Abstract
This study employs a dynamic stochastic general equilibrium model with Bayesian estimation to rigorously evaluate China’s macroeconomic responses to cost-push, monetary policy, and foreign income shocks. This analysis leverages quarterly data from 2000 to 2024, focusing on critical variables such as the output gap, inflation, interest rates, exchange rates, consumption, investment, and employment. The results demonstrate significant social welfare losses primarily arising from persistent inflation and output volatility due to domestic structural rigidities and global market dependencies. Monetary policy interventions effectively moderate short-term volatility but induce welfare costs if overly restrictive. The findings underscore the necessity of targeted structural reforms to enhance economic flexibility, balanced monetary policy to mitigate aggressive interventions, and diversified economic strategies to reduce external vulnerability. These insights contribute novel policy perspectives for enhancing China’s macroeconomic stability and resilience.
Keywords:
dynamic stochastic general equilibrium; Bayesian estimation; structural rigidities; social welfare loss MSC:
91B55; 91B84; 37N40; 62P25
1. Introduction
The global economy is continually shaped by complex interdependencies, with macroeconomic stability frequently disrupted by diverse shocks emanating from both domestic and international sources. In recent years, China—now the world’s second-largest economy—has increasingly influenced global economic dynamics through its significant integration into international trade and finance networks. Simultaneously, China’s domestic economy has faced recurring challenges from cost-push pressures (In macroeconomic theory, cost-push refers to inflation arising independently from demand factors, driven instead by exogenous increases in production costs, such as wages, raw materials, or energy prices. Given China’s reliance on imported commodities and structural market rigidities, cost-push shocks significantly influence its domestic inflation dynamics.), monetary policy uncertainties, and volatile external demands, prompting critical questions regarding its macroeconomic resilience and the efficacy of stabilization policies. Previous research extensively documents the responsiveness of macroeconomic variables to structural shocks using dynamic stochastic general equilibrium (DSGE) models with Bayesian estimation techniques (Liu et al. []; Li et al. []; Gong et al. []). These studies underscore the intricate interactions among output, inflation, interest rates, and exchange rates, providing foundational insights into how economic policy shapes macroeconomic stability. Yet, comprehensive analyses specifically tailored to China’s distinctive economic structure and evolving policy environment remain underdeveloped, limiting precise policy guidance in this critical global context.
Despite substantial advancements in macroeconomic modeling, significant knowledge gaps persist regarding the nuanced mechanisms driving China’s macroeconomic dynamics, particularly in response to simultaneous cost-push, monetary policy, and foreign income shocks. Current DSGE frameworks often inadequately capture the unique structural rigidities, sectoral interdependencies, and financial market characteristics specific to China’s economic environment. This technical bottleneck arises primarily due to oversimplified assumptions and a lack of region-specific parameter calibration, which fail to accurately reflect China’s economic realities. As a consequence, existing studies either underestimate the persistence and magnitude of economic volatility or provide ambiguous guidance for policymakers facing complex, real-time economic disruptions. Addressing this critical research gap demands the development of more sophisticated modeling frameworks explicitly calibrated for China, incorporating rigorous Bayesian estimation to enhance both the accuracy and applicability of policy recommendations.
This study rigorously addresses these shortcomings by developing and calibrating a comprehensive DSGE model, explicitly incorporating Bayesian estimation methods tailored to China’s economic context. The core research question focuses on quantifying and delineating the dynamic responses of key macroeconomic indicators—including output gaps, inflation rates, exchange rates, interest rates, consumption, investment, and employment—to simultaneous cost-push, monetary policy, and foreign income shocks. The methodological innovation of this research lies in its nuanced calibration, employing Bayesian estimation techniques grounded in an extensive dataset spanning from 2000 to 2024. Unlike previous studies, this model explicitly captures structural rigidities characteristic of China’s markets, integrates comprehensive international financial linkages, and accurately assesses the welfare implications associated with policy interventions. Thus, the research not only provides refined quantitative insights into China’s economic dynamics but also presents a novel methodological approach to modeling large emerging economies facing complex domestic and international shocks.
The theoretical and practical contributions of this study are substantial, providing pivotal insights into China’s macroeconomic stability and policy formulation. By rigorously quantifying welfare losses associated with economic shocks, the research highlights critical structural vulnerabilities and provides targeted policy recommendations designed to mitigate economic volatility and enhance resilience. Specifically, the findings underscore the necessity of implementing structural reforms aimed at reducing market rigidities, optimizing monetary policy frameworks to avoid excessively restrictive interventions, and developing diversified economic strategies to buffer external shocks. These insights significantly advance existing macroeconomic theory by demonstrating the critical importance of country-specific structural calibration within DSGE models. Practically, the policy prescriptions derived from this model offer clear, actionable strategies for Chinese policymakers, thereby facilitating more informed decisions to ensure sustained economic stability. Beyond China, the methodological advancements presented herein also offer significant implications for other emerging economies navigating similar structural complexities, contributing to broader international policy discussions and future macroeconomic research agendas.
2. Literature Review
The theoretical evolution of macroeconomic analyses using dynamic stochastic general equilibrium models has profoundly shaped contemporary understanding of economic fluctuations and policy efficacy. Grounded in real business cycle (RBC) theory, foundational research underscored productivity shocks and intertemporal optimization as central determinants of business cycle dynamics (Altug and Young []; Kehoe et al. []; Fernández-Villaverde and Guerrón-Quintana []). Subsequent theoretical advancements expanded the RBC framework by systematically integrating nominal rigidities and market imperfections, effectively laying the foundation for the New Keynesian DSGE paradigm. Notably, Calvo’s [] refined modeling of staggered pricing mechanisms provided pivotal insights into price-setting behaviors, significantly enhancing the explanatory power of DSGE models in capturing realistic economic dynamics. Concurrently, Rotemberg’s [] theoretical contributions on monopolistic competition introduced critical market frictions, which remain fundamental to contemporary DSGE modeling. Recent developments have further solidified the New Keynesian paradigm, prominently integrating monetary policy interventions, fiscal dynamics, and detailed labor market frictions into unified analytical frameworks (Mertens and Ravn []; Gross et al. []; Kaplan and Violante []). These enhancements underscore the importance of policy coordination and responsiveness to macroeconomic shocks, capturing complex interactions between inflation, output, employment, and interest rates. Particularly influential has been the incorporation of financial frictions into DSGE models, elucidating the critical feedback loops between financial markets and real economic outcomes. The work of Miranda-Agrippino and Ricco [], Akinci [], Görtz et al. [], and Banerjee and Behera [] emphasized that financial market imperfections amplify economic volatility, significantly influencing policy effectiveness and economic stability. Despite substantial theoretical progress, the existing literature predominantly targets advanced economies, which limits its applicability to large emerging markets characterized by distinct economic structures, diverse financial systems, and unique institutional contexts. China, the world’s second-largest economy, exemplifies such a case, presenting structural and institutional characteristics that diverge substantially from developed economies. Current DSGE frameworks inadequately address critical features specific to China’s economy, such as pervasive state intervention, distinctive financial market structures, and pronounced sectoral heterogeneity (Bashir et al. []; Brunnermeier et al. []; Allen et al. []). These unique aspects introduce substantial complexity that conventional DSGE models typically overlook, resulting in significant gaps regarding the models’ empirical validity and policy relevance within the Chinese context. Addressing this significant theoretical and methodological gap requires the development and calibration of models explicitly tailored to China’s distinctive macroeconomic realities, thereby providing robust analytical tools for policymakers navigating this increasingly influential global economy.
Methodologically, Bayesian estimation has increasingly become a pivotal empirical framework within DSGE modeling due to its robust ability to combine theoretical rigor with empirical specificity. Contemporary advances underscore its strength in systematically integrating prior theoretical knowledge with observed data, significantly enhancing parameter estimation accuracy and enabling precise uncertainty quantification (Cai et al. []; Poudyal and Spanos []; Dave and Sorge []; Čapek et al. []). Recent literature, such as Funke et al. [], Wahid and Kowalewski [], and Wu et al. [], highlights the crucial role of Bayesian methods in elucidating complex financial market dynamics and monetary policy interactions within advanced economies. These studies emphasize Bayesian techniques’ capability to manage multi-dimensional parameter spaces and provide clear inferential insights amidst inherent uncertainties. However, the burgeoning adoption of Bayesian DSGE models in advanced economies contrasts sharply with persistent methodological limitations when applied to emerging market contexts. Particularly, structural heterogeneity and regime-switching phenomena prevalent in emerging markets challenge traditional DSGE modeling assumptions. Such complexities underscore significant inadequacies in existing frameworks regarding parameter stability and structural identification across different economic regimes (Dufour et al. []; Marchionatti and Sella []; Dosi and Roventini []). For instance, recent analyses by Storm [] reveal pronounced challenges in identifying clear-cut policy transmission mechanisms in economies exhibiting high structural fluidity, such as China. These studies assert that the conventional DSGE assumptions frequently oversimplify real-world economic interactions, thereby impeding robust policy inference. Furthermore, despite substantial computational advancements, Bayesian DSGE methodologies still grapple with identification issues, especially in distinguishing genuine structural shifts from transient economic shocks (Pu et al. []; Bylund et al. []). The persistence of model misspecification and parameter uncertainty in empirical applications significantly constrains the effectiveness of policy prescriptions derived from these models. Emerging evidence from empirical analyses in large emerging economies illustrates that structural breaks, driven by rapid institutional transformations and policy interventions, critically influence macroeconomic dynamics, requiring explicit methodological refinements (Campiglio et al. []; Hall and Henry []; Renault []). To address these limitations comprehensively, cutting-edge research now advocates for methodological innovations specifically tailored to the diverse institutional contexts and structural complexities inherent in emerging economies. For example, Qin et al. [] and Song et al. [] highlight the critical necessity for incorporating region-specific microeconomic foundations and high-frequency data integration to enhance model responsiveness to real-time policy needs. Concurrently, advanced computational techniques, such as sequential Monte Carlo methods and particle filtering, are progressively leveraged to improve estimation precision and robustness, providing deeper insights into underlying economic structures and shock propagation mechanisms (Rahaman and Abdul []).
