Adaptive Iterative Learning Tracking Control for Nonlinear Teleoperators with Input Saturation
Abstract
1. Introduction
- (1)
- To relax the strict requirement for the application of ILC, we introduce a composite energy function as a tool for analyzing the stability under the alignment condition, which extends the results presented in [20,23,27,30]. Verification of the boundedness, non-increasing, and convergence properties is carried out successively.
- (2)
- By expanding the preliminary work in [29,30,31], we propose a dual-loop AILC scheme for teleoperation systems. A D-type ILC loop is nested within a main loop constructed by the controller and system states. The proposed AILC accounts for parametric uncertainties, external disturbances, input saturation, and time delay.
- (3)
- In comparison with [10,14,29], two adaptive laws are provided to deal with the uncertainties of the system parameters in an online manner while rejecting external disturbances. To compensate for the nonlinear input saturation, a Softsign activation function is designed with the saturation constraint property. Ultimately, the position errors simultaneously converge to 0 in both the time and iteration domains.
2. Preliminaries and Problem Description
2.1. Dynamics of Teleoperation Systems
- . Positive definiteness: For any , the inertia matrix is uniformly positive definite, i.e., two positive constants and ensure that
- . Skew-symmetric property: The Coriolis and centrifugal matrix can be appropriately selected such that is skew-symmetric.
- . Linear in parameter: For any differentiable vector , the dynamics can be linearly parameterized such thatwhere represents an unknown constant vector of the manipulator physical parameters and the regressor is the map of known functions.
- . Boundness of Coriolis forces: The Coriolis forces are bounded as ∃ such that
2.2. Description of the Softsign Activation Function
2.3. Input Constraint
- ([39]). Input saturation: For the vector , the saturation input function follows
3. Adaptive Iterative Learning Controller Design
- Part A: Boundedness Property.
- Part B: Non-increasing Property.
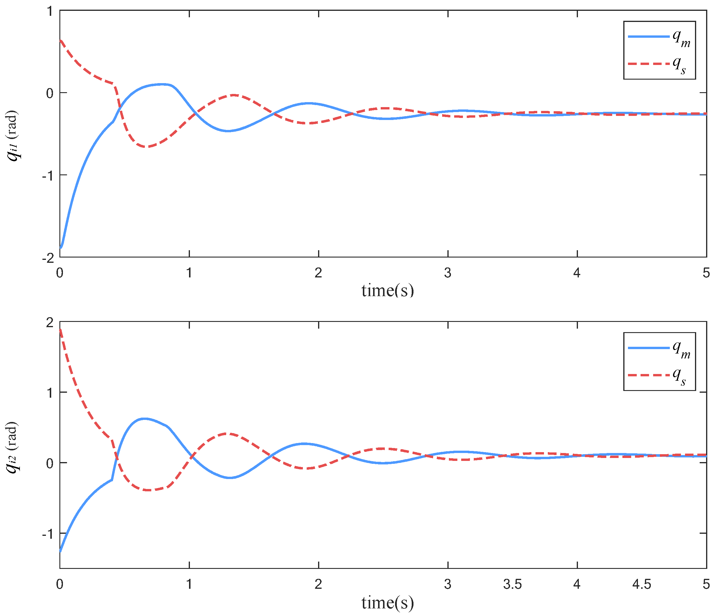
