Next Article in Journal
The Time–Fractional Wave Equation with Variable Coefficients
Next Article in Special Issue
Automated Quality Control of Candle Jars via Anomaly Detection Using OCSVM and CNN-Based Feature Extraction
Previous Article in Journal
Adaptive Broadcast Scheme with Fuzzy Logic and Reinforcement Learning Dynamic Membership Functions in Mobile Ad Hoc Networks
Previous Article in Special Issue
Classification Improvement with Integration of Radial Basis Function and Multilayer Perceptron Network Architectures
 
 
Font Type:
Arial Georgia Verdana
Font Size:
Aa Aa Aa
Line Spacing:
Column Width:
Background:
Article

Statistical Analysis of COVID-19 Impact on Italian Mortality

by
Girolamo Franchetti
,
Carmela Iorio
*,† and
Massimiliano Politano
Department of Economics and Statistics, University of Naples “Federico II”, 80126 Naples, Italy
*
Author to whom correspondence should be addressed.
These authors contributed equally to this work.
Mathematics 2025, 13(15), 2368; https://doi.org/10.3390/math13152368
Submission received: 22 May 2025 / Revised: 10 July 2025 / Accepted: 19 July 2025 / Published: 24 July 2025

Abstract

This study presents a methodology for evaluating the impact of the pandemic on mortality rates in Italy. The primary objectives are to define criteria for identifying a ‘rise in mortality’, establish a robust evaluation approach, and assess pandemic repercussions using the proposed framework. To conduct a comparative analysis of mortality estimates, two classical models were employed: the Lee–Carter and the Renshaw–Haberman models. The analysis involved utilising actuarial tables and mortality models to quantify pandemic-induced excess deaths by calculating the disparity between these estimates. The proposed method aims to provide a comprehensive and clear understanding of the impact of the pandemic on mortality in Italy.
MSC:
91D20; 91G05; 00A71

1. Introduction

The central research question of this study is straightforward: how did the COVID-19 pandemic alter total mortality in Italy, as captured by official actuarial data?
The World Health Organization (WHO) declared the COVID-19 outbreak a Public Health Emergency of International Concern (PHEIC) on 30 January 2020. Although this designation was lifted on 5 May 2023, the disease itself remains a global presence. Among its most severe outcomes is increased mortality.
Mortality in a population is influenced by a wide array of factors. It is well documented that COVID-19-related deaths have disproportionately affected individuals with pre-existing health conditions, particularly the elderly [1].
In addition to its direct health impacts, the pandemic also generated several indirect effects, including the following:
  • An increase in suicides during lockdown periods [2,3,4];
  • Higher levels of drug use and related fatalities [5,6].
Before presenting the empirical findings, it is essential to clarify the definition of mortality adopted in this study, which requires the following:
  • Selecting a reliable and appropriate dataset;
  • Adopting a suitable analytical framework;
  • Ensuring the clarity and robustness of the results.
Each study on the topic adopts different definitions and methodologies to measure the pandemic’s impact on mortality [7]. Consequently, papers rely on distinct data sources and modelling strategies tailored to their specific research objectives [8,9].
A widely used and informative approach to assessing mortality impact is the estimation of excess deaths [10]. This involves comparing observed mortality during a given period to expected mortality, typically derived from pre-pandemic trends.
One influential example is the study conducted by the COVID-19 Excess Mortality Collaborators (CEMC) [11]. The authors used raw COVID-19 death counts from multiple countries and applied six distinct models—including spline-based techniques and Poisson processes—to estimate excess mortality. These estimates were then aggregated using a weighted average, with weights inversely proportional to each model’s standard error.
In their analysis of Italy, the authors estimated 259,000 excess deaths in 2020 and 2021. The study offers a broad global perspective on the pandemic’s mortality burden.
However, several limitations should be considered:
  • The reliance on raw COVID-19 death data may overlook indirect mortality effects, such as deaths resulting from overwhelmed healthcare systems.
  • Averaging estimates across heterogeneous models can introduce bias and reduce the overall reliability of the results.
Mortality is inherently complex, driven by multiple interacting causes with varying intensities. Accurately capturing its dynamics during the pandemic requires careful methodological choices.
In this paper, we adopt a different perspective. Mortality is defined as the observed death rates across the total population, disaggregated only by age. This approach avoids complications associated with attributing deaths to specific causes.
To operationalise this definition, we employ official actuarial life tables, which provide consistent and reliable annual mortality data for Italy. We then apply two widely recognised models in actuarial science:
  • The Lee–Carter model [12];
  • the Renshaw–Haberman model [13], used as a robustness check.
These models are employed to generate counterfactual mortality patterns, i.e., estimates of what mortality would have looked like in 2020 and 2021 in the absence of the pandemic. By comparing actual and expected deaths, we can estimate excess mortality in a more comprehensive and data-driven manner.
This approach encompasses all causes of death—both directly and indirectly related to COVID-19—and thus offers a more accurate picture of the pandemic’s overall mortality impact.
The structure of the paper is as follows:
  • Framework Section: introduces the dataset and modelling strategy;
  • Results Section: compares observed and expected mortality through graphical and tabular analysis;
  • Discussion Section: interprets the results and considers their implications for understanding mortality dynamics.

