Next Article in Journal
An Improved Constrained Multiobjective Optimization for Energy Multimodal Transport Among Clustering Islands
Previous Article in Journal
A Rate-Dependent Probabilistic Model of Hysteresis
Previous Article in Special Issue
Leveraging Bayesian Quadrature for Accurate and Fast Credit Valuation Adjustment Calculations
 
 
Font Type:
Arial Georgia Verdana
Font Size:
Aa Aa Aa
Line Spacing:
Column Width:
Background:
Article

Macroeconomic Stabilization in Crisis: The Role of Investment Shocks and Policy Responses in South Korea During COVID-19

Department of Chinese Trade and Commerce, Sejong University, Seoul 05006, Republic of Korea
*
Author to whom correspondence should be addressed.
Mathematics 2024, 12(24), 3925; https://doi.org/10.3390/math12243925
Submission received: 31 October 2024 / Revised: 11 December 2024 / Accepted: 11 December 2024 / Published: 13 December 2024
(This article belongs to the Special Issue Recent Advances in Mathematical Methods for Economics)

Abstract

This study investigates the dual dynamics of investment shocks and policy responses in stabilizing South Korea’s macroeconomy during the COVID-19 pandemic, utilizing a Bayesian DSGE framework. The model integrates sophisticated mathematical components, including stochastic differential equations, Bayesian inference, and impulse response functions, to analyze the transmission mechanisms of investment shocks and the relative efficacy of fiscal and monetary interventions. The estimation is conducted through Markov Chain Monte Carlo simulations. Using data from the first quarter of 2020 to the first quarter of 2023, the analysis quantifies the pandemic-induced shocks’ impact on critical macroeconomic indicators, including enterprise output, household consumption, employment, and investment. The findings reveal that heightened investment costs significantly constrained economic performance, with fiscal measures, such as increased government spending and targeted stimulus packages, demonstrating superior stabilization effects compared to monetary interventions. These results emphasize the importance of well-coordinated policy responses in mitigating economic disruptions and enhancing resilience during crises. This study not only provides novel insights into the mathematical modeling of economic stabilization strategies but also offers actionable recommendations for policymakers navigating pandemic-induced challenges.

1. Introduction

The COVID-19 crisis has profoundly disrupted global economies, and South Korea has been no exception. As the nation contends with the multifaceted challenges presented by the pandemic, understanding the influence of investment shocks on its macroeconomy is of critical importance. Investment shocks, marked by abrupt changes in investment patterns and heightened uncertainty, have the potential to disrupt critical macroeconomic indicators, particularly during periods of crisis such as the COVID-19 pandemic. These disruptions manifest as declines in enterprise output and investment and as adverse effects on household consumption, employment, and overall economic stability. In such contexts, the effectiveness of fiscal and monetary policies becomes a cornerstone of efforts to achieve macroeconomic stabilization. Analyzing the interconnected dynamics between investment shocks and policy interventions is therefore vital for formulating strategies to mitigate economic volatility and foster resilience. While prior research has examined the macroeconomic implications of investment shocks, including studies on South Korea during the COVID-19 crisis, our study seeks to fill an existing gap by providing a comprehensive analysis that integrates the dynamic interactions between investment shocks and policy responses. For instance, studies such as Yoon et al. [1] and Kim et al. [2] explored the broader macroeconomic impacts of the pandemic in South Korea but did not specifically focus on the interplay between investment shocks and the mitigating effects of fiscal and monetary policies. This study aims to address this gap by employing a Bayesian DSGE framework, uniquely quantifying the effects of pandemic-induced investment shocks on key macroeconomic indicators, including enterprise output, household consumption, employment, and investment, while evaluating the relative efficacy of fiscal and monetary interventions. Existing studies provide valuable context: Almeida et al. [3] examined the repercussions of investment shocks during the Asian financial crisis, revealing significant declines in output, employment, and productivity. Jang and Oh [4] investigated the effects of investment shocks on household consumption, underscoring their influence on aggregate demand. Similarly, Sawng et al. [5] highlighted the role of fiscal policies in counteracting the adverse effects of such shocks, emphasizing the importance of timely and well-targeted government interventions. Building on these findings, this study emphasizes the dual role of investment shocks and policy responses in shaping South Korea’s macroeconomic trajectory during the COVID-19 pandemic.
Against the backdrop of the aforementioned contextual analysis, this study aims to assess the impact of the investment shock in South Korea during the COVID-19 pandemic on the country’s macroeconomy. Using a dataset spanning from the first quarter of 2020 to the first quarter of 2023 and employing Bayesian estimation techniques, an exhaustive impulse response analysis is conducted to scrutinize the dynamics of key macroeconomic indicators. The findings reveal that the surge in investment costs induced by the COVID-19 pandemic restricted both enterprise output and investment, with the effect intensifying as the severity of the pandemic escalated. Furthermore, the rise in investment costs adversely impacted household consumption and employment, amplifying as the pandemic worsened. The analysis underscores the critical importance of well-calibrated monetary and fiscal policies in mitigating the adverse fluctuations in South Korea’s macroeconomic indicators caused by the pandemic-induced investment costs. Importantly, fiscal policy measures demonstrated greater efficacy in counteracting these negative repercussions compared to monetary policy interventions. These findings highlight the necessity of a harmonized and cohesive policy response by the South Korean government to address the challenges stemming from the investment shock. By implementing targeted fiscal policies, such as increased government expenditure and stimulus packages, policymakers can foster economic recovery, stimulate investment, and mitigate the adverse effects on household consumption and employment. Moreover, this study employs a Bayesian DSGE framework, rooted in stochastic calculus and optimization techniques, to model the transmission mechanisms of investment shocks. The mathematical structure incorporates stochastic differential equations to simulate economic dynamics under uncertainty. Bayesian estimation, conducted via Markov Chain Monte Carlo simulations, derives posterior distributions for model parameters. These methods allow for a rigorous quantification of policy impacts and the persistence of shocks, demonstrating the study’s integration of advanced mathematical tools in addressing economic challenges.
Drawing on the findings of our study, we have identified four key contributions that advance our understanding of the impact of investment shocks during the COVID-19 pandemic on South Korea’s macroeconomy. These contributions are substantiated through a comparative analysis with existing literature, providing robust evidence and validation. Firstly, this study makes an empirical contribution by thoroughly analyzing the specific ramifications of investment costs on enterprise output and investment during the COVID-19 pandemic. This empirical investigation complements and extends prior research highlighting the detrimental effects of investment cost shocks on economic activity [4,5]. By employing real-world data from South Korea, the findings in this article strengthen and broaden existing knowledge, underscoring the pivotal role of investment costs in shaping enterprise performance. Secondly, this study provides novel insights into the intricate relationship between investment costs, household consumption, and employment amidst the COVID-19 pandemic. By delving into the dynamics of these variables, our study builds upon previous research emphasizing the linkages between investment shocks, consumption patterns, and employment outcomes [6,7,8,9]. The findings in this article corroborate and extend these prior insights, highlighting the adverse impact of investment costs on household consumption and employment in the South Korean context during the pandemic. Thirdly, this study sheds light on the pivotal role of appropriate monetary and fiscal policies in mitigating the adverse fluctuations in macroeconomic indicators induced by investment shocks during the COVID-19 pandemic. This contribution aligns with the existing literature emphasizing the significance of policy interventions in addressing economic shocks and fostering recovery [10,11,12]. The analysis in this article strengthens this understanding by explicitly examining the efficacy of monetary and fiscal policies in the South Korean context, underscoring the greater effectiveness of fiscal measures in mitigating negative impacts. Lastly, our research generates practical policy implications to guide the South Korean government in navigating the challenges posed by the COVID-19-induced investment shock and promoting economic resilience. By advocating targeted fiscal policies, such as increased government spending and stimulus packages, our study aligns with policy recommendations advanced by scholars [13,14,15]. This contribution reinforces the existing consensus on the indispensability of proactive policy measures to bolster economic recovery and counteract the adverse effects of investment shocks during crises. Through a systematic comparison with the existing literature, our contributions affirm the relevance and novelty of our findings, offering valuable insights into the field of macroeconomics amidst the COVID-19 pandemic. These insights equip policymakers with the knowledge to effectively address challenges and foster a sustainable recovery in South Korea’s macroeconomy.
The structure of this article is as follows: Section 2 provides a comprehensive literature review, critically examining key scholarly contributions in the field. Section 3 introduces the analytical model used in this study, outlining its conceptual framework and methodological approach. Building upon this foundation, Section 4 conducts a detailed analysis, synthesizing and evaluating the findings of the study. Finally, Section 5 concludes by summarizing the key insights and implications, highlighting their significance and relevance to the broader research landscape.

