The Nonlinear Dynamic Response and Vibration Transmission Characteristics of an Unloading System with Granular Materials
Abstract
1. Introduction
2. Coupled Suspension–Tire Model and Incremental Harmonic Balance Method Analysis
2.1. Dynamic Equation of the Coupled Model Under Forced Vibration
2.2. Incremental Harmonic Balance Method Analysis
2.3. Nonlinear Vibration Transmissibility
3. Vibration Performance Analysis and Flow Characteristics Study
3.1. Model and Method Validation
3.2. Influence of Frictional Coefficient on the Dynamic Response
3.3. Influence of External Excitation Amplitude on the Dynamic Response
3.4. Influence of Tire Nonlinearity on the Dynamic Response
3.5. Influence of Mass Ratio on the Dynamic Response
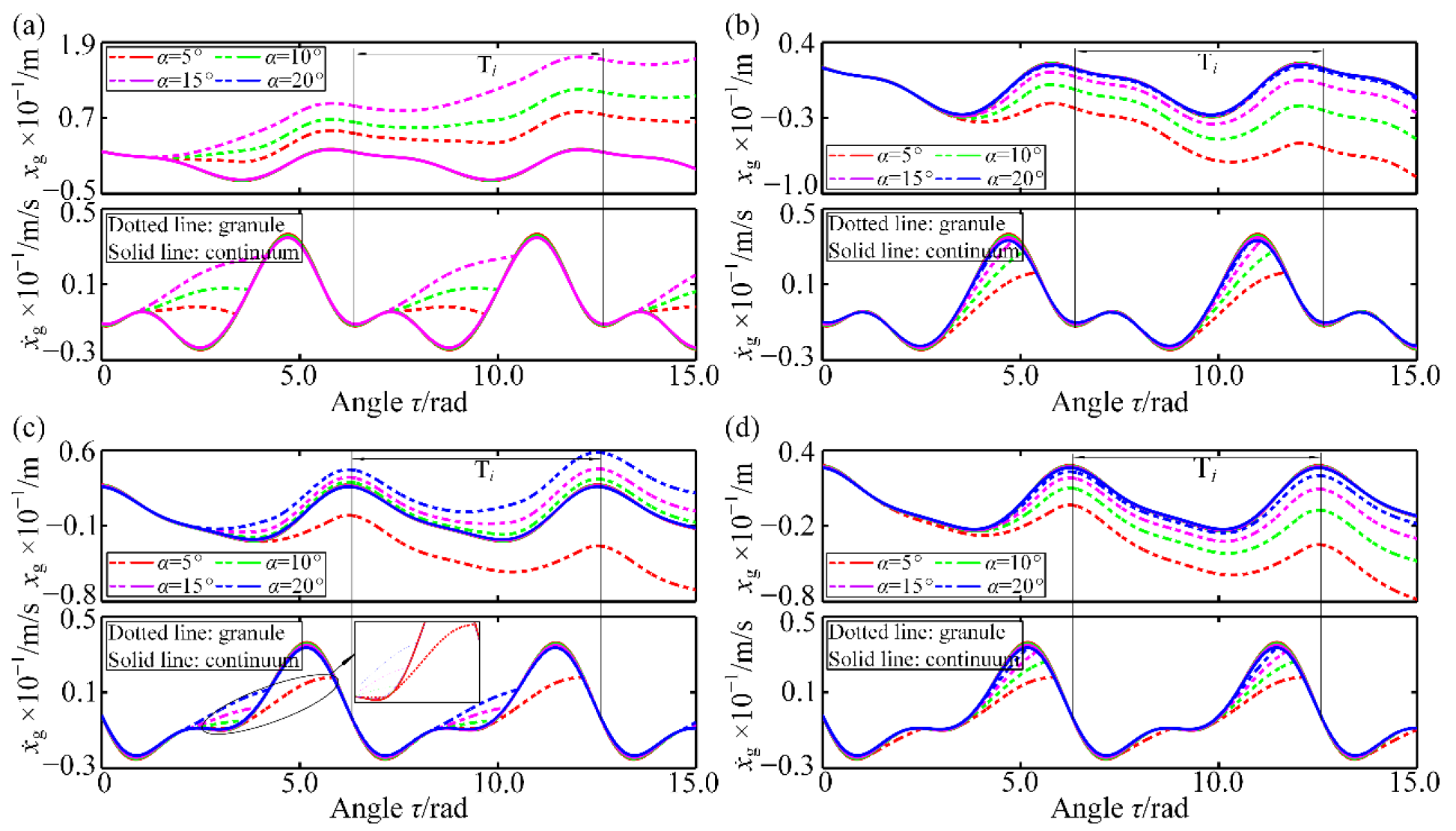
3.6. Influence of Included Angle on the Dynamic Response
4. Conclusions
- (1)
- Due to the influences of the nonlinear factors, the unloading system presents typical softening nonlinear behavior; namely, with increasing external excitation, tire nonlinearity, mass ratio and decreasing inclined angle, the nonlinear resonance frequency Ω2 becomes smaller and the softening nonlinearity is enhanced. In addition, the resonance peak of the nonlinear system is significantly reduced compared to that of the linear system and possible occurrence of subharmonic resonance.