2. Framework

The present study applies two well-established models from actuarial science: the Lee–Carter and Renshaw–Haberman models. These models were selected because they decompose mortality trends by age, time, and cohort, thereby offering interpretable demographic insights not attainable through spline- or Poisson-based methods.
The data were provided by the National Statistics Institute (Istituto Nazionale di Statistica—ISTAT). The dataset is publicly available at http://dati.istat.it/, (accessed on 20 November 2022).
All estimations were carried out using R Software (version 4.4.3). Both the dataset and the R scripts used in this study are available in our OSF.io repository at https://osf.io/9cqbm/, (accessed on 20 November 2022).

2.1. Data

We structured the dataset along two key dimensions: year and age. It includes information on the resident Italian population, as of January 1st, for each year from 2011 to 2021.
Population data are disaggregated by single-year ages, ranging from 0 to 100+. The “100+” category encompasses all individuals aged 100 years and above.
To complement this, we extracted death probabilities ( q x ) from actuarial life tables for each year and each age, covering ages 0 to 119. This provides a detailed and continuous representation of mortality patterns across the age spectrum over the decade.
For the sake of transparency and reproducibility, both the dataset and the R Software scripts used in the analysis are available at https://osf.io/9cqbm/, (accessed on 20 November 2022).

2.2. Model

We began the modelling process by converting death probabilities ( q x ) into death rates ( m x ) for each year. The transformation from q x to m x follows Greville’s formula, commonly used in demography to approximate central death rates from one-year probabilities [14]. This conversion is carried out through Equation (1).
To apply the Lee–Carter and Renshaw–Haberman models, which require central death rates m x , t , we transformed one-year death probabilities q x using the uniform distribution approximation [14,15,16]:
q x = 2 m x 2 + m x m x = 2 q x 2 q x
This assumes a uniform distribution of deaths within the age interval. Under the assumption of uniformly distributed deaths over the interval [ x , x + 1 ] , we approximate L x l x 1 2 d x = l x 1 1 2 q x . By definition, the central death rate is m x = d x L x = q x l x l x 1 1 2 q x = q x 1 1 2 q x , which simplifies algebraically as follows:
m x = q x 1 1 2 q x = 2 q x 2 q x
The reverse transformation is:
q x = 2 m x 2 + m x
This relation is a standard demographic approximation under the uniform distribution of deaths (UDD) assumption.
Once the central death rates were obtained, they were incorporated into both the Lee–Carter (LC) model, defined in Equation (2), and the Renshaw–Haberman (RH) model, shown in Equation (3), along with the corresponding population data. Model selection metrics such as AIC or BIC were not applied, as the goal was not predictive accuracy but demographic consistency in the counterfactual baseline. The modelling framework follows the LC2 extension, as described in [13], with central death rates m x , t as the dependent variable.
Importantly, this framework was applied separately for each model, thereby enabling a comprehensive and comparative analysis of mortality dynamics.
LC Model : log m x = a x + b x κ t + ϵ x , t
The Renshaw–Haberman model (commonly referred to as LC2) extends the Lee–Carter model by incorporating a cohort effect, and is expressed as:
RH Model : log m x , t = a x + b x κ t + c x γ t x + ε x , t
as originally proposed in [17].
These equations form the foundation of our analytical framework. They describe the relationship among mortality rates, age-specific effects, and temporal trends, as captured by the Lee–Carter and Renshaw–Haberman models.
Here, x denotes age, t represents the year, and m refers to the death rate. For complete model specifications, the reader is referred to the original publications.
Using these models, we derive fitted death rates across both key dimensions: Age and calendar year.
Next, our analysis moves to forecasting. We apply two distinct approaches:
  • We first simulate future death rates for the years 2020 and 2021 using data up to 2019.
  • Then, we estimate the rates directly for 2020 and 2021.
These forecasts serve as counterfactuals, which we compare to the actual death rates obtained from actuarial life tables. The results are presented in Figure 1 and Figure 2, which highlight the discrepancies between projected and observed values.
To quantify these differences, we compute the gap by subtracting the counterfactual rates from the observed actuarial rates. This procedure allows us to visualise the impact of the pandemic on mortality for the selected years.
Regarding the simulations, we generated 100,000 mortality surfaces under the no-COVID-19 counterfactual using a Monte Carlo approach. Specifically, we projected the latent time components of each model (e.g., κ t , γ t x ) forward beyond 2019, simulating their trajectories according to the stochastic dynamics implied by the fitted model (typically, random walk with drift). At each projection step, we added noise sampled from the empirical distribution of residuals obtained during model calibration. This procedure yields a probabilistic distribution of future age-specific death rates, from which we derive expected death counts and confidence intervals under the counterfactual scenario.
We then estimate the expected number of deaths by applying the following equations:
m ^ 2020 / 2021 , x · P 2020 / 2021 , x = D ^ 2020 / 2021 , x
m 2020 / 2021 , x · P 2020 / 2021 , x = D 2020 / 2021 , x
In these equations:
  • m x denotes the death rate;
  • P x is the resident population in Italy as of January 1st (for 2020 and 2021);
  • D x represents the number of deaths.
All quantities are indexed by age x. Variables with a hat refer to model-based estimates, while those without correspond to observed actuarial data.
After computing these expectations, we compare the number of deaths predicted by the actuarial tables with those projected under the counterfactual scenarios. This comparison is illustrated in Figure 3 and Figure 4.
The difference is referred to as the “Excess of Deaths” and is calculated as:
E D t , x = D 2020 / 2021 , x D ^ 2020 / 2021 , x
Finally, summing across all ages yields the total excess deaths:
E D t t o t = x = 0 100 + E D x , t
This comparison is reported in Table 1, which displays total excess deaths for each year, along with the corresponding 95% confidence intervals in Table 2.
As a final robustness check, we compare the 2021 model forecasts based on 2019 data with those obtained using 2020 data. For each scenario, we ran 100,000 simulations to estimate the difference in total deaths, and we report the associated 95% confidence interval in Table 3.
For an in-depth interpretation of these results, the reader is referred to the Results Section.
The time-varying index κ t is modelled as a random walk with drift, following Lee and Carter (1992). For the RH model, the cohort component λ t also evolves stochastically. Identification is achieved through the standard constraints: x β x = 1 , t κ t = 0 , and c γ c = 0 .
In this study, we do not aim to estimate the overall impact of COVID-19 per se. Rather, we use the pandemic as an empirical stress test to evaluate how well-established mortality models, such as Lee–Carter and Renshaw–Haberman, behave when subjected to a sudden and extreme mortality shock. By estimating models both with and without pandemic data, we quantify the divergence from expected mortality patterns and assess the structural response of these models under real-world discontinuities.

