.86375E−05 |
| Algorithm | Best | Mean | Worst | Std |
|---|---|---|---|---|
| MSAPO | 0.0126652328 | 0.0126704094 | 0.0126948831 | 7.32811E−06 |
| APO | 0.0126652415 | 0.0126871934 | 0.0128011915 | 3.61245E−05 |
| SMA | 0.0126679717 | 0.0138679784 | 0.0167808421 | 0.001419395 |
| AVOA | 0.0126706339 | 0.0130264391 | 0.0146153522 | 0.000524042 |
| SO | 0.0126656203 | 0.0139378884 | 0.0177731593 | 0.001590096 |
| ARO | 0.0126797608 | 0.0139075607 | 0.0178426895 | 0.001733137 |
| NOA | 0.0126652731 | 0.0126676503 | 0.0126796726 | 3.20593E−06 |
| PSA | 0.0126661331 | 0.0135899226 | 0.0177565113 | 0.001410830 |
| GWO | 0.0126870740 | 0.0127901204 | 0.0134796661 | 0.000173615 |
| WOA | 0.0126654174 | 0.0136971554 | 0.0156213048 | 0.000951365 |
| SSA | 0.0126877585 | 0.0143562308 | 0.0253877782 | 0.002781414 |
| XPSO | 0.0127082064 | 0.0133515199 | 0.0152318504 | 0.000653020 |
| FVICLPSO | 0.0126705572 | 0.0130786819 | 0.0141212303 | 0.000435546 |
| SRPSO | 0.0127084467 | 0.0131377135 | 0.0142782804 | 0.000472955 |
| Algorithm | Best | Mean | Worst | Std |
|---|---|---|---|---|
| MSAPO | 1.6702177263 | 1.6702177263 | 1.6702177263 | 1.29848E−13 |
| APO | 1.6702183328 | 1.6778701701 | 1.7842171850 | 0.023168762 |
| SMA | 1.6702487613 | 1.6751435731 | 1.6933727705 | 0.005433919 |
| AVOA | 1.6713845802 | 1.7633507602 | 1.8167103299 | 0.055203758 |
| SO | 1.6702280567 | 1.7231724113 | 2.1226856454 | 0.118830458 |
| ARO | 1.6975457985 | 2.5877041799 | 3.8347423812 | 0.640174267 |
| NOA | 1.6702235402 | 1.6702423297 | 1.6702993293 | 1.73743E−05 |
| PSA | 1.6703761548 | 1.9560517976 | 3.3272873272 | 0.411996244 |
| GWO | 1.6724873061 | 1.6754632067 | 1.6795218097 | 0.002139746 |
| WOA | 1.7399909610 | 2.6743731903 | 4.8117067328 | 0.798276810 |
| SSA | 1.6931472325 | 1.8481224290 | 2.1500098911 | 0.117680402 |
| XPSO | 1.6702177263 | 1.6702277075 | 1.6704642030 | 4.48547E−05 |
| FVICLPSO | 1.7020056012 | 2.1013504928 | 2.8391906018 | 0.306116774 |
| SRPSO | 1.6702196010 | 1.6705078375 | 1.6743392358 | 0.000944901 |
| Algorithm | Best | Mean | Worst | Std |
|---|---|---|---|---|
| MSAPO | 263.89584338 | 263.89584337646 | 263.89584337646 | 1.73446E−13 |
| APO | 263.89584338 | 263.89584337658 | 263.89584337805 | 3.22794E−10 |
| SMA | 265.95665827 | 270.29189062052 | 275.61967619448 | 2.355049747 |
| AVOA | 263.89600718 | 263.92932771908 | 264.13246725461 | 0.049148698 |
| SO | 263.89584735 | 263.89696737254 | 263.90656067239 | 0.002099651 |
| ARO | 263.89584349 | 264.10592832336 | 265.44290385159 | 0.392013217 |
| NOA | 263.89584338 | 263.89584337649 | 263.89584337672 | 5.44970E−11 |
| PSA | 263.89593168 | 263.91828913156 | 264.02871756670 | 0.036145621 |
| GWO | 263.89687204 | 263.90453317790 | 263.93006692201 | 0.007237521 |
| WOA | 263.90872632 | 265.47952244582 | 276.93666249896 | 2.597531606 |
| SSA | 263.89584427 | 263.89866520994 | 263.91408335124 | 0.004029022 |
| XPSO | 263.89584473 | 263.89604262610 | 263.89732158037 | 0.000360897 |
| FVICLPSO | 263.89584516 | 265.19163306555 | 276.52973206872 | 2.696934891 |
| SRPSO | 263.89584824 | 263.89631291786 | 263.89841919628 | 0.000590811 |
| Algorithm | Best | Mean | Worst | Std |
|---|---|---|---|---|
| MSAPO | 16.090274300 | 16.426945548 | 17.093777443 | 0.375730967 |
| APO | 16.839771316 | 17.061646619 | 17.168089491 | 0.079676469 |
| SMA | 16.331295978 | 17.617562900 | 18.372309194 | 0.597217204 |
| AVOA | 16.728701723 | 17.540694286 | 18.238688014 | 0.417091341 |
| SO | 16.095500756 | 17.033309112 | 18.255985273 | 0.610190959 |
| ARO | 2.71328E+03 | 9.67806E+06 | 8.48363E+07 | 1.83876E+07 |
| NOA | 16.574080056 | 16.949591089 | 18.272980440 | 0.340123629 |
| PSA | 16.090380768 | 16.434240825 | 17.039689943 | 0.278482514 |
| GWO | 1.42761E+06 | 2.71227E+07 | 6.07531E+07 | 1.75319E+07 |