Despite notable methodological advancements, substantial gaps remain prevalent within the DSGE literature, particularly regarding theoretical coherence, indicator selection, spatial–temporal granularity, and causality identification. A fundamental limitation arises from the oversimplification of structural rigidities specific to emerging economies like China, which exhibit complex institutional arrangements and dynamic structural transformations that significantly diverge from advanced economies (Nölke et al. []; Chen et al. []; Yan and Shi []). Current DSGE frameworks predominantly emphasize aggregate macroeconomic indicators, neglecting crucial sector-specific dynamics and microeconomic foundations essential to accurately portray China’s diverse economic environment. This omission considerably undermines the model’s explanatory power and its subsequent utility for precise, context-sensitive policymaking (Kang []; Huang []). Moreover, prevailing approaches suffer from critical shortcomings related to spatial–temporal scales as conventional quarterly macroeconomic datasets fail to adequately capture the intricate, real-time fluctuations and extensive regional diversity characterizing China’s expansive economic landscape (Hamilton []; Ng and Wright []; Cassou et al. []). The coarse temporal granularity significantly limits the DSGE model’s ability to reflect rapid policy responses, regional heterogeneity, and the swift adaptation of economic agents observed in practice. This constraint is particularly problematic in rapidly evolving contexts such as China, where frequent policy interventions and significant structural adjustments demand higher frequency and geographically detailed analytical frameworks to ensure accuracy and reliability. Additionally, existing DSGE models frequently encounter methodological difficulties concerning the robust identification of causality, exacerbated by issues of endogeneity and inadequate instrumental variables. Such identification problems significantly compromise the precision of policy implications derived from these models, ultimately reducing their effectiveness and credibility in guiding economic stabilization efforts (Claveau []; Dou et al. []; Feto et al. []). Therefore, a rigorous integration of advanced econometric methods, including robust identification techniques and innovative instrument selection strategies, is urgently required to enhance model validity and strengthen causal inference. Addressing these methodological bottlenecks necessitates the development and calibration of sophisticated, context-specific DSGE frameworks explicitly designed to capture the unique structural, institutional, and behavioral complexities inherent in China’s economy. Such methodological innovations promise substantial improvements in analytical precision, policy relevance, and the overall applicability of DSGE models to emerging market contexts.
This research addresses the outlined theoretical and methodological gaps by developing a robust DSGE model with advanced Bayesian estimation specifically tailored to China. By incorporating unique structural rigidities, comprehensive international linkages, and welfare implications of economic shocks, this study offers strengthened theoretical clarity, methodological rigor, and policy relevance.
3. Model
3.1. Household
It is assumed that a representative household in the domestic economy faces an intertemporal optimization problem that aims to maximize the expected lifetime utility, subject to standard budget constraints and market conditions. This problem typically incorporates preferences over consumption and labor supply, reflecting both the utility derived from consumption and the disutility associated with labor, while the utility function is given as follows:
In this context, denotes the expectation operator, represents the household’s subjective discount factor, captures the utility derived from consumption, and reflects the disutility associated with labor supply. The composite consumption index combining domestic and foreign goods, , is defined as , where denotes the relative weight assigned to foreign goods. The utility specification employed in this study adopts a constant relative risk aversion functional form that is additively separable in consumption and labor, thus allowing independent curvature in preferences. It is assumed that foreign households share an identical utility function, maintaining symmetry across countries within the model framework.
It is assumed that domestic and foreign households can achieve identical consumption levels by diversifying consumption risks through complete international financial markets. Under this assumption, and subject to the constraint defined by the composite consumption index, the cost minimization problem of allocating expenditure between domestically and foreign-produced goods yields the following expression for the overall consumption price index—hereafter referred to as the consumer price index ().
In this framework, , and and denote the price indices—expressed in domestic currency—of goods produced domestically and abroad, respectively. The terms of trade, defined as the ratio , capture the relative price of foreign to domestic goods. Accordingly, the aggregate consumer price index can be expressed as a function of the domestic price index and the terms of trade, yielding the following formulation:
Following Lozej and Walsh [], this study assumes the existence of a complete set of contingent claims in international capital markets. Under such a framework, the price at time of a claim delivering one unit of domestic currency in period is denoted by . Given this condition, the representative household faces the following intertemporal budget constraint:
In Equation (5), denotes the set of all possible future states of the world. represents returns from previously acquired assets, is the nominal wage rate, and denotes the profit income distributed to households by firms. The term refers to the portfolio of contingent claims purchased in period ttt that yield a state-contingent payoff in period . Subject to this budget constraint, the household maximizes its lifetime expected utility as specified in Equation (2), choosing optimal paths for consumption , labor supply , and asset holdings . The corresponding first-order conditions for this dynamic optimization problem are derived as follows:
Equation (6) represents the intertemporal Euler condition for optimal consumption allocation. A marginal reduction in current consumption decreases utility by the amount indicated on the left-hand side. This utility loss must be equal to the expected marginal utility gain derived from saving the same amount and consuming it in the next period, multiplied by the asset return and the marginal utility of future consumption . Here, denotes the gross return on assets and is defined as the inverse of the price of a state-contingent claim. Equation (7) characterizes the intratemporal optimality condition between consumption and labor supply. The left-hand side expresses the marginal rate of substitution between leisure and consumption—formally, the ratio of the marginal disutility of labor to the marginal utility of consumption. At the optimum, this trade-off must equal the real wage, captured on the right-hand side. In Equation (8), denotes the probability that state will be realized in period . The left-hand side measures the marginal utility loss from purchasing an asset in the current period, while the right-hand side captures the expected marginal utility gain from asset returns in the subsequent period. The optimality condition requires these two expressions to be equal.
The real exchange rate , defined as the relative price of domestic goods in terms of foreign goods, is assumed to equal unity under the law of one price, which holds throughout the analysis. Accordingly, , where denotes the nominal exchange rate expressed as the domestic currency price of one unit of foreign currency. Meanwhile, given that international capital markets facilitate the diversification of consumption risk, Equation (8) likewise holds true for the foreign economy. Consequently, under identical conditions in both economies, it follows logically that the optimal consumption growth trajectories converge precisely, resulting in equalized consumption levels across the two countries.
In Equation (9), is equal to .
3.2. Firm
It is assumed that each country consists of two distinct types of firms. The first type produces intermediate goods within a monopolistically competitive market, generating differentiated products that are subsequently sold to firms producing final goods. The second type, the final-goods producers, operates in perfectly competitive markets: these firms purchase intermediate goods, incorporate them as production inputs, and subsequently supply consumer goods to markets characterized by perfect competition. This structure is symmetrically applied to the foreign country as well. Furthermore, intermediate-goods producers are not permitted to freely adjust their prices in every period; instead, price adjustments are governed by the Calvo pricing principle. If a representative final-goods firm employs an intermediate good denoted by from producer , its production function is formally expressed as follows.
In Equation (10), is greater than 1. The final-goods market is characterized by perfect competition; thus, producers of final goods take the prices of outputs and inputs, denoted, respectively, by and , as exogenously given. Under this framework, and subject to the constraint outlined in Equation (10), firms optimally determine input utilization by minimizing production costs, yielding the following demand function for intermediate goods.
Furthermore, the domestic price index () is formally defined as follows.
On the other hand, firms engaged in the production of intermediate goods are assumed to utilize labor as an input factor. Consequently, the production of intermediate goods can be expressed by , where denotes the level of productivity or technological shock common to all firms. If intermediate-goods producers had complete flexibility in setting prices, their profit maximization problem would be represented as
Thus, the optimal price set by a firm under flexible pricing conditions would be
In Equation (14), the markup is a constant greater than unity. Consequently, the real marginal cost for each firm, defined as , is constant and equal to the inverse of the markup. Utilizing Equations (4) and (7), the real marginal cost can be re-expressed in terms of the terms of trade as follows.
Since each firm encounters an identical profit-maximization problem, they set the same optimal price (). Consequently, the domestic producer price index () evolves according to the following relationship:
In Equation (16), represents the fraction of firms unable to adjust prices due to price rigidity. By linearizing this relationship, together with the first-order conditions for profit maximization around a steady-state characterized by zero inflation, one obtains the canonical New Keynesian Phillips curve presented below.
3.3. Equilibrium Dynamics Under Flexible and Sticky Prices
In equilibrium, each country’s goods market must clear simultaneously, thereby necessitating a joint consideration of both economies. Specifically, equilibrium conditions imply
Utilizing these conditions in conjunction with the definitions of domestic and foreign consumer price indices and invoking the law of one price, output levels in the two countries can be succinctly expressed in terms of the terms of trade:
Considering the first-order conditions derived from utility maximization and the validity of the law of one price, market equilibrium conditions for goods markets further imply
Furthermore, assuming perfect international financial markets that allow households to completely diversify consumption risk, an uncovered interest rate parity condition emerges:
In Equation (24), represents the logarithmic nominal exchange rate. This condition implies that the difference in nominal interest rates across the two countries equals the expected change in the nominal exchange rate.
3.3.1. Equilibrium Dynamics Under Flexible Prices
If prices are perfectly flexible, each firm sets prices incorporating a constant markup () over marginal costs. Consequently, the real marginal cost for domestic firms can be expressed as
Using this condition, together with Equation (7), the equilibrium relationship between domestic and foreign outputs in the presence of productivity shocks can be derived as
From this relation, the impact of changes in foreign income on domestic output is governed by the parameter (). If the inverse intertemporal elasticity of substitution () exceeds one, an increase in foreign income generates either a reduction in domestic labor supply due to positive income effects or a rise in domestic real wages, thereby reducing domestic output.
3.3.2. Equilibrium Dynamics Under Sticky Prices
When prices exhibit rigidity, the equilibrium conditions under sticky prices can be linearized around the steady-state equilibrium. This process yields the following relationship between output and the real interest rate, commonly known as the intertemporal IS Equation:
In Equation (27), the natural real interest rate () is expressed as
In these equations, represents the output gap, defined as the difference between actual output () and output under flexible prices (), and denotes the natural real interest rate determined under flexible-price conditions. This formulation underscores that the output gap is influenced by future expected gaps and deviations of the real interest rate from its natural level, with the magnitude governed by the parameter . The natural interest rate itself depends on future expected differences in foreign and domestic outputs. Moreover, incorporating this definition of the output gap into the previously derived Phillips curve yields a standard New Keynesian Phillips curve for domestic inflation:
To ensure the completeness of the model, a rule governing interest rate determination () must be specified. This relationship will be subsequently detailed according to the monetary policy rule established by the monetary authority.