3. Results

This section provides a concise overview of the figures and tables generated through our analytical framework.
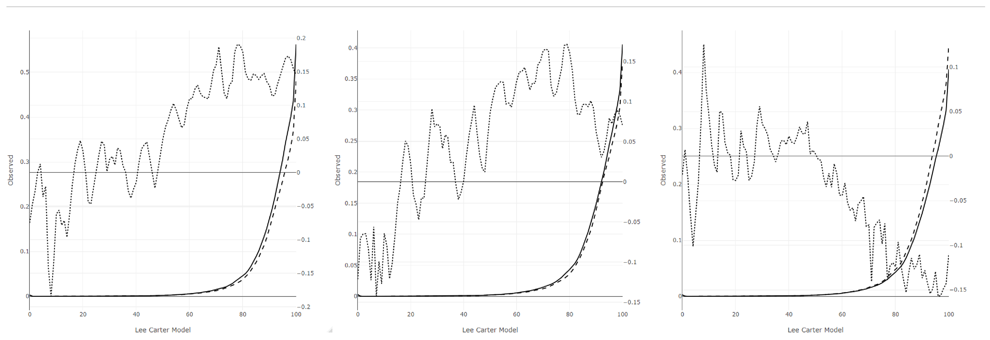
Figure 1 illustrates the discrepancy between death rates from actuarial tables (solid line) and the counterfactual predictions obtained from the Lee–Carter (LC) model (dashed line). The dotted line, plotted on the secondary y-axis, represents the magnitude of the gap between the two.
The figure is divided into three panels:
  • Left: 2020 gap based on the 2019 projection.
  • Centre: 2021 gap based on the 2019 projection.
  • Right: 2021 gap based on the 2020 projection.
A pronounced divergence emerges after age 45. In the right panel, the gap turns negative beyond this age, indicating that the 2019 model—unaware of the pandemic—predicted a mortality pattern inconsistent with the observed reality. Once the 2020 data were incorporated, which include the initial pandemic shock, the model adjusted to a more pessimistic trajectory. Nevertheless, actual outcomes in 2021 proved less severe than this updated forecast suggested.
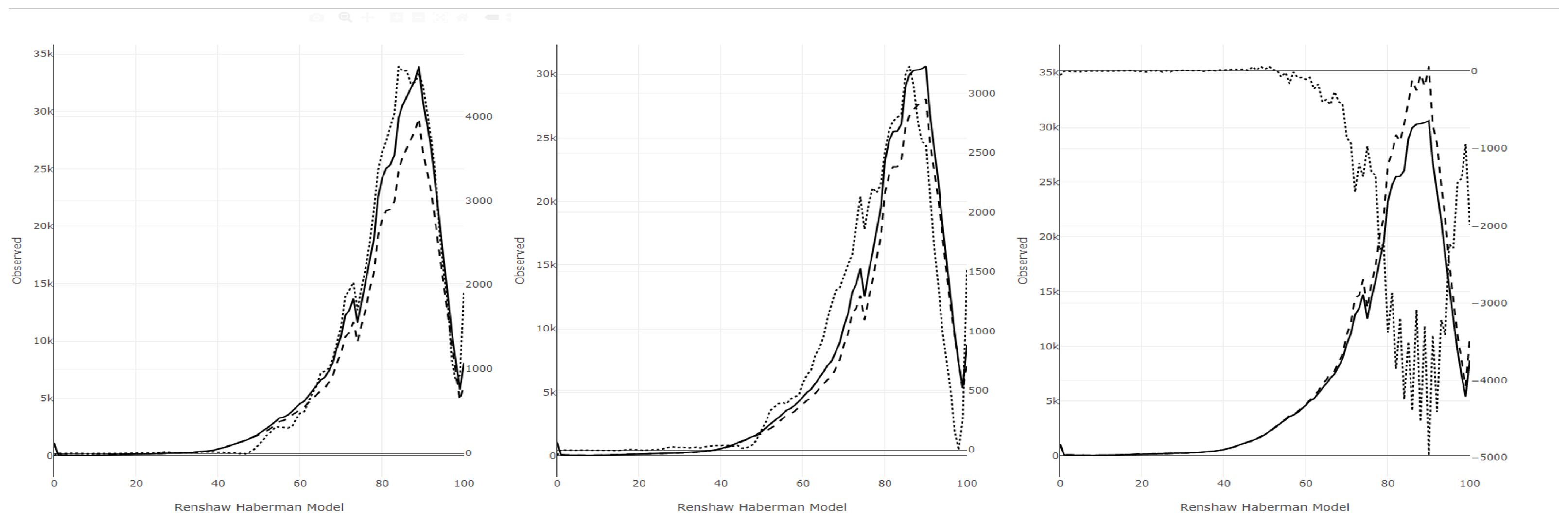
Figure 2 presents the same analysis using the Renshaw–Haberman (RH) model, which accounts for cohort effects. The findings reinforce the observation that mortality in 2020 significantly exceeded expectations based on pre-pandemic trends.
We now turn to the expected number of deaths. Figure 3 and Figure 4 display results for both models, using the same panel structure as before.
Each figure compares:
  • Solid line: observed deaths from actuarial tables;
  • Dashed line: counterfactual estimates;
  • Dotted line: the gap between observed and expected values.
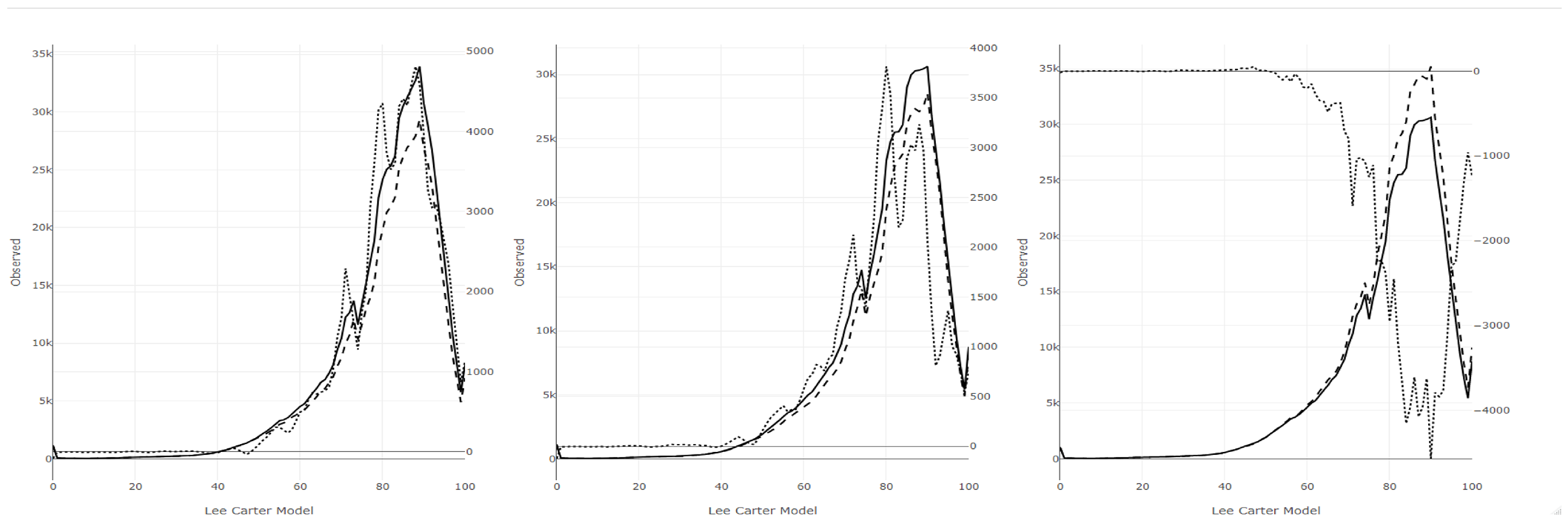