- (2)
- From the force transmissibility curves, it can be found that the TFmax is sensitive to the system parameters in the low excitation frequency region; namely, with increasing external excitation amplitude, tire nonlinearity and mass ratio, the vibration transmission efficiency is slightly reduced. Meanwhile, after the resonance frequency Ω2, the response amplitude of TFmax hardly changes in the higher-frequency region.
- (3)
- Depending on the effect of nonlinear factors, the granules present a variety of different motions, including intermittent sliding, continuous sliding, unidirectional sliding, reciprocating sliding and so on. Furthermore, different motion routes are observed under the same condition, which is caused by the nonlinear vibration of the coupled system. This phenomenon has not been found in other studies.
- (4)
- Based on the premise of avoiding the free sliding of granules, the smaller frictional coefficient and the larger inclined angle contribute to improve unloading efficiency within limits. In addition, the displacement and velocity of granules display an obvious nonlinear correlation relationship with increasing external excitation, tire nonlinearity and mass ratio. Too low or too high values of these may lead to lower unloading efficiency or even a loss of stability in the unloading device. In future research, the precise theoretical model and corresponding experimental measurements will be presented.
Author Contributions
Funding
Data Availability Statement
Conflicts of Interest
References
- Wu, G.Q.; Sheng, Y. Review on the Application of chaos theory in automobile nonlinear system. Chin. J. Mech. Eng. 2010, 46, 81–86. [Google Scholar] [CrossRef]
- Zhou, J.L.; Ren, C.B. Summary of nonlinear dynamics systems of vehicle suspension. Agric. Equip. Veh. Eng. 2010, 1, 3–6. [Google Scholar]
- Liu, Z.; Payre, G.; Bourassa, P. Nonlinear oscillations and chaotic motions in a road vehicle system with driver steering control. Nonlinear Dyn. 1996, 9, 281–304. [Google Scholar] [CrossRef]
- Zhao, H.P.; Huang, H.C.; Li, H.G.; Zhang, J.C. Dynamic characteristics of vehicle suspension with non-linear springs. J. Syst. Simul. 2001, 13, 649–651. [Google Scholar]
- Luo, R.K.; Yu, Z.H.; Wu, P.B.; Hou, Z.C. Analytical solutions of the energy harvesting potential from vehicle vertical vibration based on statistical energy conservation. Energy 2023, 264, 126111. [Google Scholar] [CrossRef]
- Litak, G.; Borowiec, M.; Ali, M.; Saha, L.M.; Friswell, M. Pulsive feedback control of a quarter car model forced by a road profile. Chaos Soliton Fract 2007, 33, 1672–1676. [Google Scholar] [CrossRef]
- Borowiec, M.; Litak, G. Transition to chaos and escape phenomenon in two-degrees-of-freedom oscillator with a kinematic excitation. Nonlinear Dyn. 2012, 70, 1125–1133. [Google Scholar] [CrossRef]
