Abstract
The influence of polar ice-covered environments on the corrosion-related static electric field (CRSE) of underwater vehicles is critical for understanding and applying the characteristics of underwater electric fields in polar regions. This study utilizes a combined methodology involving COMSOL Multiphysics 6.1 simulations and laboratory-simulated experiments to systematically investigate the distribution characteristics of underwater vehicle electric fields under ice-covered conditions. By comparing the electric field distributions in scenarios with and without ice coverage, this study clarifies the effect of ice presence on the behavior of underwater electric fields. The simulation results demonstrate that the existence of ice layers enhances both the electric potential and field strength, with the degree of influence depending on the ice layer conductivity, thickness, and proximity of the measurement points to the ice layer. The accumulation of error analysis and laboratory experiments corroborates the reliability of the simulation results, demonstrating that ice layers enhance electric field signals by modifying the conductive properties of the surrounding medium, whereas the overall spatial distribution characteristics remain largely consistent. These findings offer a theoretical and technical basis for the optimization of stealth strategies in polar underwater vehicles and contribute to the advancement of electric field detection technologies.
Keywords:
polar; ice layer; underwater vehicle; corrosion-related static electric field; influence laws MSC:
78-10
1. Introduction
Owing to its unique ice-covered characteristics, the Arctic Ocean has become a strategic area for modern submarine stealth operations []. The safe navigation of submarines in polar environments, along with the detection and early warning of enemy submarines, has become a critical aspect of enhancing the operational effectiveness of submarine missions in these regions [,]. Nevertheless, the risk of exposure through submarine underwater physical fields—namely, acoustic, magnetic, and electric—continues to pose significant limitations on their combat capabilities. Conducting targeted research on the distribution characteristics and behavioral patterns of these physical fields under polar conditions is essential for advancing technologies related to submarine detection, early warning, tracking, and engagement.
With the rapid advancement of electric field measurement sensor technologies, submarine underwater electric fields have become among the most significant underwater military target characteristics, alongside acoustic, pressure, and magnetic fields [,,]. Regardless of whether a submarine is stationary or in motion, it is consistently enveloped by an electric field within the surrounding seawater. The dominant component of this field is the static electric field (commonly referred to as the corrosion-related static electric field (CRSE), for related abbreviations and symbols, please refer to Appendix A) generated by dissimilar metal corrosion and anticorrosion measures [,,], which accounts for the largest proportion of energy. Furthermore, the extremely low-frequency alternating electric field generated by the modulation of the static electric field constitutes the most prominent and detectable target characteristic of submarine underwater electric fields. Consequently, related research has focused predominantly on the investigation of static electric fields [,,].
The presence of surface ice layers in polar marine environments modifies the spatial domain, thereby inevitably influencing the distribution characteristics of the submarine CRSE. A comprehensive understanding of the mechanisms through which ice layers affect submarine underwater electric fields is essential for the advancement of electric field-based localization and tracking technologies tailored for polar operations. This study specifically examines the impact of ice layers on CRSE by initially employing a COMSOL Multiphysics finite element model to simulate the distribution of CRSE under ice-covered conditions. By comparing scenarios with varying ice layer conductivities, thicknesses, and measurement depths, the influence of ice layers on the CRSE is revealed. The results of laboratory experiments further validate the simulation results. The findings of this research establish a foundation for enhanced military application of polar submarine underwater electric fields, providing theoretical guidance for the optimization of submarine stealth strategies and the advancement of electric field detection technologies in Arctic operations.
2. Physics Problem and Mathematical Description
The CRSE of a submarine primarily originates from the anode-cathode current loop of the impressed current cathodic protection (ICCP) system. To achieve anticorrosion effects, a controlled current of specified intensity is supplied from the anode of the ICCP system and directed toward the submarine’s propeller, which serves as the cathode. This current flow through seawater generates the underwater CRSE. For modeling simplification, the study assumes a pair of square anodes symmetrically positioned on the port and starboard sides of the submarine, with the geometric centers of the anodes and the propeller aligned on the same horizontal plane as the submarine’s central axis. It is further assumed that, aside from the anodes, the submarine hull is entirely covered with sonar-absorbing tiles, with no additional conductive regions exposed.
The submarine operates in ice-covered waters beneath a surface ice layer, as illustrated in Figure 1a. The external environment surrounding the submarine is divided into three distinct domains: the ice layer (Domain I), seawater (Domain II), and seabed (Domain III). In each domain, the potential distribution (with the potential at infinity set to zero), electrical conductivity, and permittivity are denoted by Ui, σi, and εi, respectively, where i = 1, 2, 3. The ice–water interface, water–seabed interface, water-hull interface, ICCP anode surface, and propeller surface are denoted Σ1, Σ2, Σ3, Σ4, and Σ5, respectively. The potential distributions within all three domains satisfy Laplace’s equation. Across interfaces Σ1, Σ2, and Σ3, both the continuity of the electric potential and the continuity of the normal component of the current density are maintained. At interfaces Σ4 and Σ5, the total normal current density within the seawater domain corresponds to the output current Ia from the ICCP anodes and the inflow current Ik to the propeller, respectively. For clarity in the subsequent descriptions, a rectangular coordinate system is established, as shown in Figure 1b. The coordinate origin is defined as the midpoint of the line connecting the geometric center of the anode and the midpoint of the line connecting the propeller center. The direction from the bow to the stern of the submarine is designated the positive x-axis, the direction to the right of the submarine is the positive y-axis, and the upward direction is the positive z-axis.