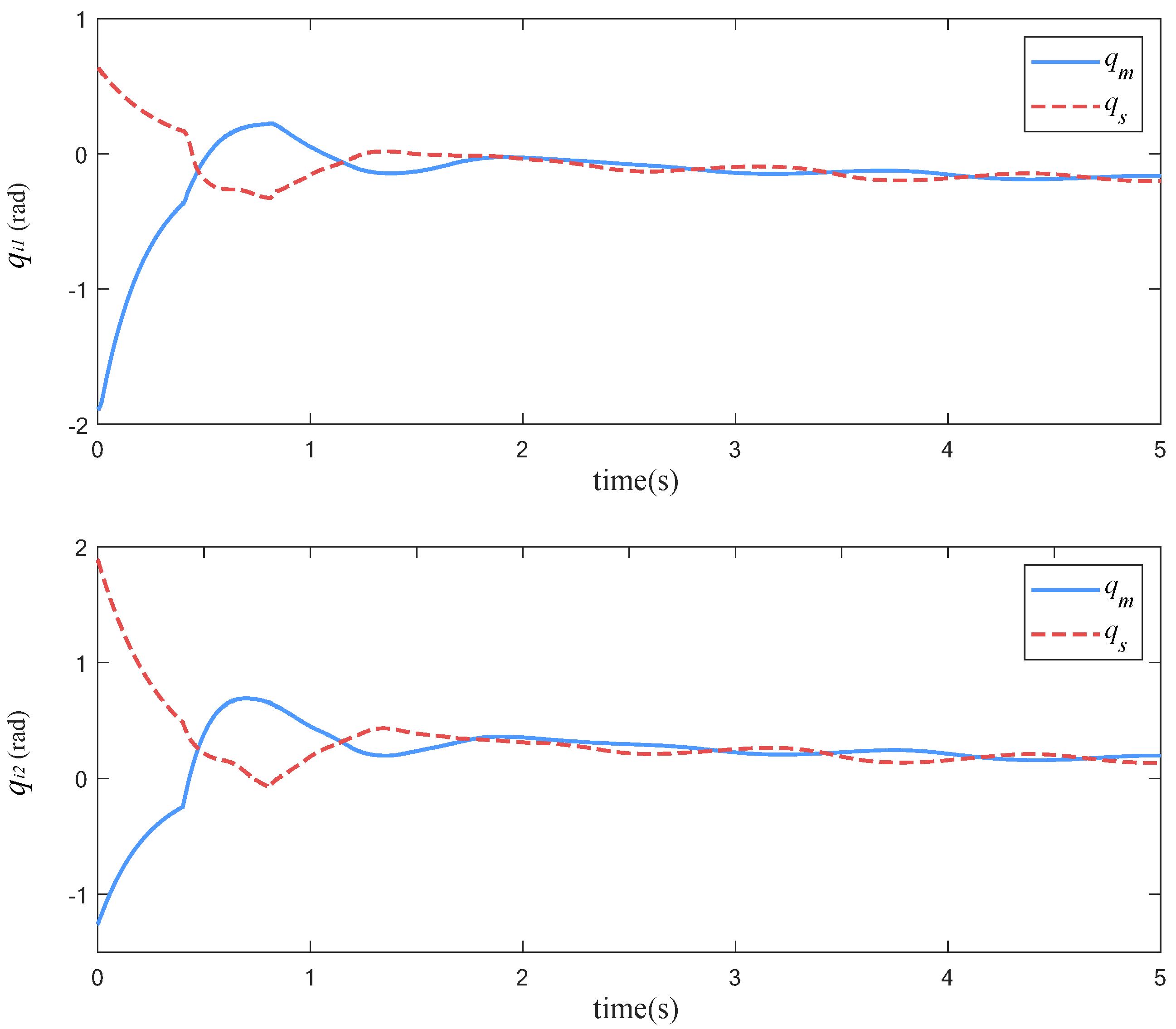
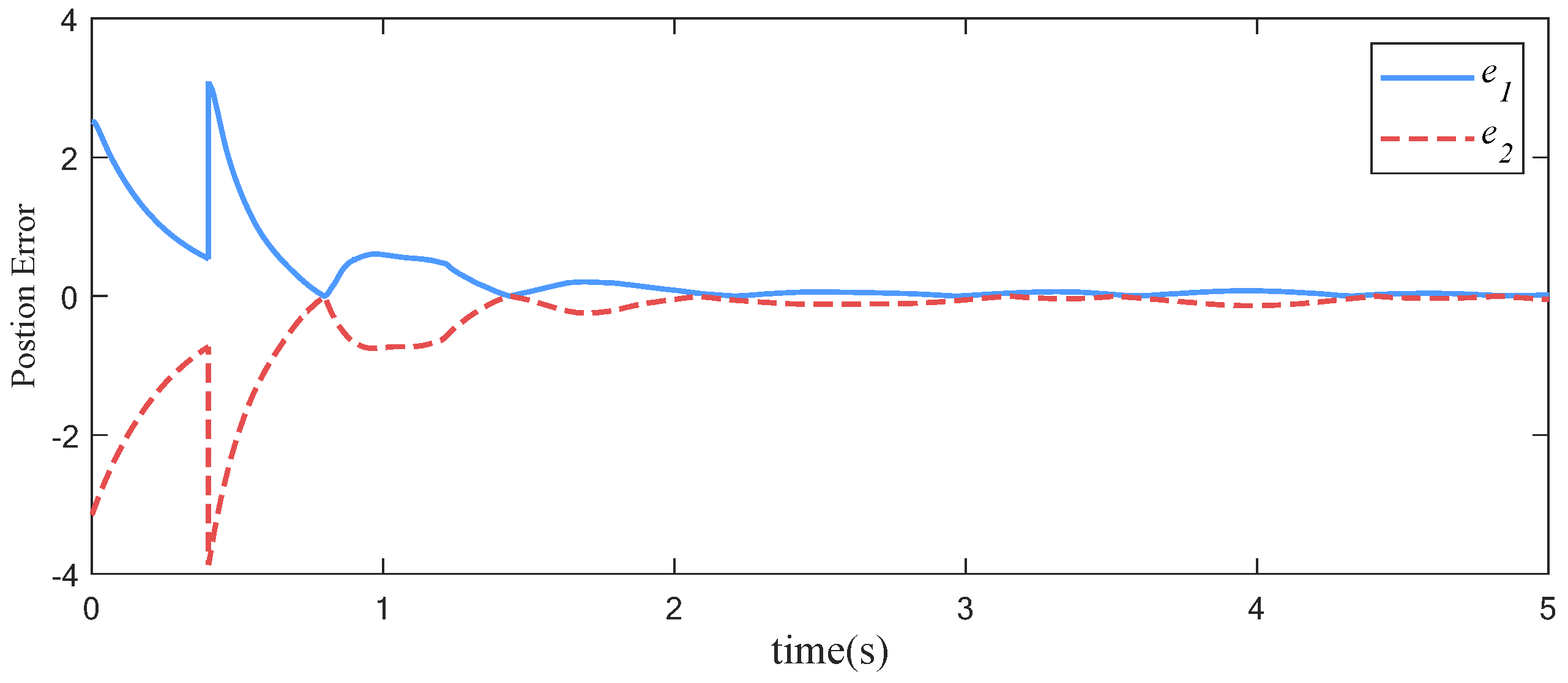
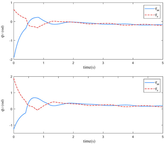
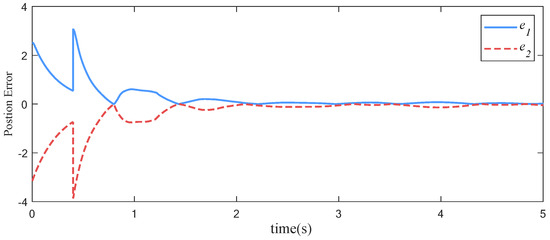
4. Simulation Results
5. Conclusions
Author Contributions
Funding
Institutional Review Board Statement
Informed Consent Statement
Data Availability Statement
Conflicts of Interest
Abbreviations
| AILC | Adaptive Iterative Learning Control |
| PD | Proportional–Derivative |
| ILC | Iterative Learning Control |
| DOF | Degree of Freedom |
| RMS | Root Mean Square |
References
- Allard, P. A Virtual Environment for Training Space Station Teleoperators; McGill University: Montreal, QC, Canada, 1997. [Google Scholar]
- Banerjee, P.; Muschter, E.; Singh, H.; Weber, B.; Hulin, T. Towards a VR Evaluation Suite for Tactile Displays in Telerobotic Space Missions. In Proceedings of the IEEE Aerospace Conference, Big Sky, MT, USA, 4–11 March 2023. [Google Scholar]
- Wapler, M.; Urban, V.; Weisener, T.; Stallkamp, J.; Dürr, M.; Hiller, A. A Stewart platform for precision surgery. Trans. Inst. Meas. Control. 2003, 25, 329–334. [Google Scholar] [CrossRef]
- Joaquin, C. Digital Twin-Based Bilateral Teleautonomous System for Nuclear Remote Operation; UKRI: Swindon, UK, 2019. [Google Scholar]
- Urban, V.; Wapler, M.; Neugebauer, J.; Hiller, A.; Stallkamp, J.; Weisener, T. Robot-assisted surgery system with kinesthetic feedback. Comput. Aided Surg. Off. J. Int. Soc. Comput. Aided Surg. 1998, 3, 205–209. [Google Scholar] [CrossRef]
- Lin, T.C.; Krishnan, A.U.; Li, Z.; IEEE. Physical Fatigue Analysis of Assistive Robot Teleoperation via Whole-body Motion Mapping. In Proceedings of the IEEE/RSJ International Conference on Intelligent Robots and Systems (IROS), Macau, China, 4–8 November 2019; pp. 2240–2245. [Google Scholar]
- Liu, Y.C.; Chopra, N. Control of semi-autonomous teleoperation system with time delays. Automatica 2013, 49, 1553–1565. [Google Scholar] [CrossRef]
- Paik, P.; Thudi, S.; Atashzar, S.F. Power-Based Velocity-Domain Variable Structure Passivity Signature Control for Physical Human-(Tele)Robot Interaction. IEEE Trans. Robot. 2023, 39, 386–398. [Google Scholar] [CrossRef]