Figure 3 (Lee–Carter) shows a gap pattern consistent with the differences in death rates. After age 45, the number of expected deaths rises, in line with the excess mortality observed in 2020. This pattern reflects the model’s transition from a pre-pandemic projection (based on 2019 data) to a more pessimistic estimate incorporating 2020 data.
For 2021, the model’s expectations were more severe than those formed in 2019. However, actual mortality in 2021 was lower than forecasted, resulting in negative excess deaths.
A similar pattern appears in Figure 4, based on the Renshaw–Haberman model, confirming the robustness of these findings. The consistency across both models highlights the value of employing different methodological perspectives to assess the pandemic’s age-specific and temporal impact on mortality.
Turning to total deaths, Table 1 summarises the key figures. The “Table” column reports the total number of deaths in 2020–2021 based on actuarial data, while the “Model” column presents estimates from our counterfactual simulations.
According to actuarial tables, total deaths amount to approximately 1.458 million, whereas our 2019-based models project around 1.282 million. This gap suggests that models that do not account for the pandemic considerably underestimate mortality during those years.
The last two rows show the totals from forecasts made using data up to 2020: the 2020 estimate (based on 2019 data) and the 2021 estimate (based on 2020 data), which together yield about 1.439 million deaths. Although this is still below the observed actuarial figure, it is significantly closer than the estimate based solely on 2019 data. This highlights the adaptive nature of mortality forecasting in the context of a prolonged health crisis.
Table 2 reports the 95% confidence intervals for excess deaths derived from both models. The difference between the two models is minimal—approximately 2000 deaths.

