Nonlinear Dynamics Analysis of the Wheel-Side Planetary Reducer with Tooth Wear for the In-Wheel Motored Electric Vehicle
Abstract
1. Introduction
2. Dynamic Model of the Wheel-Side Planetary Reducer System
- The planet carrier, ring gear, sun gear, and planet gears are regarded as rigid bodies.
- The meshing between different gears is simplified as cylinders connected by a spring and damping. Other connections are considered as an elastic spring.
- The planet gears on the planet carrier are equally distributed along the circumferential direction.
- The dispersed meshing force within the planetary reducer due to axial vibration is ignored.
3. Dynamic Gear Mesh Excitation Considering Tooth Wear
3.1. Tooth Wear Calculation
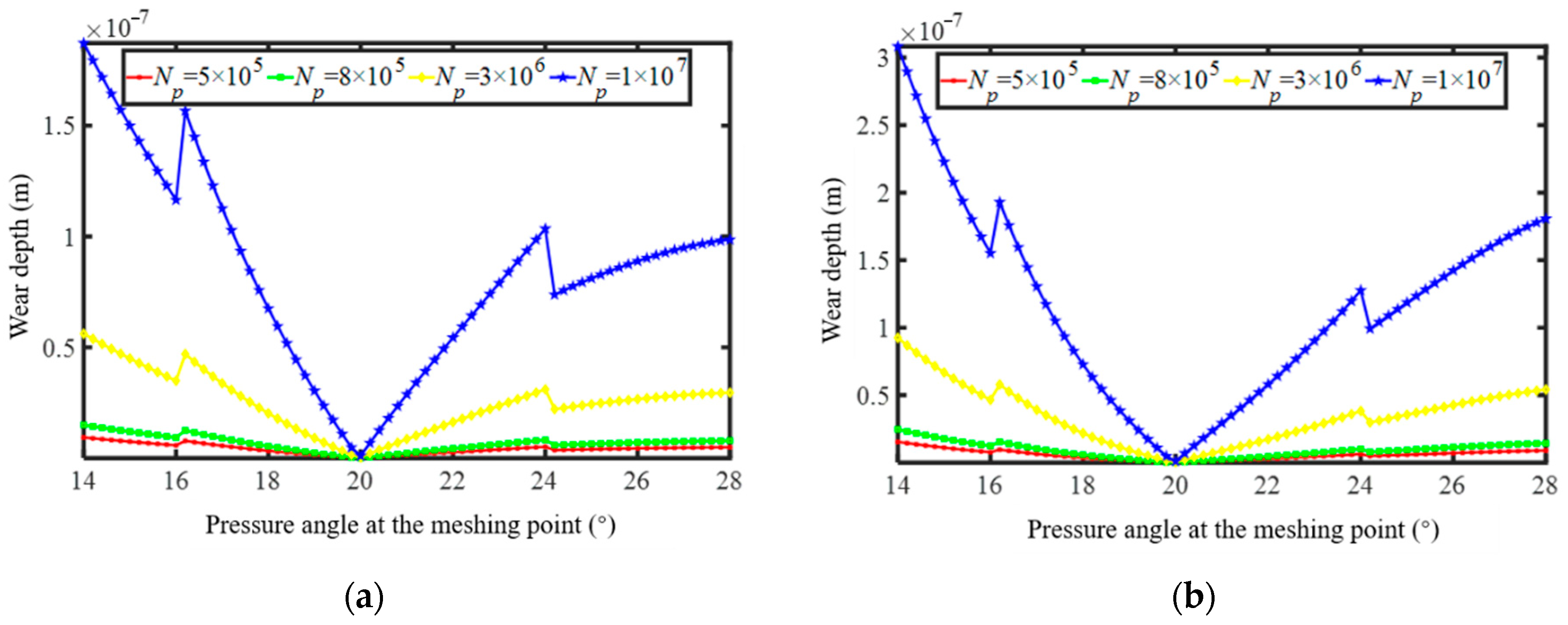
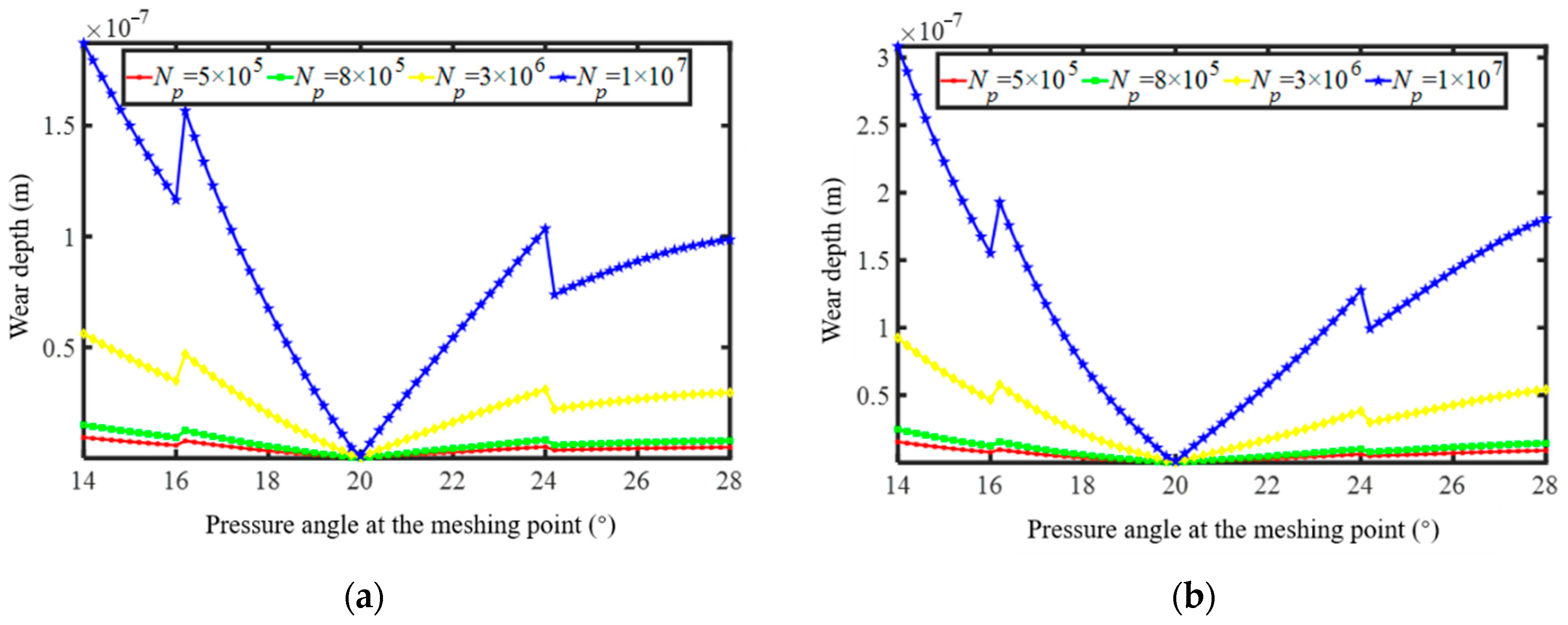
3.2. Tooth Wear Results
3.3. TVMS Model with Tooth Surface Wear
3.4. Piecewise-Linear Backlash Model with Tooth Surface Wear
4. Nonlinear Dynamic Equation of the Planetary Gear Reducer
4.1. Dimensionless Excitations of the System
4.1.1. Dimensionless Time-Varying Meshing Stiffness
4.1.2. Dimensional Periodic Transmission Error
4.1.3. Dimensional Piecewise-Linear Backlash
4.2. Dimensionless Differential Equation of the Planetary Gear Reducer
4.3. Periodic Solutions of the System and Stability Judgment
4.3.1. Solving for Periodic Solutions
4.3.2. Stability Analysis of Periodic Solutions
5. Simulation Study of the System Dynamics
5.1. Dynamic Characteristics Without Tooth Wear
5.2. Dynamic Characteristics with Tooth Wear
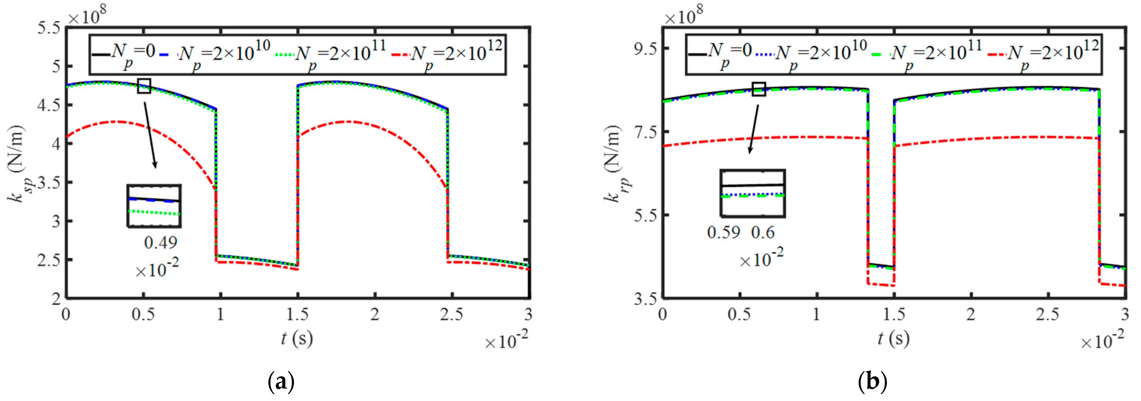
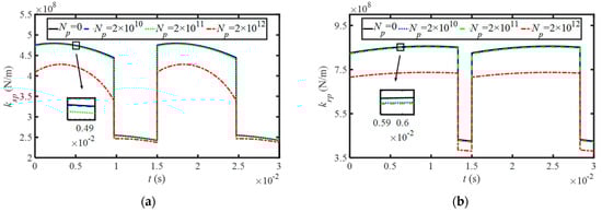
5.2.1. Influence of Meshing Stiffness
5.2.2. Influence of Piecewise-Linear Backlash
6. Conclusions
Author Contributions
Funding
Data Availability Statement
Conflicts of Interest
References
- Shi, D.S.L.; Xu, H.; Wang, S.; Wang, L. Design and test of adaptive energy management strategy for plug-in hybrid electric vehicle considering traffic information. Energy 2025, 325, 136093. [Google Scholar] [CrossRef]
