Applications of the Kosambi–Cartan–Chern Theory to Hamiltonian Systems on a Cotangent Bundle: Linking Geometric Quantities to the Self-Similar Motions of Three Point Vortices
Abstract
1. Introduction
2. Review of the KCC Theory and Jacobi Stability
3. Application of the KCC Theory to Hamiltonian Systems and Geometric Quantities
3.1. Geometric Quantities for Perturbations in the Solution Trajectories of Hamiltonian Systems
3.2. Relationship Between Geometric Quantities of the Hamiltonian System and Jacobi Stability in the KCC Theory
4. Review of the Two-Dimensional Three-Point Vortex System and Its Self-Similar Motions
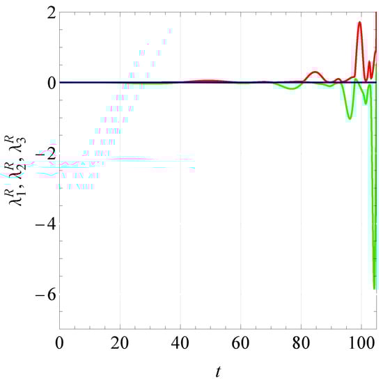
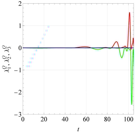
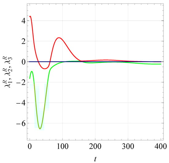
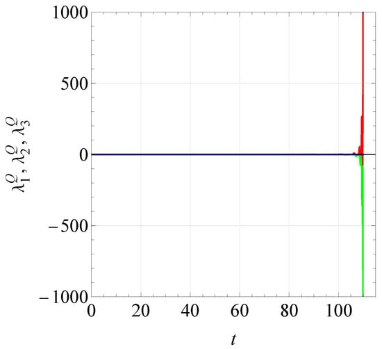
5. Relationship Between Geometric Quantities in Hamiltonian Systems and the Divergent and Collapse Motions of Three-Point Vortex Systems
6. Conclusions
Author Contributions
Funding
Data Availability Statement
Acknowledgments
Conflicts of Interest
References
- Hand, L.N.; Finch, J.D. Analytical Mechanics; Cambridge Univercity Press: Cambridge, UK, 1998. [Google Scholar]
- Newton, P.K. The N-Vortex Problem: Analytical Techniques; Springer: New York, NY, USA, 2010. [Google Scholar]
- Marsden, J.E.; Ratiu, T.S. Introduction to Mechanics and Symmetry; Springer: New York, NY, USA, 1999. [Google Scholar]
- Antonelli, P.L.; Bucataru, I. KCC theory of a system of second order differential equations. In Handbook of Finsler Geometry; Antonelli, P.L., Ed.; Kluwer: Dordrecht, The Netherlands, 2003; Volume 1, pp. 83–174. [Google Scholar]
- Kosambi, D.D. Parallelism and path-spaces. Math. Z. 1933, 37, 608–618. [Google Scholar] [CrossRef]
- Cartan, E. Observations sur le mémoire précédent. Math. Z. 1933, 37, 619–622. [Google Scholar] [CrossRef]
- Chern, S.S. Sur la géométrie d’un système d’équations différentielles du second ordre. Bull. Sci. Math. 1939, 63, 206–212. [Google Scholar]
- Antonelli, P.L.; Bucătaru, I. New results about the geometric invariants in KCC-theory. An. Stiint. Univ. Al. I. Cuza Iasi. Mat. (NS) 2001, 47, 405–420. [Google Scholar]
- Sabău, V.S. Systems biology and deviation curvature tensor. Nonlinear Anal. Real World Appl. 2005, 6, 563–587. [Google Scholar] [CrossRef]
- Sabau, S.V. Some remarks on Jacobi stability. Nonlinear Anal. Theory Methods Appl. 2005, 63, 143–153. [Google Scholar] [CrossRef]
- Antonelli, P.L.; Ingarden, R.S.; Matsumoto, M. The Theory of Sprays and Finsler Spaces with Applications in Physics and Biology; Kluwer: Dordrecht, The Netherlands, 1993. [Google Scholar]
- Antonelli, P.L.; Rutz, S.F.; Fonseca, K.T. Carbon flux models in the Mata-Atlântica rain forest of Brazil. Nonlinear Anal. Real World Appl. 2010, 11, 3524–3531. [Google Scholar] [CrossRef]