4. Results and Discussion
4.1. Bayesian Estimation
This study employs a Bayesian estimation framework to derive parameter values integral to the analytical structure. This analysis is grounded on quarterly macroeconomic data covering the period from the first quarter of 2000 through the fourth quarter of 2024, specifically utilizing China’s GDP and deposit interest rates. Following the methodological rigor established by He [], both variables were logarithmically transformed to mitigate trend-induced distortions and subsequently differenced at the first order. These transformed variables were then scaled by multiplying by 100 to facilitate interpretability and comparability, resulting in a dataset comprising 100 observations. Formally, the Bayesian approach articulated herein relies on a prior distribution, denoted as , capturing prior beliefs regarding the parameter vector conditional upon a specified model . The likelihood function, reflecting the conditional probability of observed data given the parameters and model structure, is specified as . Here, represents the probability density associated with observed data, , encompassing observations through time . The notation corresponds to distinct probability density functions appropriate for parameterization, including gamma, beta, generalized beta, normal, inverse gamma, shifted gamma, and uniform distributions. The marginal likelihood of the observed data under the stipulated model is subsequently derived and formalized as illustrated in Equation (31).
Employing Bayesian inference principles, the posterior distribution integrates the prior beliefs about model parameters with empirical evidence derived from observed data. Mathematically, this posterior distribution is expressed as a normalized product of the prior probability distribution and the likelihood function. The formal relationship, encapsulated succinctly by Bayes’ theorem, is articulated in Equations (32) and (33).
The posterior kernel represents the unnormalized portion of the posterior distribution, integrating both the likelihood of observed data and the prior beliefs regarding the parameters. Formally, this posterior kernel can be expressed as . Consequently, the posterior distribution for the parameter vector , conditional upon model , is proportional to this kernel, as succinctly illustrated in Equation (34).
The posterior distribution characterized above is typically summarized using standard statistical measures, encompassing central tendency indicators such as the mean, median, or mode, alongside measures of variability, including standard deviation and selected percentiles. The corresponding likelihood function, contingent upon the specified econometric model and the nature of available data, can be computed via advanced filtering methods. Specifically, the Kalman filter is often employed for linear state-space models, whereas nonlinear models necessitate the use of particle filtering techniques or other sequential Monte Carlo methods. Empirical estimates derived through these procedures are systematically presented and interpreted in Table 1.

Table 1.
Results of Bayesian estimation.
4.2. Cost-Push Effect Simulation
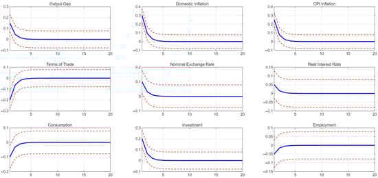
To elucidate the dynamic repercussions of cost-push disturbances within China’s macroeconomic framework, the subsequent analysis systematically examines simulated responses across key variables. Specifically, this scenario provides insights into the propagation mechanisms by which exogenous upward pressures on production costs permeate the broader economy. By carefully delineating the trajectory and magnitude of these shocks, the model’s outputs enable a rigorous assessment of both immediate fluctuations and medium-term adjustments in macroeconomic indicators. The simulations reported herein highlight crucial interactions, revealing the extent to which persistent cost shocks influence domestic inflationary pressures, output gaps, and broader economic stability. Figure 1 succinctly encapsulates these simulated dynamics, visually articulating how incremental adjustments in underlying cost structures propagate throughout China’s economy.

Figure 1.
Simulation results of cost-push shock.
Figure 1 presents the simulation outcomes derived from a cost-push shock within China’s macroeconomic context, highlighting the intricate transmission mechanisms and differentiated responses across key economic indicators. These results offer valuable insights, particularly when contextualized against China’s prevailing economic landscape. Initially, the output gap exhibits a pronounced contraction following the shock, reflecting diminished productive efficiency as firms grapple with increased production costs. Recent studies affirm this result, emphasizing the negative impact of input cost volatility on productivity and market competitiveness (Ge et al. []; Sun et al. []; Zhang []). The persistent nature of this contraction aligns with empirical findings from contemporary DSGE analyses, highlighting the inertia characteristic of Chinese economic adjustment mechanisms (Zheng and Guo []; Xiao et al. []; Zhang et al. []). Domestic inflation accelerates significantly and remains elevated over multiple periods, underscoring the direct and immediate transfer of heightened input costs onto consumer prices. This aligns with recent empirical evidence from Zhang et al. [] and Wang and Yao [], who demonstrate that China’s price-setting practices rapidly transmit upstream cost fluctuations into downstream pricing structures. Such persistent inflationary pressures could exacerbate socioeconomic disparities, suggesting a need for tailored monetary policy interventions. Simultaneously, CPI inflation closely mirrors domestic inflation trends but exhibits a marginally subdued response due to the compositional effect of imported goods prices. This nuanced dynamic is consistent with findings by Eickmeier and Kühnlenz [] and Zhan [], who highlight the buffering role of international trade dynamics and price indices in China’s inflation management.
The terms of trade initially deteriorate, indicative of diminished international competitiveness, reflecting elevated domestic cost structures relative to trading partners. Yet, the subsequent recovery pattern aligns with adaptive firm behaviors and strategic repositioning in global markets, consistent with the strategic firm-level responses documented by Xu et al. [], Yang [], and Aghion et al. []. The nominal exchange rate depreciates sharply in the short term, driven by market expectations of weakening domestic economic conditions. However, the subsequent stabilization trajectory corroborates recent research emphasizing the effectiveness of China’s central bank interventions in foreign exchange markets (Li et al. []; Lu et al. []; Li et al. []). These findings reinforce arguments advocating proactive monetary policy to mitigate exchange rate volatility. Real interest rates rise initially, reflecting a stringent monetary stance adopted in response to inflationary pressures, aligning with standard monetary policy frameworks outlined in the recent literature (Fu and Ho []; Kim and Chen []; Hammoudeh et al. []). However, the gradual normalization underscores China’s cautious policy stance, balancing inflation control with growth stabilization. Consumption and investment exhibit marked declines, emphasizing the broader economic repercussions of cost shocks, as confirmed by recent macroeconomic analyses (Chamon et al. []; Zhang et al. []; Song and Xiong []). Declining disposable incomes and heightened economic uncertainty effectively dampen private sector spending and capital formation. Employment levels similarly contract, reinforcing the interconnectedness of labor market conditions with broader macroeconomic volatility, a phenomenon corroborated by recent labor market studies (Rong et al. []).
4.3. Monetary Policy Effect Simulation
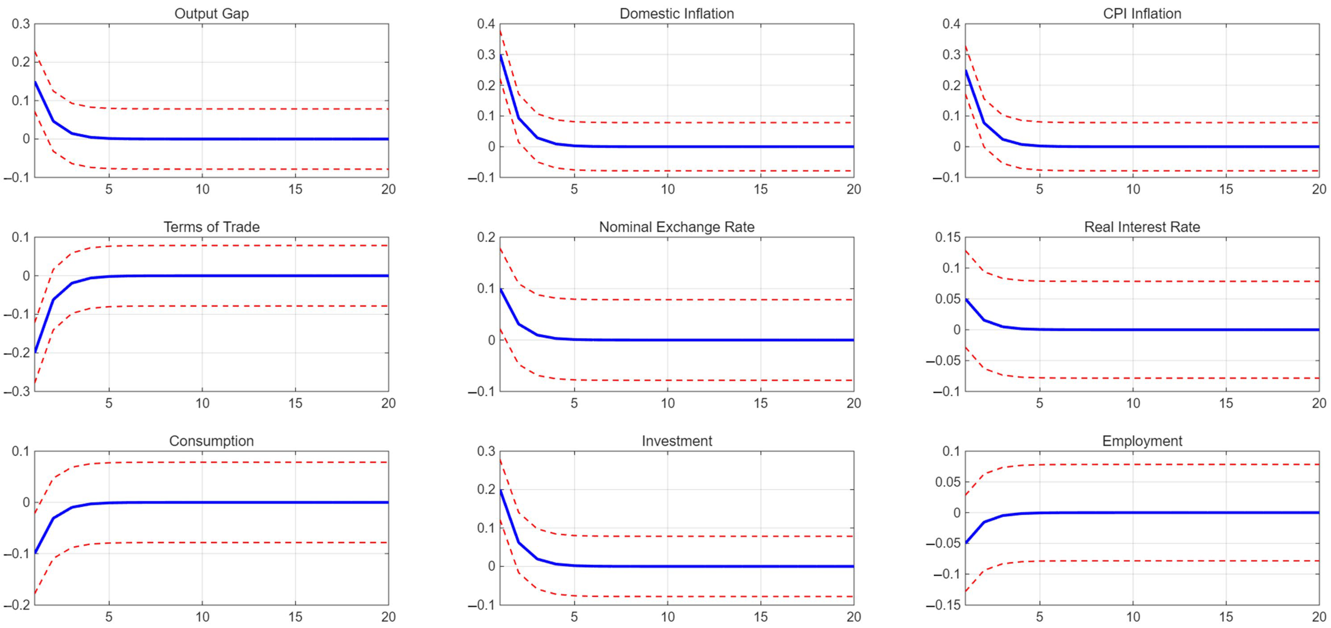
To rigorously quantify and elucidate the transmission channels of monetary policy shocks within the Chinese economic environment, the ensuing analysis presents detailed simulation outcomes capturing the responses of critical macroeconomic variables. These simulations are especially pertinent given China’s evolving monetary policy framework and its significance for economic stability amid global financial uncertainty. Specifically, the dynamic interplay between policy-driven adjustments and key economic indicators—such as inflation rates, exchange rates, investment, and consumption behaviors—is comprehensively examined. The findings, visually synthesized in Figure 2, underscore the nuanced implications of monetary policy maneuvers, providing robust insights into both short-run responses and longer-term adjustments of the economy.

Figure 2.
Simulation results of monetary policy shock.
Figure 2 delineates the simulated outcomes of a monetary policy shock, revealing the nuanced interplay among key macroeconomic variables within the Chinese economic landscape. Each variable’s response provides critical insights into the effectiveness and limitations of monetary interventions, framed by contemporary theoretical and empirical literature. The immediate tightening of monetary policy significantly suppresses the output gap, indicative of the contractionary effects typically observed in response to higher interest rates. Recent findings from Li et al. [], Xiang and Li [], and Li et al. [] substantiate this observation, noting the pronounced sensitivity of China’s industrial production to shifts in monetary conditions due to heightened debt dependency among corporate sectors. Domestic inflation initially decreases sharply, highlighting the central bank’s effective short-term control over price stability. Nevertheless, the subsequent modest rebound suggests underlying structural rigidities in China’s pricing mechanisms, an interpretation consistent with the analysis by Liu et al. [], Chiang et al. [], and Pan et al. [], who argue that inflation dynamics in China exhibit delayed responsiveness attributable to extensive state intervention and regulated markets. CPI inflation mirrors domestic inflation closely, though its relatively subdued fluctuations emphasize the buffering effects of imported goods and exchange rate pass-through, as recently documented by Ji [], Hagemejer et al. [], and Ye et al. []. Their research stresses the integral role of global supply chains in moderating inflationary responses to domestic monetary shocks. The terms of trade initially improve marginally, likely reflecting the immediate competitiveness gains from a more robust currency valuation, before gradually reverting. This transient improvement aligns with Liao et al. [], Fernald et al. [], and Zhang and Vigne [] findings, indicating China’s complex trade dynamics, wherein short-term monetary tightening temporarily enhances export competitiveness through productivity improvements but risks long-term erosion as global market conditions adapt.