- Zhu, Z.; Zeng, L.X.; Chen, L.; Zou, R.; Cai, Y.F. Fuzzy Adaptive Energy Management Strategy for a Hybrid Agricultural Tractor Equipped with HMCVT. Agriculture 2022, 12, 1986. [Google Scholar] [CrossRef]
- Tong, Y.; Li, C.; Wang, G.; Jing, H. Integrated Path-Following and Fault-Tolerant Control for Four-Wheel Independent-Driving Electric Vehicles. Automot. Innov. 2022, 5, 311–323. [Google Scholar] [CrossRef]
- Li, Y.M.; Liu, Y.B.; Ji, K.Z.; Zhu, R.H. A Fault Diagnosis Method for a Differential Inverse Gearbox of a Crawler Combine Harvester Based on Order Analysis. Agriculture 2022, 12, 1300. [Google Scholar] [CrossRef]
- Zhu, Z.H.; Chai, X.Y.; Xu, L.Z.; Quan, L.; Yuan, C.C.; Tian, S.C. Design and performance of a distributed electric drive system for a series hybrid electric combine harvester. Biosyst. Eng. 2023, 236, 160–174. [Google Scholar] [CrossRef]
- Wang, W.; Durack, J.M.; Durack, M.J.; Zhang, J.; Zhao, P. Automotive Traction Drive Speed Reducer Efficiency Testing. Automot. Innov. 2021, 4, 81–92. [Google Scholar] [CrossRef]
- Gao, Y.Y.; Yang, Y.F.; Fu, S.; Feng, K.Y.; Han, X.; Hu, Y.Y.; Zhu, Q.Z.; Wei, X.H. Analysis of Vibration Characteristics of Tractor-Rotary Cultivator Combination Based on Time Domain and Frequency Domain. Agriculture 2024, 14, 1139. [Google Scholar] [CrossRef]
- Sun, T.; Hu, H. Nonlinear dynamics of a planetary gear system with multiple clearances. Mech. Mach. Theory 2003, 38, 1371–1390. [Google Scholar] [CrossRef]
- Benguria, R.D.; Depassier, M.C. Upper and lower bounds for the speed of fronts of the reaction diffusion equation with Stefan boundary conditions. Nonlinearity 2023, 36, 4425. [Google Scholar] [CrossRef]
- Winkler, M. Stabilization despite pervasive strong cross-degeneracies in a nonlinear diffusion model for migration-consumption interaction. Nonlinearity 2023, 36, 4438–4469. [Google Scholar] [CrossRef]
- Ericson, T.M.; Parker, R.G. Experimental measurement and finite element simulation of elastic-body vibration in planetary gears. Mech. Mach. Theory 2021, 160, 23. [Google Scholar] [CrossRef]
