Abstract
Improving energy efficiency by minimizing waste heat losses has become a critical objective in industrial and transportation applications. Organic Rankine Cycles (ORCs) offer an effective solution for converting low-grade thermal energy into useful power. However, the accuracy of ORC performance predictions depends heavily on the thermodynamic property models, particularly the choice of equation of state. This study investigates how different equations of state models influence key thermodynamic predictions in an ORC operating with R245fa and high-temperature waste heat. A range of equations of state formulations are evaluated, from simplified ideal gas models to more complex real-fluid models. The results showed that the choice of equation of state can have a noticeable impact on the predicted cycle performance (up to 7.14% in some cases), highlighting the importance of accurate fluid property modeling when designing ORC systems. The sensitivity analysis indicated that minor variations in enthalpy values (±1%) can result in a 3–4% alteration in net power output, highlighting the need for precise property modeling in Organic Rankine Cycle design.
MSC:
65Z05
1. Introduction
Reducing fuel consumption and minimizing combustion-related emissions have become essential objectives in the worldwide initiative to combat climate change and environmental deterioration [1]. The transportation and power generation sectors are major contributors to greenhouse gas emissions, particularly carbon dioxide (CO2) and nitrogen oxides (NOx), which pose serious risks to human health and intensify global climate change [2]. Improving energy efficiency and adopting waste heat recovery methods are considered as important solutions for promoting sustainable energy systems [3]. Developing technologies that recover and reuse wasted thermal energy hold great promise for reducing reliance on fossil fuels and cutting emissions, all while maintaining efficient power generation and supporting industrial productivity [4].
The Organic Rankine Cycle (ORC) is considered as a reliable and scalable technology for transforming low- to medium-grade thermal energy into valuable mechanical or electrical power. ORCs are especially advantageous in scenarios where a substantial amount of waste heat is emitted via exhaust gasses. ORCs employ organic working fluids with favorable thermodynamic characteristics to enable effective energy conversion from heat sources that would otherwise dissipate into the environment. This directly enhances fuel efficiency and lowers engine emissions, helping to meet contemporary environmental regulations and achieve industrial energy efficiency targets. Designing efficient ORC systems requires developing accurate mathematical models that capture the complex thermodynamic behavior of the cycle [5]. These models serve as predictive instruments for assessing critical performance metrics, including thermal efficiency, net power output, and exergy losses under diverse operational situations. The precision of these models depends on the right formulation of energy and mass conservation equations and the integration of precise thermophysical parameters of the working fluid. Inaccurate evaluation of these properties can result in poor system design, misleading performance estimates, and increased economic inefficiencies in actual applications.
A major source of uncertainty in ORC modeling stems from the selection of the equation of state employed to determine thermodynamic properties. Diverse equation of state models, from basic ideal gas approximations to sophisticated cubic or Helmholtz-based formulations, yield varying outcomes for pressure–volume–temperature (PVT) relationships, enthalpy, entropy, and other essential variables. These inconsistencies can significantly affect performance predictions, especially under high-pressure or phase-transition circumstances typical in ORC operation [6]. Consequently, engineers and researchers need to carefully evaluate how sensitive ORC performance is to the selected equation of state, ensuring that the modeling approach meets the accuracy required for the intended application [7]. Table 1 summarizes 10 studies that explore the influence of various equations of state on the efficacy of ORC systems in diverse applications. This research utilizes various equation of state models, including Peng–Robinson, Soave–Redlich–Kwong, Ideal Gas, and Helmholtz-based REFPROP, to assess their impact on thermodynamic property computations and system efficiency. The study examines applications like waste heat recovery, geothermal energy, and solar-powered ORCs, highlighting the importance of equation of state selection in enhancing ORC efficiency.
While previous studies have examined the influence of equations of state on ORC modeling, most have addressed either generalized fluid behavior through theoretical frameworks or the propagation of statistical uncertainties. For instance, Frutiger et al. [8] conducted a Monte Carlo based uncertainty analysis to assess how parameter variability within equation of state formulations affects ORC performance. Their focus, however, was on internal uncertainty propagation rather than direct thermodynamic comparison across multiple equations of state models. Similarly, Yang et al. [9] employed corresponding states modeling to explore performance bounds based on fluid properties, but their study emphasized generalized parameterizations rather than evaluating specific equation of state models under the same cycle conditions. González et al. [10] employed only Helmholtz equation of state. In contrast, this study examines a significant gap by evaluating the impact of equation of state selection on essential performance parameters, such as thermal efficiency, net power output, and cycle behavior, across four commonly used equation of state models, namely, Peng–Robinson, Soave–Redlich–Kwong, Ideal Gas, and Helmholtz-based REFPROP. The study also offers a systematic method for choosing the most precise and computationally efficient thermodynamic models. Finally, the paper addresses a crucial deficiency in ORC modeling by quantifying how minor changes in enthalpy estimations throughout equation of state can lead to substantial performance variations. The findings offer valuable insights for researchers and engineers aiming to enhance the reliability and efficiency of ORC systems in waste heat applications by bridging theoretical modeling with practical optimization efforts.