- Guajardo-Benavides, E.J.; Arteaga, M.A. On the finite time force estimation for bilateral teleoperation of robot manipulators with time varying delays. Control. Eng. Pract. 2023, 138, 105622. [Google Scholar] [CrossRef]
- Bounemeur, A.; Chemachema, M. Active Adaptive Fuzzy Fault-Tolerant Control for a Class of Nonlinear Systems with Actuator Faults; Springer: Singapore, 2021; pp. 985–999. [Google Scholar]
- Aldana, C.I.; Garcia-López, K.; Nuño, E.; Cruz-Zavala, E. Task-Space Teleoperation with Time-Delays and Without Velocity Measurements via a Bounded Controller. IEEE Control. Syst. Lett. 2023, 7, 1141–1146. [Google Scholar] [CrossRef]
- Wang, Y.K.; Liu, Z.X.; Sun, M.W.; Wang, Z.H.; Chen, Z.Q. Adaptive Backstepping Attitude Control with Disturbance Rejection Subject to Amplitude and Rate Saturations of the Elevator. J. Aerosp. Eng. 2017, 30, 04016095. [Google Scholar] [CrossRef]
- Nuño, E.; Basañez, L.; Ortega, R.; Spong, M.W. Position Tracking for Non-linear Teleoperators with Variable Time Delay. Int. J. Robot. Res. 2009, 28, 895–910. [Google Scholar] [CrossRef]
- Bounemeur, A.; Chemachema, M. Optimal adaptive fuzzy fault-tolerant control applied on a quadrotor attitude stabilization based on particle swarm optimization. Proc. Inst. Mech. Eng. Part I J. Syst. Control. Eng. 2023, 238, 704–719. [Google Scholar] [CrossRef]
- Bao, J.G.; Fu, L.Y.; Zhang, H.C.; Zhang, A.C.; Guo, W.H.; Chen, T.S. An Adaptive Proportional Plus Damping Control for Teleoperation Systems with Asymmetric Time-Varying Communication Delays. Mathematics 2022, 10, 4675. [Google Scholar] [CrossRef]
- Zhang, H.C.; Song, A.G.; Li, H.J.; Shen, S.B. Novel Adaptive Finite-Time Control of Teleoperation System with Time-Varying Delays and Input Saturation. IEEE Trans. Cybern. 2021, 51, 3724–3737. [Google Scholar] [CrossRef]
- Hashemzadeh, F.; Hassanzadeh, I.; Tavakoli, M. Teleoperation in the presence of varying time delays and sandwich linearity in actuators. Automatica 2013, 49, 2813–2821. [Google Scholar] [CrossRef]
- Pourseifi, M.; Rezaei, S. Adaptive control for position and force tracking of uncertain teleoperation with actuators saturation and asymmetric varying time delays. Int. J. Nonlinear Sci. Numer. Simul. 2024, 24, 3113–3132. [Google Scholar] [CrossRef]