The nominal exchange rate appreciates sharply at the outset, reflecting investor confidence induced by a tighter monetary stance. However, the gradual normalization underscores China’s managed exchange rate regime’s effectiveness and market expectations’ swift adjustments, as noted by Su et al. [], Du et al. [], and Vasilcovschi and Verga [], emphasizing policy credibility and central bank communication’s pivotal roles in stabilizing exchange rates. Real interest rates rise markedly, underscoring the direct influence of monetary tightening on financing costs. These heightened real interest rates persist moderately, reflecting enduring risk aversion and liquidity tightening within the financial markets, consistent with findings from recent studies by Jiang et al. [], Wang et al. [], and Zhu and He [], who emphasize that prolonged real rate elevation poses potential risks to long-term economic growth and financial stability. Consumption and investment sharply contract, revealing private sector sensitivity to monetary policy shifts, driven primarily by increased borrowing costs and reduced consumer confidence. This observation aligns with Li and Zhang [], who highlight the critical role of household leverage and corporate debt structures in amplifying the macroeconomic impacts of monetary interventions in China. Finally, employment declines in line with economic contraction, reinforcing the labor market’s responsiveness to macroeconomic fluctuations induced by monetary policy. Recent labor economics research by Lin et al. [], Lu et al. [], and Chen et al. [] corroborates this finding, identifying the heightened vulnerability of employment in service sectors and small and medium-sized enterprises to restrictive monetary policies.
4.4. Foreign Income Effect Simulation
To further unravel the dynamics shaping China’s economy under external perturbations, attention now turns to foreign income shocks—critical external disturbances that reflect shifts in international demand and global economic conditions. Specifically, this simulation probes how variations in foreign income propagate through China’s open economy, influencing domestic macroeconomic stability across multiple dimensions. By systematically capturing responses in key economic indicators, including the output gap, inflation metrics, terms of trade, exchange rate dynamics, consumption patterns, investment behaviors, and employment levels, the forthcoming analysis provides a comprehensive portrait of China’s economic sensitivity to global economic fluctuations. Figure 3 meticulously delineates these interrelated dynamics, offering nuanced insights essential for evaluating China’s vulnerability and resilience to external income shocks.

Figure 3.
Simulation results of foreign income shock.
Figure 3 provides a comprehensive depiction of China’s economic response to a foreign income shock, elucidating key macroeconomic variables’ sensitivity and adjustment trajectories. The results underscore China’s interconnectedness with global economic conditions, offering significant policy insights. Initially, the output gap expands in response to rising foreign income, reflecting increased external demand stimulating domestic production. This positive linkage corroborates recent findings by Fambo and Ge [], emphasizing China’s export-led growth dependency. However, the gradual normalization highlights potential constraints in domestic productive capacity and structural rigidities, resonating with Woo’s [] observation of supply-side bottlenecks that temper long-term responsiveness. Domestic inflation experiences a modest increase, indicative of heightened demand pressures. This outcome aligns with Zhang [] and Zhou et al.’s [] findings, noting that inflationary impacts from foreign shocks in China are typically subdued by effective supply-chain management and policy interventions. CPI inflation mirrors domestic inflation closely but demonstrates milder fluctuations, reinforcing the buffering influence of global commodity prices and exchange-rate stability, as discussed by Lin and Xu [], Ding et al. [], and Chen and Miao []. The terms of trade improve initially, suggesting strengthened external competitiveness driven by favorable international market conditions. However, subsequent moderation points to China’s adaptive pricing strategies and changing global competition dynamics, consistent with the strategic export behaviors explored by Efrat et al. [], Wu et al. [], and Wang et al. []. This indicates a need for ongoing strategic adjustments to maintain competitive advantages.
Nominal exchange rates exhibit initial appreciation, reflecting strengthened investor sentiment and capital inflows driven by robust external demand. The subsequent stabilization underscores the effectiveness of China’s foreign exchange intervention strategies, recently validated by Wang and Zhou [] and Zhou [], who highlight proactive central bank interventions as essential stabilizing forces during external demand fluctuations. Real interest rates initially decline, facilitating economic expansion by reducing borrowing costs amid favorable external conditions. Nevertheless, the gradual return to baseline suggests cautious monetary policy recalibration aimed at preventing overheating, aligning with Chang et al. [], Huo et al. [], and Shao et al.’s [] recent emphasis on balanced monetary approaches in maintaining economic stability amidst external shocks. Consumption and investment surge notably, driven by improved economic outlooks and increased income expectations, reinforcing private-sector confidence. This observation aligns closely with Lin et al. [], Ye and Friginal [], and Ullah et al. [], who emphasize consumer confidence and business sentiment as critical transmission mechanisms through which external economic conditions impact China’s macroeconomy. Employment levels correspondingly increase, reflecting labor market dynamism spurred by external demand expansion. However, the eventual plateau highlights structural employment challenges, particularly in skill mismatches and sectoral labor mobility constraints, consistent with findings from Cai and Wang [], Meng [], Hao et al. [], and Cui et al. [].
4.5. Variance Decomposition
To further dissect the underlying drivers of macroeconomic fluctuations observed in previous simulations, variance decomposition analysis provides essential quantitative insights. This analytical approach meticulously attributes variations in macroeconomic indicators to distinct structural shocks, clarifying their relative significance and temporal dynamics. By systematically partitioning the forecast error variance, this analysis elucidates the proportionate contributions of cost-push, monetary policy, foreign income, and other relevant shocks across critical economic variables. The subsequent results, graphically summarized in Figure 4, offer rigorous empirical clarity, highlighting not only the immediate impacts but also the enduring influences of different shocks on China’s macroeconomic stability and dynamics.

Figure 4.
Results of variance decomposition.
Figure 4 systematically elucidates the variance decomposition results, detailing how distinct structural shocks contribute to fluctuations in major macroeconomic indicators within China’s economic landscape. The analytical decomposition underscores each shock’s relative magnitude and evolving role over time, presenting nuanced insights critical for targeted macroeconomic management. The output gap’s variance is predominantly driven by cost-push and foreign income shocks, indicating the considerable sensitivity of China’s productive capacity to international market conditions and domestic production cost dynamics. This finding resonates with recent insights by Wang and Wei [], Duan et al. [], and Ma et al. [], who identify cost pressures and external demand volatility as primary determinants shaping China’s industrial resilience. For domestic inflation, cost-push shocks notably dominate in both short-term and long-term horizons, underscoring persistent inflationary pressures arising from domestic supply-chain inefficiencies and market rigidities. The prominence of cost-driven inflationary dynamics aligns with Li et al.’s [] analysis, emphasizing structural supply constraints as central inflation drivers in China. The variance decomposition of CPI inflation shows substantial contributions from foreign income and monetary policy shocks, reflecting China’s integrated role within global supply chains and the critical influence of domestic monetary policy responses. Wang et al. [] and Chen et al. [] similarly highlight the dual impact of global commodity prices and monetary policy on inflation, emphasizing their significant role in shaping China’s consumer price dynamics. The terms of trade variance is substantially influenced by foreign income shocks, consistent with China’s deepening global trade integration. The significant role of external shocks aligns closely with observations by Chen et al. [], and Rodrigue and Tan [], who document how global demand fluctuations directly affect China’s international competitiveness through strategic export pricing behaviors.
Nominal exchange rate fluctuations are largely explained by monetary policy shocks, reflecting the efficacy and responsiveness of China’s central bank interventions. This aligns with contemporary research by Hu et al. [] and Zhang et al. [], reinforcing the critical role of targeted monetary interventions in managing exchange rate stability and investor expectations amid global financial volatility. Real interest rate variations are predominantly influenced by monetary policy and foreign income shocks. This underscores the central bank’s active management of monetary conditions in response to external economic environments. Recent analyses by Chen et al. [] corroborate the necessity of nuanced monetary adjustments to safeguard economic stability against external demand uncertainties. Consumption variance prominently reflects foreign income shocks, affirming the responsiveness of domestic consumer behavior to changes in international economic conditions and income expectations. This relationship is consistent with recent evidence presented by Wu [] and Yuan and Liu [], underscoring how consumer sentiment in China closely mirrors global economic cycles. Investment fluctuations are significantly driven by monetary policy and cost-push shocks, indicating substantial sensitivity of private sector investment to financial conditions and domestic cost environments. This finding resonates with Liu and Siu [] and Bo et al.’s [] insights, emphasizing corporate financing conditions and input cost stability as pivotal determinants of investment behavior in China. Finally, employment variance is chiefly impacted by foreign income shocks, highlighting the labor market’s responsiveness to external economic dynamics. Structural employment sensitivity to global demand aligns with recent labor market studies by Xu et al. [], Yao and Zhu [], and Yue et al. [], who identify external demand conditions as crucial determinants of labor market fluctuations and employment stability in China.
4.6. Social Welfare Loss Simulation
To systematically assess the societal implications of macroeconomic disturbances and policy responses explored earlier, a quantitative analysis of social welfare loss provides critical insights. The welfare loss function employed here adheres to a standard formulation established in recent authoritative literature, specifically,
In Equation (35), denotes social welfare loss, and , , and represent deviations of the output gap, inflation, and real interest rate from their respective target or steady-state values, while parameters , , and reflect their relative weights, capturing the economy’s aversion to fluctuations in these variables (Clarida et al. []; Woodford and Walsh []; Galí []). Such an analytical framework elucidates not only immediate trade-offs but also intertemporal policy impacts, thus providing nuanced guidance for macroeconomic stabilization. Figure 5 graphically synthesizes these findings, highlighting policy implications for optimal stabilization strategies within China’s evolving economic environment.

Figure 5.
Results of social welfare loss.