Figure 1.
Schematic of the submarine and electric field domains under Ice. (a) A 3D schematic diagram of a submarine navigating in waters with an ice-covered surface, (b) A two-dimensional schematic diagram of a submarine navigating in waters with an ice-covered surface.
The above problem can be formulated as a boundary value problem, as shown in Equations (1)–(8).
The current flows out from the anode, passes through the seawater, ice layer, and seabed regions, and eventually enters the cathode. Apart from this, there are no other sources or sinks of current within the domain of interest we are concerned with. Therefore, the electric potential in the domain satisfies Laplace’s equation, as shown in Formula (1):
At the sea ice-seawater interface Σ1, the continuity conditions for both electric potential and current are satisfied:
Similarly, at the seawater–seabed interface Σ2, the continuity conditions for both electric potential and current are satisfied:
The submarine hull surface is treated as an insulating interface, where no current flows into or out of the hull:
In Equation (6), n represents the outward-pointing unit normal vector to the interface.
On the anode surface Σ4, a constant current Ia flows out from the anode and enters the surrounding seawater:
On the anode surface Σ5, there is a constant current Ik flowing into it from the cathode:
3. Finite Element Solution and Simulation Based on COMSOL
As evident from Equations (1)–(8), the physical problem described above involves complex geometries, heterogeneous boundary conditions, and diverse material properties, and it is difficult to obtain its solution by an analytical method. Considering COMSOL software’s ability to handle multiphysics coupling problems, solver stability, and mesh generation adaptability, this paper selects its “Electric Currents” interface for solving the aforementioned problem, with the key parameters considered in the computational process including spatial conductivity, permittivity, current density, and boundary condition configurations.
3.1. Simulation Model Construction and Mesh Generation
Neglecting the effects of air, seabed, and ocean currents, and setting the seawater–seabed interface as an insulating boundary condition, a 3D simulation domain consisting of an ice layer, seawater, and a submarine, along with their corresponding physical models, was established in COMSOL, as shown in Figure 2a.The simulation domain was defined as a cuboid, with the seawater measuring 1500.0 m × 1500.0 m × 400.0 m and the ice layer measuring 1500.0 m × 1500.0 m × 4.0 m. The coordinate system was aligned with that shown in Figure 1b, with the origin set at the geometric center point on the 30.0 m depth plane underwater, following the coordinate origin definition provided in the preceding section. The upper surface of the ice layer was set at z = 30 m, and the seawater–seabed interface was fixed at .

Figure 2.
Simulation Model Construction and Mesh Generation. (a) A diagram of the 3D simulation domain and physical model containing an ice layer, seawater, and a submarine, (b) Schematic diagram of the submarine simulation model and coordinate system.
The submarine’s ICCP system anodes were modeled as platinum sheets with a surface area of 0.5 m2. The geometric centers of the two anode plates were located at coordinates of 20.0 m, 0 m, and 0 m. The propeller was represented as a copper circular disk with a radius of 3.9 m, and its geometric center was also positioned at (20.0 m, 0 m, 0 m).
It is noteworthy that actual submarine propellers are typically made of nickel-aluminum bronze. However, in this study, we focus on investigating the influence of ice layers on the static electric field distribution related to submarine underwater corrosion, with the primary parameter of interest being the conductivity distribution in the environment. Since copper is more readily available and has a similar conductivity (copper has a conductivity of 5.7 × 107 S/m, while nickel-aluminum bronze has a conductivity of approximately 7.0 × 107 S/m), and both are significantly higher than the conductivities of seawater and sea ice, copper was selected as the material for the submarine propeller in both experiments and simulations.
The conductivity, relative permittivity, and ICCP system parameters, including the anode and cathode currents for seawater, ice layers, submarine hulls, anodes, and propellers, are detailed in Table 1.

Table 1.
Simulation Parameter Settings.
After completing the modeling and parameter configuration, spatial discretization was performed using free tetrahedral mesh elements for the simulation model shown in Figure 2a, with the resulting mesh distribution illustrated in Figure 2b. The precision of the computational results is governed by the mesh size and quality, with the present study achieving a total of 57,369,058 discretized elements. The submarine meshing strategy employs automatic adaptive refinement based on geometric configuration complexity and physical field gradients, where regions with higher variational intensity receive denser mesh distributions to ensure high-fidelity discretization in geometrically critical zones.
3.2. Simulation of Submarine CRSE Under Ice-Covered Conditions
Based on the parameters defined in Section 3.1, the “AC/DC” module in COMSOL, designed for solving static and dynamic electric field problems, was employed to solve the simulation model constructed in Figure 2. This produced the current and potential distributions on the z = 0 m and y = 0 m planes, as well as on the submarine surface. The results are presented in Figure 3a, where arrowed streamlines indicate the direction and path of the current flow, and color gradients represent the magnitude of the current density. As evident from the figure:

Figure 3.
Simulation Results of the CRSE for Submarines Under Ice-Covered Surfaces. (a) Distribution diagrams of current and potential on the two planes of z = 0 m and x = 0 m, as well as on the submarine surface, (b) Plot of the potential distribution on the plane at z = −20.0 m, (c) Plot of the Ex distribution on the plane at z = −20.0 m, (d) Plot of the Ey distribution on the plane at z = −20.0 m, (e) Plot of the Ez distribution on the plane at z = −20.0 m.
- In the seawater domain, the ICCP currents are primarily distributed between the anodes and the propeller, with the current density demonstrating a pronounced increase in proximity to either the anodes or the propeller.
- A comparison with references [,,] indicates that the potential distributions on the z = 0 m and y = 0 m planes resemble those generated by an electric dipole. On the y = 0 m plane, the potential distribution exhibits a positive maximum (0.082 V) and a negative maximum (−0.481 V). On the z = 0 m plane, the potential distribution shows two positive maxima (corresponding to the two anodes) and one negative maximum.
- The potential distribution on the submarine surface is symmetric along the central axis, with the anodes exhibiting a positive maximum and the propeller reaching a negative maximum.
Additionally, the electric potential and three-component electric field distributions Ex, Ey, and Ez on the z = −20.0 m plane were computed, with the corresponding results shown in Figure 3b, 3c, 3d, and 3e, respectively. A comparison with the literature [,,] indicates that at this depth, the potential distribution retains the essential characteristics of an electric dipole field, with the planar potential distribution displaying spatially symmetric positive and negative potential peaks. However, owing to the two-anode configuration of the ICCP system, the magnitudes of these peaks are not equal: the maximum positive potential on the anode side is 33.90 mV, whereas the maximum negative potential on the cathode side is −39.30 mV. The spatial distributions of the three electric field components also resemble those of a dipole field, but the magnitudes of these positive and negative peaks exhibit unequal quantitative values. For instance:
- The maxima of Ex are 2.23 mV/m (positive) and 0.87 mV/m (negative), respectively.
- The maxima of Ey are 1.12 mV/m (positive) and 1.13 mV/m (negative).
- The maxima of Ez are 3.14 mV/m (positive) and 2.31 mV/m (negative).
These computational results reflect the inherent symmetry of the simulation model structure and are consistent with the established principles governing current field distributions generated by submerged electrodes [,,]. This confirms that the presence of a uniformly conductive, geometrically regular, and sufficiently large ice layer—despite the introduction of an abrupt conductivity boundary—does not modify the overall spatial distribution characteristics of the submarine’s CRSE.
4. Error Sources Analysis and Accumulation Assessment in Simulation Computations
This study employs COMSOL Multiphysics for steady-state field computations, where the primary sources of accumulated error stem from mesh discretization and nonlinear iteration processes (COMSOL’s solver typically employs iterative algorithms to enhance convergence and stability when addressing multiphysics coupling problems. Even if the problem is inherently linear, the software may introduce iterative steps during preprocessing, error control, or convergence evaluation. These steps are classified as “nonlinear iterations” in cumulative error analysis). We first analyze the impact of two critical parameters (mesh partitioning and relative tolerance) on computational accuracy and stability. The reliability of the results is subsequently quantified through error accumulation assessment.
4.1. Effect of Meshing and Relative Tolerance Configuration
The finite element method (FEM) discretizes a continuous field into nodal values across elements. Consequently, the selection of element types, the simplification of complex geometries, and the settings for mesh size all introduce numerical computation errors. In the simulation presented in this paper, free tetrahedral elements are employed to discretize the spatial domain. An adaptive mechanism is used, wherein the mesh is automatically generated based on the complexity of the geometric structure and physical fields. This approach ensures high-precision discretization in geometrically complex regions. Therefore, the primary source of mesh discretization error in this case stems from the number of elements (abbreviated as Num). While denser meshing clearly improves computational accuracy, excessively fine meshing significantly increases computation time and memory requirements.
In practical modeling and simulation processes, the number of mesh elements is always finite. Insufficient mesh density inevitably introduces some degree of distortion in the field distribution. Moreover, during the solver’s iterative process, errors can accumulate and amplify, potentially leading to invalid computational results. Hence, it becomes essential to control the solver’s iterations by setting convergence thresholds, thereby compelling the solver to perform additional iterations or to terminate appropriately.
Relative tolerance (Rtol) is a dimensionless threshold used to determine whether an iterative solution has converged. Its calculation is based on the relative error norm. Specifically, at the k-th iteration, the solver computes the relative error between the current solution vector uk and the solution vector from the previous iteration uk−1:
where represents the Euclidean norm. When this relative error is less than the set Rtol, the following condition is satisfied:
The iterative process is then deemed to have converged, and the solver stops computing.
Setting a smaller Rtol yields higher solution accuracy; however, if Rtol is set too strictly (extremely small), it compels the solver to perform excessive iterations. This can amplify round-off errors and may even lead to divergence of the computational results. Conversely, a Rtol that is too loose (relatively large) fails to sufficiently suppress mesh discretization errors. Therefore, in the numerical simulations presented in this paper, we focus on the dynamic interplay between mesh element quantity and Rtol settings, aiming to enhance computational efficiency while ensuring that solution accuracy meets engineering application requirements.
The following analysis systematically increases mesh density from coarse to fine levels, examining simulation results for four physical parameters—ΔUmax, ΔExmax, ΔEymax, and ΔEzmax—under Rtol of 0.1, 0.01, and 0.001. The corresponding results are presented in Figure 4a–d.