Table 1.
Summary of recent ORC studies with different equations of state.
Table 1.
Summary of recent ORC studies with different equations of state.
| Ref. | Year | Equation of State | Working Fluid | Objectives |
|---|---|---|---|---|
| [11] | 2006 | REFPROP | HFC-245fa | Highlighted the effects of various operating conditions on the cycle’s efficiency. |
| [12] | 2010 | REFPROP | Various | Proposed a method for selecting suitable working fluids for solar ORCs, utilizing REFPROP. |
| [13] | 2011 | REFPROP | Various | Evaluated the efficacy of various working fluids, offering guidance on the selection of suitable fluids for Organic Rankine Cycles (ORCs). |
| [8] | 2017 | PR, SRK | Cyclopentane | Assessed the uncertainty in Organic Rankine Cycle performance forecasts attributable to the Soave–Redlich–Kwong Equation of State. |
| [14] | 2017 | REFPROP | R245fa, R123 | Performed experiments to compare the efficacy of ORC systems utilizing R245fa, R123, and their combinations. |
| [9] | 2020 | PR, SRK | Various | Defined and determined the thermodynamic performance limits of ORCs, revealing how these limits are affected by property parameters. |
| [15] | 2020 | REFPROP | Various | Reviewed the impact of real-gas effects on ORC performance, emphasizing the importance of accurate thermodynamic modeling for improved cycle analysis. |
| [16] | 2020 | REFPROP | Novec 649 | Developed 3D turbine components, accounting for real gas effects. |
| [10] | 2023 | Helmholtz | R600a | Developed objective functions for the best performance of integrated ORC and vapor compression refrigeration cycles, highlighting the need for precise equation of state in system optimization. |
| [17] | 2023 | PR | Benzene | Conducted a comparative analysis of four ORC configurations. |
| [18] | 2024 | REFPROP | Mixtures | Compared ORC performance with pure and mixture fluids |
| [19] | 2025 | REFPROP | Various | Developed unique turbine geometry considering real gas effects |
| [20] | 2025 | REFPROP | Novec 649 | Developed a unified design model for a radial turbine and engine emissions prediction. |
PR: Peng–Robinson, SRK: Soave–Redlich–Kwong.
2. Methodology
This study employs a systematic approach to assess the influence of various equations of state on the performance of an Organic Rankine Cycle (ORC) utilizing R245fa as the working fluid. The ORC is designed to recover waste heat from a heavy-duty diesel engine with an exhaust gas temperature of 400 °C. The cycle operates under varying conditions as shown in Table 2 [18].
Table 2.
The operating conditions of the system.
To facilitate the study and provide a controlled comparison, some assumptions are established. These assumptions help reduce uncertainties related to pressure drops, heat losses, and transient effects. The main assumptions include steady-state operation, expander modeling based on isentropic or efficiency-based approaches, and negligible pressure losses within the system
2.1. Organic Ranking Cycle Modeling
The methodology fundamentally relies on the application of energy balance equations to assess the thermodynamic performance of each component within the ORC system. The cycle analysis is conducted by systematically applying these equations to all individual components. Figure 1 presents the initial and final states of these components. The working fluid is heated to vapor phase in the boiler (1-2) by absorbing the wasted heat from the source (i.e., engine waste heat). The vapor then drives the expander (2-3) to generate power, before being condensed (3-4) and pumped (4-1) again to the boiler. Figure 2 presents the flowchart of the design methodology which is discussed in the following paragraphs.
Figure 1.
Schematic of typical ORC systems.
Figure 2.
Modeling framework for evaluating the ORC performance using different equations of state.
The heat input to the system via the boiler is determined using Equation (1). and represent the inlet and exit enthalpies of the boiler, as depicted in Figure 1. represents the mass flow of the working fluid flowing through the components.
The power output of the turbine is determined using Equation (2). The turbine efficiency is expressed in Equation (3). represents the isentropic enthalpy at the turbine exit.
In the condenser, the exit state is assumed to be a saturated liquid to ensure optimal pump performance. The amount of heat rejected in the condenser is determined using Equation (4):
The power needed by the pump to increase the fluid pressure from the condenser pressure to the evaporator pressure is calculated using Equation (5):
The overall performance of the cycle is expressed by the net power and thermal efficiency , as given in Equations (6) and (7), respectively.
2.2. Incorporating Different Equations of State
Equations of state are mathematical expressions that describe the thermodynamic behavior of fluids by establishing correlations among essential parameters, including pressure, temperature, and specific volume. The precision of these models is essential for assessing the dependability of ORC performance predictions. This section presents the physical relevance and mathematical formulations of each equation of state utilized in this investigation.