- Naik, R.D.; Singru, P.M. Establishing the limiting conditions of operation of magneto-rheological fluid dampers in vehicle suspension systems. Mech. Res. Commun. 2009, 36, 957–962. [Google Scholar] [CrossRef]
- Siewe, M.S. Resonance, stability and period-doubling bifurcation of a quarter-car model excited by the road surface profile. Phys. Lett. A 2010, 374, 1469–1476. [Google Scholar] [CrossRef]
- Fakhraei, J.; Khanlo, H.M.; Ghayour, M.; Faramarzi, K. The influence of road bumps characteristics on the chaotic vibration of a nonlinear full-vehicle model with driver. Int. J. Bifurc. Chaos 2016, 26, 1650151. [Google Scholar] [CrossRef]
- Zhao, L.L.; Zhou, C.C.; Yu, Y.W.; Yang, F.X. An analytical formula of driver RMS acceleration response for quarter-car considering cushion effects. Veh. Syst. Dyn. 2017, 55, 1283–1296. [Google Scholar] [CrossRef]
- Wang, W.; Song, Y.L. Analytical computation method for steady-state stochastic response of a time-delay nonlinear automotive suspension system. Mech. Syst. Signal Process. 2019, 131, 434–445. [Google Scholar] [CrossRef]
- Pang, H.; Zhang, X.; Chen, J.N.; Liu, K. Design of a coordinated adaptive backstepping tracking control for nonlinear uncertain active suspension system. Appl. Math. Model. 2019, 76, 479–494. [Google Scholar] [CrossRef]
- Chen, Y.X.; Chen, L.; Xu, X.; Wang, R.C.; Yang, X. Chaotic motion in a nonlinear car model excited by multi-frequency road surface profile. Chin. J. Mech. Eng. 2017, 30, 689–697. [Google Scholar] [CrossRef]
- Jia, Q.F.; Yu, W.; Liu, X.J.; Wang, C.M. Dynamic characteristics of bilinear suspension system of vehicle. Eng. Mech. 2005, 22, 88–92. [Google Scholar]
- Li, S.H.; Yang, S.P. Primary resonance of a nonlinear vehicle suspension system using a modified Bingham model. J. Vib. Shock 2006, 25, 109–111. [Google Scholar]
- Yao, J.; Zhang, J.Q.; Zhao, M.M.; Li, X. Analysis of the stability of nonlinear suspension system with slow-varying sprung mass under dual-excitation. J. Sound Vib. 2018, 425, 124–136. [Google Scholar] [CrossRef]
- Yao, J.; Zhang, J.Q.; Zhao, M.M.; Wei, Z.J. Analysis of dynamic stability of nonlinear suspension. Adv. Mech. Eng. 2018, 10, 1–10. [Google Scholar] [CrossRef]
- Silveira, M.; Wahi, P.; Fernandes, J.C.M. Effects of asymmetrical damping on a 2 DOF quarter-car model under harmonic excitation. Commun. Nonlinear Sci. 2017, 43, 14–24. [Google Scholar] [CrossRef]
- Wang, S.; Hua, L.; Yang, C.; Zhang, Y.O.; Tan, X. Nonlinear vibrations of a piecewise-linear quarter-car truck model by incremental harmonic balance method. Nonlinear Dyn. 2018, 92, 1719–1732. [Google Scholar] [CrossRef]
- Zhou, S.H.; Song, G.Q.; Li, Y.M.; Huang, Z.L.; Ren, Z. Dynamic and steady analysis of a 2-DOF vehicle system by modified incremental harmonic balance method. Nonlinear Dynam. 2019, 98, 75–94. [Google Scholar] [CrossRef]