Figure 4.
The Impact of Mesh Density and Relative Tolerance on the Simulation Results. (a) Impact of varying Rtol values on the calculation results of Num for ΔUmax, (b) Impact of varying Rtol values on the calculation results of Num for ΔExmax, (c) Impact of varying Rtol values on the calculation results of Num for ΔEymax, (d) Impact of varying Rtol values on the calculation results of Num for ΔEzmax.
As illustrated in the figure, the simulation results of the four physical quantities—ΔUmax, ΔExmax, ΔEymax, and ΔEzmax—exhibit the following common pattern: when the same relative tolerance is selected, coarser mesh discretizations lead to more pronounced fluctuations in the results. This indicates that larger discretization errors associated with sparse meshes require more stringent relative tolerances to be effectively suppressed. As the mesh becomes increasingly refined, the accuracy improves, and the simulation results tend to stabilize progressively. A comparative analysis of the results under three different relative tolerances (using ΔUmax as an example) reveals that when the mesh element count exceeds 10 million, the amplitude of fluctuation for a relative tolerance of 0.1 is 0.0140 mV; for 0.01, it is 0.0127 mV; and for 0.001, it is 0.0107 mV. This demonstrates that, under the same mesh density, smaller relative tolerances yield better error suppression and more precise computational outcomes.
From the above analysis, it can be inferred that in the present simulation case, selecting a relative tolerance of 0.001 and a mesh element count exceeding 10 million results in simulation outputs that no longer vary significantly with further mesh refinement. In other words, the numerical solution converges to an accurate value that meets the specified precision requirements. This indicates that the mesh discretization and tolerance settings at this stage are appropriate. Consequently, in the modeling and simulation conducted in Section 3 and Section 5 of this study, a free tetrahedral element mesh was employed to discretize the field domain, incorporating an adaptive mesh refinement mechanism. The total number of mesh elements reached 57,369,058, with a relative tolerance of 0.001. These configurations effectively control the accumulation of computational errors, ensuring the stability and accuracy of the simulation results. Furthermore, these findings validate the high reliability of the simulation-based conclusions.
4.2. Error Accumulation Assessment
Given the well-established nature of the COMSOL software employed, systematic errors arising from the solver’s models, algorithms, and integration strategies can be considered negligible. Consequently, error accumulation is primarily manifested as the progressive buildup of relative errors originating from spatial discretization and propagating through iterative processes [].
Upon completion of meshing, the accumulation of relative error in one-dimensional scenarios is related to the average ratio of the element size ΔL to the domain size L and the computational accuracy k of the solver, expressed as
The accumulation of error in three dimensions can be represented by the superposition of the relative errors accumulated in three directions.
In Equation (3), the subscripts i = 1, 2, and 3 represent the three directions. The general error accumulation is proportional to the square root of the number of iterations, and if the number of iterations is , the total cumulative error Ssum can be quantitatively expressed as [].
To satisfy numerical accuracy requirements, a tolerance threshold for accumulated error—denoted as the maximum permissible relative error (e.g., = 5%)—is typically prescribed. Consequently, the maximum allowable iteration steps can be derived as follows:
To assess the reliability of the computational results from an error accumulation perspective, the reliability factor is defined as
Evidently, ≫ 1 indicates rapid convergence to the target accuracy under given meshing conditions, signifying reliable computational results. Higher values correspond to greater reliability. Conversely, when ≈ 1, the relative error approaches critical thresholds after multiple iterations, implying marginal reliability. This necessitates further verification from alternative perspectives alongside adjustments to computational parameters and processes.
Building on the definitions of symbols in Equations (11)–(14), this study assesses the reliability of the numerical simulation methodology and results from an error accumulation perspective. With the maximum relative error threshold fixed at 5%, the reliability factor is computed across varying mesh configurations. The evaluation results are presented in Table 2. Notably, the COMSOL solver module employs second-order accuracy (k = 2).

Table 2.
Error Accumulation Assessment Results.
- Analysis of tabular data reveals:
- Across all five mesh configurations analyzed, the total accumulated error Ssum remains below the 5% tolerance threshold. The maximum Ssum observed is merely 3.75 × 10−5, with RS ≫ 1 consistently, confirming effective error control and result reliability.
- During mesh refinement from 80,000 to 53 million elements, Ssum decreased by three orders of magnitude, and Rs increased by five orders of magnitude, demonstrating that grid refinement significantly enhances solution reliability.
- When the number of mesh elements in the model reached 53 million, Ssum was only 5.66 × 10−8, RS increased to 109, and the iteration count nk doubled. This indicates that at this level, the calculation results are not only reliable but also computationally efficient. This finding confirms both high reliability and the maintenance of computational efficiency. The present simulation utilized 57.369 million elements, further validating the reliability of the results.
5. Impact of Ice Layer Presence on the Submarine CRSE
To investigate the influence of ice layers on the submarine CRSE, the ice layer shown in Figure 2a was replaced with seawater, while all other parameters were held constant. Simulations were then conducted to compute the CRSE distribution of the submarine in the ice-free model, and the results were compared with those obtained from the ice-covered model. The electric potential and electric field components—U, Ex, Ey, and Ez—for the ice-covered and ice-free models are denoted using subscripts 1 and 2, respectively. The difference between the two models is used to represent the influence of the ice layer on the submarine CRSE, which is denoted as ΔU = U1 − U2, ΔEx = Ex1 − Ex2, ΔEy = Ey1 − Ey2, and ΔEz = Ez1 − Ez2. The maximum and minimum values of the aforementioned physical quantities in the planar domain are indicated via subscripts max and min, respectively.
5.1. Global Enhancement Effect of Surface Ice Cover on Submarine CRSE
Building on the calculations in Section 3.2, the distributions of ΔU, ΔEx, ΔEy, and ΔEz on the z = −20 m plane were computed, with the results illustrated in Figure 5. The graphical representation is as follows:

Figure 5.
Impact of Ice Layers on the Magnitude of the Submarine CRSE.
- The presence of the ice layer universally amplifies the electric potential and all three electric field components across the plane, with the degree of enhancement dependent on the spatial position of the field points.
- The planar distributions of ΔU, ΔEx, ΔEy, and ΔEz exhibit spatial symmetry akin to that of dipole fields, with the largest magnitude variations occurring at extremum points.The parameter settings of this study were as follows: at the positive potential maximum, ΔUmax = 0.651 mV (a 1.95% increase); at the negative potential maximum, ΔUmin = −0.744 mV (a 1.92% increase). For the electric field components, ΔExmax = 0.0289 mV/m (a 1.32% increase), ΔExmin = −0.00960 mV/m (a 1.10% increase), ΔEymax = 0.00645 mV/m (a 0.58% increase), ΔEymin = −0.00681 mV/m (a 0.61% increase), ΔEzmax = 0.0279 mV/m (a 0.90% increase), and Δ Ezmin = −0.0198 mV/m (a 0.86% increase).In the above results, the degree of variation observed at the positive and negative extreme value points of the same physical quantity differs slightly, which can be attributed to the asymmetry of the field source structure in the simulation model.
- 3.
- The three components of the electric field intensity exhibit differential susceptibilities to ice layer effects. From the overall view of Figure 5, the longitudinal (Ex) and vertical (Ez) components exhibit significant ice-induced modifications, and the transverse component (Ey) demonstrates minimal susceptibility to ice layer effects. This finding substantiates that the presence of ice layers exerts stronger modulatory effects on longitudinal and vertical current pathways.
Based on the above characteristics, for simplicity, when the influence law of relevant parameters on the CRSE of the submarine is analyzed later, only ΔUmax, ΔExmax, and ΔEymax ΔEzmax are taken as the objects of simulation analysis.
5.2. Influence of Ice Layers on Submarine CRSE at Different Depth Planes
With the same parameter settings as those described in Section 3.1, the depth of the measurement plane was varied to simulate and assess the influence of ice layers on the submarine CRSE at different depths. Figure 6a,b illustrate the depth-dependent variations in four CRSE parameters—ΔUmax, ΔExmax, ΔEymax, and ΔEzmax—within the sub-ice marine regions both above and below the submarine. The results show that the closer the measurement plane is to the ice layer, the more pronounced the influence of the ice layer on these physical quantities is, indicating a near-field enhancement effect. Notably, in the seawater above the submarine, ΔUmax, ΔExmax, and ΔEymax are positive, whereas ΔEzmax is negative. This occurs because the vertical component (Ez) of the electric field strength in the seawater above the submarine is inherently negative, and the presence of the ice surface further increases its magnitude. Additionally, the rate of change with depth for all four physical quantities is greater above the submarine than below, as the measurement points above are closer to the ice layer and thus more significantly affected. As shown in Figure 6b, the transverse electric field component Ey below the submarine is relatively insensitive to changes in measurement depth, indicating that tracking variations in Ey may not be the most effective approach for determining the target position in practical detection scenarios.