2. Literature Review

Extensive scholarly research has delved into the effects of investment shocks on macroeconomic variables, including studies focused on the impact of the COVID-19 pandemic in South Korea. For example, Yoon et al. [14] explored the macroeconomic consequences of the pandemic, while Nam and Lee [15] examined its employment effects in comparison to the 2008 financial crisis. Similarly, Kim and Choi [16] analyzed investment shocks’ effects on industrial production and exports. However, these studies do not specifically quantify the dynamic interactions between investment shocks and fiscal or monetary policy responses during the pandemic. This research builds upon this foundation by employing a DSGE model to provide a detailed analysis of the feedback mechanisms between these shocks and policy measures, thereby contributing novel insights into the design of effective stabilization strategies. Vom Lehn and Winberry [17] conducted a rigorous empirical analysis focused on the United States, examining the repercussions of investment shocks on output, employment, and productivity. Their findings demonstrated that negative investment shocks led to declines in these variables, underscoring the significant role of investment dynamics in shaping the broader economic landscape. In a parallel vein, Hsiao et al. [18] conducted a meticulous investigation into the effects of investment shocks on inflation and interest rates, elucidating the complex interplay between investment fluctuations and the intricate dynamics of monetary policy. Furthermore, Shah and Garg [19] embarked on an insightful exploration of the implications of investment shocks on trade balance and exchange rates, highlighting the profound influence of these shocks on a country’s international competitiveness and its external sector. These seminal studies collectively underscore the far-reaching consequences of investment shocks on macroeconomic variables, underscoring the paramount importance of comprehending their effects for policymakers and researchers alike. Expanding our purview beyond national boundaries, Kim et al. [20] conducted a comprehensive analysis of China’s economy, meticulously dissecting the impact of investment shocks on GDP growth, consumption, and investment within the Chinese context. Similarly, Martin-Moreno et al. [21] embarked on an in-depth investigation into the effects of investment shocks on macroeconomic variables in Spain, demonstrating their far-reaching implications for employment dynamics and economic fluctuations. Moreover, Goh and McNown [22] undertook a meticulous examination of the effects of investment shocks on the Japanese economy, shedding light on their impact on household income and consumption patterns. Collectively, these seminal studies highlight the salient cross-country variations in the effects of investment shocks, emphasizing the pressing need for tailored policy responses that consider country-specific factors.
The effects of investment shocks on macroeconomic variables have also garnered significant attention in the context of emerging economies. Araújo [23] conducted an empirical analysis focusing on Brazil, meticulously uncovering the implications of investment shocks on key macroeconomic indicators such as GDP growth, inflation, and fiscal indicators. Similarly, Banerjee and Basu [24] delved into the effects of investment shocks in India, shedding light on their impact on employment dynamics, income distribution, and industrial output. Moreover, Kim and Choi [25] undertook a rigorous investigation into the effects of investment shocks on macroeconomic variables in South Korea, emphasizing their consequences for export competitiveness and industrial production. These empirical studies offer valuable insights into the specificities of investment shocks within emerging economies, providing policymakers with crucial considerations for effectively managing the challenges posed by these shocks. In addition to exploring the effects of investment shocks on macroeconomic variables, researchers have analyzed the transmission channels through which these shocks propagate throughout the economy. Asamoah et al. [26] undertook a comprehensive analysis, spanning 40 countries, to examine the relationship between investment shocks and consumption patterns. Their findings underscored the pivotal role of investment dynamics in shaping consumption behaviors across different economies. Building on this line of inquiry, Song et al. [27] employed firm-level data to investigate the heterogeneous impacts of investment shocks on employment dynamics, shedding light on the differential effects experienced by firms and sectors. These studies contribute significantly to our understanding of the intricate mechanisms through which investment shocks reverberate across the economy, augmenting our overall comprehension of their effects on macroeconomic variables. In addition to the empirical literature, theoretical models have been developed to provide further insights into the effects of investment shocks on macroeconomic variables. Drechsel [28] constructed a dynamic stochastic general equilibrium model that effectively captures the macroeconomic fluctuations stemming from investment shocks. Their theoretical framework enables a comprehensive examination of the complex dynamics and interdependencies among various macroeconomic variables. Complementing these efforts, Boehm [29] presented a theoretical framework that explicitly incorporates investment dynamics, shedding light on the intricate relationship between investment shocks, output, and investment. By emphasizing the importance of considering investment dynamics in policy analysis, his work contributed to a more nuanced understanding of the macroeconomic implications of investment shocks. These theoretical contributions, together with empirical findings, offer a holistic and comprehensive understanding of the mechanisms and consequences of investment shocks on macroeconomic variables.
Through a comprehensive analysis of investment shocks on macroeconomic variables—encompassing empirical studies, theoretical modeling, and transmission channels—these studies significantly enhance the understanding of the complex interactions between investment shocks and macroeconomic indicators. Empirical investigations shed light on the real-world impacts of investment shocks, revealing their effects on key economic variables across various countries and regions. This body of literature provides valuable guidance for policymakers in developing effective strategies to manage the consequences of such shocks. By leveraging insights from empirical evidence and theoretical models, policymakers can better comprehend the multifaceted impacts of investment shocks and formulate targeted, context-specific responses to mitigate adverse effects and foster economic resilience. These studies not only inform evidence-based policy design but also pave the way for further research. In particular, they create a foundation for the present study to explore the effects of investment shocks on macroeconomic variables within the context of South Korea during the COVID-19 crisis.

3. Model

3.1. Households

Within the economic framework, households are indexed as distinct entities, each providing a unique type of labor. This differentiation grants households exclusive control over their specific labor supply, endowing them with a degree of monopolistic power. Consequently, each household seeks to optimize its intertemporal utility function, reflecting preferences and objectives over a defined time horizon. This utility function serves as a foundation for decision-making, guiding households in optimizing the labor supply to maximize overall well-being and satisfaction.
E 0 t = 0 β s k U t s k .
Equation (1) encapsulates the essential components that drive the dynamics of the system under study. E 0 , represented as the expectation factor, plays a pivotal role in shaping future projections and anticipations. The utility function U lies at the core of this framework, capturing the multifaceted dimensions of satisfaction and well-being that households seek to optimize. The discount factor β , a fundamental parameter, embodies the intertemporal preferences and time value of future outcomes. Notably, the instantaneous utility function unveils a remarkable feature: it exhibits separability in three key dimensions: consumption, labor (leisure), and real balances. This separability allows for a comprehensive analysis of the distinct influences that these variables exert on the household’s overall utility, shedding light on the intricate interplay between economic choices, leisure preferences, and financial holdings. Together, these elements provide a holistic framework to understand the complex dynamics governing the system, illuminating the interconnections between consumption, labor allocation, and financial considerations.
U t s k = ϵ t s k { ( C t H t ) 1 σ c 1 σ c ϵ t L ( L t ) 1 + σ L 1 + σ L } .
Within Equation (2), C t embodies the crucial notion of consumption, signifying the allocation of resources towards satisfying individual desires and needs. H t ( H t = h C t 1 ) , representing habit formation, manifests as a force that connects the present consumption level to the past, denoted by C t 1 , with the intensity of habit formation h shaping the strength of this connection. Consequently, the interplay between current and past consumption choices plays a pivotal role in shaping individual decision-making processes. L t assumes the mantle of the labor supply, capturing the pivotal role that households play in the labor market. Moreover, the relative risk aversion coefficient σ c serves as a key determinant of the sensitivity individuals exhibit towards changes in consumption. Simultaneously, the inverse elasticity of labor supply relative to wages, represented by σ L , reveals the responsiveness of the labor supply to wage fluctuations. The presence of ϵ t s k ( ϵ t s k = ρ s k ϵ t 1 s k + e t s k ) signifies a sweeping and all-encompassing perturbation that reverberates through the realm of preferences, exerting a profound influence on the intertemporal substitution patterns exhibited by households. Termed a “preference shock,” this factor disrupts decision-making, reshaping the fundamental principles governing resource allocation across varying time horizons. Finally, the labor supply shock ϵ t L ( ϵ t L = ρ L ϵ t 1 L + e t L ) embodies unexpected disturbances within the labor market, amplifying the intricate interplay between labor supply decisions and exogenous forces. Simultaneously, within the intricate tapestry of economic decision-making, households endeavor to maximize their objective function while navigating the confines of a pervasive intertemporal budget constraint. This constraint serves as a fundamental guidepost, demarcating the boundaries within which households orchestrate their resource allocation dynamics. It embodies the delicate interplay between income, consumption, and savings across a continuum of time periods, encapsulating the multifaceted nature of financial planning. By adroitly maneuvering within this budgetary framework, households harmonize their aspirations and financial prudence, leveraging wages, interest rates, taxes, and borrowing opportunities to achieve an optimal balance.
C t + I t + B t + T t = B t 1 R t 1 + L t W t + ζ t K t 1 R t K K t 1 R s s K [ e Ω ( ζ t 1 ) 1 ] Ω + D .
In Equation (3), I t embodies investment, serving as a cornerstone for capital accumulation and economic growth. B t represents bonds, intricate financial instruments that facilitate the flow of capital between savers and borrowers. R t symbolizes interest rates, a pivotal determinant of investment decisions and the cost of capital. T t represents taxes, embodying the financial obligations levied upon economic agents as they navigate the intricate realm of wealth generation. W t stands for wages, representing the remuneration earned by individuals for their labor contributions. Further within this system, R t K emerges as an indicator of the rate of return on capital, offering insights into the efficiency and profitability of investment activities. ζ t captures the level of capital utilization, elucidating the relationship between available resources and their employment in productive activities. Notably, Q ( · ) represents the cost function, embodying the expenditures associated with capital utilization and shedding light on the intricacies of resource allocation. Delving into the realm of equilibrium, R s s K symbolizes the steady-state level of the rate of return on capital, representing a state of balance and stability. Finally, D represents dividends, signifying the financial returns distributed to shareholders as a reflection of corporate profitability. Within this context, the equation of capital movement unfolds, providing a mathematical representation of the intricate dynamics governing the allocation and transformation of capital resources. This equation encapsulates the interplay between investment, bonds, interest rates, taxes, wages, the rate of return on capital, capital utilization, cost functions, steady state conditions, and dividends; the equation reveals the underlying mechanisms shaping capital movement within the economic system.
K t = ( 1 δ ) K t 1 + I t [ 1 Q ( ϵ t I I t I t 1 1 ) 2 2 ] .
In Equation (4), δ emerges as the representative of the depreciation rate, capturing the gradual decline in the value of assets over time. Meanwhile, Q embodies the profound influence of the COVID-19 pandemic on investment costs, functioning as a key parameter that quantifies the magnitude of its negative impact on new investment endeavors. A higher value of ϕ indicates a more significant detrimental effect caused by the pandemic, further compounding the difficulties faced by potential investors. Finally, ϵ t I represents the investment shock, representing an exogenous disturbance that influences investment decisions and dynamics within the economic system.