- Dai, H.; Long, X.; Chen, F.; Xun, C. An improved analytical model for gear mesh stiffness calculation. Mech. Mach. Theory 2021, 159, 104262. [Google Scholar] [CrossRef]
- Liang, X.; Zuo, M.J.; Patel, T.H. Evaluating the time-varying mesh stiffness of a planetary gear set using the potential energy method. Proc. Inst. Mech. Eng. Part C J. Mech. Eng. Sci. 2014, 228, 535–547. [Google Scholar] [CrossRef]
- Liang, X.; Zuo, M.J.; Pandey, M. Analytically evaluating the influence of crack on the mesh stiffness of a planetary gear set. Mech. Mach. Theory 2014, 76, 20–38. [Google Scholar] [CrossRef]
- Liu, C.; Yin, X.; Liao, Y.; Yi, Y.; Qin, D. Hybrid dynamic modeling and analysis of the electric vehicle planetary gear system. Mech. Mach. Theory 2020, 150, 103860. [Google Scholar] [CrossRef]
- Liu, Y.; Chen, L.; Cai, T.; Sun, W.; Xu, X.; Wang, S. Dual-pump control algorithm of two-speed powershift transmissions in electric vehicles. Automot. Innov. 2022, 5, 57–69. [Google Scholar] [CrossRef]
- Chaari, F.; Fakhfakh, T.; Haddar, M. Dynamic analysis of a planetary gear failure caused by tooth pitting cracking. J. Fail. Anal. Prev. 2006, 6, 73–78. [Google Scholar] [CrossRef]
- Feng, W.; Feng, Z.; Mao, L. Failure analysis of a secondary driving helical gear in transmission of electric vehicle. Eng. Fail. Anal. 2020, 117, 104934. [Google Scholar] [CrossRef]
- Wang, F.; Zhang, J.; Xu, X.; Cai, Y.; Zhou, Z.; Sun, X. New teeth surface and back (TSB) modification method for transient torsional vibration suppression of planetary gear powertrain for an electric vehicle. Mech. Mach. Theory 2019, 140, 520–537. [Google Scholar] [CrossRef]
- Sharma, V.; Parey, A. A review of gear fault diagnosis using various condition indicators. Procedia Eng. 2016, 144, 253–263. [Google Scholar] [CrossRef]
- Gołębski, R.; Szarek, A. Diagnosis of the operational gear wheel wear. Teh. Vjesn. 2019, 26, 658–661. [Google Scholar] [CrossRef]
- Zhang, R.; Gu, F.; Mansaf, H.; Wang, T.; Ball, A.D. Gear wear monitoring by modulation signal bispectrum based on motor current signal analysis. Mech. Syst. Signal Process. 2017, 94, 202–213. [Google Scholar] [CrossRef]