- Yu, Q.X.; Hou, Z.S.; Xu, J.X. D-Type ILC Based Dynamic Modeling and Norm Optimal ILC for High-Speed Trains. IEEE Trans. Control. Syst. Technol. 2018, 26, 652–663. [Google Scholar] [CrossRef]
- Tayebi, A. Adaptive iterative learning control for robot manipulators. In Proceedings of the Annual American Control Conference (ACC 2003), Denver, CO, USA, 4–6 June 2003; pp. 4518–4523. [Google Scholar]
- Bristow, D.A.; Tharayil, M.; Alleyne, A.G. A survey of iterative learning control. IEEE Control. Syst. Mag. 2006, 26, 96–114. [Google Scholar] [CrossRef]
- Ahn, H.S.; Chen, Y.; Moore, K.L. Iterative learning control: Brief survey and categorization. IEEE Trans. Syst. Man Cybern. Part C Appl. Rev. 2007, 37, 1099–1121. [Google Scholar] [CrossRef]
- Xu, J.X. A survey on iterative learning control for nonlinear systems. Int. J. Control. 2011, 84, 1275–1294. [Google Scholar] [CrossRef]
- Shen, D.; Wang, Y.Q. Survey on stochastic iterative learning control. J. Process. Control. 2014, 24, 64–77. [Google Scholar] [CrossRef]
- Norrlöf, M. An adaptive iterative learning control algorithm with experiments on an industrial robot. IEEE Trans. Robot. Autom. 2002, 18, 245–251. [Google Scholar] [CrossRef]
- Wang, D.; Soh, Y.C.; Cheah, C.C. Robust motion and force control of constrained manipulators by learning. Automatica 1995, 31, 257–262. [Google Scholar] [CrossRef]
- Yan, W.; Sun, M. Time-varying neural networks based indirect adaptive ILC for discrete-time varying nonlinear systems. In Proceedings of the 29th Chinese Control Conference, Beijing, China, 29–31 July 2010; pp. 2060–2065. [Google Scholar]
- Xu, Q.Y.; Li, Y.; Cheng, J.; Xiao, T.F. Discrete-time Adaptive ILC for Uncertain Systems with Unknown Nonlinear Dead Zone Inputs and Control Directions. In Proceedings of the 9th IEEE Data Driven Control and Learning Systems Conference (DDCLS), Liuzhou, China, 20–22 November 2020; pp. 923–928. [Google Scholar]
- Yang, N.; Li, J. Distributed iterative learning coordination control for leader–follower uncertain non-linear multi-agent systems with input saturation. IET Control. Theory Appl. 2019, 13, 2252–2260. [Google Scholar] [CrossRef]