3.2. Labour Supply Decisions and Wage Setting Equation

Households act as price-setters in the labor market, exerting a direct influence on wage levels. Drawing from the works of Rüth [30], Lê et al. [31], Ida and Okano [32], and Garga and Singh [33], this framework recognizes that wage adjustments occur optimally only in response to a stochastic wage change signal. The probability of a particular household being able to modify its nominal wage in period t remains constant and equal to 1 φ W . When a household, denoted as s k , receives such a signal, it seizes the opportunity to set a new nominal wage, W ˇ t s k , while considering the likelihood of not being able to re-optimize it in the near future. To address the influence of past inflation, the model incorporates a partial indexation mechanism in which the wages of households unable to re-optimize are adjusted proportionally to prior inflation rates. In a more formal setting, the adjustment of wages for these households that cannot be re-optimized conforms to a prescribed framework. This approach allows for a nuanced representation of wage determination by integrating the stochastic nature of wage change signals with the partial indexation mechanism’s constraints. It offers a comprehensive depiction of how households adapt their wage-setting strategies in response to prevailing labor market conditions.
W t s k = ( P t 1 P t 2 ) η w W t 1 s k .
Within our analytical framework, we introduce the parameter η w to quantify the degree of wage indexation. When η w = 0 , there is no indexation, meaning that wages that cannot be re-optimized remain unchanged over time. Conversely, when η w = 1 , perfect indexation occurs, implying that wages fully adjust to align with past inflation trends. This continuous scale of wage indexation provides a nuanced perspective, allowing us to explore a spectrum of scenarios between the extremes of no indexation and perfect indexation. By adjusting the value of η w , we gain insights into how wages respond differently to varying inflationary pressures. This intricate mechanism offers a captivating lens through which we can examine the dynamic relationship between wage adjustment strategies, the degree of indexation, and the prevailing inflationary forces, unraveling the interplay between wage dynamics and the macroeconomic environment. Furthermore, households strategically establish their nominal wages with the aim of optimizing their intertemporal objective function, taking into account the interplay between their desired goals and the constraints imposed by the intertemporal budget framework. These households carefully navigate the complexities of labor market dynamics, recognizing the critical role of labor demand—a factor intricately linked to broader economic conditions. This demand for labor, intricately intertwined with broader economic conditions, influences the equilibrium between the labor supply and employer requirements, setting the stage for a delicate balancing act.
L t s k = ( W t s k W t ) 1 + θ t w θ t w L t .
The complex dynamics of the labor market are revealed as we delve into the intricate relationship between aggregate labor demand, L t , and the overarching aggregate nominal wage, W t . This connection is effectively captured using Dixit–Stiglitz-type aggregator functions, which offer a robust framework for analyzing the interplay between labor demand and wage determination at the macroeconomic level.
L t = { 0 1 ( L t s k ) 1 1 + θ t w d s k } 1 + θ t w .
W t = { 0 1 ( W t s k ) 1 θ t w d s k } θ t w .
The pursuit of optimization introduces a key maximization problem that yields a significant markup equation for the re-optimized wage. This equation arises from the complex decision-making processes of economic agents as they aim to maximize their utility and overall well-being.
W ˇ t P t E t i = o β i φ W i ( P t P t 1 P t + i P t + i 1 ) η w L t s k U t + i C 1 + θ t + i w = E t i = 0 β i φ W i L t + i s k U t + i L .
In Equation (9), the magnitude of labor’s disutility, denoted as U t L , and the corresponding utility derived from consumption, referred to as U t C , play pivotal roles. This equation reveals a key insight: the nominal wage at time t for a household s k , which has the ability to modify its wage, is determined to ensure that the present value of the incremental return from work exceeds the present value of the subjective cost of labor (i.e., the marginal cost of work). This calculation reflects a strategic markup, where the wage is set to strike a delicate balance, considering both the incentives to work and the costs associated with labor. Under conditions of perfect wage flexibility ( φ W = 0 ), the real wage simplifies to a markup, equivalent to 1 + θ t w , exceeding the current ratio of the marginal disutility of labor to the marginal utility of an additional unit of consumption. This engenders a dynamic interplay where the real wage bears the influence of not only the strategic markup but also the intricate relationship between labor disutility and the desirability of additional consumption. Within this framework, we account for wage markup shocks, θ t w = θ W + ϵ t W , which follow an independent and identically distributed (i.i.d.) normal distribution with a constant mean. These shocks introduce an element of unpredictability, capturing the fluctuations in the wage markup over time and reflecting the inherent uncertainty within the economic system. Based on Equation (8), the aggregate wage index evolves according to a law of motion that encapsulates the dynamics of wage adjustments. This law articulates the evolution of the aggregate wage index, shedding light on the intricate interplay between wage dynamics, labor market conditions, and the multifaceted forces that shape the trajectory of the economy. Thus, this framework offers a comprehensive analysis of wage determination and dynamics, encompassing strategic household calculations, the interplay between labor disutility and consumption utility, the effects of wage markup shocks, and the evolution of aggregate wage indices. This provides a nuanced understanding of labor market dynamics and their broader implications for macroeconomic outcomes.
( W t ) 1 θ t w = φ W { W t 1 ( P t 1 P t 2 ) η w } 1 θ t w + ( 1 φ W ) ( W ˇ t ) 1 θ t w .

3.3. Firms

Within the economic landscape of South Korea, a distinctive scenario unfolds where the production structure revolves around the creation of a solitary final good alongside a comprehensive range of intermediate goods, meticulously indexed by s k , spanning the continuous unit interval s k [ 0,1 ] . The final-goods sector epitomizes perfect competition, cultivating an environment where numerous firms engage in vigorous competition to supply the ultimate product. This final good serves a dual purpose, acting as a key input for both household consumption and investment activities. In contrast, the markets for intermediate goods are characterized by monopolistic competition, with each intermediate good produced exclusively by a single firm. This market structure fosters product differentiation, encouraging firms to innovate and strategically position their offerings to gain market share. The interplay between perfect competition in the final-goods sector and monopolistic competition in the intermediate-goods market highlights the complexity of South Korea’s economic dynamics. The final good, as a cornerstone of consumption and investment, aligns with household preferences and shapes their economic decisions. Simultaneously, the intermediate-goods markets reflect a diverse and competitive environment, where firms differentiate their products to meet specific consumer demands. This economic ecosystem demonstrates the dynamic nature of South Korea’s production framework, where diverse market structures coexist to drive production, consumption, and investment.

3.3.1. Final-Goods Firms

The production process of the final good within the South Korean economy relies on the integration of intermediate goods, as determined by the underlying production technology. This intricate technological framework guides the transformation process, combining various intermediate goods to produce the final output. The final good emerges as the culmination of this intricate production process, wherein the distinctive qualities and attributes of the intermediate goods converge to shape its composition. This interdependent relationship between the final good and the diverse range of intermediate goods illustrates the synergistic nature of production in the South Korean economy, highlighting the essential role of intermediate goods in shaping the final output.
Y t = [ 0 1 ( y t s k ) 1 1 + θ t P ] 1 + θ t P .
In Equation (11), the quantity of domestic intermediate goods denoted as s k assumes a critical role in the production of final goods. The utilization of these intermediate goods is governed by an advanced technological framework that determines the production process. Central to this framework lies the stochastic parameter θ t P , which holds sway over the time-varying markup within the goods market. Fluctuations in θ t P act as “cost-push” shocks, directly impacting the inflation equation. To capture these dynamics at play, we introduce θ t P as a composite variable consisting of a baseline component θ P and a time-varying element e t p . The stochastic component e t p follows an independent and identically distributed (i.i.d.) normal distribution, representing the inherent uncertainty and randomness in the evolution of e t p . This formulation provides a framework to analyze the effects of stochastic shocks on inflation, offering insights into the interplay between cost dynamics and the broader economic environment. Cost optimization in the final-goods sector is formalized through a set of cost minimization equations. These equations represent the fundamental principles guiding firms to optimize resource allocation and streamline production processes. By adhering to these conditions, firms aim to minimize production costs while achieving the desired output levels, balancing input efficiency with output generation.
y t s k = ( P t s k P t ) 1 + θ t P θ t P Y t .
Within Equation (12), the relationship between prices within the final-goods sector and the market for intermediate goods plays a critical role in determining economic dynamics. The price of the intermediate good s k , denoted as P t s k , alongside the price of the final good, denoted as P t , encapsulates the essence of this interaction. In the perfectly competitive final-goods market, firms act as price-takers, unable to influence market prices individually. As a result, the price of the final good, P t , reflects aggregate market forces shaped by the collective interactions of buyers and sellers. This equilibrium price is determined by the interplay of supply and demand, encapsulating the outcome of numerous transactions within the final-goods market.
P t = [ 0 1 ( p t s k ) 1 θ t P ] θ t P .