Figure 6.
Impact of the Ice Layer on the Submarine CRSE at Different Depth Planes.
5.3. Influence of Ice Layer Conductivity on the Submarine CRSE
By varying the ice layer conductivity (σ1) while maintaining all other simulation parameters consistent with those outlined in Section 3.1, the influence of σ1 on the submarine’s CRSE was investigated. When σ1 was assigned values of 0.025 S/m, 0.5 S/m, 1.0 S/m, 1.5 S/m, 2.0 S/m, and 2.5 S/m, the corresponding values of four physical quantities—ΔUmax, ΔExmax, ΔEymax, and ΔEzmax—were computed at the depth plane of z = 20 m above the submarine to assess the effect of the ice layer conductivity. The simulation results are presented in Figure 7a. For comparative analysis, the same physical quantities were also calculated at z = −20 m below the submarine, with the results illustrated in Figure 7b.

Figure 7.
Impact of Ice Layer Conductivity on the CRSE of Submarines.
As shown in the figures, for both regions above and below the submarine, the ΔUmax on the same measurement plane increases markedly as the ice layer conductivity (σ1) decreases. The simulation results indicate that when the ice layer conductivity is set to 0.025 S/m, the ΔUmax on the z = 20 m depth plane in the seawater above the submarine reaches 5.521 mV, corresponding to a relative variation rate of 13.19%. At the same depth, ΔExmax reaches 0.364 mV/m with a relative change rate of 13.69%, ΔEymax reaches 0.163 mV/m with a relative change rate of 12.97%, and ΔEzmax reaches −0.359 mV/m with a relative change rate of −20.14%. In contrast, on the z = −20 m depth plane below the submarine, ΔUmax reaches 0.651 mV, with a relative variation rate of 1.95%. The corresponding values of ΔExmax, ΔEymax, and ΔEzmax are 0.0289 mV/m, 0.00645 mV/m, and 0.0279 mV/m, with relative change rates of 1.32%, 0.58%, and 0.90%, respectively.
Additionally, as shown in Figure 7, for a given ice layer conductivity σ1, the ΔUmax value increases as the measurement plane approaches the ice surface, indicating a more significant influence of the ice layer. This observation is consistent with the conclusions presented in Section 5.2.
5.4. Influence of Ice Layer Thickness on the Submarine CRSE
With the upper surface of the ice layer fixed at z = 30 m and other parameters consistent with those in Section 3.1, calculations were performed to observe the variations in ΔUmax, ΔExmax, ΔEymax, and ΔEzmax at the measurement plane z = −20 m, as the ice layer thickness (Hice) varied from 2 m to 12 m. The computational results are illustrated in Figure 8.

Figure 8.
Influence of Ice Layer Thickness on the Submarine CRSE.
As shown in the figure, with increasing ice thickness (Hice), the values of ΔUmax, ΔExmax, ΔEymax, and ΔEzmax exhibit nonlinear growth, indicating that thicker ice layers have a more substantial impact on the submarine’s CRSE. The computational results reveal that when the ice thickness reaches 12 m, the relative change rate of the electric potential on the z = −20 m measurement plane beneath the submarine reaches 7.72%. In contrast, the maximum relative change rate among the three electric field intensity components is 7.74%. Moreover, as Hice increases, the growth rates of the x- and z-components of the electric field intensity significantly exceed that of the y-component. This finding offers important guidance for optimizing underwater detection strategies and is consistent with the conclusions presented in Section 5.2.
6. Laboratory Simulation Tests
6.1. Experimental Setup and Parameter Configuration
To validate the accuracy of the simulation methodology and results presented in this study, a laboratory experimental setup was constructed, as shown in Figure 9a. An artificial sea ice layer was placed over the surface of simulated seawater maintained at a temperature near 0 °C to replicate polar environmental conditions. A submarine model equipped with an ICCP system was deployed in under-ice seawater, and an Ag-AgCl electrode array was used to measure the electric field distribution across the planar region beneath the submarine. During the experiment, the submarine model was driven to move along the x-direction underwater using a system of guide rails, sliders, and drive rods rather than repositioning the detection electrode array, thereby enabling the acquisition of potential variation curves along the x-direction across multiple survey lines. The submarine model is shown in Figure 9b. To simultaneously measure field distributions across two underwater depth planes, two detection electrode arrays were placed at different heights, as illustrated in Figure 9c.