- Wang, F.; Cai, Q.; Zhang, Y. Failure analysis and wear mechanism study of a heavily loaded gear. Tribol. Int. 1985, 18, 93–99. [Google Scholar] [CrossRef]
- Choy, F.; Polyshchuk, V.; Zakrajsek, J.; Handschuh, R.; Townsend, D. Analysis of the effects of surface pitting and wear on the vibrations of a gear transmission system. Tribol. Int. 1994, 29, 77–83. [Google Scholar] [CrossRef]
- İmrek, H.; Düzcükoğlu, H. Relation between wear and tooth width modification in spur gears. Wear 2007, 262, 390–394. [Google Scholar] [CrossRef]
- Kuang, J.; Lin, A. The effect of tooth wear on the vibration spectrum of a spur gear pair. J. Vib. Acoust. 2001, 123, 311–317. [Google Scholar] [CrossRef]
- Guo, Y.; Parker, R.G. Dynamic analysis of planetary gears with bearing clearance. J. Comput. Nonlinear Dyn. 2012, 7. [Google Scholar] [CrossRef]
- Li, S.; Wu, Q.; Zhang, Z. Bifurcation and chaos analysis of multistage planetary gear train. Nonlinear Dyn. 2014, 75, 217–233. [Google Scholar] [CrossRef]
- Sheng, D.-p.; Zhu, R.-p.; Jin, G.-h.; Lu, F.-x.; Bao, H.-y. Bifurcation chaos study on transverse-torsional coupled 2K-Hplanetary gear train with multiple clearances. J. Cent. South Univ. 2016, 23, 86–101. [Google Scholar] [CrossRef]
- Zhang, J.; Guo, H.; Yu, H.; Zhang, T. Numerical experimental investigation on nonlinear dynamic characteristics of planetary gear train. J. Theor. Appl. Mech. 2020, 58, 1009–1022. [Google Scholar] [CrossRef]
- Yang, H.; Li, X.; Xu, J.; Yang, Z.; Chen, R. Dynamic characteristics analysis of planetary gear system with internal and external excitation under turbulent wind load. Sci. Prog. 2021, 104, 1–21. [Google Scholar] [CrossRef]
- Wang, F.; Xia, J.; Xu, X.; Cai, Y.; Zhou, Z.; Sun, X. New clutch oil-pressure establishing method design of PHEVs during mode transition process for transient torsional vibration suppression of planetary power-split system. Mech. Mach. Theory 2020, 148, 103801. [Google Scholar] [CrossRef]