| WOA | 20.455741626 | 3.82896E+10 | 3.51545E+11 | 9.98215E+10 |
| SSA | 16.245060480 | 17.338372133 | 18.243798196 | 0.448903199 |
| XPSO | 16.754399927 | 7.57199E+06 | 5.39672E+07 | 1.48767E+07 |
| FVICLPSO | 16.232505496 | 1.33555E+02 | 1.63368E+03 | 3.36975E+02 |
| SRPSO | 16.280795257 | 16.757981083 | 17.167246649 | 0.305472989 |
| Algorithm | Best | Mean | Worst | Std |
|---|---|---|---|---|
| MSAPO | 2964895.4159 | 2964895.4159 | 2964895.4159 | 1.27673E−09 |
| APO | 2964895.4159 | 2964895.4180 | 2964895.4685 | 9.59826E−03 |
| SMA | 2964895.7984 | 2970576.9272 | 2986613.5619 | 6.07937E+03 |
| AVOA | 2965125.9575 | 2988025.3479 | 3050307.0127 | 2.42679E+04 |
| SO | 2964895.9219 | 2965144.1092 | 2967033.7792 | 4.48052E+02 |
| ARO | 2965405.3971 | 4846531.7268 | 9269316.8937 | 1.86248E+06 |
| NOA | 2964895.4159 | 2964895.4161 | 2964895.4190 | 5.88091E−04 |
| PSA | 2964909.4536 | 2967324.6361 | 2973467.1197 | 2.52014E+03 |
| GWO | 2965013.9619 | 2965785.7088 | 2967150.4799 | 6.17094E+02 |
| WOA | 2965320.6740 | 3026321.8463 | 3198106.6990 | 5.59910E+04 |
| SSA | 2969856.0018 | 3153184.2561 | 3491860.7554 | 1.65074E+05 |
| XPSO | 2964909.5186 | 2965984.0353 | 2969341.8160 | 1.23956E+03 |
| FVICLPSO | 2965548.9840 | 3284138.6178 | 6057429.3534 | 6.61504E+05 |
| SRPSO | 2964913.0328 | 2967587.7629 | 2982479.5468 | 4.01481E+03 |
| Algorithm | Best | Mean | Worst | Std |
|---|---|---|---|---|
| MSAPO | −30665.538672 | −30665.538672 | −30665.538672 | 1.02453E−11 |
| APO | −30665.538333 | −30665.510505 | −30665.087633 | 0.082171306 |
| SMA | −30665.538492 | −30665.516100 | −30665.389277 | 0.032493939 |
| AVOA | −30665.538466 | −30586.627024 | −30211.002626 | 1.50529E+02 |
| SO | −30665.538671 | −30665.070138 | −30652.087564 | 2.454381948 |
| ARO | −30574.908116 | −29982.671102 | −29177.285241 | 3.42334E+02 |
| NOA | −30665.538294 | −30665.533662 | −30665.524086 | 0.003413955 |
| PSA | −30665.538670 | −30662.245165 | −30581.025254 | 1.54469E+01 |
| GWO | −30663.897917 | −30657.336829 | −30643.939903 | 4.045396571 |
| WOA | −30585.962162 | −29725.582260 | −28958.010459 | 4.10427E+02 |
| SSA | −30637.811103 | −30495.116447 | −30150.498669 | 1.27269E+02 |
| XPSO | −30644.802248 | −30610.381679 | −30476.647281 | 3.21344E+01 |
| FVICLPSO | −30659.626134 | −30501.241730 | −29955.150983 | 1.74227E+02 |
| SRPSO | −30665.537638 | −30664.535049 | −30636.737930 | 5.250368207 |
Disclaimer/Publisher’s Note: The statements, opinions and data contained in all publications are solely those of the individual author(s) and contributor(s) and not of MDPI and/or the editor(s). MDPI and/or the editor(s) disclaim responsibility for any injury to people or property resulting from any ideas, methods, instructions or products referred to in the content. |
© 2025 by the authors. Licensee MDPI, Basel, Switzerland. This article is an open access article distributed under the terms and conditions of the Creative Commons Attribution (CC BY) license (https://creativecommons.org/licenses/by/4.0/).
Share and Cite
Bo, H.; Wu, J.; Hu, G. MSAPO: A Multi-Strategy Fusion Artificial Protozoa Optimizer for Solving Real-World Problems. Mathematics 2025, 13, 2888. https://doi.org/10.3390/math13172888
Bo H, Wu J, Hu G. MSAPO: A Multi-Strategy Fusion Artificial Protozoa Optimizer for Solving Real-World Problems. Mathematics. 2025; 13(17):2888. https://doi.org/10.3390/math13172888
Chicago/Turabian StyleBo, Hanyu, Jiajia Wu, and Gang Hu. 2025. "MSAPO: A Multi-Strategy Fusion Artificial Protozoa Optimizer for Solving Real-World Problems" Mathematics 13, no. 17: 2888. https://doi.org/10.3390/math13172888
APA StyleBo, H., Wu, J., & Hu, G. (2025). MSAPO: A Multi-Strategy Fusion Artificial Protozoa Optimizer for Solving Real-World Problems. Mathematics, 13(17), 2888. https://doi.org/10.3390/math13172888