2.2.1. Ideal Gas Equation of State
The Ideal Gas Law, expressed in (8), is based on the assumption that gas molecules experience no intermolecular forces and occupy negligible volume relative to the total system volume. Real fluids, such as R245fa, demonstrate both attractive and repulsive intermolecular interactions, especially in the liquid phase and at the critical point. The Ideal Gas equation of state inadequately depicts phase change processes and liquid–vapor equilibrium. Nonetheless, it continues to be effective at elevated temperatures and reduced pressures when intermolecular forces are weak. In Equation (8), P is the pressure of the gas, V is the volume of the gas, R is the universal gas constant, and T is the temperature of the gas.
2.2.2. Peng–Robinson Equation of State
Equation (9) presents the Peng–Robinson equation of state which incorporates correction terms to account for both intermolecular attractive and repulsive forces, thereby enhancing the accuracy of thermodynamic predictions for real fluids [9]. The parameter models attractive forces between molecules while parameter represents the finite molecular volume and captures repulsive interactions. Both and are substance-specific, dependent on critical properties and acentric factor as shown in Equations (10) and (11), respectively. and are the critical temperature and pressure of R245fa. Owing to these modifications, the Peng–Robinson equation of state offers improved predictive capability over the Ideal Gas Law, particularly in supercritical and subcooled liquid regions. It is extensively employed in engineering applications for its balance between simplicity and accuracy. Nevertheless, the Peng–Robinson equation of state may still exhibit deviations in predicting liquid-phase densities, primarily due to the approximations involved in its treatment of attractive forces. In this formulation, denotes the molar volume of the fluid.
2.2.3. Soave–Redlich–Kwong Equation of State
As shown in Equation (12), the Soave–Redlich–Kwong equation of state is an enhancement of the original RK model, developed to improve the accuracy of phase-change predictions, particularly for vaporization and liquefaction processes [8], as expressed by Equation (14). Compared to the Peng–Robinson equation of state, the Soave–Redlich–Kwong model offers better performance in vapor-phase property estimation but generally underestimates liquid-phase densities. By modifying the attractive term, the Soave–Redlich–Kwong equation of state achieves improved alignment with experimental vapor-pressure data, making it especially suitable for hydrocarbons and organic working fluids such as R245fa. Despite its advantages, the model’s limitations in accurately capturing liquid-phase behavior can introduce noticeable deviations in the estimation of ORC efficiency when used in performance simulations.
2.2.4. Helmholtz-Based Equation of State (REFPROP)
Unlike cubic equations of state such as Peng–Robinson and Soave–Redlich–Kwong, which depend on empirical correction factors to model intermolecular forces, the Helmholtz-based equation of state used in the REFPROP database [21] utilizes a fundamentally different approach, as expressed in Equations (14)–(17). and are the ideal and residual terms. It is formulated based on the Helmholtz free energy, incorporating multi-parameter functions derived from high-fidelity experimental data. This formulation enables precise calculation of key thermodynamic properties, including density, enthalpy, entropy, and phase behavior, over an extensive range of temperatures and pressures. However, this accuracy comes with increased computational demand.
Each equation of state produces distinct estimations of thermodynamic properties, such as enthalpy, entropy, and density, which directly affect the overall performance evaluation of the Organic Rankine Cycle (ORC). Upon completing the thermodynamic modeling and parametric analysis, the simulation outcomes are assessed to quantify the influence of equation of state choice on key performance parameters. The primary aim is to highlight discrepancies in property predictions and analyze their impact on crucial outputs, including thermal efficiency and net power output. By conducting comparative analysis under various operating conditions, the study reveals the sensitivity of ORC performance to the precision of thermophysical property estimations.
3. Results and Discussion
A comparative analysis was conducted to assess the influence of various equations of state on the thermodynamic property estimation and performance prediction of an ORC utilizing R245fa as the working fluid. The cycle was configured to recover waste heat from the exhaust gasses of a heavy-duty diesel engine operating at 400 °C. Four equation of state models were examined: the Ideal Gas model, the cubic Peng–Robinson and Soave–Redlich–Kwong, and the Helmholtz-based formulation implemented in REFPROP.
3.1. Validation of the Current Model
The developed model was validated against two literature studies: one using the Soave–Redlich–Kwong and the other using the REFPROP database.
3.1.1. Validation of the Current Model Using Soave–Redlich–Kwong Model
The developed model is validated against a reference study, Frutiger et al. [8]. The aim is to evaluate the robustness of the ORC model when integrating the Soave–Redlich–Kwong equation of state. Frutiger et al. [8] is well-documented ORC case study that includes detailed thermodynamic state data and system performance metrics under high-temperature waste heat conditions which closely matches the configuration used in our model. Their use of experimentally validated data for turbine work, recuperator effectiveness, and component efficiencies provides a reliable basis for benchmarking our modeling framework. They employed the Soave–Redlich–Kwong equation of state to model an organic ORC for waste heat recovery from a large marine diesel engine using cyclopentane as the working fluid. The system utilized exhaust gas at 222 °C and 0.11 MPa with a mass flow rate of 95.4 kg/s as the heat source, and seawater at 30 °C as the cooling medium.