3.3.2. Intermediate-Goods Firms

In the framework of the economic model, the production of each distinct intermediate good, denoted as s k , is entrusted to a corresponding firm s k . These firms operate under distinct technological frameworks that govern the production process for intermediate goods. This technology, tailored to the specific characteristics of each firm, is crucial in determining their production capabilities and outcomes.
y t s k = ϵ t A z t K s k , t 1 α L s k , t 1 α Q .
In Equation (14), ϵ t A indicates the productivity shock. α assumes a critical role, serving as a quantifiable measure of the elasticity characterizing the relationship between the level of production and the capital input. This elasticity provides valuable insights into the responsiveness of production levels to changes in capital utilization. Additionally, Q denotes fixed costs, which are independent of output levels. The principle of cost minimization requires that the economic framework adheres to specific conditions to ensure efficient resource allocation and cost optimization. These conditions guide firms in balancing input usage and production output to achieve operational efficiency.
W t L t s k R t K z t K t 1 s k = 1 α α .
Equation (15) provides a key insight into the economic framework: the capital–labor ratio among producers of intermediate goods is uniform and mirrors the aggregate capital–labor ratio of the entire economy. This uniformity reflects a harmonized approach to resource allocation and highlights the interdependencies among firms producing intermediate goods. The consistent capital–labor ratio, coupled with the determination of marginal costs, underscores the interconnected nature of production processes, resource allocation, and cost efficiency. This relationship illustrates how these elements collectively influence the functioning and dynamics of the economic system.
M C t = 1 ϵ t A W t 1 α R t k α [ 1 α α 1 ( 1 α ) 1 α ] .
The unveiling of Equation (16) provides important insights into a key characteristic: the marginal cost, akin to the intermediate good produced, is unaffected by the specific type of intermediate good. In other words, regardless of the unique attributes or properties of the intermediate good in focus, the marginal cost remains consistent and independent. This finding underscores the equilibrium in cost dynamics across various types of intermediate goods. The relationship between the independence of marginal cost and the determination of nominal profits reflects the fundamental principles governing cost structures and financial performance in intermediate-goods production. This interaction highlights the connection between cost efficiency, production outcomes, and profitability, offering a framework to analyze the mechanisms shaping firm-level financial success.
π t j = ( p t s k M C t ) ( p t s k P t ) 1 + θ t P θ t P Y t Q M C t .
Within the economic framework, each firm exerts market power over the specific market for its unique good. Leveraging this market power, each firm endeavors to optimize its expected profits, guided by a discount rate ( β θ t + s k θ t 1 P t + s k ) that aligns with the pricing kernel for nominal returns employed by the shareholders–households. This approach ensures profit maximization while accounting for the time value of money and the preferences of both shareholders and households. It reflects a sophisticated interplay between market dynamics, profitability objectives, and financial considerations.
Drawing inspiration from Calvo [34], an essential aspect of the economic framework restricts firms from altering their prices unless they receive a stochastic “price change signal”. This signal acts as a trigger for price adjustments, enabling firms to respond to market dynamics. The probability of a given price being re-optimized in any specific period remains constant, as denoted by ( 1 φ P ) , embodying the persistence of price rigidity. Following the insights of Christiano et al. [35], firms that do not receive a price signal resort to a different mechanism. Their prices become indexed to the previous period’s inflation rate. This indexing strategy allows firms to adjust prices adaptively, accounting for inflationary pressures while preserving price stability in the absence of a price change signal. Profit optimization in this context involves a sophisticated decision-making process for firms with the flexibility to re-optimize prices. This process gives rise to a first-order condition, where marginal costs align with marginal revenues, capturing the equilibrium point of profit maximization. This condition elucidates the dynamics of profit optimization under price adjustment constraints, highlighting the interplay between firm-level decision-making, market signals, and economic efficiency. The interaction between price change signals, price rigidity, and profit optimization illustrates the complex mechanisms underlying pricing dynamics. It emphasizes the adaptive strategies firms employ to balance responsiveness to market signals with the need for price stability.
E t s k = 0 β s k φ P s k θ t + s k y t + s k s k [ P ˇ t t s k P t P t + s k 1 P t 1 P t + s k P t ] η P ( 1 + φ P , t + s k ) m c t + s k = 0 .
As depicted in Equation (18), the pricing decision undertaken by firm s k at time t is intricately linked to the anticipation of future marginal costs. The pricing mechanism involves setting a price that exceeds these weighted marginal costs, reflecting a markup over expected cost dynamics. Under conditions of perfect price flexibility ( φ P = 0 ) , this markup assumes a constant value denoted as 1 + θ t P . However, in the presence of price stickiness, the markup becomes a dynamic entity, subject to fluctuations over time when the economy is impacted by exogenous shocks. For instance, a positive demand shock reduces the markup, stimulating economic indicators such as employment, investment, and real output. This dynamic response underscores the interconnected relationship between pricing decisions and macroeconomic outcomes, emphasizing the critical role of pricing dynamics in shaping the broader economic environment. Additionally, the construction of the price index, as defined in Equation (13), provides insights into its evolution over time. The price index follows a specific law of motion, capturing how it responds to economic forces and shocks, thereby reflecting the intricate dynamics of price adjustment in the economy.
( P t ) 1 θ t P = φ P [ P t 1 ( P t 1 P t 2 ) η P ] 1 θ t P + ( 1 φ P ) ( P ˇ t t s k ) 1 θ t P .

3.4. Fiscal Policy

In the realm of economic governance, the government collects lump-sum taxes, denoted by T t , from households and firms. These tax revenues are allocated to government spending, denoted as G t , which serves as a pivotal mechanism for implementing various policies and programs. To supplement its financial resources, the government also issues bonds, symbolized as B t . Importantly, government actions are treated as exogenous, operating independently of decisions made by households and firms. The government’s spending, represented by G t , is subject to the influence of random shocks denoted as ξ t G ( l o g ξ t G = ρ G l o g ξ t 1 G + ϵ t G ) , which introduce an element of unpredictability into the economic landscape.
G t = G ˇ ξ t G .
The economic framework establishes a budget constraint for the government, capturing the relationship between its revenue sources and expenditure obligations. This constraint serves as a guiding principle, defining the financial boundaries within which the government manages its resources and commitments.
G t + B t R t = T t .

3.5. Monetary Policy

Building upon the insights of He and Wang [36], He and Lee [37], and He [38], the conduct of monetary authorities is characterized by the adherence to the generalized Taylor rule as a guiding principle for setting interest rates. Within this framework, monetary authorities adopt a systematic approach that incorporates various critical factors, including the initial divergence of interest rates from the steady state, deviations of inflation from the target in the early period, the prevailing output gap, the dynamic nature of the output gap, and the intricacies of inflation dynamics. By considering these multifaceted elements, monetary authorities design and adjust monetary policies to align with evolving macroeconomic conditions. The use of the generalized Taylor rule enables authorities to respond effectively to economic fluctuations, balancing steady-state considerations, inflation targets, and the interplay between output gaps and inflation dynamics. This nuanced approach fosters a robust monetary policy framework that addresses the complexities of economic dynamics, promoting macroeconomic stability and achieving the desired policy outcomes.
log R t R s s = ρ R log R t R s s + ( 1 ρ R ) ( [ ρ π log π t π s s + ρ y log Y t Y S S ] + log ϵ t M ϵ S S M ) .
Within the framework of Equation (22), ρ R represents the smoothing coefficient of the interest rate, embodying the degree of gradual adjustment in response to changing economic conditions. On the other hand, ρ π captures the reaction coefficient of interest rate rules to inflation, indicating the sensitivity of monetary policy to inflationary pressures. Similarly, ρ y denotes the reaction coefficient of interest rate rules to output, signifying the responsiveness of monetary policy to fluctuations in output levels. The equation also introduces the notion of ϵ t M , representing the monetary policy shock. This shock functions as an exogenous force, introducing unexpected fluctuations into the monetary policy framework and necessitating adaptive responses from monetary authorities. Additionally, the steady-state values are denoted by R s s , π s s , and Y S S , serving as reference points that anchor the equilibrium conditions. These benchmarks provide a basis for measuring deviations, offering insights into the relative shifts and adjustments required in response to evolving economic circumstances.

3.6. Market Clearing

The attainment of market equilibrium—a state in which supply and demand are perfectly aligned—depends on the fulfillment of specific market-clearing conditions. These conditions define the requirements necessary to achieve an optimal state where the quantity supplied matches the quantity demanded in a given market. The mathematical representation of these market-clearing conditions is as follows:
The labor market clearing condition is as follows:
L t = L t d .
The condition for the bond market to clear is as follows:
B t = 0 .
Gross output is paid in dividends after compensating for the labor and capital costs:
D t = Y t L t R t K z t K t 1 .