- Sun, M.X.; Wang, D.W. Iterative learning control with initial rectifying action. Automatica 2002, 38, 1177–1182. [Google Scholar] [CrossRef]
- Sun, M.; Ge, S.S.; Mareels, I.M.Y. Adaptive repetitive learning control of robotic manipulators without the requirement for initial repositioning. IEEE Trans. Robot. 2006, 22, 563–568. [Google Scholar] [CrossRef]
- Yang, S.; Xu, J.-X. Leader–follower synchronisation for networked Lagrangian systems with uncertainties: A learning approach. Int. J. Syst. Sci. 2016, 47, 956–965. [Google Scholar] [CrossRef]
- Bounemeur, A.; Chemachema, M.; Zahaf, A.; Bououden, S. Adaptive Fuzzy Fault-Tolerant Control Using Nussbaum Gain for a Class of SISO Nonlinear Systems with Unknown Directions; Springer: Singapore, 2021; pp. 493–510. [Google Scholar]
- Spong, M.W.; Hutchinson, S. Robot Modeling and Control, 2nd ed.; John Wiley, Sons: New York, NY, USA, 2006. [Google Scholar]
- Slotine, J.-J.E.; Li, W. Applied Nonlinear Control; Pearson: London, UK, 1991. [Google Scholar]
- Merat, F. Introduction to robotics: Mechanics and control. IEEE J. Robot. Autom. 1987, 3, 166. [Google Scholar] [CrossRef]
- He, W.; Meng, T.; He, X.; Ge, S.S. Unified iterative learning control for flexible structures with input constraints. Automatica 2018, 96, 326–336. [Google Scholar] [CrossRef]
- Li, J.; Zhuang, S.; Wang, H.; Deng, J.; Mao, Y. Design of Backstepping Control Based on a Softsign Linear–Nonlinear Tracking Differentiator for an Electro-Optical Tracking System. Photonics 2024, 11, 156. [Google Scholar] [CrossRef]
- Xu, J.-X.; Tan, Y.; Lee, T.-H. Iterative learning control design based on composite energy function with input saturation. Automatica 2003, 6, 5129–5134. [Google Scholar] [CrossRef]
- Mohammadi, H.; Rezapour, S.; Jajarmi, A. On the Fractional Sird Mathematical Model and Control for the Transmission of COVID-19: The First and the Second Waves of the Disease in Iran and Japan. ISA Trans. 2022, 124, 103–114. [Google Scholar] [CrossRef]