Figure 3 presents the comparison between the reference study and the current model. The figure highlights a close agreement between the current model and Frutiger et al. [8], both of which utilize the Soave–Redlich–Kwong equation of state. The thermal efficiency in the current model is approximately 14.8%, closely matching the 15% reported by Frutiger et al. [8], while the net power output shows a similarly small deviation, with the current model yielding about 1130 kW compared to 1150 kW. This discrepancy primarily stems from differences in heat recovery assumptions. Specifically, the reference study incorporates three recuperators but does not specify their effectiveness. In contrast, the current model assumes a recuperator effectiveness of 75% for all units. As demonstrated in Ahmed et al. [22], increasing the effectiveness from 0.5 to 0.8 yielded a thermal efficiency improvement of approximately 12.7% at high heat source temperatures. Since recuperator effectiveness significantly influences thermal recovery and, consequently, the overall cycle performance, the slightly lower values in the current model are justified.
Figure 3.
Validation of the developed model against Frutiger et al. [8] using Soave–Redlich–Kwong equation of state.
3.1.2. Validation of the Current Model Using REFPROP Model
The developed model, with a REFPROP database, is also validated against a study from the literature, Wei et al. [11]. In the study by Wei et al. [11], the authors examined an Organic Rankine Cycle (ORC) system utilizing HFC-245fa as the working fluid. The system utilized waste exhaust heat from a gas turbine with an exhaust inlet temperature between 610 and 650 K (337 to 377 °C) and a nominal power output of 100 kW.
Figure 4 presents the comparison between Wei et al. [11] and the current model. Figure 4 demonstrates strong agreement across the examined exhaust temperature range (610–650 K), with thermal efficiency values consistently within a narrow margin. A maximum deviation of 2.37% is obtained between the reference study and the current model. In the current model, expansion is assumed to be isentropic, representing an idealized scenario with no entropy generation or internal irreversibilities. In contrast, the study by Wei et al. [11] accounts for actual (non-isentropic) expansion, which inherently includes thermodynamic losses, leading to slightly lower predicted efficiencies. As a result, the current model tends to slightly overestimate thermal efficiency.
Figure 4.
Validation of the developed model against Wei et al. [11] using REFPROP.
3.2. Thermodynamic Parameters of the Cycle
Table 3 presents the performance metrics of the ORC as predicted by the four equations of state models. The results show clear variations, reflecting the differing capabilities of each equation of state in representing real-fluid behavior. Beginning with the Ideal Gas model, it predicts the lowest turbine inlet enthalpy among all considered equations of state, at 400 kJ/kg. This results in a reduced enthalpy drop across the expander and a corresponding turbine work output of just 150 kJ/kg. Consequently, the model yields a net power output of 9.89 kW, as will be shown later. This underestimation is largely attributed to the Ideal Gas model’s inability to represent real-fluid effects, including intermolecular forces and latent heat near the saturation region.
Table 3.
Effects of equation of state on thermodynamic properties.
The Peng–Robinson and Soave–Redlich–Kwong models offer enhanced accuracy by incorporating the effects of molecular attraction and repulsion. Both models exhibit a uniform enthalpy drop of 160 kJ/kg across the expander. This results in an identical turbine work output of 160 kJ/kg for both cases. After factoring in the losses due to pump work, the net power output is calculated as 140 kJ/kg. These values represent roughly a 7.14% improvement in power output over the Ideal Gas model, demonstrating the added value of using cubic equation of state models in practical ORC applications. The REFPROP model, based on Helmholtz energy equations and empirical property data, predicts the highest turbine inlet enthalpy of 430 kJ/kg and the same 160 kJ/kg enthalpy drop as Peng–Robinson and Soave–Redlich–Kwong. This subtle difference emphasizes the importance of precision in modeling not just the expansion process but also the evaporation and heat addition stages.