Quantification of Excess Mortality and Model Uncertainty

We quantify COVID-19 excess mortality through counterfactual simulations based on stochastic forecasts of age-specific mortality rates m x , t , using the Lee–Carter and Renshaw–Haberman models. The transformation m x , t q x , t allows for conversion into total expected deaths using age-specific population exposure. Total estimated excess deaths for 2020–2021:
  • Lee–Carter: approximately 142,000;
  • Renshaw–Haberman: nearly 140,000.
These values represent the cumulative difference between observed and model-expected deaths under a no-COVID-19 scenario, i.e., when models are trained on pre-2020 data only.
Table 1 presents observed deaths from actuarial records, and counterfactual estimates from the two models. The row 2021 (from 2019 only) reports forecasts using models calibrated only on pre-pandemic data. To quantify uncertainty, we simulate 100,000 stochastic realisations per model and compute the resulting distribution of total deaths. The 95% confidence intervals are summarised in Table 2.
Table 2 summarises model uncertainty over 100,000 Monte Carlo simulations. These estimates describe the expected impact of COVID-19 on total deaths. For 2021 forecasts generated from models fitted up to 2020, the results show negative excess mortality, i.e., fewer deaths were observed than anticipated.
Table 3 shows that models forecasted higher 2021 mortality than was actually observed. This suggests that mortality expectations worsened in 2020, but actual deaths in 2021 reverted closer to historical patterns. To assess model variability, we compute the interquartile range (IQR) of simulated death totals, reported below.
Table 4 shows increasing uncertainty over time. The 2021B forecasts—trained up to 2019—exhibit the widest IQRs, highlighting the unpredictable nature of pandemic mortality evolution. Having reviewed the numerical results, we next turn to their interpretation and broader implications.