- Zheng, L.; Baz, A. Control of vehicle suspension using a non-linear energy sinks controller. Int. J. Veh. Noise Vib. 2007, 3, 27–45. [Google Scholar] [CrossRef]
- Sun, X.J.; Zhang, H.; Meng, W.J.; Zhang, R.H.; Li, K.; Peng, T. Primary resonance analysis and vibration suppression for the harmonically excited nonlinear suspension system using a pair of symmetric viscoelastic buffers. Nonlinear Dyn. 2018, 94, 1243–1265. [Google Scholar] [CrossRef]
- Silveira, M.; Pontes, J.B.R.; Balthazar, J.M. Use of nonlinear asymmetrical shock absorber to improve comfort on passenger vehicles. J. Sound Vib. 2014, 333, 2114–2129. [Google Scholar] [CrossRef]
- Fernandes, J.C.M.; Goncalves, P.J.P.; Silveira, M. Interaction between asymmetrical damping and geometrical nonlinearity in vehicle suspension systems improves comfort. Nonlinear Dyn. 2020, 99, 1561–1576. [Google Scholar] [CrossRef]
- Burdzik, R. Novel method for research on exposure to nonlinear vibration transferred by suspension of vehicle. Int. J. Non-Linear Mech. 2017, 91, 170–180. [Google Scholar] [CrossRef]
- Shangguan, W.B.; Chen, C.F.; Li, L.P.; Yu, H.; Qi, Z. Analysis of vibration isolation performances of vehicle suspension system based on vibrational power flow method. J. South China Univ. Technol. (Nat. Sci. Ed.) 2017, 45, 23–29. [Google Scholar]
- Silveira, M.; Wahi, P.; Fernandes, J.C.M. Exact and approximate analytical solutions of oscillator with piecewise linear asymmetrical damping. Int. J. Non-Linear Mech. 2019, 110, 115–122. [Google Scholar] [CrossRef]
- Liu, J.Z.; Liu, J.; Zhang, X.L.; Liu, B.L. Transmission and energy-harvesting study for a novel active suspension with simplified 2-DOF multi-link mechanism. Mech. Mach. Theory 2021, 160, 104286. [Google Scholar] [CrossRef]
- Zuo, L.; Zhang, P.S. Energy Harvesting, ride comfort, and road handling of regenerative vehicle suspensions. J. Vib. Acoust. 2013, 135, 011002. [Google Scholar] [CrossRef]
- Kobayakawa, M.; Fujimoto, A.; Sakata, M.; Yasuda, M.; Matsusaka, S. Numerical and theoretical study of particle saltation on an obliquely oscillating plate. Adv. Powder Technol. 2014, 25, 1854–1859. [Google Scholar] [CrossRef]
- Forsström, D.; Jonsén, P. Calibration and validation of a large scale abrasive wear model by coupling DEM-FEM: Local failure prediction from abrasive wear of tipper bodies during unloading of granular material. Eng. Fail. Anal. 2016, 66, 274–283. [Google Scholar] [CrossRef]
- Li, Y.L.; Xu, D.L.; Fu, Y.M.; Zhou, J.X. Nonlinear dynamic analysis of 2-DOF nonlinear vibration isolation floating raft systems with feedback control. Chaos Soliton Fract. 2012, 45, 1092–1099. [Google Scholar] [CrossRef]
- Yang, J.; Xiong, Y.P.; Xing, J.T. Vibration power flow and force transmission behaviour of a nonlinear isolator mounted on a nonlinear base. Int. J. Mech. Sci. 2016, 115, 238–252. [Google Scholar] [CrossRef]