- Liu, H.; Xie, Y.; Wu, Y.; Gao, P.; Han, L.; Xiang, C.; Ma, Y.; Yan, K.; Yan, Q.; Gai, J.; et al. Study on electromechanical coupling inherent vibration characteristics and parameter influencing law of EMT system used in HEV. Proc. Inst. Mech. Eng. Part D J. Automob. Eng. 2023. [Google Scholar] [CrossRef]
- Feng, K.; Smith, W.A.; Peng, Z. Use of an improved vibration-based updating methodology for gear wear prediction. Eng. Fail. Anal. 2021, 120, 9. [Google Scholar] [CrossRef]
- Anders Flodin, S.A. Simulation of mild wear in spur gears. Wear 1997, 207, 16–23. [Google Scholar] [CrossRef]
- Tunalioğlu, M.Ş.; Tuç, B. Theoretical and experimental investigation of wear in internal gears. Wear 2014, 309, 208–215. [Google Scholar] [CrossRef]
- Shen, Z.; Qiao, B.; Yang, L.; Luo, W.; Chen, X. Evaluating the influence of tooth surface wear on TVMS of planetary gear set. Mech. Mach. Theory 2019, 136, 206–223. [Google Scholar] [CrossRef]
- Wang, Y.A.; Wang, H.; Li, K.Y.; Qiao, B.J.; Shen, Z.X.; Chen, X.F. An analytical method to calculate the time-varying mesh stiffness of spiral bevel gears with cracks. Mech. Mach. Theory 2023, 188, 28. [Google Scholar] [CrossRef]
- Liang, X.; Zhang, H.; Liu, L.; Zuo, M.J. The influence of tooth pitting on the mesh stiffness of a pair of external spur gears. Mech. Mach. Theory 2016, 106, 1–15. [Google Scholar] [CrossRef]
- Parker, R.G. A physical explanation for the effectiveness of planet phasing to suppress planetary gear vibration. J. Sound Vib. 2000, 236, 561–573. [Google Scholar] [CrossRef]
- Chaari, F.; Fakhfakh, T.; Haddar, M. Analytical modelling of spur gear tooth crack influence on gearmesh stiffness. Eur. J. Mech. A-Solids 2009, 28, 461–468. [Google Scholar] [CrossRef]
- Ren, Z.-H.; Fu, L.; Liu, Y.-J.; Zhou, S.-H.; Wen, B.-C. Nonlinear Dynamic Characteristic Analysis of Planetary Gear Transmission System for the Wind Turbine. J. Appl. Nonlinear Dyn. 2015, 4, 281–294. [Google Scholar] [CrossRef]
- Wang, X. A Study on Coupling Faults’ Characteristics of Fixed-Axis Gear Crack and Planetary Gear Wear. Shock Vib. 2018, 2018, 4692796. [Google Scholar] [CrossRef]