Figure 9.
Schematic Diagram and Physical Setup of the Experimental Apparatus. (a) Schematic diagram of the experimental setup, (b) Physical model and simulation images of the submarine, (c) Schematic diagram of the detection electrode array.
In Figure 9a, the dimensions of the simulated seawater domain are 2.12 m × 1.12 m × 0.485 m, with an artificial ice layer thickness of Hice = 0.075 m. The coordinate system aligns with that in Figure 1b, and the origin is positioned at the geometric center point on the depth plane 0.065 m below the water surface. Platinum sheet anodes (dimensions: 8 mm × 7 mm × 1 mm) are symmetrically installed on both sides of the submarine model. The propeller cathode is simulated via a circular copper sheet (radius: 31 mm, thickness: 1 mm). The geometric centers of the platinum anodes, the center of the cathode, and the submarine axis lie on the same horizontal plane. The distance between the centers of the anodes is 65 mm, and the distance from the geometric center of an anode to the cathode center is 124.7 mm. The upper surface of the ice layer is positioned at z = 0.14 m. In the experiment, the seawater conductivity is 0.58 S/m, with the current of each anode set to 0.15 A and the cathode current set to 0.30 A. The conductivity and relative permittivity values for the other materials are consistent with the parameters listed in Table 1. Two rows of detection electrodes were arranged along the y direction, with each pair spaced 0.08 m apart, resulting in a total of 10 electrodes. The positions of the electrodes were symmetrically distributed at about y = 0. These electrodes were used to measure the potential distribution along 10 survey lines located at y = ±0.04 m, ±0.12 m, ±0.20 m, ±0.28 m, and ±0.36 m on two depth planes: z = −0.10 m and z = −0.18 m.
It is noteworthy that the seawater conductivity value used in the experiment (0.58 S/m) was significantly lower than the typical polar seawater conductivity (2.91 S/m) adopted in the simulations in Section 3. This parameter configuration was implemented because higher sodium chloride concentrations (corresponding to higher conductivity) inhibit ice crystal formation, making it difficult to achieve the desired ice thickness in laboratory settings. Furthermore, prolonged experimentation with high-concentration brine may induce stratification phenomena, thereby compromising measurement accuracy. Additionally, since both Section 3 and Section 6 employed identical simulation methodologies, the different seawater conductivity settings do not affect the experimental validation of the correctness of the simulation approach.
6.2. Experimental Results and Simulation Analysis
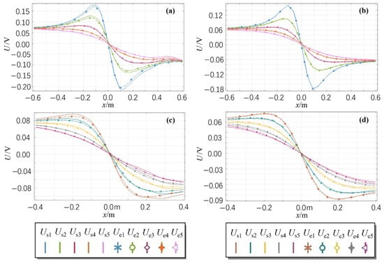
The experiments measured the potential distributions on the planes z = −0.10 m and z = −0.18 m beneath the submarine under both ice-covered and ice-free conditions, with the seawater domain remaining unchanged. The simulation methodology described in Section 2 was employed to model the potential data on these two planes, and the results were compared with the experimental measurements. A comparison of the experimental and simulation results under ice-covered and ice-free conditions is presented in Figure 10, where the subscript e denotes the experimental data and s indicates the simulation results. Owing to the symmetry of the electric field distribution about the x-axis, only the potential distributions along five survey lines in the y > 0 region are shown in Figure 10 for clarity. Subscripts 1–5 correspond to the survey lines located at y = 0.04 m, 0.12 m, 0.20 m, 0.28 m, and 0.36 m, respectively. In accordance with the experimental sampling rate settings, the experimental data points in Figure 10 are spaced 0.16 cm apart, whereas the simulation data points are spaced 5 cm apart. Consequently, each survey line provides a total of 750 experimental data points and 25 simulation data points.

Figure 10.
Comparison of Experimental and Simulation Results. (a) Comparison of experimental data and simulation data from five survey lines on the plane at z = −0.10 m with an ice layer present, (b) Comparison of experimental data and simulation data from five survey lines on the plane at z = −0.10 m without an ice layer, (c) Comparison of experimental data and simulation data from five survey lines on the plane at z = −0.18 m with an ice layer present, (d) Comparison of experimental data and simulation data from five survey lines on the plane at z = −0.18 m without an ice layer.
Figure 10a,b compare the experimental and simulated data for the five survey lines on the plane z = −0.10 m under ice-covered and ice-free conditions, respectively. Similarly, Figure 10c,d present the corresponding comparisons for the five survey lines on the plane z = −0.18 m. If the relative deviation δi between the experimental and simulation data on the i-th survey line (i = 1, 2, 3, 4, 5) is defined as:
δi can be used to calculate the relative deviations between the experimental and simulated data for the 10 measurement lines on the two aforementioned planes, as presented in Table 3, which demonstrates a relatively small deviation between the two datasets. Given the potential sources of error inherent in experimental testing, the experimental data can be considered highly reliable, thereby validating the accuracy of the numerical simulation model employed in the preceding analysis.

Table 3.
Relative Deviation of the Experimental and Simulation Data.
6.3. Influence of the Ice Layer on the Underwater Potential Distribution
Building upon this analysis, the potential difference ΔU on two planes under ice-covered conditions was calculated to investigate the impact of the ice layer on the CRSE field beneath the submarine. The corresponding results are presented in Figure 11.