- Wei, C.F.; Taghavifar, H. A novel approach to energy harvesting from vehicle suspension system: Half-vehicle model. Energy 2017, 134, 279–288. [Google Scholar] [CrossRef]
- Zhou, S.H.; Ren, Z.H.; Zhang, Y.C.; Ju, J.Z. Analysis of flow characteristics of granular material unloaded on nonlinear vibration inclined platform. Appl. Math. Model. 2020, 78, 57–74. [Google Scholar] [CrossRef]
- Xiao, W.Q.; Lu, D.J.; Song, L.M.; Guo, H.Q.; Yang, Z. Influence of particle damping on ride comfort of mining dump truck. Mech. Syst. Signal Process. 2020, 136, 1–15. [Google Scholar] [CrossRef]
- D’Ambrosio, E.; Gaudel, N.; Kiesgen de Richter, S. Improving flowability of granular flows down inclines using vibrations and small particles as lubricants. Powder Technol. 2023, 416, 118219. [Google Scholar] [CrossRef]
- Yachai, T.; Preechawuttipong, I.; Jongchansitto, I.; Balandraudv, X. Numerical investigations of the effect of friction and vibrational amplitude on convection phenomena in granular materials under vertical vibrations. Adv. Powder Technol. 2024, 35, 104455. [Google Scholar] [CrossRef]
- Khan, K.U.J.; Xu, W.J. The influencing factors and mechanisms of granular flow dynamics. Powder Technol. 2025, 449, 120376. [Google Scholar] [CrossRef]
- Cheung, Y.K.; Chen, S.H.; Lau, S.L. Application of the incremental harmonic balance method to cubic nonlinearity systems. J. Sound Vib. 1990, 140, 273–286. [Google Scholar] [CrossRef]
- Lau, S.L.; Cheung, Y.K.; Wu, S.Y. Incremental harmonic balance method with multiple timescales for nonlinear aperiodic vibrations. ASE J. Appl. Mech. 1983, 50, 871–876. [Google Scholar] [CrossRef]
- Li, Y.L.; Huang, J.L.; Zhu, W.D. A generalized incremental harmonic balance method by combining a data-driven framework for initial value selection of strongly nonlinear dynamic systems. Int. J. Non-Linear Mech. 2025, 169, 104951. [Google Scholar] [CrossRef]
- Lu, Z.Q.; Brennan, M.J.; Chen, L.Q. On the transmissibilities of nonlinear vibration isolation system. J. Sound Vib. 2016, 375, 28–37. [Google Scholar] [CrossRef]
- Ma, H.W.; Fang, G. Kinematics analysis and experimental investigation of an inclined feeder with horizontal vibration. Proc. Inst. Mech Eng. Part C J. Mech. Eng. Sci. 2016, 230, 3147–3157. [Google Scholar] [CrossRef]
- Sheng, Y.; Wu, G.Q. Quantitative study of automotive nonlinear suspension system based on incremental harmonic balance method. J. Tongji Univ. (Nat. Sci.) 2011, 39, 405–410. [Google Scholar]














| Frequency (rad/s) | Frictional Coefficient | Sliding Angles | ||||||||
|---|---|---|---|---|---|---|---|---|---|---|
| τc1 | τd1 | Δτcd1 | τa | τb | Δτab | τc2 | τd2 | Δτcd2 | ||
| ω = 11.16 | μ = 0.10 | — | — | — | — | — | — | 3.019 | 4.605 | 1.586 |