4. Results and Discussion

4.1. Parameter Calibration and Estimation

The parameterization employed in this study is based on two primary sources. First, the parameter selection is informed by the rigorous and authoritative Korean literature, drawing on a wide range of studies conducted within the Korean context. This approach ensures that the chosen parameters reflect the specific economic characteristics and dynamics of South Korea. Second, parameter estimation is performed using a Bayesian approach, recognized for its effectiveness in capturing uncertainty and incorporating prior knowledge. Bayesian estimation combines observed data with prior beliefs to derive parameter values, enabling a robust and rigorous calibration of the model. This method allows researchers to refine and optimize parameter estimates while accounting for inherent variability, ultimately producing reliable and well-informed results.
In the pursuit of parameter calibration, this study follows the guidance of the Korean literature in the field. Building upon the insights of He and Lee [37], a relative risk aversion coefficient of 1.773 is employed, capturing the responsiveness of individuals to changes in risk. The inverse elasticity of the labor supply relative to wages is set to 1.093, drawing upon the findings of previous research to comprehend the sensitivity of the labor supply to wage fluctuations. Furthermore, the calibration process adopts a smoothing coefficient of the interest rate equal to 0.75, as recommended by the work of He and Lee [37]. This coefficient reflects the gradual adjustment of interest rates in response to changing economic conditions. Similarly, the reaction coefficient of interest rate rules to inflation is established at 0.514, reflecting the sensitivity of monetary policy to inflationary pressures. Moreover, the reaction coefficient of interest rate rules to output is set to 0.498, based on empirical insights from He and Lee [37], capturing the response of monetary policy to changes in output levels. In line with the research conducted by Hur and Rhee [39], the expenditures associated with capital utilization are determined as 0.2, shedding light on the relationship between capital utilization and associated costs. Considering the depreciation rate, He [40] informs the selection of 0.25, reflecting the rate at which the capital stock diminishes over time. The degree of wage indexation is established at 0.5, drawing from the research of An and Kang [41], reflecting the extent to which wages are adjusted to past inflation. Furthermore, the discount factor is set to 0.99, in line with the insights of Kang and Suh [42], which capture the intertemporal preferences of economic agents. The elasticity characterizing the relationship between the level of production and the capital input is determined as 0.33, based on the work of He [38], highlighting the sensitivity of production to changes in capital input. Finally, following the research of Hwang [43], the weighted cumulative probability of not receiving the adjustment signal is established at 0.95, revealing the likelihood of firms not receiving a signal to adjust their prices. By anchoring the parameter calibration in the findings of the Korean literature, this study ensures a robust and informed approach, enhancing the reliability and validity of the model. The integration of these established parameters underscores the meticulousness and rigor employed in constructing a comprehensive analytical framework that captures the complexities of the economic phenomena under investigation.
The parameterization employed in this study integrates insights from the authoritative Korean literature and a Bayesian estimation framework, ensuring precision and reliability. Specifically, the parameter selection follows a two-step process. First, prior distributions are specified based on empirical evidence and theoretical considerations from existing Korean studies. The second step involves Bayesian estimation to derive posterior distributions for the parameters. This method combines observed data with the specified priors, leveraging a likelihood function to capture the probabilistic relationships between the model variables. The Bayesian framework is implemented using a Markov Chain Monte Carlo simulation with 30,000 iterations to ensure convergence. To mitigate potential initialization effects, the first 10,000 iterations are discarded (burn-in period), and convergence diagnostics, such as the Gelman–Rubin statistic, are employed to validate the results. The data employed for parameter estimation include the real GDP, the consumer price index, and employment statistics for South Korea, sourced from official datasets spanning the first quarter of 2000 to the first quarter of 2023. The data series are detrended using the Hodrick–Prescott filter to isolate cyclical components, ensuring consistency with the model’s theoretical structure. The posterior distributions are summarized in Table 1, including means, standard errors, and confidence intervals for each parameter. This rigorous approach ensures that the estimated parameters are robust and reflective of South Korea’s economic dynamics during the COVID-19 pandemic. To validate the robustness of the calibrated parameters, sensitivity analyses are conducted. This involves varying key parameters within plausible ranges to examine their impact on the model’s outcomes. The sensitivity analysis confirms the stability of the model’s predictions, underscoring the reliability of the chosen parameter values. This detailed calibration process not only ensures methodological rigor but also enhances the credibility and applicability of the findings within the broader mathematical and economic literature.
In the Bayesian methodological framework, the prior distribution of the parameter vector, denoted as p ( θ M M ) , is specified based on the chosen model. The likelihood function, conditioned on the model and its parameters, is expressed as L ( θ M Y T , M ) , where p ( Y T θ M , M ) represents the probability density function value corresponding to the observed data. Here, Y T signifies the dataset observed up to period T . The probability density function p ( · ) can adopt a variety of distributions, including gamma, beta, generalized beta, normal, inverse gamma, shifted gamma, or uniform distributions, depending on the nature of the model and its parameters. The marginal density function of the observed data, conditional on the model, is formulated as described in Equation (26). This marginal density function is obtained by integrating the likelihood function over all possible parameter values θ M , providing a comprehensive metric of the model’s compatibility with the observed data. This integration process is fundamental within the Bayesian framework, as it facilitates the refinement of prior distributions by incorporating empirical observations. The resulting posterior distributions represent the most probable estimates of the model parameters, reflecting both prior knowledge and evidence from the observed data. This approach highlights the Bayesian method’s capacity to produce robust probabilistic inferences, enhancing the reliability and interpretability of parameter estimation within complex models.
p ( Y T θ M , M ) = θ M 1 p ( θ M , Y T M ) d θ M = θ M 1 p ( Y T θ M , M ) p ( θ M M ) d θ M .
Bayes’ theorem establishes that the posterior density, denoted as p ( Y T θ M , M ) , is the product of the likelihood function and the prior density. This relationship is formally represented in Equations (27) and (28). The posterior density provides a probabilistic framework that integrates prior knowledge about the parameter vector θ M with the empirical evidence derived from the observed data Y T . Specifically, the likelihood function captures the probability of observing the given data conditional on the parameters, while the prior distribution encapsulates pre-existing beliefs about the parameters. By combining these components, the posterior distribution yields a refined estimate of the parameters, incorporating both prior information and the observed evidence within the context of the specified model M . This process exemplifies the Bayesian methodology’s ability to produce robust and contextually informed parameter inferences, enhancing the model’s capacity to describe complex phenomena with precision and reliability.
p ( θ M Y T , M ) = p ( Y T θ M , M ) p ( θ M M ) ( Y T M ) .
p ( θ M Y T , M ) = L ( θ M Y T , M ) p ( θ M M ) θ M 1 p ( Y T θ M , M ) p ( θ M M ) d θ M .
The posterior kernel, denoted as k ( θ M Y T , M ) L ( Y T θ M , M ) p ( θ M M ) , is defined as the numerator of the posterior density. This kernel represents the product of the likelihood function and the prior distribution, encapsulating the combined effects of observed data and prior beliefs on parameter estimation. The posterior distribution of the parameter vector θ M for the specified model M is proportional to the posterior density, capturing the relationship between the model parameters and the observed data. This proportionality is mathematically formalized in Equation (29), which provides the foundational expression for deriving the posterior distribution within the Bayesian framework. The posterior kernel thus serves as a critical component of Bayesian inference, integrating empirical evidence and prior knowledge to yield probabilistic estimates that reflect both the theoretical model and the observed data.
p ( θ M Y T , M ) L ( θ M Y T , M ) p ( θ M M ) .
The distribution outlined above is characterized by standard measures of central tendency, including the mean, median, and mode, alongside dispersion metrics such as the standard deviation and specific percentiles. Following the specification of the model and the availability of relevant data, the likelihood function can be estimated using advanced techniques such as the Kalman filter for linear models or particle filters for nonlinear models. These computational methods enable the efficient estimation of the likelihood function, even in scenarios involving complex model structures. The derived statistical measures, which are critical for interpreting the outcomes and assessing the model’s performance, are systematically presented in Table 1, providing a comprehensive summary of the results.

4.2. Macroeconomic Implications of Investment Shock on South Korea in the Context of the COVID-19 Crisis

The COVID-19 pandemic has posed unprecedented challenges, profoundly impacting the global economy, with South Korea being no exception. During this tumultuous period, the investment shock has emerged as a critical factor influencing South Korea’s economic performance, with significant implications for key macroeconomic indicators. Its effects have permeated multiple aspects of the economy, notably altering South Korea’s total output, consumption, investment, and employment dynamics. Figure 1 and Figure 2 provide a visual representation of the investment shock’s impact on key Korean macroeconomic indicators, offering a concise yet insightful depiction of its consequences during this critical period.
In the absence of a pandemic, the results of Figure 1 indicate that a positive investment shock typically generates positive effects on business output, driven by increased investment that leads to expanded production capacity, technological advancements, and the creation of new business opportunities. This stimulates economic growth by boosting productivity and overall economic activity. However, the dynamics change during a pandemic due to various factors that introduce challenges and alter the impact of investment shocks. During a pandemic, enterprises face heightened investment costs arising from multiple sources, such as increased uncertainty, reduced consumer demand, supply chain disruptions, and the implementation of health and safety measures. These factors create a complex and demanding business environment, which diminishes the effectiveness of positive investment shocks in stimulating business output. Enterprises encounter difficulties in resource allocation, implementing investment plans, and maintaining profitability amidst the crisis. Moreover, the escalation of the pandemic also exerts influence on household consumption. As investment costs rise, enterprises may face financial constraints, leading to reduced employment opportunities, slower wage growth, and diminished consumer purchasing power. Consequently, the positive impact of enterprise investment on household consumption weakens. These findings align with the existing literature [1,43,44,45], which highlights the adverse effects of pandemics on investment and consumption. Studies have demonstrated that economic downturns, including those caused by pandemics, disrupt investment decisions, erode business confidence, and dampen consumer spending. The increased investment costs and reduced consumer confidence during a pandemic contribute to the observed decrease in the influence of positive investment shocks on output and consumption. However, it is crucial to acknowledge that the specific effects of investment shocks during a pandemic can vary depending on factors such as the severity and duration of the crisis, policy responses, and industry characteristics. Further research is essential in order to delve into these nuances and identify potential strategies to mitigate the negative impact of investment shocks during crisis situations. This knowledge can inform policymakers and stakeholders when formulating targeted measures to support investment and consumption recovery and foster overall economic resilience.
Figure 1 presents the impulse response analysis for two fundamental macroeconomic indicators—output (Panel (a)) and consumption (Panel (b))—following an investment shock during the COVID-19 pandemic. The analysis provides a dynamic view of how the shock propagated through the economy and highlights the role of policy measures in mitigating its effects. In Panel (a), the immediate negative deviation of output underscores the significant constraints imposed on enterprise production due to increased investment costs. This contraction is closely tied to pandemic-induced disruptions, including heightened uncertainty and widespread supply chain breakdowns, which impaired firms’ operational efficiency and resource allocation. The downward trajectory in the short term reflects reduced productivity and delayed capital investments, both of which hindered economic stability. However, over time, the curve shows a gradual recovery, which can be attributed to the implementation of fiscal policies such as government subsidies and targeted stimulus measures. These interventions effectively boosted aggregate demand, encouraged production, and supported firms in overcoming the adverse effects of the shock.
Panel (b) reveals a similar dynamic for household consumption. The initial sharp decline highlights the immediate economic fallout of the investment shock, manifesting through a reduced household income, rising unemployment, and wage stagnation. These factors collectively weakened consumer confidence and purchasing power, exacerbating the decline in consumption levels. The subsequent recovery in consumption, as depicted in the simulation, underscores the efficacy of fiscal interventions, particularly direct financial aid and measures to stabilize employment. These policies not only alleviated financial stress for households but also restored aggregate demand, driving a positive feedback loop in the macroeconomic system. Together, the two panels in Figure 1 provide a comprehensive depiction of the investment shock’s short-term and medium-term impacts on output and consumption. The analysis highlights the critical role of fiscal policy in expediting recovery, underscoring the need for proactive and well-calibrated government measures during periods of economic crisis. This dynamic interplay between economic shocks and policy responses serves as a valuable framework for understanding the broader implications of economic disruptions during unprecedented global events like the COVID-19 pandemic.
In the absence of a pandemic, the results of Figure 2 indicate that positive investment shocks typically generate a favorable environment for household employment. This occurs as increased investment stimulates business expansion, fostering the creation of new job opportunities. However, the dynamics change significantly within the context of an epidemic as a multitude of factors come into play, altering the relationship between investment shocks and household employment outcomes. During an epidemic, the cost of enterprise investment tends to escalate due to heightened uncertainty, diminished consumer demand, disruptions in supply chains, and the implementation of health and safety protocols. These factors collectively contribute to a challenging business landscape that curtails the effectiveness of positive investment shocks in bolstering household employment. Enterprises encounter obstacles in resource allocation, the execution of investment plans, and the preservation of profitability, resulting in a gradual attenuation of the impact of positive investment shocks on household employment. Concurrently, in the absence of an epidemic, positive investment shocks exert a positive influence on business investment dynamics. Such shocks facilitate business expansion, encourage capital expenditure, and foster productivity growth. However, as an epidemic intensifies and enterprise investment costs surge, the effect of positive investment shocks on business investment progressively wanes. Financial constraints, diminished business confidence, and heightened uncertainty pertaining to the economic outlook during an epidemic collectively contribute to this diminishing effect. These findings are in line with the existing authoritative literature [46,47,48,49] that underscores the impact of epidemics on investment and employment. Research indicates that, during times of crises, such as epidemics, investment decision-making becomes more cautious, businesses face greater financial challenges, and employment opportunities become constrained. The increased investment costs and the uncertain business environment prevalent during an epidemic corroborate the observed decline in the effect of positive investment shocks on household employment and business investment. However, it is essential to note that the specific impact of investment shocks during an epidemic is contingent upon several factors, including the severity and duration of the crisis, policy responses, and industry-specific characteristics.
Figure 2 illustrates the dynamic responses of employment (Panel (a)) and business investment (Panel (b)) to an investment shock during the COVID-19 pandemic, highlighting the distinct yet interconnected effects of the shock on these critical macroeconomic indicators. In Panel (a), the immediate decline in employment levels following the investment shock reflects the significant challenges faced by enterprises in maintaining their workforce under increased operational costs and diminished profitability. This contraction is primarily attributed to reduced output, declining revenues, and heightened economic uncertainty, which collectively constrained firms’ capacity to sustain employment. Over time, the negative effects on employment gradually diminish, showcasing the role of targeted fiscal interventions such as wage subsidies, unemployment benefits, and direct financial assistance to firms. These policy measures alleviated the financial burdens on businesses and households, enabling firms to stabilize employment levels and avoid prolonged disruptions in the labor market.
Panel (b) captures the immediate and severe adverse effects of the investment shock on business investment. The shock, characterized by a sharp increase in investment costs and amplified uncertainty, undermined firms’ confidence in pursuing capital expansion and innovation. This resulted in an initial steep decline in investment activities, as firms prioritized short-term survival over long-term growth. However, the trajectory observed in the later stages of the simulation highlights the recovery driven by government-backed investment incentives, such as tax breaks, low-interest financing, and infrastructure spending. These policies effectively restored business confidence and facilitated a gradual reinvestment in productive assets, contributing to the economy’s broader recovery. Together, these panels underscore the critical interplay between economic shocks and policy responses. The findings emphasize the importance of proactive and well-calibrated fiscal measures in mitigating the adverse effects of investment shocks on employment and business investment. Moreover, the distinct recovery trajectories illustrate the varying sensitivities of macroeconomic variables to fiscal interventions, offering valuable insights for policymakers designing stabilization strategies during crises.