Figure 5 provides a nuanced depiction of social welfare losses resulting from macroeconomic disturbances, notably illustrating the varying intensities of welfare implications across distinct shocks within China’s economy. Welfare loss analysis offers critical insights into the inherent trade-offs faced by policymakers, illuminating the effectiveness and limitations of policy responses in minimizing societal costs. The observed welfare loss from cost-push shocks is substantial, primarily driven by persistent inflation deviations and significant output gaps. This highlights China’s economic sensitivity to domestic production cost volatility, particularly reflecting rigidities in pricing mechanisms and inflexible market structures. Recent empirical evidence by Chen et al. [] and Egan and Leddin [] confirms that structural inefficiencies in domestic markets exacerbate welfare losses due to persistent inflationary pressures and reduced productive efficiency. Monetary policy shocks induce moderate welfare losses, predominantly reflecting short-term output contractions and real interest rate deviations. This aligns closely with findings by He and Teng [] and Kovalchuk [], underscoring the challenges China’s central bank faces in balancing price stability and economic growth amidst complex domestic financial markets and global uncertainties. Their study emphasizes that overly aggressive monetary tightening can inadvertently intensify welfare losses through excessive output volatility. Foreign income shocks also generate noticeable welfare losses, primarily due to their significant impacts on output and employment stability. These results reflect China’s high dependency on external economic conditions, as corroborated by Yu et al. [] and Saint Akadiri and Ozkan [], who suggest that export-driven economies, such as China’s, inherently experience pronounced welfare fluctuations amid global demand volatility. Furthermore, the analysis reveals that welfare losses due to real interest rate volatility, though less severe, highlight crucial insights into the stability of China’s macroeconomic environment. Consistent with Chen et al. [] and Chen et al. [] observations, persistent deviations in real interest rates indicate that structural adjustments in financial markets and more sophisticated monetary tools might be necessary to enhance economic resilience and social welfare. In aggregate, these welfare loss dynamics underscore the importance of targeted structural reforms, effective monetary policy calibration, and strengthened market flexibility. Such comprehensive strategies are essential for minimizing welfare losses, fostering greater economic resilience, and promoting sustained social welfare improvements in China’s evolving economic landscape.
5. Conclusions
This paper utilized a DSGE framework, employing Bayesian estimation techniques, to rigorously evaluate the macroeconomic impacts of cost-push, monetary policy, and foreign income shocks within China’s economic context. The objective was to ascertain the dynamic interactions among critical macroeconomic indicators, including output gap, inflation, interest rates, terms of trade, exchange rates, consumption, investment, and employment, and further quantify the ensuing social welfare losses. Our findings reveal that cost-push shocks result in substantial welfare losses primarily due to persistent inflation and output volatility, highlighting significant structural rigidities in domestic markets. Monetary policy interventions were found to effectively moderate short-term fluctuations, yet they induce notable welfare costs if aggressively applied. Additionally, foreign income shocks, reflecting China’s deep integration into global markets, considerably impact domestic output and employment stability. These insights underscore novel aspects of China’s macroeconomic responsiveness, emphasizing the pivotal role of nuanced policy coordination in enhancing economic resilience.
Drawing from these findings, several pertinent policy implications emerge. In the context of contemporary China, several structural reforms emerge as essential to address existing economic rigidities and vulnerabilities that our model highlights. Firstly, reforming the financial sector through the liberalization of interest rates and greater openness to foreign investment is crucial. Recent regulatory adjustments in China, including incremental relaxations in the qualified foreign institutional investor scheme, exemplify this reform trajectory. Such measures facilitate efficient capital allocation and mitigate financial market frictions, directly addressing model-indicated inefficiencies arising from financial rigidity. Secondly, restructuring state-owned enterprises is paramount. State-owned enterprises in China remain characterized by low productivity and inefficient resource utilization, often exacerbating economic volatility through rigid market behaviors. Targeted privatization initiatives, improved corporate governance standards, and market-based performance assessments, as evidenced by ongoing pilot programs in regions such as Guangdong and Zhejiang provinces, illustrate viable pathways toward enhancing productivity and economic resilience. Moreover, labor market flexibility demands urgent attention. China’s urban labor markets are burdened by restrictive household registration (hukou) systems and fragmented social insurance schemes, limiting labor mobility and intensifying unemployment risks during macroeconomic shocks. Practical reforms include recent pilot initiatives in Shenzhen and Shanghai that decouple social benefits from hukou status, promoting greater workforce adaptability and more responsive employment dynamics to macroeconomic fluctuations. Further, innovation-driven industrial policy reforms represent another critical area. The central government’s recent launch of the “dual circulation” strategy, prioritizing internal economic flows complemented by international engagement, directly aligns with reducing China’s external vulnerability identified in our simulations. Enhanced incentives for technological innovation, exemplified by comprehensive reforms to R&D tax incentives and significant state-backed investment in high-tech sectors (e.g., artificial intelligence, semiconductors, and renewable energy), illustrate concrete examples of how China is navigating structural transformation toward greater economic autonomy and resilience. Lastly, enhancing market competitiveness through robust anti-monopoly regulations and consumer protection reforms is equally vital. The recent comprehensive enforcement actions by the state administration for market regulation against monopolistic behaviors in China’s digital economy—including high-profile cases involving prominent tech firms such as Alibaba and Tencent—represent pragmatic steps towards curbing market rigidities and fostering a competitive economic environment.
Despite these contributions, the research is subject to certain limitations. Firstly, the model assumes homogeneous agents, overlooking heterogeneity among households and firms, which may affect the accuracy of welfare estimations. Future research could extend the analysis by incorporating agent heterogeneity to capture distributional impacts more precisely. Secondly, the assumption of complete international financial markets simplifies real-world financial frictions. Subsequent studies could integrate financial market imperfections to better reflect actual economic conditions and enhance policy relevance. Lastly, explicitly accounting for China’s pronounced regional heterogeneity within the DSGE framework constitutes another critical limitation of our current study. China’s provinces and regions exhibit substantial economic disparities and structural differences, making them differently susceptible to structural shocks. Extending our analysis to integrate regional variations would significantly enrich the understanding of shock transmission mechanisms and economic resilience. Nevertheless, incorporating such spatial heterogeneity poses considerable methodological and computational challenges, exponentially increasing model complexity, data requirements, and calibration intricacies. Consequently, addressing regional heterogeneity remains an important and promising direction for future research, offering opportunities for more nuanced policy insights and region-specific economic stabilization strategies.
Author Contributions
Conceptualization, Y.H.; methodology, Y.H.; software, D.W.; validation, D.W.; formal analysis, D.W.; investigation, D.W.; data curation, D.W.; writing—original draft preparation, D.W.; writing—review and editing, Y.H. All authors have read and agreed to the published version of the manuscript.
Funding
This research received no external funding.
Data Availability Statement
The original contributions presented in this study are included in the article. Further inquiries can be directed to the corresponding author.
Conflicts of Interest
The authors declare no conflicts of interest.