| μ = 0.15 | — | — | — | 0.489 | 3.439 | 2.950 | — | — | — | |
| μ = 0.20 | — | — | — | 0.614 ↑ | 3.168 ↓ | 2.554 ↓ | — | — | — | |
| μ = 0.25 | — | — | — | 0.701 ↑ | 2.953 ↓ | 2.252 ↓ | — | — | — | |
| ω = 12.36 | μ = 0.10 | — | — | — | 1.000 | 3.730 | 2.730 | 2.956 | 5.202 | 2.246 |
| μ = 0.15 | — | — | — | 1.065 ↑ | 3.548 ↓ | 2.483 ↓ | 3.111 ↑ | 4.953 ↓ | 1.842 ↓ | |
| μ = 0.20 | — | — | — | 1.118 ↑ | 3.401 ↓ | 2.283 ↓ | 3.352 ↑ | 4.597 ↓ | 1.245 ↓ | |
| μ = 0.25 | — | — | — | 1.164 ↑ | 3.278 ↓ | 2.114 ↓ | — | — | — | |
| ω = 14.45 | μ = 0.10 | 1.258 | 1.986 | 0.728 | 2.253 | 3.545 | 1.292 | 3.545 | 5.684 | 2.139 |
| μ = 0.15 | — | — | — | 2.349 ↑ | 3.448 ↓ | 1.099 ↓ | 3.677 ↑ | 5.448 ↓ | 1.771 ↓ | |
| μ = 0.20 | — | — | — | 2.450 ↑ | 3.249 ↓ | 0.799 ↓ | 3.852 ↑ | 5.224 ↓ | 1.372 ↓ | |
| μ = 0.25 | — | — | — | 2.583 ↑ | 2.989 ↓ | 0.406 ↓ | 4.157 ↑ | 4.726 ↓ | 0.569 ↓ | |
| ω = 14.75 | μ = 0.10 | 1.376 | 2.075 | 0.699 | 2.461 | 3.411 | 0.950 | — | — | — |
| 1.376 | 2.075 | 0.699 | — | — | — | 3.561 | 5.685 | 2.124 | ||
| μ = 0.15 | — | — | — | 2.632 ↑ | 3.081 ↓ | 0.449 ↓ | 3.707 ↑ | 5.480 ↓ | 1.773 ↓ | |
| μ = 0.20 | — | — | — | — | — | — | 3.900 ↑ | 5.196 ↓ | 1.296 ↓ | |
| μ = 0.25 | — | — | — | — | — | — | 4.297 ↑ | 4.530 ↓ | 0.233 ↓ | |
| Frequency (rad/s) | Excitation Amplitude (N) | Sliding Angles | ||||||||
|---|---|---|---|---|---|---|---|---|---|---|
| τc1 | τd1 | Δτcd1 | τa | τb | Δτab | τc2 | τd2 | Δτcd2 | ||
| ω = 12.25 | FP = 6.40 × 103 | — | — | — | — | — | — | 3.482 | 3.928 | 0.446 |
| FP = 8.30 × 103 | — | — | — | 0.662 | 3.709 | 3.047 | 3.053 ↓ | 4.838 ↑ | 1.785 ↑ | |
| FP = 10.2 × 103 | — | — | — | 0.966 ↑ | 3.727 ↑ | 2.761 ↓ | 2.931 ↓ | 5.191 ↑ | 2.260 ↑ | |
| ω = 13.55 | FP = 6.40 × 103 | — | — | — | 1.492 | 3.653 | 2.161 | 3.523 | 4.933 | 1.410 |
| FP = 8.30 × 103 | — | — | — | 1.652 ↑ | 3.766 ↑ | 2.114 ↓ | 3.378 ↓ | 5.383 ↑ | 2.005 ↑ | |
| FP = 10.2 × 103 | 0.832 | 1.719 | 0.887 | 1.738 ↑ | 3.891 ↑ | 2.153 ↑ | — | — | — | |
| 0.832 | 1.719 | 0.887 | — | — | — | 3.352 ↓ | 5.631 ↑ | 2.279 ↑ | ||
| ω = 14.65 | FP = 6.40 × 103 | — | — | — | 3.797 | 4.919 | 1.122 | |||
| FP = 8.30 × 103 | — | — | — | 2.462 | 3.185 | 0.723 | 3.602 ↓ | 5.449 ↑ | 1.847 ↑ | |
| FP = 10.2 × 103 | — | — | — | 2.387 ↓ | 3.521 ↑ | 1.134 ↑ | 3.556 ↓ | 5.707 ↑ | 2.151 ↑ | |
| 1.304 | 2.133 | 0.829 | — | — | — | 3.556 | 5.707 | 2.151 | ||
| ω = 15.25 | FP = 6.40 × 103 | — | — | — | — | — | — | 3.807 | 4.865 | 1.058 |
| FP = 8.30 × 103 | — | — | — | — | — | — | 3.585 ↓ | 5.441 ↑ | 1.856 ↑ | |
| FP = 10.2 × 103 | 1.451 | 2.390 | 0.939 | — | — | — | 3.504 ↓ | 5.710 ↑ | 2.206 ↑ | |
| Frequency (rad/s) | Tire Nonlinearity | Sliding Angles | ||||||||
|---|---|---|---|---|---|---|---|---|---|---|
| τc1 | τd1 | Δτcd1 | τa | τb | Δτab | τc2 | τd2 | Δτcd2 | ||
| ω = 12.15 | KTQ = 6.00 × 105 | — | — | — | — | — | — | 2.945 | 4.727 | 1.782 |