4. Discussion

Our choice of the Lee–Carter (LC) and Renshaw–Haberman (RH) models is rooted in their ability to capture key explanatory dimensions—age, time, and cohort effects. Unlike spline-based or Poisson-process models, which primarily emphasise time or event intensity, the LC and RH frameworks incorporate structural components essential to mortality modelling. Both models were applied to the complete observed dataset and to a truncated version ending in 2019. The former reflects actual mortality trends, while the latter serves to construct a counterfactual. The gap between the two reflects the impact of the COVID-19 pandemic on overall mortality levels.
This modelling strategy not only addresses important methodological concerns but also yields robust and interpretable results. A useful benchmark is the study conducted by the COVID-19 Excess Mortality Collaborators (CEMC) [11], whose estimated excess deaths are substantially higher than those produced by our approach. The excess mortality estimates represent expected mortality under the assumption that pre-pandemic patterns continued without interruption from COVID-19.
Whereas the CEMC estimate suggests approximately 259,000 excess deaths, our models indicate a considerably lower figure—around 140,000–142,000. This discrepancy raises important methodological issues.
We are particularly concerned about the weighting scheme used in the CEMC model ensemble, which is based on the inverse of standard errors. Such weighting may introduce bias by disproportionately favouring models with artificially low variability, rather than those with stronger structural justification.
We also question the use of spline-based interpolation, which may obscure key features of the data through smoothing. Furthermore, combining outputs from six heterogeneous models—some of which exhibit considerable volatility—can compromise the reliability of the final estimate.
More generally, averaging model outcomes without regard for their internal structure or assumptions risks masking important differences. A single model with a low standard error may dominate the average, not because it is the most accurate, but because it contributes the least variance.
Moreover, mixing spline-based and Poisson process models introduces methodological heterogeneity that is difficult to reconcile. The structural disparities between these approaches may distort the resulting aggregate.
While the CEMC estimate reflects a broader ensemble of models, our more constrained, demographically structured approach yields lower—but arguably more stable—figures: 140,000 for LC and 142,000 for RH. This divergence underscores the importance of methodological rigour and transparency in modelling a complex phenomenon such as pandemic-related mortality. Accurate estimation of excess deaths is not only essential for historical analysis but also critical for informing public health policy and resource allocation.
While the CEMC estimate offers a broader perspective based on multiple models, our approach provides a lower-bound, demographically structured benchmark that avoids aggregation biases.
An additional insight from our analysis is the distinct mortality impact observed among individuals aged 45 and older. The observed excess mortality in this group aligns with existing epidemiological evidence on increased vulnerability to COVID-19. This finding reinforces the importance of incorporating age-specific structures when modelling pandemic-related mortality shocks.
Further evidence of the pandemic’s impact emerges when comparing forecasts generated using data up to 2019 with those based on 2020 data. Since actuarial tables are constructed annually and incorporate only available data up to that point, estimates based on the 2020 table reflect the pandemic’s onset. This leads to a noticeable increase in projected mortality, particularly for 2021.
By observing how model projections evolve with the introduction of new data, we are able to track mortality dynamics over time. Initially, an increase in mortality is observed. However, the 2021 actuarial table shows a return to pre-pandemic levels, resulting in negative excess deaths relative to 2020-based forecasts. Capturing this dynamic is essential for effective public health surveillance and communication.
Nonetheless, even if mortality appears to revert, long-term trends will continue to be shaped by demographic change, medical advances, and the emergence of future health threats. Continued monitoring remains essential.
While our analysis focuses on COVID-19’s mortality impact in Italy, we acknowledge that other factors may have influenced the deviation between observed and expected mortality. Still, the patterns identified here provide specific insight into the role of the pandemic. Future work could expand this analysis to incorporate additional explanatory variables.
Another potential confounding factor is the indirect effect of the pandemic on mortality risks prior to 2019. For example, COVID-19 may have exacerbated pre-existing conditions or led to broader health system disruptions, increasing susceptibility to death in subsequent periods. Disentangling such effects remains a complex but important challenge.
Despite these complexities, COVID-19 remains the dominant driver of mortality variation in recent years. To account for this, we distinguish the following:
  • Direct effects: deaths directly caused by COVID-19;
  • Indirect effects: changes in mortality risk resulting from the pandemic’s interaction with other health or social processes.
Our methodology was designed to capture both types of effects. Rather than relying on potentially incomplete or misclassified cause-of-death data, we compare aggregate mortality tables published by ISTAT before and after the outbreak. This approach allows for an unbiased estimate of how the pandemic affected overall mortality levels.
By contrasting observed mortality with counterfactuals, we are able to detect persistent deviations that inform both actuarial modelling and policy decisions. This also facilitates a longer-term assessment of the pandemic’s demographic consequences.
Although some may prefer using official COVID-19 death counts—such as those provided by Protezione Civile —this approach has limitations. Cause-of-death attribution is not always reliable, particularly when COVID-19 coexists with other chronic conditions. In contexts of high disease prevalence, such misclassification is likely.
The information from COVID-19-attributed deaths is a strict subset of the information contained in total mortality data. Therefore, relying solely on official COVID-19 counts may significantly underestimate the pandemic’s overall impact.
Our approach is grounded in the need to assess the full mortality burden associated with COVID-19. Excess deaths, calculated from actuarial data, provide a comprehensive measure that captures both direct and indirect effects. The estimates reported earlier thus represent a conservative lower bound of the pandemic’s demographic footprint.
It is also worth noting that in many cases, COVID-19 may have accelerated death rather than being the sole cause. Mortality tables, by contrast, capture all deaths—regardless of attribution—making them a more stable and comprehensive data source for demographic analysis.
We frame our analysis within a probability space Ω = ω Ω : P ( ω ) [ 0 , 1 ] , where Ω includes all death-causing events, and σ ( D ) denotes the sigma-algebra generated by them. Within this framework, COVID-19 is represented as an event C σ ( D ) , where σ ( D ) is the sigma-algebra of all measurable death-related events.
This probabilistic formulation positions COVID-19 within the broader landscape of mortality risks and supports a robust interpretation of our empirical findings.
Every individual in the reference population—here, the Italian population—is represented within the actuarial tables, which account for the full spectrum of mortality causes. Therefore, when estimating total mortality, it is crucial to consider the complete set of death-related events.
In comparing our estimates to those of the CEMC study published in The Lancet, it becomes evident that their figures may exceed plausible mortality bounds based on the totality of death-causing events. In contrast, our estimates can be reasonably interpreted as a high-confidence upper boundary of observed mortality over the period.
Finally, it is important to stress that the LC model generates mortality probabilities that represent an upper bound in terms of estimation. Therefore, the excess deaths we report may also be interpreted as a **minimum bound**, suggesting that actual excess mortality could plausibly be higher.
To explicitly account for this uncertainty, we conducted 100,000 simulations of mortality rate forecasts for 2020 and 2021 using 2019 data as a baseline. This approach ensures that stochastic variability and uncertainty are formally integrated into our analysis.
Our findings indicate that the impact of COVID-19 was most pronounced among individuals aged 45 to 90, as evidenced by substantial gaps in death rates and expected deaths within this age range. When cohort effects are incorporated through the Renshaw–Haberman model, the pandemic’s influence extends to individuals as young as 25.
Across both models, mortality rates and excess death estimates suggest a trend-reverting dynamic, particularly for those aged 45 to 90. In contrast, the effect on younger cohorts is markedly weaker.
Irrespective of the model employed, COVID-19 displays notable year-to-year variability, deviating from prior mortality expectations. This variability reflects not only the biological and demographic dimensions of the pandemic, but also the impact of public health interventions and medical innovations—such as lockdowns, vaccination campaigns, and advances in clinical treatment—which have significantly reduced the probability of infection and fatal outcomes.
Our findings contribute a transparent, lower-bound estimate of excess mortality using well-established actuarial models. This conservative benchmark complements other approaches and strengthens evidence-based public health evaluation.
Beyond the technical considerations addressed throughout this study, it is now clear that COVID-19 has had a substantial and disruptive effect on mortality. However, emerging trends suggest that the initial shock is gradually being absorbed, with mortality trajectories beginning to revert toward pre-pandemic patterns.
To draw definitive and meaningful conclusions about the long-term consequences of the pandemic on mortality, it is essential to adopt a perspective grounded in both time and empirical evidence. Only through sustained observation of mortality trends over multiple years—coupled with methodologically rigorous analysis—can we fully grasp the scope and persistence of this unprecedented event.
In this context, time is not merely a parameter—it is the lens through which the full impact of the pandemic will ultimately be revealed. Patience, data transparency, and analytical rigour will remain critical in interpreting and navigating the lasting effects of COVID-19 on human longevity.