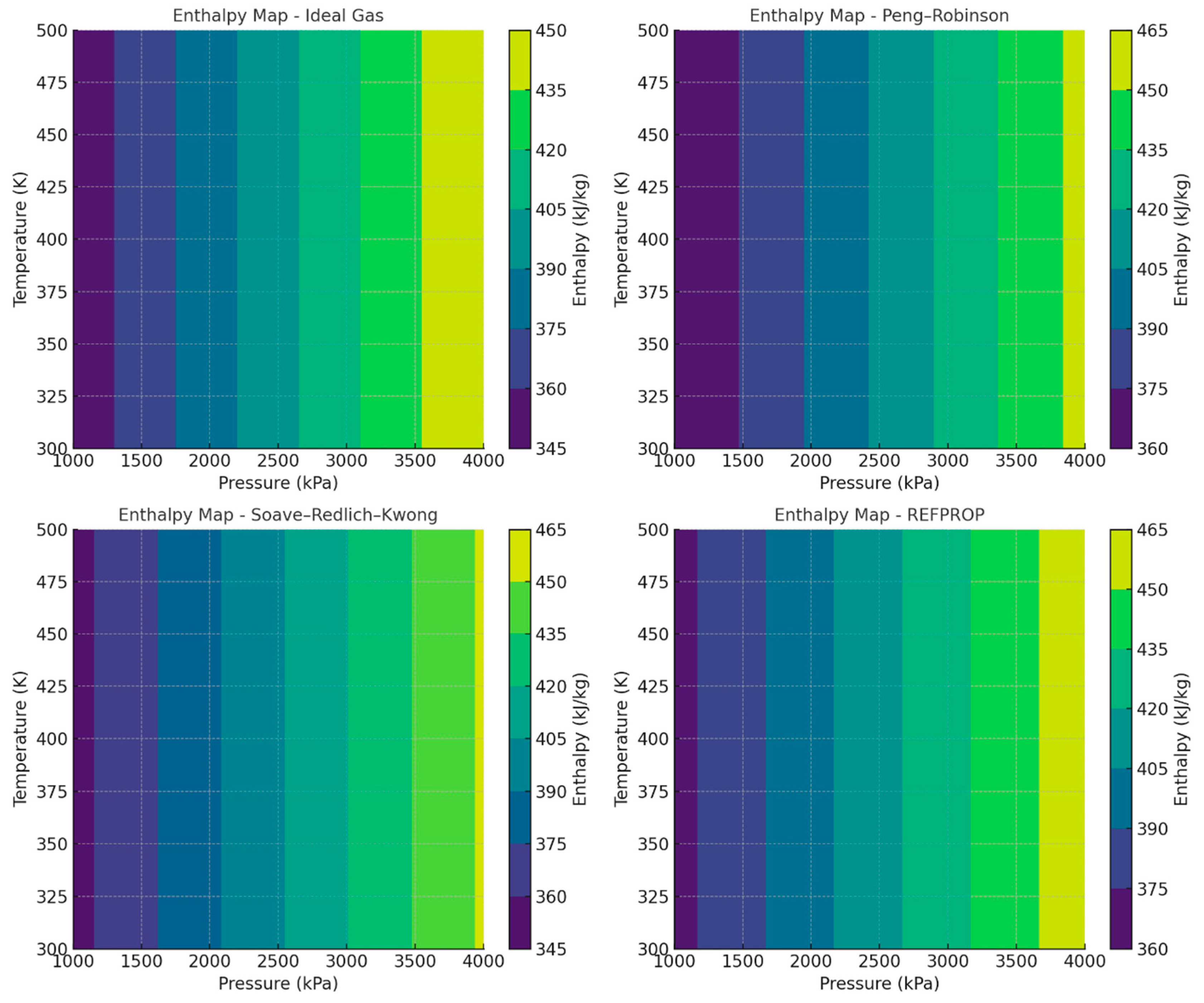
To assess the capability of each equation of state in representing thermodynamic behavior over a typical range of ORC operating conditions, enthalpy contour plots were generated for the temperature range of 300–500 K and pressure range of 1000–4000 kPa, as shown in Figure 5. This range spans both subcritical and superheated regions relevant to ORC systems. The REFPROP model yielded enthalpy values between 370 and 460 kJ/kg, characterized by smooth, continuous gradients that accurately capture real-fluid behavior, including phase transitions and superheated vapor characteristics. In contrast, the Ideal Gas equation of state consistently underestimated the energy content, producing lower enthalpy values in the range of approximately 350–450 kJ/kg, especially at higher pressures.
Figure 5.
Enthalpy contour maps for different equations of state models. Variations in enthalpy distribution influence the thermodynamic cycle boundaries and heat transfer characteristics, thereby impacting the net power output and overall ORC efficiency.
The Peng–Robinson and Soave–Redlich–Kwong models predicted intermediate enthalpy values—360–455 kJ/kg for Peng–Robinson and 355–452 kJ/kg for Soave–Redlich–Kwong. However, discrepancies of 10–20 kJ/kg emerged in high-pressure, high-temperature regions when compared to REFPROP. These variations are significant, as enthalpy differences across major components such as the evaporator and expander directly influence the thermal efficiency and net power output of the system. For example, an underprediction of 15 kJ/kg in turbine inlet enthalpy could lead to a 5–10% decrease in calculated turbine work, depending on the working fluid’s mass flow rate.
These results highlight the limitations of simplified equation of state formulations when applied beyond their calibrated boundaries, particularly near the saturation dome and in the superheated region, where their empirical nature cannot fully represent complex thermophysical phenomena. The contour plots clearly illustrate that REFPROP provides more physically consistent and realistic gradients, while Peng–Robinson and Soave–Redlich–Kwong models often exhibit abrupt or overly simplified transitions.