| KTQ = 9.15 × 105 | — | — | — | — | — | — | 2.926 ↓ | 4.950 ↑ | 2.024 ↑ | |
| KTQ = 12.3 × 105 | — | — | — | 0.913 | 3.728 | 2.815 | 2.924 ↓ | 5.135 ↑ | 2.211 ↑ | |
| ω = 13.55 | KTQ = 6.00 × 105 | — | — | — | 1.452 | 3.264 | 1.812 | 3.202 | 5.300 | 2.098 |
| KTQ = 9.15 × 105 | — | — | — | 1.657 ↑ | 3.646 ↑ | 1.989 ↑ | 3.283 ↑ | 5.481 ↑ | 2.198 ↑ | |
| KTQ = 12.3 × 105 | 0.837 | 1.706 | 0.869 | 1.738 ↑ | 3.900 ↑ | 2.162 ↑ | — | — | — | |
| 0.837 | 1.706 | 0.869 | — | — | — | 3.360 ↑ | 5.623 ↑ | 2.263 ↑ | ||
| ω = 14.35 | KTQ = 6.00 × 105 | — | — | — | — | — | — | 3.308 | 5.380 | 2.072 |
| KTQ = 9.15 × 105 | — | — | — | 2.275 | 3.271 | 0.996 | 3.452 ↑ | 5.559 ↑ | 2.107 ↑ | |
| KTQ = 12.3 × 105 | 1.192 | 2.017 | 0.825 | 2.195 ↓ | 3.716 ↑ | 1.521 ↑ | — | — | — | |
| 1.192 | 2.017 | 0.825 | — | — | — | 3.543 ↑ | 5.694 ↑ | 2.151 ↑ | ||
| ω = 15.85 | KTQ = 6.00 × 105 | 1.617 | 2.835 | 1.218 | — | — | — | 3.436 | 5.716 | 2.280 |
| KTQ = 9.15 × 105 | 2.002 ↑ | 2.558 ↓ | 0.556 ↓ | — | — | — | 3.094 ↓ | 5.618 ↓ | 2.524 ↑ | |
| KTQ = 12.3 × 105 | 2.271 ↑ | 5.585 ↑ | 3.314 ↑ | — | — | — | — | — | — | |
| Frequency (rad/s) | Mass Ratio | Sliding Angle | ||||||||
|---|---|---|---|---|---|---|---|---|---|---|
| τc1 | τd1 | Δτcd1 | τa | τb | Δτab | τc2 | τd2 | Δτcd2 | ||
| ω = 10.55 | μb = 3.33 | 3.631 | 4.144 | 0.513 | — | — | — | — | — | — |
| μb = 3.78 | 3.622 ↓ | 4.011 ↓ | 0.389 ↓ | — | — | — | — | — | — | |
| μb = 4.22 | 3.316 ↓ | 4.249 ↑ | 0.933 ↑ | — | — | — | — | — | — | |
| ω = 12.45 | μb = 3.33 | — | — | — | 0.487 | 3.684 | 3.197 | 2.835 | 4.971 | 2.136 |
| μb = 3.78 | — | — | — | 0.877 ↑ | 3.696 ↑ | 2.819 ↓ | 2.903 ↑ | 5.146 ↑ | 2.243 ↑ | |
| μb = 4.22 | — | — | — | 1.253 ↑ | 3.811 ↑ | 2.558 ↓ | 3.086 ↑ | 5.349 ↑ | 2.263 ↑ | |
| ω = 13.95 | μb = 3.33 | 0.740 | 0.860 | 0.120 | 1.283 | 3.742 | 2.459 | — | — | — |
| 0.740 | 0.860 | 0.120 | — | — | — | 3.043 | 5.491 | 2.448 | ||
| μb = 3.78 | 0.863 ↑ | 1.675 ↑ | 0.812 ↑ | 1.740 ↑ | 3.853 ↑ | 2.113 ↓ | — | — | — | |
| 0.863 | 1.675 | 0.812 | — | — | — | 3.339 ↑ | 5.638 ↑ | 2.990 ↑ | ||
| μb = 4.22 | 1.225 ↑ | 1.903 ↑ | 0.678 ↓ | 2.177 ↑ | 3.729 ↓ | 1.552 ↓ | — | — | — | |
| 1.225 | 1.903 | 0.678 | — | — | — | 3.557 ↑ | 5.652 ↑ | 2.095 ↓ | ||
| ω = 15.35 | μb = 3.33 | 1.064 | 1.977 | 0.913 | 2.038 | 3.707 | 1.699 | — | — | — |
| 1.064 | 1.977 | 0.913 | — | — | — | 3.416 | 4.643 | 1.227 | ||
| μb = 3.78 | 1.411 ↑ | 2.227 ↑ | 0.816 ↓ | 2.667 ↑ | 3.086 ↓ | 0.419 ↓ | 3.527 ↑ | 5.722 ↑ | 2.195 ↑ | |
| μb = 4.22 | 1.663 ↑ | 2.558 ↑ | 0.895 ↑ | — | — | — | 3.485 ↓ | 5.659 ↓ | 2.174 ↓ | |
| Frequency (rad/s) | Inclined Angle (°) | Sliding Angles | ||||||||
|---|---|---|---|---|---|---|---|---|---|---|
| τc1 | τd1 | Δτcd1 | τa | τb | Δτab | τc2 | τd2 | Δτcd2 | ||
| ω = 12.25 | α = 5° | — | — | — | 1.056 | 3.397 | 2.341 | 2.793 | 5.421 | 2.628 |