References
- Liu, X.; Lam, R.; Schipke, A.; Shen, G. A Generalized Okun’s Law: Uncovering the Myth of China’s Labor Market Resilience. Rev. Dev. Econ. 2018, 22, 1195–1216. [Google Scholar] [CrossRef]
- Li, E.X.N.; Li, H.; Wang, S.; Yu, C. Macroeconomic Risks and Asset Pricing: Evidence from a Dynamic Stochastic General Equilibrium Model. Manag. Sci. 2019, 65, 3585–3604. [Google Scholar] [CrossRef]
- Gong, X.-L.; Lu, J.-Y.; Xiong, X.; Zhang, W. Liquidity Constraints, Real Estate Regulation, and Local Government Debt Risks. Financ. Innov. 2025, 11, 5. [Google Scholar] [CrossRef]
- Altug, S.; Young, W. Real Business Cycles after Three Decades: A Panel Discussion with Edward Prescott, Finn Kydland, Charles Plosser, John Long, Thomas Cooley, and Gary Hansen. Macroecon. Dyn. 2015, 19, 425–445. [Google Scholar] [CrossRef]
- Kehoe, P.J.; Midrigan, V.; Pastorino, E. Evolution of Modern Business Cycle Models: Accounting for the Great Recession. J. Econ. Perspect. 2018, 32, 141–166. [Google Scholar] [CrossRef]
- Fernández-Villaverde, J.; Guerrón-Quintana, P.A. Estimating DSGE Models: Recent Advances and Future Challenges. Annu. Rev. Econ. 2021, 13, 229–252. [Google Scholar] [CrossRef]
- Calvo, G.A. Staggered Prices in a Utility-Maximizing Framework. J. Monet. Econ. 1983, 12, 383–398. [Google Scholar] [CrossRef]
- Rotemberg, J.J. Sticky Prices in the United States. J. Political Econ. 1982, 90, 1187–1211. [Google Scholar] [CrossRef]
- Mertens, K.R.; Ravn, M.O. Fiscal Policy in an Expectations-Driven Liquidity Trap. Rev. Econ. Stud. 2014, 81, 1637–1667. [Google Scholar] [CrossRef]
- Gross, T.; Notowidigdo, M.J.; Wang, J. The Marginal Propensity to Consume over the Business Cycle. Am. Econ. J. Macroecon. 2020, 12, 351–384. [Google Scholar] [CrossRef]
- Kaplan, G.; Violante, G.L. The Marginal Propensity to Consume in Heterogeneous Agent Models. Annu. Rev. Econ. 2022, 14, 747–775. [Google Scholar] [CrossRef]
- Miranda-Agrippino, S.; Ricco, G. The Transmission of Monetary Policy Shocks. Am. Econ. J. Macroecon. 2021, 13, 74–107. [Google Scholar] [CrossRef]
- Akinci, Ö. Financial Frictions and Macro-Economic Fluctuations in Emerging Economies. J. Money Credit. Bank. 2021, 53, 1267–1312. [Google Scholar] [CrossRef]
- Görtz, C.; Tsoukalas, J.D.; Zanetti, F. News Shocks under Financial Frictions. Am. Econ. J. Macroecon. 2022, 14, 210–243. [Google Scholar] [CrossRef]
- Banerjee, S.; Behera, H. Financial Frictions, Bank Intermediation and Monetary Policy Transmission in India. Econ. Transit. Inst. Change 2023, 31, 749–785. [Google Scholar] [CrossRef]
- Bashir, U.; Khan, S.; Jones, A.; Hussain, M. Do Banking System Transparency and Market Structure Affect Financial Stability of Chinese Banks? Econ. Change Restruct. 2021, 54, 1–41. [Google Scholar] [CrossRef]
- Brunnermeier, M.K.; Sockin, M.; Xiong, W. China’s Model of Managing the Financial System. Rev. Econ. Stud. 2022, 89, 3115–3153. [Google Scholar] [CrossRef]
- Allen, F.; Gu, X.; Jagtiani, J. Fintech, Cryptocurrencies, and CBDC: Financial Structural Transformation in China. J. Int. Money Financ. 2022, 124, 102625. [Google Scholar] [CrossRef]
- Cai, M.; Del Negro, M.; Herbst, E.; Matlin, E.; Sarfati, R.; Schorfheide, F. Online Estimation of DSGE Models. Econom. J. 2021, 24, C33–C58. [Google Scholar] [CrossRef]
- Poudyal, N.; Spanos, A. Model Validation and DSGE Modeling. Econometrics 2022, 10, 17. [Google Scholar] [CrossRef]
- Dave, C.; Sorge, M.M. Fat-tailed DSGE Models: A Survey and New Results. J. Econ. Surv. 2025, 39, 146–171. [Google Scholar] [CrossRef]
- Čapek, J.; Crespo Cuaresma, J.; Chalmovianský, J.; Reichel, V. Real-Time Data, Revisions and the Predictive Ability of DSGE Models. Oxf. Bull. Econ. Stat. 2025, obes.12677. [Google Scholar] [CrossRef]
- Funke, M.; Li, X.; Zhong, D. Household Indebtedness, Financial Frictions and the Transmission of Monetary Policy to Consumption: Evidence from China. Emerg. Mark. Rev. 2023, 55, 100974. [Google Scholar] [CrossRef]
- Wahid, A.; Kowalewski, O. Monetary Policy Spillovers and Inter-Market Dynamics Perspective of Preferred Habitat Model. Economies 2024, 12, 98. [Google Scholar] [CrossRef]
- Wu, R.; He, Y.; Teng, Z. Energy Price Instability and Energy Efficiency: Korea’s Macroeconomic Framework during the COVID-19 Pandemic. PLoS ONE 2025, 20, e0321793. [Google Scholar] [CrossRef] [PubMed]
- Dufour, J.-M.; Khalaf, L.; Kichian, M. Identification-Robust Analysis of DSGE and Structural Macroeconomic Models. J. Monet. Econ. 2013, 60, 340–350. [Google Scholar] [CrossRef]
- Marchionatti, R.; Sella, L. Is Neo-Walrasian Macroeconom(Etr)Ics a Dead End? An Assessment of Recent Criticisms of DSGE Models. J. Post Keynes. Econ. 2017, 40, 441–469. [Google Scholar] [CrossRef]
- Dosi, G.; Roventini, A. More Is Different … and Complex! The Case for Agent-Based Macroeconomics. J. Evol. Econ. 2019, 29, 1–37. [Google Scholar] [CrossRef]
- Storm, S. Cordon of Conformity: Why DSGE Models Are Not the Future of Macroeconomics. Int. J. Political Econ. 2021, 50, 77–98. [Google Scholar] [CrossRef]
- Pu, Z.; Fan, X.; Xu, Z.; Skare, M. A Systematic Literature Review on Business Cycle Approaches: Measurement, Nature, Duration. Oeconomia Copernic. 2023, 14, 935–976. [Google Scholar] [CrossRef]
- Bylund, E.; Iversen, J.; Vredin, A. Monetary Policy in Sweden After the End of Bretton Woods. Comp. Econ. Stud. 2024, 66, 535–590. [Google Scholar] [CrossRef]
- Campiglio, E.; Dafermos, Y.; Monnin, P.; Ryan-Collins, J.; Schotten, G.; Tanaka, M. Climate Change Challenges for Central Banks and Financial Regulators. Nat. Clim. Change 2018, 8, 462–468. [Google Scholar] [CrossRef]
- Hall, S.G.; Henry, S.G.B. Macro Modelling at the NIESR: Its Recent History. Natl. Inst. Econ. Rev. 2018, 246, R15–R23. [Google Scholar] [CrossRef]
- Renault, M. Macroeconomics under Pressure: The Feedback Effects of Economic Expertise. Eur. J. Hist. Econ. Thought 2023, 30, 275–298. [Google Scholar] [CrossRef]
- Qin, C.; Lou, H.; Li, L. Assessing the Economic Impact of Climate Risk on Green and Low-Carbon Transformation. Front. Environ. Sci. 2025, 13, 1557388. [Google Scholar] [CrossRef]
- Song, W.; Zhao, M.; Yu, J. Price Distortion on Market Resource Allocation Efficiency: A DID Analysis Based on National-Level Big Data Comprehensive Pilot Zones. Int. Rev. Econ. Financ. 2025, 102, 104128. [Google Scholar] [CrossRef]
- Rahaman, S.U.; Abdul, M.J. Quantifying Uncertainty in Economics Policy Predictions: A Bayesian & Monte Carlo Based Data-Driven Approach. Int. Rev. Financ. Anal. 2025, 102, 104157. [Google Scholar]
- Nölke, A.; Ten Brink, T.; Claar, S.; May, C. Domestic Structures, Foreign Economic Policies and Global Economic Order: Implications from the Rise of Large Emerging Economies. Eur. J. Int. Relat. 2015, 21, 538–567. [Google Scholar] [CrossRef]
- Chen, Y.; Liu, K.; Liu, Z.U.S. Money Supply and China’s Business Cycles. Emerg. Mark. Financ. Trade 2018, 54, 957–980. [Google Scholar] [CrossRef]
- Yan, M.; Shi, K. Revisiting the Impact of US Uncertainty Shocks: New Evidence from China’s Investment Dynamics. Open Econ. Rev. 2024, 35, 457–495. [Google Scholar] [CrossRef]
- Kang, C. China’s Monetary Policy under the “New Normal”. China Int. J. 2018, 16, 74–96. [Google Scholar]
- Huang, Y. The Framework of Macroeconomic Policy in China. China Econ. J. 2025, 18, 21–36. [Google Scholar] [CrossRef]
- Hamilton, J.D. Calling Recessions in Real Time. Int. J. Forecast. 2011, 27, 1006–1026. [Google Scholar] [CrossRef]
- Ng, S.; Wright, J.H. Facts and Challenges from the Great Recession for Forecasting and Macroeconomic Modeling. J. Econ. Lit. 2013, 51, 1120–1154. [Google Scholar] [CrossRef]
- Cassou, S.P.; Scott, C.P.; Vázquez, J. Optimal Monetary Policy Revisited: Does Considering US Real-Time Data Change Things? Appl. Econ. 2018, 50, 6203–6219. [Google Scholar] [CrossRef]
- Claveau, F. Evidential Variety as a Source of Credibility for Causal Inference: Beyond Sharp Designs and Structural Models. J. Econ. Methodol. 2011, 18, 233–253. [Google Scholar] [CrossRef]
- Dou, W.W.; Lo, A.W.; Muley, A.; Uhlig, H. Macroeconomic Models for Monetary Policy: A Critical Review from a Finance Perspective. Annu. Rev. Financ. Econ. 2020, 12, 95–140. [Google Scholar] [CrossRef]
- Feto, A.; Jayamohan, M.K.; Vilks, A. Applicability and Accomplishments of DSGE Modeling: A Critical Review. J. Bus. Cycle Res. 2023, 19, 213–239. [Google Scholar] [CrossRef]
- Lozej, M.; Walsh, G. Fiscal Policy Spillovers in a Monetary Union. Open Econ. Rev. 2021, 32, 1089–1117. [Google Scholar] [CrossRef]
- He, Y. External Financial and Monetary Policy Shocks: Do They Matter for Korean Macroeconomy? Heliyon 2024, 10, e30143. [Google Scholar] [CrossRef]
- Ge, X.; Li, X.-L.; Li, Y.; Liu, Y. The Driving Forces of China’s Business Cycles: Evidence from an Estimated DSGE Model with Housing and Banking. China Econ. Rev. 2022, 72, 101753. [Google Scholar] [CrossRef]
- Sun, T.; Bian, X.; Liu, J.; Wang, R.; Sriboonchitta, S. The Economic and Social Effects of Skill Mismatch in China: A DSGE Model with Skill and Firm Heterogeneity. Econ. Model. 2023, 125, 106345. [Google Scholar] [CrossRef]