3.3. Cycle Performance
Figure 6 presents the cycle performance metrics, i.e., thermal efficiency and net power for the four models investigated. As depicted in the figure, the thermal efficiency of the ORC exhibits a marked enhancement when transitioning from the Ideal Gas model to real-fluid equation of state. The Ideal Gas model delivers the lowest thermal efficiency, around 35.3%, primarily due to its simplistic assumptions that overlook intermolecular forces and phase transition effects. It fails to account for vapor compressibility and deviations from ideal behavior near the saturation region. These phenomena are critical in ORC systems involving superheating and phase change. In comparison, the Peng–Robinson and Soave–Redlich–Kwong models show improved thermal efficiencies ranging from 36.5% to 36.8%, marking an approximate 1.5 percentage point increase over the Ideal Gas model. These cubic equations of state incorporate correction factors for both attractive and repulsive molecular interactions, thereby enhancing their predictive accuracy under high-pressure and near-saturation conditions. Interestingly, the REFPROP model, which employs a detailed Helmholtz free energy-based formulation supported by comprehensive experimental data, predicts a slightly lower thermal efficiency (~35.6%) than Peng–Robinson and Soave–Redlich–Kwong. This is attributed to REFPROP’s more accurate enthalpy estimation at the turbine inlet, which leads to a slightly higher calculated heat input and, consequently, a lower efficiency. Although the net power output remains comparably high, the increase in heat input slightly reduces the thermal efficiency, as it enlarges the denominator in the efficiency expression, Equation (7).
Figure 6.
Comparison of ORC performance metrics using various equations of state (PR: Peng–Robinson, SRK: Soave–Redlich–Kwong).
Figure 6 also presents the trend observed for net power output. It exhibits slight deviations from that of thermal efficiency. The Ideal Gas model yields the lowest net power output, slightly exceeding 9.89 kW, primarily due to its limited ability to accurately represent the enthalpy drop across the turbine and its oversimplified depiction of the expansion process. In contrast, the REFPROP, Soave–Redlich–Kwong, and Peng–Robinson models predict nearly identical net power outputs of approximately 10.74 kW, reflecting an improvement of up to 7.14% compared to the Ideal Gas estimate. The enhanced performance of the REFPROP model is attributed to its accurate thermophysical property predictions, especially in capturing the enthalpy increase during evaporation and the decrease during expansion. Although REFPROP offers superior thermodynamic accuracy, it demands substantially higher computational resources, with property evaluations requiring approximately 42% more CPU time compared to those based on cubic equation of state models. Similarly, the Peng–Robinson and Soave–Redlich–Kwong models achieve relatively high net outputs, ranging from 10.6 to 10.7 kW. These findings validate the reliability of cubic equation of state formulations for ORC performance evaluations, particularly in applications where reduced computational complexity is desired without significantly sacrificing the accuracy of critical performance indicators.
Figure 6 shows a fundamental modeling trade-off. Although the Peng–Robinson and Soave–Redlich–Kwong equations of state tend to slightly overpredict thermal efficiency, primarily due to their tendency to underestimate heat input, they still produce net power outputs that closely approximate those of the more sophisticated REFPROP model. This observation indicates that Peng–Robinson and Soave–Redlich–Kwong may offer an optimal compromise between computational efficiency and predictive fidelity, making them suitable choices for preliminary ORC system analyses or real-time simulations where reduced computational load is essential. Conversely, the Ideal Gas model proves inadequate for ORC applications, particularly in regions involving superheating or operation near the saturation dome. Its inability to capture real-gas effects, such as vapor compressibility and non-ideal enthalpy behavior, results in a substantial underestimation of both thermal efficiency and net power output. Therefore, its use is not recommended for accurate modeling of practical ORC systems.
To evaluate the sensitivity of ORC performance to the choice of equation of state, a perturbation analysis was conducted by applying a ±1% variation to the turbine inlet and outlet enthalpies, as shown in Figure 7. The ±1% variation was adopted as a conservative and representative threshold to evaluate the sensitivity of net power output to minor deviations in thermodynamic properties, which may reasonably arise from differences introduced by the selected equation of state. This variation represents the typical range of uncertainty associated with different equations of state formulations. The resulting fluctuation in net power output was approximately ±0.4 kW, corresponding to a relative deviation of about 3.7% from the nominal value. This finding highlights the significant impact that even minor inaccuracies in enthalpy estimation can have on system performance. Given that such discrepancies are common among various equations of state models, the implications are particularly critical for waste heat applications, where design optimization often operates within tight performance margins. Consequently, careful selection of the equation of state is essential in high fidelity ORC modeling to ensure both accuracy and reliability in performance prediction.
Figure 7.
A ±1% uncertainty of turbine enthalpy impact on the net power output of the ORC.
4. Conclusions
This study presents a critical assessment of the impact of four different equations of state, namely, Ideal Gas, Peng–Robinson, Soave–Redlich–Kwong, and REFPROP—on the thermodynamic modeling of an Organic Rankine Cycle (ORC) system operating with R245fa for high-grade waste heat recovery from a diesel engine.