| α = 10° | — | — | — | 0.928 ↓ | 3.716 ↑ | 2.788 ↑ | 2.944 ↑ | 5.133 ↓ | 2.189 ↓ | |
| α = 15° | — | — | — | 0.735 ↓ | 4.185 ↑ | 3.450 ↑ | 3.127 ↑ | 4.830 ↓ | 1.703 ↓ | |
| α = 20° | — | — | — | — | — | — | 3.387 ↑ | 4.411 ↓ | 1.024 ↓ | |
| ω = 14.45 | α = 5° | — | — | — | 2.432 | 3.280 | 0.848 | 3.410 | 4.271 | 0.861 |
| 1.094 | 2.517 | 1.423 | — | — | — | 3.410 | 4.271 | 0.861 | ||
| α = 10° | 1.289 ↑ | 1.915 ↓ | 0.626 ↓ | 2.253 ↓ | 3.622 ↑ | 1.369 ↑ | — | — | — | |
| 1.289 | 1.915 | 0.626 | — | — | — | 3.546 ↑ | 5.667 ↓ | 2.121 ↑ | ||
| α = 15° | — | — | — | 2.098 ↓ | 3.910 ↑ | 1.812 ↑ | — | — | — | |
| — | — | — | — | — | — | 3.684 ↑ | 5.445 ↓ | 1.761 ↓ | ||
| α = 20° | — | — | — | 1.929 ↓ | 4.220 ↑ | 2.291 ↑ | — | — | — | |
| — | — | — | — | — | — | 3.841 ↑ | 5.181 ↓ | 1.340 ↓ | ||
| Increasing Parameter | Softening Nonlinearity Ω2 | Main Resonance Peak Ω2 | ||||
|---|---|---|---|---|---|---|
| y1 | yb | TF | y1 | yb | TF | |
| μ | ― | ― | ― | ― | ― | ― |
| FP | ↑ | ↑ | ↑ | ↑ | ↑ | ↑ |
| KTQ | ↑ | ↑ | ↑ | ↓ | Slight ↓ | ↓ |
| μb | ↑ | ↑ | ↑ | ↑ | ↑ | ↑ |
| α | Slight ↓ | Slight ↓ | Slight ↓ | Slight ↓ | ↓ | Slight ↓ |
Disclaimer/Publisher’s Note: The statements, opinions and data contained in all publications are solely those of the individual author(s) and contributor(s) and not of MDPI and/or the editor(s). MDPI and/or the editor(s) disclaim responsibility for any injury to people or property resulting from any ideas, methods, instructions or products referred to in the content. |
© 2024 by the authors. Licensee MDPI, Basel, Switzerland. This article is an open access article distributed under the terms and conditions of the Creative Commons Attribution (CC BY) license (https://creativecommons.org/licenses/by/4.0/).
Share and Cite
Zhou, S.; Wang, Y.; Ji, K.; Li, X.; Chen, Y.; Ren, Z. The Nonlinear Dynamic Response and Vibration Transmission Characteristics of an Unloading System with Granular Materials. Mathematics 2024, 12, 3888. https://doi.org/10.3390/math12243888
Zhou S, Wang Y, Ji K, Li X, Chen Y, Ren Z. The Nonlinear Dynamic Response and Vibration Transmission Characteristics of an Unloading System with Granular Materials. Mathematics. 2024; 12(24):3888. https://doi.org/10.3390/math12243888
Chicago/Turabian StyleZhou, Shihua, Yue Wang, Kaibo Ji, Xuan Li, Yu Chen, and Zhaohui Ren. 2024. "The Nonlinear Dynamic Response and Vibration Transmission Characteristics of an Unloading System with Granular Materials" Mathematics 12, no. 24: 3888. https://doi.org/10.3390/math12243888
APA StyleZhou, S., Wang, Y., Ji, K., Li, X., Chen, Y., & Ren, Z. (2024). The Nonlinear Dynamic Response and Vibration Transmission Characteristics of an Unloading System with Granular Materials. Mathematics, 12(24), 3888. https://doi.org/10.3390/math12243888