Figure 11.
Impact of Ice Layer Presence on Planar Potential Distribution.
As shown in the figures:
- The distribution characteristics of ΔU on both measurement planes align with those in Figure 5. The presence of an ice layer increases the potential value, and the degree of increase is related to the position of the field point. This observation is consistent with the conclusions drawn in Section 5.1 of this study.
- In Figure 10a,b, the maximum potential value on the plane z = −0.10 m under ice-covered conditions is 0.1777 V, whereas it is 0.1581 V for no ice layer conditions, such as ΔUmax = 0.0196 V in Figure 11a. Similarly, in Figure 10c,d, the maximum potential value on the plane z = −0.18 m with ice coverage is 0.0946 V, whereas the no ice layer maximum is 0.0756 V, so ΔUmax = 0.0190 V in Figure 11b. These results demonstrate that the closer the measurement plane is to the ice layer, the more significant its influence becomes. This finding aligns with the conclusions presented in Section 5.2 of this study.
6.4. Error Analysis
We believe that the errors in the aforementioned results are primarily attributed to the following two factors:
- Measurement Errors: Ag-AgCl electrodes measure the integrated potential of the surrounding environment. Each electrode exhibits inherent variations, and spatial noise interference during measurement is difficult to accurately replicate in simulations.
- Modeling Errors: Deviations exist in measuring parameters such as the geometric dimensions of the submarine model, precise locations of the anode/cathode, and spatial coordinates of measurement points. These inaccuracies lead to discrepancies between the geometrically constructed simulation model and the actual experimental setup, resulting in errors between the simulated results and actual measurements.
In summary, the experimental results validate the accuracy of the numerical simulation model and confirm the reliability of the simulation methodology, further substantiating the enhancement effect of ice on the electric field. This enhancement effect becomes more pronounced as the measurement depth decreases. However, it must be clarified that the validation of the simulation model’s accuracy and reliability through this experiment is strictly confined to the specific conditions and parameters we established. It does not guarantee perfect agreement of the simulation results under arbitrary changes in temporal increments, spatial increments, or physical parameter values.
7. Conclusions
Submarine concealment and detection technologies in polar ice-covered environments represent a critical frontier in contemporary naval military research. The corrosion-related static electric field (CRSE), as a key signal source within a submarine’s underwater physical fields, directly influences the survivability and operational effectiveness of a vessel through its distribution characteristics. This study establishes a multiphysics coupling model of submarine impressed current cathodic protection (ICCP) systems, integrating COMSOL simulations with laboratory experiments to elucidate the effects of polar ice layers on a submarine CRSE. These findings offer essential theoretical support for advancing submarine stealth and antisubmarine detection technologies in polar regions.
The results demonstrate that polar ice layers enhance the potential and electric field strength of CRSE by altering the conductivity characteristics of the surrounding field. Specifically, lower ice layer conductivity, increased ice thickness, and closer proximity of measurement points to the ice surface result in more pronounced CRSE enhancement. This finding reveals that polar ice layers function not only as physical barriers but also as amplifiers of underwater electric field signals owing to their electrical properties, thereby introducing new challenges for optimizing submarine stealth strategies. This underscores the necessity of reassessing electric field exposure risks in ice-covered regions and implementing targeted improvements in ICCP current regulation schemes to reduce signal leakage. Moreover, this study identifies the asymmetric effects of ice layer conductivity and thickness on electric field components, offering new insights for the development of advanced directional detection technologies based on electric field signatures.
Additionally, this study simplifies the complex three-dimensional electric field distribution into a multidomain coupled Laplace equation. Simulations using COMSOL’s “AC/DC” module validate the numerical model’s applicability to ice–water–submarine multi-interface problems. Laboratory experiments further confirm the reliability of the simulation results. The research method used in this study provides a reproducible technical path for predicting electric fields in complex polar environments in the future.
The research findings presented in this article also offer a quantitative basis for the covert navigation of polar submarines and serve as a reference for the design of electric field-based submarine detection equipment, highlighting their significant military application value.
Author Contributions
M.Q.: Investigation; Methodology; Writing—original draft. M.H.: Conceptualization; Methodology; Investigation; Writing—review and editing. Y.L.: Data curation; Formal analysis. D.Y.: Resources; Funding acquisition. C.C.: Validation; Methodology; Formal analysis; Writing—review and editing. All authors have read and agreed to the published version of the manuscript.
Funding
This research was funded by the National Fundamental Research Project (2023-JCJQ-ZD-079-00).
Data Availability Statement
The original contributions presented in this study are included in the article. Further inquiries can be directed to the corresponding author.
Acknowledgments
We sincerely thank the professors and colleagues at the Naval University of Engineering for their invaluable discussions and profound insights into research design, data analysis, and numerical simulations. Finally, we extend our gratitude to the laboratory technicians for their critical contributions in maintaining the experimental environment and equipment, which were essential to the successful completion of this research.
Conflicts of Interest
The authors declare no conflicts of interest.
Appendix A. List of Abbreviations and Nomenclature
The following abbreviations are used in this manuscript:

Table A1.
Abbreviations.
Table A1.
Abbreviations.
Abbreviation | Full Term | Definition |
---|---|---|
CRSE | Corrosion-Related Static Electric Field | Static electric field generated by corrosion and anticorrosion processes |
ICCP | Impressed Current Cathodic Protection | Active corrosion protection system using external current |
COMSOL | COMSOL Multiphysics | Multiphysics simulation software |
FEM | Finite Element Method | Numerical technique for solving partial differential equations |

Table A2.
Mathematical Symbols and Physical Quantities.
Table A2.
Mathematical Symbols and Physical Quantities.
Symbol | Unit | Definition |
---|---|---|
U | V | Electric potential |
I | A | Electric current |
Ex, Ey, Ez | mV/m | ‘x’, ‘y’, ‘z’ components of electric field strength |
ΔU | mV | Potential variation due to ice layer |
ΔEx, ΔEy, ΔE z | mV/m | Electric field component variation due to ice layer |
ΔUmax, ΔUmin | mV | Max (min) potential variation |
ΔExmax (min), ΔEymax (min), ΔEz max (min) | mV/m | Max (min) value of electric field component variation |
σ | S/m | Electrical conductivity |
εr | – | Relative permittivity (dimensionless) |
Hice | m | Ice layer thickness |
Num | – | Number of mesh elements |
Rtol | – | Relative tolerance (0 < Rtol < 1) |
nmax | – | Maximum allowable iteration steps |
Smax | – | Maximum permissible relative error threshold |
Serr | – | 3D accumulated error metric |
nk | – | Iteration count |
Rsum | – | Total accumulated relative error |
Rs | – | Reliability factor |