4.3. Macroeconomic Consequences of Monetary and Fiscal Policy Shocks on South Korea in the Context of the COVID-19 Crisis

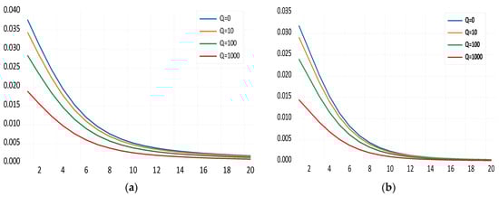
In response to the adverse economic impacts of the COVID-19 pandemic on South Korea, the government has implemented a combination of monetary and fiscal policies aimed at mitigating these effects. These measures were specifically designed to address the challenges posed by the pandemic and promote economic recovery. By employing a comprehensive approach that integrates monetary and fiscal tools, policymakers aim to enhance economic resilience, restore stability, and stimulate growth. The outcomes of these policies are illustrated in Figure 3, which highlights their impact on key economic indicators. Through the strategic use of monetary instruments—such as interest rate adjustments, liquidity provision, and asset purchases—combined with targeted fiscal interventions, including increased government spending and tax measures, authorities have sought to mitigate the pandemic’s adverse effects and establish a foundation for sustainable recovery. The effectiveness of these actions is reflected in the positive trends depicted in Figure 3, emphasizing the importance of coordinated monetary and fiscal efforts in addressing the economic challenges of the COVID-19 crisis.
In response to the adverse impact of the COVID-19 pandemic on South Korea’s macroeconomic indicators, the government has implemented a combination of monetary and fiscal policies. These policy measures aim to address the challenges arising from increased investment costs caused by the pandemic. By analyzing the data presented in Figure 3, it becomes evident that the adoption of monetary and fiscal policies has played a crucial role in mitigating the negative fluctuations observed in South Korea’s macroeconomic indicators. The implementation of monetary policy, which involves adjusting interest rates, the money supply, and other monetary tools, seeks to influence borrowing costs, stimulate investment, and promote economic activity. On the other hand, fiscal policy focuses on adjusting government spending and taxation to impact aggregate demand, incentivize investment, and enhance economic growth. Comparing the effectiveness of monetary and fiscal policies in mitigating the negative fluctuations caused by increased investment costs, it is evident that fiscal policy demonstrates a more favorable outcome. This can be attributed to the ability of fiscal policy measures, such as increased government spending and targeted stimulus packages, to directly address the challenges faced by businesses and households during the pandemic. By providing financial support and promoting investment, fiscal policy has the potential to boost aggregate demand, stabilize macroeconomic indicators, and facilitate economic recovery. However, it is important to note that the efficacy of monetary and fiscal policies can be influenced by various factors, such as the magnitude and timing of policy interventions, the overall economic environment, and the effectiveness of policy implementation. Furthermore, the specific policy measures and their impacts may vary depending on the prevailing economic conditions and the specific challenges faced by the country. Overall, the adoption of a comprehensive policy approach that combines both monetary and fiscal measures has demonstrated its significance in mitigating the negative impact of increased investment costs caused by the COVID-19 pandemic. This underscores the importance of policymakers continuously monitoring the economic landscape, evaluating the effectiveness of policy interventions, and adapting strategies to promote sustainable economic recovery and resilience in the face of ongoing uncertainties.
Figure 3 offers a detailed comparative analysis of the effectiveness of monetary and fiscal policy measures in mitigating the adverse macroeconomic impacts of investment shocks during the COVID-19 pandemic. Panel (a) illustrates the effects of monetary interventions, such as interest rate reductions and liquidity injections, aimed at stabilizing the economy. The results indicate a moderate stabilization effect, with the recovery curve showing a gradual improvement in key macroeconomic indicators. However, the relatively sluggish pace of recovery highlights the inherent limitations of monetary policy in addressing sector-specific disruptions, such as those caused by heightened investment costs. Monetary tools, while effective in increasing liquidity and reducing borrowing costs, may fall short in directly stimulating demand or offsetting the structural challenges faced by businesses and households during such crises. Panel (b), on the other hand, emphasizes the pronounced impact of fiscal policy interventions, including increased government spending, direct stimulus payments, and targeted financial assistance to businesses. The sharper recovery trends observed in this panel underscore the effectiveness of fiscal measures in addressing the immediate needs of affected sectors and in restoring aggregate demand. These policies provide direct financial support to households and enterprises, mitigating the ripple effects of investment shocks on employment, consumption, and business activity. The findings suggest that fiscal policies are particularly well-suited to combat the widespread and heterogeneous economic challenges associated with systemic crises like the COVID-19 pandemic. Taken together, the results in both panels highlight the critical importance of a coordinated policy approach. While monetary policies provide essential support through liquidity and financial market stabilization, fiscal policies address the direct and immediate disruptions experienced by households and businesses. The interplay between these two policy mechanisms offers a comprehensive framework for achieving economic stabilization and recovery. The findings in Figure 3 thus underscore the necessity of integrating monetary and fiscal interventions to effectively navigate the complex and multifaceted challenges posed by investment shocks during large-scale economic crises.