- Baleanu, D.; Jajarmi, A.; Sajjadi, S.; Mozyrska, D. A New Fractional Model and Optimal Control of a Tumor-Immune Surveillance with Non-Singular Derivative Operator. Chaos Interdiscip. J. Nonlinear Sci. 2019, 29, 083127. [Google Scholar] [CrossRef] [PubMed]
- Bounemeur, A.; Chemachema, M.; Essounbouli, N. Robust Indirect Adaptive Fuzzy Control Using Nussbaum Gain for a Class of Siso Nonlinear Systems with Unknown Directions. In Proceedings of the 2014 15th International Conference on Sciences and Techniques of Automatic Control and Computer Engineering (STA), Hammamet, Tunisia, 21–23 December 2014. [Google Scholar]








Disclaimer/Publisher’s Note: The statements, opinions and data contained in all publications are solely those of the individual author(s) and contributor(s) and not of MDPI and/or the editor(s). MDPI and/or the editor(s) disclaim responsibility for any injury to people or property resulting from any ideas, methods, instructions or products referred to in the content. |
© 2024 by the authors. Licensee MDPI, Basel, Switzerland. This article is an open access article distributed under the terms and conditions of the Creative Commons Attribution (CC BY) license (https://creativecommons.org/licenses/by/4.0/).
Share and Cite
Wu, B.; Chen, X.; Huang, J.; Wen, J.; Liu, J.; Wang, F.; Zhang, J. Adaptive Iterative Learning Tracking Control for Nonlinear Teleoperators with Input Saturation. Mathematics 2024, 12, 2384. https://doi.org/10.3390/math12152384
Wu B, Chen X, Huang J, Wen J, Liu J, Wang F, Zhang J. Adaptive Iterative Learning Tracking Control for Nonlinear Teleoperators with Input Saturation. Mathematics. 2024; 12(15):2384. https://doi.org/10.3390/math12152384
Chicago/Turabian StyleWu, Bochun, Xinhao Chen, Jinshan Huang, Jiawen Wen, Jiakun Liu, Fujie Wang, and Jianing Zhang. 2024. "Adaptive Iterative Learning Tracking Control for Nonlinear Teleoperators with Input Saturation" Mathematics 12, no. 15: 2384. https://doi.org/10.3390/math12152384
APA StyleWu, B., Chen, X., Huang, J., Wen, J., Liu, J., Wang, F., & Zhang, J. (2024). Adaptive Iterative Learning Tracking Control for Nonlinear Teleoperators with Input Saturation. Mathematics, 12(15), 2384. https://doi.org/10.3390/math12152384