- Zhang, X. Public Sector Employment Rigidity and Macroeconomic Fluctuation: A DSGE Simulation for China. PLoS ONE 2024, 19, e0308663. [Google Scholar] [CrossRef]
- Zheng, T.; Guo, H. Estimating a Small Open Economy DSGE Model with Indeterminacy: Evidence from China. Econ. Model. 2013, 31, 642–652. [Google Scholar] [CrossRef]
- Xiao, B.; Fan, Y.; Guo, X. Exploring the Macroeconomic Fluctuations under Different Environmental Policies in China: A DSGE Approach. Energy Econ. 2018, 76, 439–456. [Google Scholar] [CrossRef]
- Zhang, X.; Zhang, Y.; Zhu, Y. COVID-19 Pandemic, Sustainability of Macroeconomy, and Choice of Monetary Policy Targets: A NK-DSGE Analysis Based on China. Sustainability 2021, 13, 3362. [Google Scholar] [CrossRef]
- Zhang, Y.; Hyder, M.; Baloch, Z.A.; Qian, C.; Saydaliev, H.B. Nexus between Oil Price Volatility and Inflation: Mediating Nexus from Exchange Rate. Resour. Policy 2022, 79, 102977. [Google Scholar] [CrossRef]
- Wang, C.; Yao, Q. Dynamic Characteristics of China’s Inflation: A Two-Country DSGE Model Based on a Multi-Level Vertical Industrial Structure. Econ. Res.-Ekon. Istraživanja 2023, 36, 2080730. [Google Scholar] [CrossRef]
- Eickmeier, S.; Kühnlenz, M. China’s Role in Global Inflation Dynamics. Macroecon. Dyn. 2018, 22, 225–254. [Google Scholar] [CrossRef]
- Zhan, J. Macroeconomic and Trade Policy Impacts Based on DSGE Model. Int. Rev. Econ. Financ. 2024, 95, 103469. [Google Scholar] [CrossRef]
- Xu, M.; Zhong, T.; Xie, Q.; Liu, H. Foreign Demand, Competition Strategy, and Export Markups: Evidence from Chinese Multi-Product Exporters. China World Econ. 2022, 30, 187–209. [Google Scholar] [CrossRef]
- Yang, C.-H. R&D Responses to Labor Cost Shock in China: Does Firm Size Matter? Small Bus. Econ. 2023, 61, 1773–1793. [Google Scholar] [CrossRef]
- Aghion, P.; Bergeaud, A.; Lequien, M.; Melitz, M.J.; Zuber, T. Opposing Firm-Level Responses to the China Shock: Output Competition versus Input Supply. Am. Econ. J. Econ. Policy 2024, 16, 249–269. [Google Scholar] [CrossRef]
- Li, H.; Yu, Z.; Zhang, C.; Zhang, Z. Determination of China’s Foreign Exchange Intervention: Evidence from the Yuan/Dollar Market. Stud. Econ. Financ. 2017, 34, 62–81. [Google Scholar] [CrossRef]
- Lu, D.; Xia, T.; Zhou, H. Foreign Exchange Intervention and Monetary Policy Rules under a Managed Floating Regime: Evidence from China. Appl. Econ. 2022, 54, 3226–3245. [Google Scholar] [CrossRef]
- Li, X.; Wang, N.; Duan, J.; Shi, W. Exchange Rate Stability and Expectation Management under Heterogeneous Expectations. Int. Rev. Financ. Anal. 2024, 95, 103453. [Google Scholar] [CrossRef]
- Fu, L.; Ho, C.-Y. Monetary Policy Surprises and Interest Rates under China’s Evolving Monetary Policy Framework. Emerg. Mark. Rev. 2022, 52, 100895. [Google Scholar] [CrossRef]
- Kim, S.; Chen, H. From a Quantity to an Interest Rate-Based Framework: Multiple Monetary Policy Instruments and Their Effects in China. J. Money Credit. Bank. 2022, 54, 2103–2123. [Google Scholar] [CrossRef]
- Hammoudeh, S.; Nguyen, D.K.; Sousa, R.M. China’s Monetary Policy Framework and Global Commodity Prices. Energy Econ. 2024, 138, 107767. [Google Scholar] [CrossRef]
- Chamon, M.; Liu, K.; Prasad, E. Income Uncertainty and Household Savings in China. J. Dev. Econ. 2013, 105, 164–177. [Google Scholar] [CrossRef]
- Zhang, G.; Han, J.; Pan, Z.; Huang, H. Economic Policy Uncertainty and Capital Structure Choice: Evidence from China. Econ. Syst. 2015, 39, 439–457. [Google Scholar] [CrossRef]
- Song, Z.; Xiong, W. Risks in China’s Financial System. Annu. Rev. Financ. Econ. 2018, 10, 261–286. [Google Scholar] [CrossRef]
- Rong, S.; Liu, K.; Huang, S.; Zhang, Q. FDI, Labor Market Flexibility and Employment in China. China Econ. Rev. 2020, 61, 101449. [Google Scholar] [CrossRef]
- Li, Y.; Qi, Y.; Liu, L.; Yao, J.; Chen, X.; Du, T.; Jiang, X.; Zhu, D. Monetary Policy and Corporate Financing: Evidence from Different Industries. Cities 2022, 122, 103544. [Google Scholar] [CrossRef]
- Xiang, J.; Li, L. Monetary Policy Uncertainty, Debt Financing Cost and Real Economic Activities: Evidence from China. Int. Rev. Econ. Financ. 2022, 80, 1025–1044. [Google Scholar] [CrossRef]
- Li, X.-L.; Yang, M.; Ge, X.; Zhao, C. Monetary Policy Uncertainty and Corporate Credit Financing in China: The Role of Accounting Information Quality. Econ. Model. 2025, 144, 106990. [Google Scholar] [CrossRef]
- Liu, T.-Y.; Chang, H.-L.; Su, C.-W.; Lobonţ, O.-R. Is There Inflation in China? Evidence by a Unit Root Approach. Int. Rev. Econ. Financ. 2017, 52, 236–245. [Google Scholar] [CrossRef]
- Chiang, S.-H.; Lee, C.-C.; Liao, Y. Exploring the Sources of Inflation Dynamics: New Evidence from China. Econ. Anal. Policy 2021, 70, 313–332. [Google Scholar] [CrossRef]
- Pan, C.; Huang, Y.; Lee, C.-C. The Dynamic Effects of Oil Supply Shock on China: Evidence from the TVP-Proxy-VAR Approach. Socio-Econ. Plan. Sci. 2024, 95, 102026. [Google Scholar] [CrossRef]
- Ji, J. Exchange Rate Pass-through to Domestic Inflation in a Pricing Model Incorporating Distribution Chain Structure. J. Appl. Econ. 2022, 25, 432–453. [Google Scholar] [CrossRef]
- Hagemejer, J.; Hałka, A.; Kotłowski, J. Global Value Chains and Exchange Rate Pass-through—The Role of Non-Linearities. Int. Rev. Econ. Financ. 2022, 82, 461–478. [Google Scholar] [CrossRef]
- Ye, M.; Si Mohammed, K.; Tiwari, S.; Ali Raza, S.; Chen, L. The Effect of the Global Supply Chain and Oil Prices on the Inflation Rates in Advanced Economies and Emerging Markets. Geol. J. 2023, 58, 2805–2817. [Google Scholar] [CrossRef]
- Liao, W.; Shi, K.; Zhang, Z. Vertical Trade and China’s Export Dynamics. China Econ. Rev. 2012, 23, 763–775. [Google Scholar] [CrossRef][Green Version]
- Fernald, J.G.; Spiegel, M.M.; Swanson, E.T. Monetary Policy Effectiveness in China: Evidence from a FAVAR Model. J. Int. Money Financ. 2014, 49, 83–103. [Google Scholar] [CrossRef]
- Zhang, D.; Vigne, S.A. The Causal Effect on Firm Performance of China’s Financing–Pollution Emission Reduction Policy: Firm-Level Evidence. J. Environ. Manag. 2021, 279, 111609. [Google Scholar] [CrossRef]
- Su, S.; Ahmad, A.H.; Wood, J. How Effective Is Central Bank Communication in Emerging Economies? An Empirical Analysis of the Chinese Money Markets Responses to the People’s Bank of China’s Policy Communications. Rev. Quant. Financ. Account. 2020, 54, 1195–1219. [Google Scholar] [CrossRef]
- Du, X.; Cheng, J.; Zhu, D.; Xing, M. Does Central Bank Communication on Financial Stability Work?——An Empirical Study Based on Chinese Stock Market. Int. Rev. Econ. Financ. 2023, 85, 390–407. [Google Scholar] [CrossRef]
- Vasilcovschi, N.; Verga, G. An Empirical Analysis of the Central Bank of China’s Monetary Policy and the Impact of Its Communications on Market Interest Rates, Liquidity and Credit. Sci. Ann. Econ. Bus. 2023, 70, 499–527. [Google Scholar] [CrossRef]
- Jiang, Y.; Li, C.; Zhang, J.; Zhou, X. Financial Stability and Sustainability under the Coordination of Monetary Policy and Macroprudential Policy: New Evidence from China. Sustainability 2019, 11, 1616. [Google Scholar] [CrossRef]
- Wang, Y.; Wang, X.; Zhang, Z.; Cui, Z.; Zhang, Y. Role of Fiscal and Monetary Policies for Economic Recovery in China. Econ. Anal. Policy 2023, 77, 51–63. [Google Scholar] [CrossRef]
- Zhu, L.; He, J. China Financial Stability and Asymmetric Implications for Economic Stability. Econ. Change Restruct. 2024, 57, 16. [Google Scholar] [CrossRef]
- Li, X.-L.; Zhang, R.-J. Effects of Credit Misallocation on Systemic Risk of Non-Financial Corporations: The Role of Monetary Policy. China Econ. Rev. 2025, 93, 102450. [Google Scholar] [CrossRef]
- Lin, C.; He, L.; Yang, G. Targeted Monetary Policy and Financing Constraints of Chinese Small Businesses. Small Bus. Econ. 2021, 57, 2107–2124. [Google Scholar] [CrossRef]
- Lu, L.; Peng, J.; Wu, J.; Lu, Y. Perceived Impact of the Covid-19 Crisis on SMEs in Different Industry Sectors: Evidence from Sichuan, China. Int. J. Disaster Risk Reduct. 2021, 55, 102085. [Google Scholar] [CrossRef] [PubMed]
- Chen, J.; Cheng, Z.; Gong, R.K.; Li, J. Riding out the COVID-19 Storm: How Government Policies Affect SMEs in China. China Econ. Rev. 2022, 75, 101831. [Google Scholar] [CrossRef]
- Fambo, H.; Ge, S. Chinese Investment in Africa: Exploring Economic Growth Through Export Diversification. Fudan J. Hum. Soc. Sci. 2025, 18, 303–327. [Google Scholar] [CrossRef]
- Woo, W.T. China’s Soft Budget Constraint on the Demand-Side Undermines Its Supply-Side Structural Reforms. China Econ. Rev. 2019, 57, 101111. [Google Scholar] [CrossRef]
- Zhang, B.; Ai, X.; Fang, X.; Chen, S. The Transmission Mechanisms and Impacts of Oil Price Fluctuations: Evidence from DSGE Model. Energies 2022, 15, 6038. [Google Scholar] [CrossRef]
- Zhou, D.; Zhang, J.; Huan, H.; Hu, N.; Li, Y.; Cheng, J. Assessing the Impact of External Shocks on Prices in the Live Pig Industry Chain: Evidence from China. Sustainability 2025, 17, 1934. [Google Scholar] [CrossRef]
- Lin, B.; Xu, B. How to Effectively Stabilize China’s Commodity Price Fluctuations? Energy Econ. 2019, 84, 104544. [Google Scholar] [CrossRef]