- Li, T.J.; Zhu, R.P. Global Analysis of a Planetary Gear Train. Shock Vib. 2014, 2014, 6. [Google Scholar] [CrossRef]
- Li, T.J.; Zhu, R.P.; Bao, H.Y.; Xiang, C.L. Stability of motion state and bifurcation properties of planetary gear train. J. Cent. South Univ. 2012, 19, 1543–1547. [Google Scholar] [CrossRef]
- Shuai, M.; Zhang, Y.X.; Song, Y.L.; Song, W.H.; Huang, Y.S. Nonlinear vibration and primary resonance analysis of non-orthogonal face gear-rotor-bearing system. Nonlinear Dyn. 2022, 108, 3367–3389. [Google Scholar] [CrossRef]
- Zhang, X.; Zhong, J.X.; Li, W.; Bocian, M. Nonlinear dynamic analysis of high-speed gear pair with wear fault and tooth contact temperature for a wind turbine gearbox. Mech. Mach. Theory 2022, 173, 20. [Google Scholar] [CrossRef]
- Wang, J.; Chen, X.; Bi, X.C.; Luo, Z.J.; Mo, R.N. Dynamic analysis of TBM multi-gear parallel transmission system considering the influence of multiple factors. J. Mech. Sci. Technol. 2024, 38, 5323–5340. [Google Scholar] [CrossRef]





















| X | A (10−5) | B (10−3) | C (10−4) | D (10−3) | E | F |
|---|---|---|---|---|---|---|
| L* | −5.574 | 1.9986 | 2.3015 | 4.7702 | 0.0271 | 6.8045 |
| M* | 60.111 | 28.1 | 83.431 | 9.9256 | 0.1624 | 0.9086 |
| P* | 50.952 | 185.5 | 0.0538 | 53.3 | 0.2895 | 0.9236 |
| Q* | 6.2042 | 9.0889 | 4.0964 | 7.8297 | 0.1472 | 0.6904 |
| Parameters | Sun Gear | Planet Gears | Ring Gear |
|---|---|---|---|
| Tooth number | 48 | 24 | 96 |
| Module (mm) | 2.5 | 2.5 | 2.5 |
| Pressure angle (°) | 20 | 20 | 20 |
| Tooth width (mm) | 25 | 25 | 25 |
| Young’s modulus (Pa) | 2.06 × 1011 | 2.06 × 1011 | 2.06 × 1011 |
| Poisson’s ratio | 0.3 | 0.3 | 0.3 |
| Base circle radius (mm) | 98.75 | 49.334 | 197.335 |
| Parameter | Value | Parameter | Value |
|---|---|---|---|
| Tm (Nm) | 1000/3 | kas (Nm/rad) | 2 × 107 |
| Tw (Nm) | 1000 | cas (Nms/rad) | 150 |
| kespj (N/m) | 3.824 × 108 | kcw (Nm/rad) | 8 × 107 |
| kerpj (N/m) | 7.922 × 108 | ccw (Nms/rad) | 210 |
| Eipj/bd | 1.5 | bd (μm) | 5 |
| Case | Meshing Cycles | Average Meshing Stiffness (N/m) | |
|---|---|---|---|