5. Conclusions

This study examines the dual dynamics of investment shocks and policy responses in stabilizing South Korea’s macroeconomy during the COVID-19 pandemic through a Bayesian DSGE framework. The analysis reveals that increased investment costs, driven by pandemic-induced uncertainties and disruptions, significantly curtailed enterprise output and investment. Similarly, household consumption and employment experienced pronounced declines, with the adverse effects intensifying as the pandemic escalated. This comprehensive investigation quantifies the cascading impacts of investment shocks across multiple sectors, highlighting the vulnerability of macroeconomic stability during crisis periods. Among the policy responses analyzed, fiscal measures, including targeted government spending and stimulus packages, were identified as the most effective tools for stabilizing macroeconomic indicators. These interventions directly addressed sector-specific disruptions, bolstered aggregate demand, and facilitated recovery. Conversely, monetary policies, such as interest rate reductions and liquidity provisions, exhibited moderate effectiveness. While these measures supported financial stability, their impact on mitigating the immediate economic challenges posed by the pandemic was comparatively limited. The findings underscore the critical importance of a coordinated policy approach. The interplay between investment shocks and policy responses demonstrates that the combined implementation of fiscal and monetary measures significantly enhances economic resilience and accelerates recovery. Utilizing a Bayesian DSGE framework, this study employs advanced mathematical techniques, including stochastic modeling, Bayesian inference, and impulse response analysis, to assess crisis-induced economic disruptions. These methodological contributions establish a robust and replicable foundation for future research on macroeconomic stability during periods of systemic crisis.
Based on the findings of this study, several policy implications are proposed to guide the South Korean government in addressing the economic challenges induced by the COVID-19-related investment shock and fostering a robust recovery. First, fiscal policy has proven to be highly effective in mitigating the adverse effects of investment shocks. Policymakers are encouraged to consider increasing government expenditure and implementing well-targeted stimulus packages to stimulate economic activity. These measures are instrumental in enhancing enterprise output, incentivizing investment, and supporting household consumption, thereby promoting a more resilient recovery. Second, tailored support measures are essential for industries disproportionately affected by the investment shock, particularly those burdened by elevated investment costs and diminished demand. Policies such as financial assistance programs, tax incentives, and sector-specific initiatives can alleviate economic pressures on enterprises, strengthen their resilience, and expedite recovery and growth. Third, fostering a conducive business environment is of paramount importance. Regulatory streamlining, a reduction in bureaucratic hurdles, and the implementation of business-friendly incentives can enhance investor confidence and attract both domestic and foreign investments. Such measures are vital in reinvigorating enterprise activity, creating employment opportunities, and driving economic growth. Lastly, while fiscal policy plays a central role, it is crucial to maintain a complementary monetary policy stance. Accommodative measures, such as sustaining low interest rates and ensuring adequate liquidity, are essential for supporting investment decisions and facilitating credit access for businesses. A synergistic monetary environment enhances the overall effectiveness of policy interventions and contributes to macroeconomic stability. Policymakers must remain adaptable, continually assessing the effectiveness of implemented policies and responding to the dynamic nature of the pandemic. Regular evaluations based on real-time data and sectoral feedback will enable strategic adjustments to ensure the sustained relevance and efficacy of interventions. This adaptive approach is critical for addressing the multifaceted challenges posed by investment shocks and for fostering sustainable economic recovery in South Korea.
This study acknowledges several research limitations and proposes directions for future inquiry to enhance our understanding of the macroeconomic implications of investment shocks during pandemics. First, the temporal scope of this analysis was restricted to the first quarter of 2020 through the first quarter of 2023, focusing on the immediate effects of the COVID-19 pandemic. Extending the timeframe could provide deeper insights into the long-term impacts of investment shocks on South Korea’s macroeconomy, capturing more extensive recovery patterns and structural changes. Second, the study employed Bayesian estimation techniques and impulse response analysis within a specific modeling framework. Expanding the model to include additional variables, such as sector-specific dynamics or external economic shocks, would increase its complexity and enable a more nuanced analysis of the multifaceted effects of investment shocks. Third, this research was confined to the South Korean context, offering valuable but geographically specific findings. Expanding the analysis to include multiple countries or regions could evaluate the generalizability of the results and identify cross-country variations in the economic consequences of investment shocks during pandemics. Such comparative analyses could also uncover lessons related to institutional frameworks and policy effectiveness. Finally, while the study identifies associations between investment shocks and macroeconomic indicators, establishing causality requires further investigation. Future research could employ advanced econometric techniques, such as instrumental variable methods or panel data approaches, to address potential endogeneity issues and strengthen causal inference.
Future research directions offer promising avenues for expanding this field of study. First, exploring the dynamic effects of various policy interventions—such as fiscal stimulus packages and monetary easing—would provide insights into the optimal timing, magnitude, and composition of policy responses to mitigate adverse macroeconomic impacts. Second, conducting sector-specific analyses could shed light on the heterogeneous effects of investment shocks across industries, enabling the design of more targeted and effective policy measures tailored to sectoral needs. Third, comparative studies across countries would allow for a comprehensive assessment of investment shocks during pandemics, incorporating variations in institutional settings, policy frameworks, and economic structures. These analyses could provide valuable lessons and best practices for managing crises of this nature globally. Lastly, examining the implications of investment shocks on the financial sector, including their impact on credit availability, bank lending, and financial stability, would deepen our understanding of the intricate interplay between real economic disruptions and financial systems during pandemics. Addressing these research limitations and pursuing these future directions will advance the understanding of investment shocks during systemic crises, equipping policymakers with effective strategies to mitigate adverse effects, bolster economic resilience, and promote sustainable recovery.

Author Contributions

Conceptualization, Y.H. and S.R.; methodology, Y.H. and S.R.; software, Y.H.; validation, Y.H. and S.R.; formal analysis, S.R.; investigation, S.R.; resources, S.R.; data curation, S.R.; writing—original draft preparation, Y.H.; writing—review and editing, S.R.; visualization, Y.H.; supervision, S.R. All authors have read and agreed to the published version of the manuscript.

Funding

This research received no external funding.

Data Availability Statement

The data presented in this study are available from the authors upon request.

Conflicts of Interest

The authors declare no conflicts of interest.