- Ding, S.; Zheng, D.; Cui, T.; Du, M. The Oil Price-Inflation Nexus: The Exchange Rate Pass-through Effect. Energy Econ. 2023, 125, 106828. [Google Scholar] [CrossRef]
- Chen, P.; Miao, X. Understanding the Role of China’s Factors in International Commodity Price Fluctuations: A Perspective of Monetary-Fiscal Policy Interaction. Econ. Anal. Policy 2024, 81, 1464–1483. [Google Scholar] [CrossRef]
- Efrat, K.; Hughes, P.; Nemkova, E.; Souchon, A.L.; Sy-Changco, J. Leveraging of Dynamic Export Capabilities for Competitive Advantage and Performance Consequences: Evidence from China. J. Bus. Res. 2018, 84, 114–124. [Google Scholar] [CrossRef]
- Wu, H.; Li, J.; Zhao, Y. Foreign Demand Shocks, Product Switching, and Export Product Quality: Evidence from China. World Econ. 2023, 46, 276–301. [Google Scholar] [CrossRef]
- Wang, L.; Huang, X.; Sun, Q. Do Export Demand Shocks Affect the Export Quality of Multi-product Firms? Evidence from China. Rev. Int. Econ. 2024, 32, 1071–1103. [Google Scholar] [CrossRef]
- Wang, S.; Zhou, S. RMB Internationalization and the Effectiveness of Exchange Rate Intervention. Ann. Econ. Financ. 2022, 23, 385–416. [Google Scholar]
- Zhou, C. Capital Controls in China: A Necessity for Macroeconomic Stability. J. Financ. Stab. 2024, 75, 101335. [Google Scholar] [CrossRef]
- Chang, C.; Liu, Z.; Spiegel, M.M. Capital Controls and Optimal Chinese Monetary Policy. J. Monet. Econ. 2015, 74, 1–15. [Google Scholar] [CrossRef]
- Huo, W.; Chen, X.; Bo, L.; Luo, F. Navigating Global Monetary Interdependencies: A Comprehensive Analysis of ECB Rate Hikes on China’s Technology-Driven Economy. J. Knowl. Econ. 2024, 15, 18081–18115. [Google Scholar] [CrossRef]
- Shao, H.; Zhou, B.; Wang, D.; An, Z. Navigating Uncertainty: The Micro-Level Dynamics of Economic Policy Uncertainty and Systemic Financial Risk in China’s Financial Institutions. J. Knowl. Econ. 2024, 16, 5831–5861. [Google Scholar] [CrossRef]
- Lin, Y.-C.; Sung, B.; Park, S.-D. Integrated Systematic Framework for Forecasting China’s Consumer Confidence: A Machine Learning Approach. Systems 2024, 12, 445. [Google Scholar] [CrossRef]
- Ye, M.; Friginal, E. Portrayals of Chinese Companies in American and British Economic News Tweets during China’s Macroeconomic Transitions 2007–2023. Humanit. Social. Sci. Commun. 2024, 11, 1472. [Google Scholar] [CrossRef]
- Ullah, A.; Bouri, E.; Bukhari, A.A.A.; Bukhari, W.A.A. Global Supply Chain Pressure and Chinese Business and Consumer Confidence. Res. Int. Bus. Financ. 2025, 77, 102966. [Google Scholar] [CrossRef]
- Cai, F.; Wang, M. Growth and Structural Changes in Employment in Transition China. J. Comp. Econ. 2010, 38, 71–81. [Google Scholar] [CrossRef]
- Meng, X. Labor Market Outcomes and Reforms in China. J. Econ. Perspect. 2012, 26, 75–102. [Google Scholar] [CrossRef]
- Hao, J.; Wen, W.; Welch, A. When Sojourners Return: Employment Opportunities and Challenges Facing High-Skilled Chinese Returnees. Asian Pac. Migr. J. 2016, 25, 22–40. [Google Scholar] [CrossRef]
- Cui, Y.; Meng, J.; Lu, C. Recent Developments in China’s Labor Market: Labor Shortage, Rising Wages and Their Implications. Rev. Dev. Econ. 2018, 22, 1217–1238. [Google Scholar] [CrossRef]
- Wang, Z.; Wei, W. Regional Economic Resilience in China: Measurement and Determinants. Reg. Stud. 2021, 55, 1228–1239. [Google Scholar] [CrossRef]
- Duan, W.; Madasi, J.D.; Khurshid, A.; Ma, D. Industrial Structure Conditions Economic Resilience. Technol. Forecast. Soc. Change 2022, 183, 121944. [Google Scholar] [CrossRef]
- Ma, L.; Li, X.; Pan, Y. Global Industrial Chain Resilience Research: Theory and Measurement. Systems 2023, 11, 466. [Google Scholar] [CrossRef]
- Li, H.; Zheng, D.; Zhu, X. Impact of Supply Chain Pressure on Macroeconomy and Stock Returns–Evidence from US Aggregate and Sectoral Markets”. Econ. Bull. 2025, 45, 370–383. [Google Scholar]
- Wang, Y.; Zhu, Q.; Wu, J. Oil Price Shocks, Inflation, and Chinese Monetary Policy. Macroecon. Dyn. 2019, 23, 1–28. [Google Scholar] [CrossRef]
- Chen, R.; Tao, K.; Jin, C.; Zhang, J.; Zhang, S. Navigating Uncertainty: The Impact of Economic Policy on Corporate Data Asset Allocation. Int. Rev. Econ. Financ. 2025, 97, 103783. [Google Scholar] [CrossRef]
- Chen, J.; Sousa, C.M.P.; He, X. Nonlinear Effects of Dynamic Export Pricing on Export Sales: A Longitudinal Investigation. J. Int. Mark. 2019, 27, 60–78. [Google Scholar] [CrossRef]
- Rodrigue, J.; Tan, Y. Price, Product Quality, and Exporter Dynamics: Evidence from China. Int. Econ. Rev. 2019, 60, 1911–1955. [Google Scholar] [CrossRef]
- Hu, M.; Li, Y.; Yang, J.; Chao, C.-C. Actual Intervention and Verbal Intervention in the Chinese RMB Exchange Rate. Int. Rev. Econ. Financ. 2016, 43, 499–508. [Google Scholar] [CrossRef]
- Zhang, Z.; Li, H.; Zhang, C. Oral Intervention in China: Efficacy of Chinese Exchange Rate Communications. Int. Rev. Financ. Anal. 2017, 49, 24–34. [Google Scholar] [CrossRef]
- Chen, P.; Wu, J.; Nie, B. Economic Uncertainty, Monetary Policy, and Global Commodity Price Dynamics: The Role of “China Factors”. Appl. Econ. 2025, 1–22. [Google Scholar] [CrossRef]
- Wu, J. Economic Policy Uncertainty, Investor Sentiment, and Stock Price Synchronisation: Evidence from China. Math. Probl. Eng. 2022, 2022, 7830668. [Google Scholar] [CrossRef]
- Yuan, X.; Liu, K. The Impact of the Financial Cycle on the Economic Cycle and the Regulatory Role of Monetary Policy: Evidence from China. Int. J. Emerg. Mark. 2024. [Google Scholar] [CrossRef]
- Liu, Q.; Siu, A. Institutions and Corporate Investment: Evidence from Investment-Implied Return on Capital in China. J. Financ. Quant. Anal. 2011, 46, 1831–1863. [Google Scholar] [CrossRef]
- Bo, H.; Driver, C.; Lin, H.-C.M. Corporate Investment during the Financial Crisis: Evidence from China. Int. Rev. Financ. Anal. 2014, 35, 1–12. [Google Scholar] [CrossRef]
- Xu, W.; Pan, Z.; Wang, G. Market Transition, Labor Market Dynamics and Reconfiguration of Earning Determinants Structure in Urban China. Cities 2018, 79, 113–123. [Google Scholar] [CrossRef]
- Yao, W.; Zhu, X. Structural Change and Aggregate Employment Fluctuations in China. Int. Econ. Rev. 2021, 62, 65–100. [Google Scholar] [CrossRef]
- Yue, Y.; Hou, J.; Zhang, M.; Ye, J. Does the Sticky Relationships of Global Value Chains Help Stabilize Employment? Evidence from China. Struct. Change Econ. Dyn. 2024, 69, 632–651. [Google Scholar] [CrossRef]
- Clarida, R.; Gali, J.; Gertler, M. The Science of Monetary Policy: A New Keynesian Perspective. J. Econ. Lit. 1999, 37, 1661–1707. [Google Scholar] [CrossRef]
- Woodford, M.; Walsh, C.E. Interest and Prices: Foundations of a Theory of Monetary Policy. Macroecon. Dyn. 2005, 9, 462–468. [Google Scholar] [CrossRef]
- Galí, J. The State of New Keynesian Economics: A Partial Assessment. J. Econ. Perspect. 2018, 32, 87–112. [Google Scholar] [CrossRef]
- Chen, Y.; Li, T.; Shi, Y.; Zhou, Y. Welfare Costs of Inflation: Evidence from China. Soc. Indic. Res. 2014, 119, 1195–1218. [Google Scholar] [CrossRef]
- Egan, P.G.; Leddin, A.J. The Chinese Phillips Curve—Inflation Dynamics in the Presence of Structural Change. J. Chin. Econ. Bus. Stud. 2017, 15, 165–184. [Google Scholar] [CrossRef]
- He, Y.; Teng, Z. Navigating Uncharted Waters: The Transformation of the Bank of Korea’s Monetary Policy in Response to Global Economic Uncertainty. Mathematics 2024, 12, 1657. [Google Scholar] [CrossRef]
- Kovalchuk, A. Experimental Insights on Investment Strategies for Sustainable Growth Amid China’s Economic Uncertainty. SAGE Open 2025, 15, 21582440251343353. [Google Scholar] [CrossRef]
- Yu, J.; Shi, X.; Laurenceson, J. Will the Chinese Economy Be More Volatile in the Future? Insights from Urban Household Survey Data. Int. J. Emerg. Mark. 2020, 15, 790–808. [Google Scholar] [CrossRef]
- Saint Akadiri, S.; Ozkan, O. Risk across the Spectrum: Unpacking the Nexus of Global Oil Uncertainty, Geopolitical Tensions, Energy Volatility, and US-China Trade Tensions. Energy Policy 2025, 202, 114609. [Google Scholar] [CrossRef]
- Chen, Y.; Sun, C.; Zhang, X. Analyzing and Forecasting China’s Financial Resilience: Measurement Techniques and Identification of Key Influencing Factors. J. Financ. Stab. 2025, 76, 101372. [Google Scholar] [CrossRef]
- Chen, Y.; Wu, F.; Hua, G. Do Financial Structural Characteristics Affect Economic Resilience? Int. J. Fin. Econ. 2007, 12, 427–444. [Google Scholar] [CrossRef]
Disclaimer/Publisher’s Note: The statements, opinions and data contained in all publications are solely those of the individual author(s) and contributor(s) and not of MDPI and/or the editor(s). MDPI and/or the editor(s) disclaim responsibility for any injury to people or property resulting from any ideas, methods, instructions or products referred to in the content. |
© 2025 by the authors. Licensee MDPI, Basel, Switzerland. This article is an open access article distributed under the terms and conditions of the Creative Commons Attribution (CC BY) license (https://creativecommons.org/licenses/by/4.0/).