The findings reveal that equation of state choice significantly influences enthalpy predictions, leading to substantial differences in calculated net power and thermal efficiency. The Ideal Gas model, despite its simplicity, fails to capture essential real-fluid behaviors such as phase transitions and vapor compressibility, resulting in consistent underprediction of key performance metrics. In contrast, REFPROP, owing to its Helmholtz energy-based formulation and empirical property correlations, yields the most accurate thermodynamic predictions. The Peng–Robinson and Soave–Redlich–Kwong models provide a practical balance between accuracy and computational speed, making them well suited for preliminary ORC assessments where minimizing computational effort is a priority.
The findings indicate the net power output differ by as much as 7.14% across the models. Additionally, a sensitivity analysis indicates that a modest ±1% variation in enthalpy values can produce more than a 3% change in net power output, emphasizing the significance of even minor modeling uncertainties. Overall, the results show the critical importance of equation of state selection in high-fidelity ORC simulations, particularly for applications demanding thermodynamic precision in performance prediction and optimization.
A primary limitation of the present study is the exclusive use of a single working fluid, R245fa, which may constrain the generalizability of the findings across different fluid types. To address this, future work will investigate a broader range of working fluids to evaluate their influence on system performance. In addition, the integration of exergy analysis and computational fluid dynamics (CFD) is being pursued to enhance the analytical depth. A CFD-based model is currently under development in ANSYS Fluent to assess local irreversibilities and detailed fluid flow behavior within ORC components. Exergy-based optimization will also be incorporated in subsequent studies to provide a more comprehensive and rigorous performance evaluation.
Author Contributions
Conceptualization, M.A. and F.A.; methodology, M.A. and F.A.; software, M.A.; formal analysis, M.A. and F.A.; investigation, M.A. and F.A.; data curation M.A. and F.A.; writing—original draft preparation, M.A. and F.A.; writing—review and editing, F.A.; supervision, F.A. All authors have read and agreed to the published version of the manuscript.
Funding
This research received no external funding.
Data Availability Statement
The original contributions presented in this study are included in the article. Further inquiries can be directed to the corresponding author.
Acknowledgments
The authors acknowledge the use of QuillBot for minor language editing purposes, including grammar correction, typo fixing, and sentence rephrasing to enhance clarity and readability.
Conflicts of Interest
The authors declare no conflicts of interest.
Parameters and Abbreviations
The following parameters and abbreviations are used in this manuscript:
| heat input via evaporator [kW] | Pressure [kPa] | ||
| Enthalpy [kJ/kg·K] | Volume [kW] | ||
| Mass flow rate [kg/s] | Universal gas constant [J/mol·K] | ||
| Isentropic enthalpy [kJ/kg·K] | Temperature [K] | ||
| Turbine power [kW] | Density [kg/m3] | ||
| Turbine efficiency [%] | CO2 | Carbon dioxide | |
| Heat rejected in condenser [kW] | ORC | Organic Rankine cycle | |
| Pump power [kW] | PR | Peng–Robinson | |
| Net power of the cycle [kW] | PVT | pressure–volume–temperature | |
| Thermal efficiency [%] | SRK | Soave–Redlich–Kwong |
References
- Padovani, D.; Dimitriou, P.; Minav, T. Challenges and solutions for designing Energy-Efficient and Low-Pollutant Machines in Off-Road hydraulics. Energy Convers. Manag. X 2024, 21, 100526. [Google Scholar] [CrossRef]
- Zhou, J.; Du, Q.; Chen, Q.; Ye, Z.; Bai, L.; Li, Y. Low-Carbon Transport for Prefabricated Buildings: Optimizing Capacitated Truck–Trailer Routing Problem with Time Windows. Mathematics 2025, 13, 1210. [Google Scholar] [CrossRef]
- Han, B.; Chakraborty, A. Evaluation of energy flow, dissipation and performances for advanced adsorption assisted heat transformation systems: Temperature-entropy frameworks. Energy Convers. Manag. 2021, 240, 114264. [Google Scholar] [CrossRef]
- Corigliano, O.; Algieri, A.; Fragiacomo, P. Turning Data Center Waste Heat into Energy: A Guide to Organic Rankine Cycle System Design and Performance Evaluation. Appl. Sci. 2024, 14, 6046. [Google Scholar] [CrossRef]
- Nguyen, V.H.; Ahn, K.K. Performance Evaluation of Beluga Whale Optimization–Long Short-Term Memory–Random Forest Networks for Trajectory Control and Energy Optimization in Excavator Systems. Mathematics 2025, 13, 1177. [Google Scholar] [CrossRef]