Author Contributions

Conceptualisation, G.F., C.I. and M.P.; methodology, G.F., C.I. and M.P.; validation, G.F., C.I. and M.P.; formal analysis, G.F., C.I. and M.P.; investigation, G.F., C.I. and M.P.; data curation, G.F., C.I. and M.P.; writing—original draft preparation, G.F., C.I. and M.P.; writing—review and editing, G.F., C.I. and M.P.; supervision, G.F., C.I. and M.P.; project administration, G.F., C.I. and M.P. All authors have read and agreed to the published version of the manuscript.

Funding

This research received no external research grant funding.

Data Availability Statement

The datasets generated and analysed during the current study are available in the paper’s OSF.io repository, https://osf.io/9cqbm/, accessed on 20 November 2022.

Conflicts of Interest

The authors declare no conflicts of interest related to this research.

References

  1. Delbrouck, C.; Alonso-García, J. COVID-19 and excess mortality: An actuarial study. Risks 2024, 12, 61. [Google Scholar] [CrossRef]
  2. Gunnell, D.; Appleby, L.; Arensman, E.; Hawton, K.; John, A.; Kapur, N.; Khan, M.; O’Connor, R.C.; Pirkis, J.; Caine, E.D.; et al. Suicide risk and prevention during the COVID-19 pandemic. Lancet Psychiatry 2020, 7, 468–471. [Google Scholar] [CrossRef] [PubMed]
  3. John, A.; Pirkis, J.; Gunnell, D.; Appleby, L.; Morrissey, J. Trends in suicide during the COVID-19 pandemic. BMJ 2020, 371, m4352. [Google Scholar] [CrossRef] [PubMed]
  4. Sakamoto, H.; Ishikane, M.; Ghaznavi, C.; Ueda, P. Assessment of suicide in Japan during the COVID-19 pandemic vs previous years. JAMA Netw. Open 2021, 4, e2037378. [Google Scholar] [CrossRef] [PubMed]
  5. Centers for Disease Control and Prevention Health Alert Network. Increase in Fatal Drug Overdoses Across the United States Driven by Synthetic Opioids Before and During the COVID-19 Pandemic. 17 December 2020. Available online: https://emergency.cdc.gov/han/2020/han00438.asp (accessed on 29 June 2021).
  6. Currie, J.M.; Schnell, M.K.; Schwandt, H.; Zhang, J. Trends in drug overdose mortality in Ohio during the first 7 months of the COVID-19 pandemic. JAMA Netw. Open 2021, 4, e217112. [Google Scholar] [CrossRef] [PubMed]
  7. Friedman, J.; Liu, P.; Troeger, C.E.; Carter, A.; Reiner, R.C., Jr.; Barber, R.M.; Collins, J.; Lim, S.S.; Pigott, D.M.; Vos, T.; et al. Predictive performance of international COVID-19 mortality forecasting models. Nat. Commun. 2021, 12, 2609. [Google Scholar] [CrossRef] [PubMed]
  8. Kupek, E. How many more? Under-reporting of the COVID-19 deaths in Brazil in 2020. Trop. Med. Int. Health 2021, 26, 1019–1028. [Google Scholar] [CrossRef] [PubMed]
  9. Zhang, X.; Liao, P.; Chen, X. The negative impact of COVID-19 on life insurers. Front. Public Health. 2021, 9, 756977. [Google Scholar] [CrossRef] [PubMed]
  10. WHO. The True Death Toll of COVID-19: Estimating Global Excess Mortality, May 2021. Available online: https://www.who.int/data/stories/the-true-death-toll-of-covid-19-estimating-global-excess-mortality (accessed on 29 June 2021).
  11. Wang, H.; Paulson, K.R.; Pease, S.A.; Watson, S.; Comfort, H.; Zheng, P.; Aravkin, A.Y.; Bisignano, C.; Barber, R.M.; Alam, T.; et al. Estimating excess mortality due to the COVID-19 pandemic: A systematic analysis of COVID-19-related mortality, 2020–2021. Lancet 2022, 399, 1513–1536. [Google Scholar] [CrossRef] [PubMed]
  12. Lee, R.D.; Carter, L.R. Modeling and Forecasting US Mortality. J. Am. Stat. Assoc. 1992, 87, 659–671. [Google Scholar] [PubMed]
  13. Haberman, S.; Renshaw, A. Modelling and projecting mortality improvement rates using a cohort perspective. Insur. Math. Econ. 2013, 53, 150–168. [Google Scholar] [CrossRef]
  14. Preston, S.; Heuveline, P.; Guillot, M. Demography: Measuring and Modeling Population Processes; Blackwell Publishers: Oxford, UK, 2001. [Google Scholar]
  15. Greville, T.N.E. Short Methods of Constructing Abridged Life Tables; The Record of the American Institute of Actuaries; American Institute of Actuaries: Washington, DC, USA, 1943; Volume 32, pp. 29–42. [Google Scholar]
  16. Human Mortality Database. Methods Protocol; University of California, Berkeley and Max Planck Institute for Demographic Research: Berkeley, CA, USA, 2024; Available online: https://www.mortality.org (accessed on 22 May 2025).
  17. Renshaw, A.E.; Haberman, S. Lee–Carter mortality forecasting with age-specific enhancement. Insur. Math. Econ. 2003, 33, 255–272. [Google Scholar] [CrossRef]