- Antonelli, P.L.; Rutz, S.F.; Hirakawa, C.E. The mathematical theory of endosymbiosis I. Nonlinear Anal. Real World Appl. 2011, 12, 3238–3251. [Google Scholar] [CrossRef]
- Munteanu, F. A Study of the Jacobi stability of the Rosenzweig–MacArthur predator–prey system through the KCC geometric theory. Symmetry 2022, 14, 1815. [Google Scholar] [CrossRef]
- Yamasaki, K. Elementary catastrophe’s chaos in one-dimensional discrete systems based on nonlinear connections and deviation curvature statistics. Int. J. Bifurcat. Chaos 2024, 34, 2430017. [Google Scholar] [CrossRef]
- Yajima, T.; Nagahama, H. KCC-theory and geometry of the Rikitake system. J. Phys. A Math. Theor. 2007, 40, 2755–2772. [Google Scholar] [CrossRef]
- Gupta, M.K.; Yadav, C.K. Jacobi stability analysis of Rikitake system. Int. J. Geom. Methods Mod. Phys. 2016, 13, 1650098. [Google Scholar] [CrossRef]
- Harko, T.; Ho, C.Y.; Leung, C.S.; Yip, S. Jacobi stability analysis of the Lorenz system. Int. J. Geom. Methods Mod. Phys. 2015, 12, 1550081. [Google Scholar] [CrossRef]
- Zhang, X. When Shimizu–Morioka model meets Jacobi stability analysis: Detecting chaos. Int. J. Geom. Methods Mod. Phys. 2023, 20, 2350033. [Google Scholar] [CrossRef]
- Oiwa, S.; Yajima, T. Jacobi stability analysis and chaotic behavior of nonlinear double pendulum. Int. J. Geom. Methods Mod. Phys. 2017, 14, 1750176. [Google Scholar] [CrossRef]
- Harko, T.; Sabau, V.S. Jacobi stability of the vacuum in the static spherically symmetric brane world models. Phys. Rev. D 2008, 77, 104009. [Google Scholar] [CrossRef]
- Böhmer, C.G.; Harko, T. Nonlinear stability analysis of the Emden-Fowler equation. J. Nonlinear Math. Phys. 2010, 17, 503–516. [Google Scholar] [CrossRef]
- Böhmer, C.G.; Harko, T.; Sabau, S.V. Jacobi stability analysis of dynamical systems-applications in gravitation and cosmology. Adv. Theor. Math. Phys. 2012, 16, 1145–1196. [Google Scholar] [CrossRef]
- Lake, M.J.; Harko, T. Dynamical behavior and Jacobi stability analysis of wound strings. Eur. Phys. J. C 2016, 76, 311. [Google Scholar] [CrossRef]
- Gupta, M.K.; Yadav, C.K. Rabinovich-Fabrikant system in view point of KCC theory in Finsler geometry. J. Interdiscip. Math. 2019, 22, 219–241. [Google Scholar] [CrossRef]
- Liu, Q.; Zhang, X. Jacobi stability analysis of Liu system: Detecting chaos. Mathematics 2024, 12, 1981. [Google Scholar] [CrossRef]
- Hrimiuc, D. Hamilton geometry. Math. Comput. Model. 1994, 20, 57–65. [Google Scholar] [CrossRef]
- Miron, R.; Hrimiuc, D.; Shimada, H.; Sabau, S.V. The Geometry of Hamilton and Lagrange Spaces; Kluwer Academic Publishers: Dordrecht, The Netherlands, 2001. [Google Scholar]
- Hirakui, Y.; Yajima, T. Geometrical classification of self-similar motion of two-dimensional three point vortex system by deviation curvature on Jacobi field. Adv. Math. Phys. 2021, 2021, 9979529. [Google Scholar] [CrossRef]