| kespj | kerpj | ||
| case1 | 0 | 3.824 × 108 | 7.922 × 108 |
| case2 | 2 × 1010 | 3.809 × 108 | 7.901 × 108 |
| case3 | 2 × 1011 | 3.796 × 108 | 7.880 × 108 |
| case4 | 2 × 1012 | 3.612 × 108 | 7.691 × 108 |
| Case | Meshing Cycles | Backlash (mm) |
|---|---|---|
| case1 | 2 × 1012 | 2 |
| case2 | 2 × 1011 | 1.2 |
| case3 | 2 × 1010 | 1.1 |
| case4 | 0 | 1 |
Disclaimer/Publisher’s Note: The statements, opinions and data contained in all publications are solely those of the individual author(s) and contributor(s) and not of MDPI and/or the editor(s). MDPI and/or the editor(s) disclaim responsibility for any injury to people or property resulting from any ideas, methods, instructions or products referred to in the content. |
© 2025 by the authors. Licensee MDPI, Basel, Switzerland. This article is an open access article distributed under the terms and conditions of the Creative Commons Attribution (CC BY) license (https://creativecommons.org/licenses/by/4.0/).
Share and Cite
Shi, D.; Sun, L.; Zhang, Q.; Wang, S.; Zhang, K.; Yin, C.; Li, C. Nonlinear Dynamics Analysis of the Wheel-Side Planetary Reducer with Tooth Wear for the In-Wheel Motored Electric Vehicle. Mathematics 2025, 13, 2885. https://doi.org/10.3390/math13172885
Shi D, Sun L, Zhang Q, Wang S, Zhang K, Yin C, Li C. Nonlinear Dynamics Analysis of the Wheel-Side Planetary Reducer with Tooth Wear for the In-Wheel Motored Electric Vehicle. Mathematics. 2025; 13(17):2885. https://doi.org/10.3390/math13172885
Chicago/Turabian StyleShi, Dehua, Le Sun, Qirui Zhang, Shaohua Wang, Kaimei Zhang, Chunfang Yin, and Chun Li. 2025. "Nonlinear Dynamics Analysis of the Wheel-Side Planetary Reducer with Tooth Wear for the In-Wheel Motored Electric Vehicle" Mathematics 13, no. 17: 2885. https://doi.org/10.3390/math13172885
APA StyleShi, D., Sun, L., Zhang, Q., Wang, S., Zhang, K., Yin, C., & Li, C. (2025). Nonlinear Dynamics Analysis of the Wheel-Side Planetary Reducer with Tooth Wear for the In-Wheel Motored Electric Vehicle. Mathematics, 13(17), 2885. https://doi.org/10.3390/math13172885