Table A3.
Key Domains and Interfaces.
Table A3.
Key Domains and Interfaces.
Symbol | Definition |
---|---|
Domain I | Ice layer domain |
Domain II | Seawater domain |
Domain III | Seabed domain |
Σ1 | Ice–water interface |
Σ2 | Water–seabed interface |
Σ3 | Hull–seawater interface |
Σ4 | ICCP anode surface |
Σ5 | Propeller (cathode) surface |
References
- Collins, J.F. Towards a Renewed Canadian Submarine Capability. In Niobe Papers; Naval Association of Canada: Halifax, NS, Canada, 2019. [Google Scholar]
- Buckley, A. Destabilization of the Arctic. J. Auton. Secur. Stud. 2023, 7, 128–143. [Google Scholar]
- Regehr, E. Strategic Nuclear Patrols and an Arctic Military Code of Conduct. J. Auton. Secur. Stud. 2023, 7, 144–157. [Google Scholar]
- Chen, J.F.; Yu, P.; Zhang, J.W.; Xie, T.T. Application and development of underwater electric field detection and location technology. J. Nav. Univ. Eng. 2022, 34, 68–74. [Google Scholar]
- Zhang, X.X. Analysis of Ship Concealment in Complex Ocean Environment Based on Electric Field Characteristic; Dalian University of Technology: Dalian, China, 2021. [Google Scholar]
- Zhang, J.W.; Yu, P.; Jiang, R.X.; Xie, T.T. Real-time localization for underwater equipment using an extremely low frequency electric field. Def. Technol. 2023, 26, 203–212. [Google Scholar] [CrossRef]
- Xu, Y.D. Research on Techniques of Underwater Target Electro-Location Based on Optimization Theory; Harbin Engineering University: Harbin, China, 2018. [Google Scholar]
- Jiang, R.X.; Zhang, J.W.; Lin, C.S. Study of quick prediction method for ship corrosion related static electric field based on point charge source model. Acta Armamentarii 2017, 38, 735–743. [Google Scholar]
- Chen, C.; Du, C.Y.; Sun, J.Q.; Si, L.F. Localization method of electric dipole source in semi-infinite sea area. J. Huazhong Univ. Sci. Technol. (Nat. Sci. Ed.) 2020, 48, 90–95. [Google Scholar]
- Kim, Y.S.; Ko, S.J.; Lee, S.; Kim, J.G. Analysis of underwater electromagnetic field reduction by mixed-type cathodic protection using the boundary element method. Korean J. Met. Mater. 2017, 55, 591–599. [Google Scholar] [CrossRef]
- Zhang, J.W.; Yu, P.; Jiang, R.X.; Sun, B.Q. Research on target tracking method based on ship electric field. Acta Armamentarii 2020, 41, 182–189. [Google Scholar]
- Xu, Q.L.; Wang, X.J.; Zhang, J.C.; Liu, C.Y.; Miao, H. Influence of temperature on the cathodic protection and corrosion electrostatic field of ships. J. Natl. Univ. Def. Technol. 2019, 41, 182–189. [Google Scholar]
- Haroon, A.; Swidinsky, A.; Hölz, S.; Jegen, M.; Tezkan, B. Step-on versus step-off signals in time-domain controlled source electromagnetic methods using a grounded electric dipole. Geophys. Prospect. 2020, 68, 2825–2844. [Google Scholar] [CrossRef]
- Chen, C.; Wu, X.; Jiaqing, S.; Yang, B. Research on electric field generated by constant current differentiation in semi-infinite conductive medium. J. Huazhong Univ. Sci. Technol. (Nat. Sci. Ed.) 2023, 51, 122–127. [Google Scholar] [CrossRef]
- Yang, P.C.; Yang, J.H.; Jiang, R.X. Underwater Potential Characteristics of Static Electric Field Related to Ship Corrosion. J. Unmanned Undersea Syst. 2023, 31, 545–551. [Google Scholar] [CrossRef]
- Xu, Q.L.; Wang, J.C.; Liu, D.H. Influence of compensation anode position on corrosion electric field damping effect of ship. J. Harbin Inst. Technol. 2020, 52, 123–128. [Google Scholar] [CrossRef]
- Thiel, C.; Broecheler, C.; Ludwar, F.; Rennings, A.; Erni, D.D. A Simple Superposition Formulation to Predict the Underwater Electric Potential Signature of Naval Vessels. J. Mar. Sci. Eng. 2020, 8, 105. [Google Scholar] [CrossRef]
- Wooszyn, M.; Buszman, K.; Rutkowski, T.; Tarnawski, J.; Saura, F.J.R. An analytical four-layer horizontal electric current dipole model for analysing underwater electric potential in shallow seawater. Sci. Rep. 2022, 12, 8727. [Google Scholar] [CrossRef] [PubMed]
- Smirnov, N.N.; Betelin, V.B.; Nikitin, V.F.; Stamov, L.I.; Altoukhov, D.I. Accumulation of errors in numerical simulations of chemically reacting gas dynamics. Acta Astronaut. 2015, 117, 338–355. [Google Scholar] [CrossRef]
Disclaimer/Publisher’s Note: The statements, opinions and data contained in all publications are solely those of the individual author(s) and contributor(s) and not of MDPI and/or the editor(s). MDPI and/or the editor(s) disclaim responsibility for any injury to people or property resulting from any ideas, methods, instructions or products referred to in the content. |
© 2025 by the authors. Licensee MDPI, Basel, Switzerland. This article is an open access article distributed under the terms and conditions of the Creative Commons Attribution (CC BY) license (https://creativecommons.org/licenses/by/4.0/).