Figure 1. Lee-Carter mortality rates discrepancy to the observed ones in mortality tables. (The subfigure on the left shows the 2020 gap based on the 2019 projection. The central subfigure shows the 2021 gap based on the 2019 projection. The subfigure on the right shows the 2021 gap based on the 2020 projection).
Figure 1. Lee-Carter mortality rates discrepancy to the observed ones in mortality tables. (The subfigure on the left shows the 2020 gap based on the 2019 projection. The central subfigure shows the 2021 gap based on the 2019 projection. The subfigure on the right shows the 2021 gap based on the 2020 projection).
Mathematics 13 02368 g001
Figure 2. Renshaw–Haberman mortality rates discrepancy to the observed ones in mortality tables. (The subfigure on the left shows the 2020 gap based on the 2019 projection. The central subfigure shows the 2021 gap based on the 2019 projection. The subfigure on the right shows the 2021 gap based on the 2020 projection).
Figure 2. Renshaw–Haberman mortality rates discrepancy to the observed ones in mortality tables. (The subfigure on the left shows the 2020 gap based on the 2019 projection. The central subfigure shows the 2021 gap based on the 2019 projection. The subfigure on the right shows the 2021 gap based on the 2020 projection).
Mathematics 13 02368 g002
Figure 3. Lee–Carter expected death excess. (The subfigure on the left shows the 2020 gap based on the 2019 projection. The central subfigure shows the 2021 gap based on the 2019 projection. The subfigure on the right shows the 2021 gap based on the 2020 projection).
Figure 3. Lee–Carter expected death excess. (The subfigure on the left shows the 2020 gap based on the 2019 projection. The central subfigure shows the 2021 gap based on the 2019 projection. The subfigure on the right shows the 2021 gap based on the 2020 projection).
Mathematics 13 02368 g003
Figure 4. Renshaw–Haberman expected death excess. (The subfigure on the left shows the 2020 gap based on the 2019 projection. The central subfigure shows the 2021 gap based on the 2019 projection. The subfigure on the right shows the 2021 gap based on the 2020 projection).
Figure 4. Renshaw–Haberman expected death excess. (The subfigure on the left shows the 2020 gap based on the 2019 projection. The central subfigure shows the 2021 gap based on the 2019 projection. The subfigure on the right shows the 2021 gap based on the 2020 projection).
Mathematics 13 02368 g004
Table 1. Observed and model-predicted deaths by year.
Table 1. Observed and model-predicted deaths by year.
YearObserved DeathsLC ForecastRH Forecast
2020745,856643,328643,556
2021712,527637,963639,137
Sum 2020–20211,458,3831,281,2911,282,693
2021 (from 2019 only)712,527795,983795,451
Sum 2020–2021B1,458,3831,439,3111,439,007
Table 2. Simulated excess deaths: mean and 95% confidence interval.
Table 2. Simulated excess deaths: mean and 95% confidence interval.
ModelMinMeanMax
Lee–Carter141,844142,193142,542
Renshaw–Haberman139,578139,994140,410
Table 3. The 2021 excess mortality forecasted in 2020: difference vs. actual.
Table 3. The 2021 excess mortality forecasted in 2020: difference vs. actual.
ModelMinMeanMax
Lee–Carter−88,874−88,336−87,798
Renshaw–Haberman−88,379−87,833−87,287
Table 4. Forecast uncertainty: IQR of total deaths by year.
Table 4. Forecast uncertainty: IQR of total deaths by year.
YearLC IQRRH IQR
2020291345
2021408486
2021B (from 2019)10761091
Disclaimer/Publisher’s Note: The statements, opinions and data contained in all publications are solely those of the individual author(s) and contributor(s) and not of MDPI and/or the editor(s). MDPI and/or the editor(s) disclaim responsibility for any injury to people or property resulting from any ideas, methods, instructions or products referred to in the content.

Share and Cite

MDPI and ACS Style

Franchetti, G.; Iorio, C.; Politano, M. Statistical Analysis of COVID-19 Impact on Italian Mortality. Mathematics 2025, 13, 2368. https://doi.org/10.3390/math13152368

AMA Style

Franchetti G, Iorio C, Politano M. Statistical Analysis of COVID-19 Impact on Italian Mortality. Mathematics. 2025; 13(15):2368. https://doi.org/10.3390/math13152368

Chicago/Turabian Style

Franchetti, Girolamo, Carmela Iorio, and Massimiliano Politano. 2025. "Statistical Analysis of COVID-19 Impact on Italian Mortality" Mathematics 13, no. 15: 2368. https://doi.org/10.3390/math13152368

APA Style

Franchetti, G., Iorio, C., & Politano, M. (2025). Statistical Analysis of COVID-19 Impact on Italian Mortality. Mathematics, 13(15), 2368. https://doi.org/10.3390/math13152368

Note that from the first issue of 2016, this journal uses article numbers instead of page numbers. See further details here.

Article Metrics

Back to TopTop