- Gröbli, W. Specielle Probleme über die Bewegung geradliniger paralleler Wirbelfäden. Vierteljahrschr. Naturforsch. Ges. Zürich 1877, 22, 37–81, 129–165. [Google Scholar]
- Kimura, Y. Similarity solution of two-dimensional point vortices. J. Phys. Soc. Jpn. 1987, 56, 2024–2030. [Google Scholar] [CrossRef]
- Aref, H. Motion of three vortices. Phys. Fluids 1979, 22, 393–400. [Google Scholar] [CrossRef]
- Aref, H. Self-similar motion of three point vortices. Phys. Fluids 2010, 22, 057104. [Google Scholar] [CrossRef]
- Novikov, E.A. Dynamics and statistics of a system of vortices. Sov. Phys. JETP 1975, 41, 937–943. [Google Scholar]
- Novikov, E.A.; Sedov, Y.B. Vortex collapse. Sov. Phys. JETP 1979, 50, 297–301. [Google Scholar]
- Kidambi, R.; Newton, P.K. Motion of three point vortices on a sphere. Phys. D Nonlinear Phenom. 1998, 116, 143–175. [Google Scholar] [CrossRef]
- Kidambi, R.; Newton, P.K. Collapse of three vortices on a sphere. Nuovo Cim. C 1999, 22, 779–792. [Google Scholar]
- Badin, G.; Barry, A.M. Collapse of generalized Euler and surface quasigeostrophic point vortices. Phys. Rev. E 2018, 98, 023110. [Google Scholar] [CrossRef] [PubMed]













Disclaimer/Publisher’s Note: The statements, opinions and data contained in all publications are solely those of the individual author(s) and contributor(s) and not of MDPI and/or the editor(s). MDPI and/or the editor(s) disclaim responsibility for any injury to people or property resulting from any ideas, methods, instructions or products referred to in the content. |
© 2024 by the authors. Licensee MDPI, Basel, Switzerland. This article is an open access article distributed under the terms and conditions of the Creative Commons Attribution (CC BY) license (https://creativecommons.org/licenses/by/4.0/).
Share and Cite
Hirakui, Y.; Yajima, T. Applications of the Kosambi–Cartan–Chern Theory to Hamiltonian Systems on a Cotangent Bundle: Linking Geometric Quantities to the Self-Similar Motions of Three Point Vortices. Mathematics 2025, 13, 126. https://doi.org/10.3390/math13010126
Hirakui Y, Yajima T. Applications of the Kosambi–Cartan–Chern Theory to Hamiltonian Systems on a Cotangent Bundle: Linking Geometric Quantities to the Self-Similar Motions of Three Point Vortices. Mathematics. 2025; 13(1):126. https://doi.org/10.3390/math13010126
Chicago/Turabian StyleHirakui, Yuma, and Takahiro Yajima. 2025. "Applications of the Kosambi–Cartan–Chern Theory to Hamiltonian Systems on a Cotangent Bundle: Linking Geometric Quantities to the Self-Similar Motions of Three Point Vortices" Mathematics 13, no. 1: 126. https://doi.org/10.3390/math13010126
APA StyleHirakui, Y., & Yajima, T. (2025). Applications of the Kosambi–Cartan–Chern Theory to Hamiltonian Systems on a Cotangent Bundle: Linking Geometric Quantities to the Self-Similar Motions of Three Point Vortices. Mathematics, 13(1), 126. https://doi.org/10.3390/math13010126