References

  1. Yoon, Y.H. The Macroeconomic Implications of the COVID-19 Economic Crisis: The Case of South Korea. Investig. Económica 2021, 80, 5–31. [Google Scholar] [CrossRef]
  2. Kim, D.; Kim, M.; Shim, M. The Macroeconomic Consequences of Stimulating Offline Consumption during COVID-19. Glob. Econ. Rev. 2021, 50, 20–42. [Google Scholar] [CrossRef]
  3. Almeida, H.; Kim, C.-S.; Kim, H.B. Internal Capital Markets in Business Groups: Evidence from the Asian Financial Crisis. J. Financ. 2015, 70, 2539–2586. [Google Scholar] [CrossRef]
  4. Jang, T.-S.; Oh, S. Transition to Sustainable Growth in South Korea: Investment and Trade under Uncertainty. Millenn. Asia 2023, 14, 360–378. [Google Scholar] [CrossRef]
  5. Sawng, Y.; Kim, P.; Park, J. ICT Investment and GDP Growth: Causality Analysis for the Case of Korea. Telecommun. Policy 2021, 45, 102157. [Google Scholar] [CrossRef]
  6. Varona, L.; Gonzales, J.R. Dynamics of the Impact of COVID-19 on the Economic Activity of Peru. PLoS ONE 2021, 16, e0244920. [Google Scholar] [CrossRef] [PubMed]
  7. Huber, C.; Huber, J.; Kirchler, M. Market Shocks and Professionals’ Investment Behavior–Evidence from the COVID-19 Crash. J. Bank. Financ. 2021, 133, 106247. [Google Scholar] [CrossRef] [PubMed]
  8. Furlanetto, F.; Seneca, M. Investment Shocks and Consumption. Eur. Econ. Rev. 2014, 66, 111–126. [Google Scholar] [CrossRef]
  9. Justiniano, A.; Primiceri, G.E.; Tambalotti, A. Investment Shocks and the Relative Price of Investment. Rev. Econ. Dyn. 2011, 14, 102–121. [Google Scholar] [CrossRef]
  10. Denysov, O.; Litvin, N.; Lotariev, A.; Yegorova-Gudkova, T.; Akimova, L.; Akimov, O. Management of State Financial Policy in the Context of the COVID-19 Pandemic. Ad Alta-J. Interdiscip. Res. 2021, 11, 52–57. [Google Scholar]
  11. Wei, X.; Han, L. The Impact of COVID-19 Pandemic on Transmission of Monetary Policy to Financial Markets. Int. Rev. Financ. Anal. 2021, 74, 101705. [Google Scholar] [CrossRef] [PubMed]
  12. Hoang, A.T.; Nižetić, S.; Olcer, A.I.; Ong, H.C.; Chen, W.-H.; Chong, C.T.; Thomas, S.; Bandh, S.A.; Nguyen, X.P. Impacts of COVID-19 Pandemic on the Global Energy System and the Shift Progress to Renewable Energy: Opportunities, Challenges, and Policy Implications. Energy Policy 2021, 154, 112322. [Google Scholar] [CrossRef]
  13. Akrofi, M.M.; Antwi, S.H. COVID-19 Energy Sector Responses in Africa: A Review of Preliminary Government Interventions. Energy Res. Soc. Sci. 2020, 68, 101681. [Google Scholar] [CrossRef]
  14. Yoon, K. Discourse of the Post-COVID 19 New Deal in South Korea. East Asia 2021, 38, 373–388. [Google Scholar] [CrossRef]
  15. Nam, M.; Lee, S. COVID-19 and Employment in South Korea: Trends and Comparison with the 2008 Financial Crisis. Seoul J. Econ. 2021, 34, 43–80. [Google Scholar] [CrossRef]
  16. Cho, D.; Kim, H. Macroeconomic Effects of Uncertainty Shocks: Evidence from Korea. J. Asian Econ. 2023, 84, 101571. [Google Scholar] [CrossRef]
  17. Vom Lehn, C.; Winberry, T. The Investment Network, Sectoral Comovement, and the Changing US Business Cycle. Q. J. Econ. 2022, 137, 387–433. [Google Scholar] [CrossRef]
  18. Hsiao, C.Y.-L.; Jin, T.; Kwok, S.; Wang, X.; Zheng, X. Entrepreneurial Risk Shocks and Financial Acceleration Asymmetry in a Two-Country DSGE Model. China Econ. Rev. 2023, 81, 102006. [Google Scholar] [CrossRef]
  19. Shah, S.A.; Garg, B. Testing Policy Effectiveness during COVID-19: An NK-DSGE Analysis. J. Asian Econ. 2023, 84, 101577. [Google Scholar] [CrossRef] [PubMed]
  20. Kim, J.; Wang, M.; Park, D.; Petalcorin, C.C. Fiscal Policy and Economic Growth: Some Evidence from China. Rev. World Econ. 2021, 157, 555–582. [Google Scholar] [CrossRef]
  21. Martin-Moreno, J.M.; Perez, R.; Ruiz, J. Exploring the Sources of Spanish Macroeconomic Fluctuations: An Estimation of a Small Open Economy DSGE Model. Int. Rev. Econ. Financ. 2016, 45, 417–437. [Google Scholar] [CrossRef]
  22. Goh, S.K.; McNown, R. Macroeconomic Implications of Population Aging: Evidence from Japan. J. Asian Econ. 2020, 68, 101198. [Google Scholar] [CrossRef]
  23. Araújo, E. Investment-Specific Shocks and Real Business Cycles in Emerging Economies: Evidence from Brazil. Econ. Model. 2012, 29, 671–678. [Google Scholar] [CrossRef]
  24. Banerjee, S.; Basu, P. Technology Shocks and Business Cycles in India. Macroecon. Dyn. 2019, 23, 1721–1756. [Google Scholar] [CrossRef]
  25. Kim, M.; Choi, M.J. R&D Spillover Effects on Firms’ Export Behavior: Evidence from South Korea. Appl. Econ. 2019, 51, 3066–3080. [Google Scholar]
  26. Asamoah, M.E.; Adjasi, C.K.; Alhassan, A.L. Macroeconomic Uncertainty, Foreign Direct Investment and Institutional Quality: Evidence from Sub-Saharan Africa. Econ. Syst. 2016, 40, 612–621. [Google Scholar] [CrossRef]
  27. Song, Y.; Hao, F.; Hao, X.; Gozgor, G. Economic Policy Uncertainty, Outward Foreign Direct Investments, and Green Total Factor Productivity: Evidence from Firm-Level Data in China. Sustainability 2021, 13, 2339. [Google Scholar] [CrossRef]
  28. Drechsel, T. Earnings-Based Borrowing Constraints and Macroeconomic Fluctuations. Am. Econ. J. Macroecon. 2023, 15, 1–34. [Google Scholar] [CrossRef]
  29. Boehm, C.E. Government Consumption and Investment: Does the Composition of Purchases Affect the Multiplier? J. Monet. Econ. 2020, 115, 80–93. [Google Scholar] [CrossRef]
  30. Rüth, S.K. Shifts in Monetary Policy and Exchange Rate Dynamics: Is Dornbusch’s Overshooting Hypothesis Intact, after All? J. Int. Econ. 2020, 126, 103344. [Google Scholar] [CrossRef]
  31. Lê, T.H.; Tô, T.T.; Doan, N.T. Welfare Costs of Shifting Trend Inflation: Staggered Wage and Price Contracts. Bull. Econ. Res. 2019, 71, 136–159. [Google Scholar] [CrossRef]
  32. Ida, D.; Okano, M. Delegating Optimal Monetary Policy Inertia in a Small-Open Economy. BE J. Macroecon. 2020, 21, 473–507. [Google Scholar] [CrossRef]
  33. Garga, V.; Singh, S.R. Output Hysteresis and Optimal Monetary Policy. J. Monet. Econ. 2021, 117, 871–886. [Google Scholar] [CrossRef]
  34. Calvo, G.A. Staggered Prices in a Utility-Maximizing Framework. J. Monet. Econ. 1983, 12, 383–398. [Google Scholar] [CrossRef]
  35. Christiano, L.J.; Motto, R.; Rostagno, M. Risk Shocks. Am. Econ. Rev. 2014, 104, 27–65. [Google Scholar] [CrossRef]
  36. He, Y.; Wang, Y. Macroeconomic Effects of COVID-19 Pandemic: Fresh Evidence from Korea. Sustainability 2022, 14, 5100. [Google Scholar] [CrossRef]
  37. He, Y.; Lee, M. Macroeconomic Effects of Energy Price: New Insight from Korea? Mathematics 2022, 10, 2653. [Google Scholar] [CrossRef]
  38. He, Y. Home Production: Does It Matter for the Korean Macroeconomy during the COVID-19 Pandemic? Mathematics 2022, 10, 2029. [Google Scholar] [CrossRef]
  39. Hur, J.; Rhee, W. Multipliers of Expected vs. Unexpected Fiscal Shocks: The Case of Korea. Econ. Model. 2020, 85, 244–254. [Google Scholar] [CrossRef]
  40. He, Y. Unraveling the COVID-19 Pandemic’s Impact on South Korea’s Macroeconomy: Unearthing Novel Transmission Channels within the Energy Sector and Production Technologies. Energies 2023, 16, 3691. [Google Scholar] [CrossRef]
  41. An, S.; Kang, H. Oil Shocks in a DSGE Model for the Korean Economy. In Commodity Prices and Markets; University of Chicago Press: Chicago, IL, USA, 2011; pp. 295–321. [Google Scholar]
  42. Kang, H.; Suh, H. Macroeconomic Dynamics in Korea during and after the Global Financial Crisis: A Bayesian DSGE Approach. Int. Rev. Econ. Financ. 2017, 49, 386–421. [Google Scholar] [CrossRef]
  43. Hwang, Y. Estimation the Natural Output Korea: A Bayesian DSGE Approach. KDI J. Econ. Policy 2009, 31, 1–25. [Google Scholar] [CrossRef][Green Version]
  44. Choi, Y.; Kim, H.; Lee, Y. Economic Consequences of the COVID-19 Pandemic: Will It Be a Barrier to Achieving Sustainability? Sustainability 2022, 14, 1629. [Google Scholar] [CrossRef]
  45. You, J. Lessons from South Korea’s COVID-19 policy response. Am. Rev. Public Adm. 2020, 50, 801–808. [Google Scholar] [CrossRef]
  46. Nirmala, A.R.; Bhalaji RK, A.; Kumar, S.B.; Gnanaraj SJ, P.; Appadurai, M. Study on the effect of COVID-19 pandemic on the savings and investment pattern of the manufacturing sector. Mater. Today Proc. 2022, 68, 1319–1323. [Google Scholar] [CrossRef]
  47. Garcia-Perez-de-Lema, D.; Madrid-Guijarro, A.; Durendez, A. Operating, financial and investment impacts of COVID-19 in SMEs: Public policy demands to sustainable recovery considering the economic sector moderating effect. Int. J. Disaster Risk Reduct. 2022, 75, 102951. [Google Scholar] [CrossRef]
  48. Kramer, A.; Kramer, K.Z. The potential impact of the COVID-19 pandemic on occupational status, work from home, and occupational mobility. J. Vocat. Behav. 2020, 119, 103442. [Google Scholar] [CrossRef]
  49. Tecău, A.S.; Constantin, C.P.; Lixăndroi, R.C.; Chiţu, I.B.; Brătucu, G. Impact of the COVID-19 crisis on heavy work investment in Romania. Amfiteatru Econ. 2020, 22, 1049–1067. [Google Scholar] [CrossRef]
Figure 1. Simulation results: (a) output; and (b) consumption.
Figure 1. Simulation results: (a) output; and (b) consumption.
Mathematics 12 03925 g001
Figure 2. Simulation results: (a) employment; and (b) investment.
Figure 2. Simulation results: (a) employment; and (b) investment.
Mathematics 12 03925 g002
Figure 3. Simulation results: (a) monetary policy; and (b) fiscal policy.
Figure 3. Simulation results: (a) monetary policy; and (b) fiscal policy.
Mathematics 12 03925 g003
Table 1. Results of Bayesian estimation.
Table 1. Results of Bayesian estimation.
ParameterPrior DistributionPosterior Distribution
DistributionMeanStandard ErrorMean90% Confidence Interval
h Beta0.50.10.35[0.21, 0.47]
σ c Gamma1.7730.251.57[1.45, 1.91]
σ L Gamma1.0930.252.02[1.61, 2.42]
ρ R Gamma0.750.20.23[0.06, 0.39]
ρ π Gamma0.5140.250.38[0.21, 0.53]
ρ y Gamma0.4980.250.39[0.21, 0.57]
ρ I t 2 Beta0.50.20.51[0.19, 0.84]
ϵ t I t 2 Inverse gamma0.012 *0.03[0.025, 0.033]
ρ M t 2 Beta0.50.20.63[0.51, 0.76]
ϵ t M t 2 Inverse gamma0.012 *0.014[0.010, 0.017]
ρ G t 2 Beta0.50.20.59[0.52, 0.66]
ϵ t G t 2 Inverse gamma0.012 *0.03[0.025, 0.033]
Note: * The indication of degrees of freedom is a fundamental aspect when considering the inverted gamma function.
Disclaimer/Publisher’s Note: The statements, opinions and data contained in all publications are solely those of the individual author(s) and contributor(s) and not of MDPI and/or the editor(s). MDPI and/or the editor(s) disclaim responsibility for any injury to people or property resulting from any ideas, methods, instructions or products referred to in the content.

Share and Cite

MDPI and ACS Style

He, Y.; Rho, S. Macroeconomic Stabilization in Crisis: The Role of Investment Shocks and Policy Responses in South Korea During COVID-19. Mathematics 2024, 12, 3925. https://doi.org/10.3390/math12243925

AMA Style

He Y, Rho S. Macroeconomic Stabilization in Crisis: The Role of Investment Shocks and Policy Responses in South Korea During COVID-19. Mathematics. 2024; 12(24):3925. https://doi.org/10.3390/math12243925

Chicago/Turabian Style

He, Yugang, and Sungho Rho. 2024. "Macroeconomic Stabilization in Crisis: The Role of Investment Shocks and Policy Responses in South Korea During COVID-19" Mathematics 12, no. 24: 3925. https://doi.org/10.3390/math12243925

APA Style

He, Y., & Rho, S. (2024). Macroeconomic Stabilization in Crisis: The Role of Investment Shocks and Policy Responses in South Korea During COVID-19. Mathematics, 12(24), 3925. https://doi.org/10.3390/math12243925

Note that from the first issue of 2016, this journal uses article numbers instead of page numbers. See further details here.

Article Metrics

Back to TopTop