- Han, B.; Chakraborty, A.; Saha, B.B. Isosteric Heats and Entropy of Adsorption in Henry’s Law Region for Carbon and MOFs Structures for Energy Conversion Applications. Int. J. Heat Mass. Transf. 2022, 182, 122000. [Google Scholar] [CrossRef]
- Wu, Z.; Zhang, D.; Yan, J.; Pang, J.; Sun, Y. Numerical Simulation of Shock Wave in Gas–Water Interaction Based on Nonlinear Shock Wave Velocity Curve. Mathematics 2024, 12, 3268. [Google Scholar] [CrossRef]
- Frutiger, J.; Bell, I.; O’Connell, J.P.; Kroenlein, K.; Abildskov, J.; Sin, G. Uncertainty assessment of equations of state with application to an organic Rankine cycle†. Mol. Phys. 2017, 115, 1225–1244. [Google Scholar] [CrossRef]
- Yang, F.; Yang, F.; Chu, Q.; Liu, Q.; Yang, Z.; Duan, Y. Thermodynamic performance limits of the organic Rankine cycle: Working fluid parameterization based on corresponding states modeling. Energy Convers. Manag. 2020, 217, 113011. [Google Scholar] [CrossRef]
- González, J.; Llovell, F.; Garrido, J.M.; Quinteros-Lama, H. A study of the optimal conditions for organic Rankine cycles coupled with vapour compression refrigeration using a rigorous approach based on the Helmholtz energy function. Energy 2023, 285, 129554. [Google Scholar] [CrossRef]
- Wei, D.; Lu, X.; Lu, Z.; Gu, J. Performance analysis and optimization of organic Rankine cycle (ORC) for waste heat recovery. Energy Convers. Manag. 2007, 48, 1113–1119. [Google Scholar] [CrossRef]
- Rayegan, R.; Tao, Y.X. A procedure to select working fluids for Solar Organic Rankine Cycles (ORCs). Renew Energy 2011, 36, 659–670. [Google Scholar] [CrossRef]
- Wang, E.H.; Zhang, H.G.; Fan, B.Y.; Ouyang, M.G.; Zhao, Y.; Mu, Q.H. Study of working fluid selection of organic Rankine cycle (ORC) for engine waste heat recovery. Energy 2011, 36, 3406–3418. [Google Scholar] [CrossRef]
- Pang, K.-C.; Chen, S.-C.; Hung, T.-C.; Feng, Y.-Q.; Yang, S.-C.; Wong, K.-W.; Lin, J.-R. Experimental study on organic Rankine cycle utilizing R245fa, R123 and their mixtures to investigate the maximum power generation from low-grade heat. Energy 2017, 133, 636–651. [Google Scholar] [CrossRef]
- Nematollahi, O.; Kim, K.C. Real-gas effects: The state of the art of organic Rankine cycles. J. Clean Prod. 2020, 277, 124102. [Google Scholar] [CrossRef]
- Alshammari, F.; Pesyridis, A.; Elashmawy, M. Generation of 3d turbine blades for automotive organic rankine cycles: Mathematical and computational perspectives. Mathematics 2021, 9, 50. [Google Scholar] [CrossRef]
- Lekané, N.N.; Njock, J.P.; Ngangué, M.N.; Lontsi, F.; Sosso, O.T. Analysis and comparison performance of four organic Rankine cycle configurations for a hot, non-temperate climate solar project: Thermodynamic, economic, exergoenvironmental, and environmental. Energy Rep. 2024, 12, 5529–5550. [Google Scholar] [CrossRef]
- Alshammari, F.; Alatawi, I.; Alshammari, A.S. Impact of turbine characteristics on low temperature organic Rankine cycles operating with zeotropic and azeotropic mixtures. Case Stud. Therm. Eng. 2024, 59, 104463. [Google Scholar] [CrossRef]
- Alshammari, F.; Alshammari, A.S.; Alzamil, A. Advanced energy conversion strategies using multistage radial turbines in Organic Rankine Cycles for low-grade heat recovery. Case Stud. Therm. Eng. 2025, 69, 106034. [Google Scholar] [CrossRef]
- Alshammari, F.; Alharbi, M.; Pesyridis, A. Improving heat recovery: A unified one-dimensional radial turbine model for CO2 reduction and efficiency gains in automotive organic Rankine cycles. Appl. Therm. Eng. 2025, 267, 125816. [Google Scholar] [CrossRef]
- Lemmon, E.; Huber, M.; McLinden, M. NIST Standard Reference Database 23: Reference Fluid Thermodynamic and Transport Properties-REFPROP, Version 9.0; National Institute of Standards and Technology, Standard Reference Data Program: Gaithersburg, MD, USA, 2010.
- Ahmed, A.M. Thermal efficiency investigation for organic Rankine cycle and trilateral flash cycle using hydrofluoroether working fluids. Results Eng. 2024, 21, 101648. [Google Scholar] [CrossRef]
Disclaimer/Publisher’s Note: The statements, opinions and data contained in all publications are solely those of the individual author(s) and contributor(s) and not of MDPI and/or the editor(s). MDPI and/or the editor(s) disclaim responsibility for any injury to people or property resulting from any ideas, methods, instructions or products referred to in the content. |
© 2025 by the authors. Licensee MDPI, Basel, Switzerland. This article is an open access article distributed under the terms and conditions of the Creative Commons Attribution (CC BY) license (https://creativecommons.org/licenses/by/4.0/).






