Spatial Durbin Model with Expansion Using Casetti’s Approach: A Case Study for Rainfall Prediction in Java Island, Indonesia
Abstract
1. Introduction
2. Materials and Methods
2.1. Inverse Distance Weight Matrix
- is the latitude of the location, ,
- is the longitude location,
- is the latitude of the jth location, j = 1, 2, 3, …, N, and
- is the longitude of the location.
2.2. Moran Index
- There is no spatial autocorrelation between locations, vs.
- There is spatial autocorrelation between locations,
- With .
- is the Moran Index value,
- is the number of observation locations,
- is the value of the observation variable at the ith location,
- is the value of the observation variable at jth location,
- is the average of the number of variables, and
- is an element of the standardized weight matrix between locations and .
- Decision Rule:
2.3. Spatial Durbin Model
- is the vector of dependent variables of size (n × 1),
- is the matrix of independent variables of size (n × k),
- = ,
- = ,
- is the spatial lag coefficient of the dependent variable,
- is the constant parameter,
- is the vector of regression parameters of size (k × 1),
- is the spatial lag parameter vector of covariate variable of size (k × 1),
- is the spatial weight matrix of size (n × n), and
- is the error vector of size (n × 1).
2.4. Spatial Expansion with Casetti’s Approach
- is the vector of dependent variables of size .
- is the matrix of independent variables of size .
- is the location information that contains elements representing the latitude and longitude of each observation, of size .
- is the expansion of the identity matrix of size .
- is the matrix of size contains parameter estimators for all explanatory variables at each observation.
- is the parameter expressed by of size .
- is the Kronecker product.
- is the error vector of size .
- is the location matrix with .
2.5. Spatial Durbin Model with Expansion Using Casetti’s Approach
2.6. Parameter Estimation
2.7. Mean Absolute Percentage Error (MAPE)
2.8. Knowledge Discovery in Databases Methodology
3. Real Data Application
3.1. Research Location
3.2. Data Description
3.3. RShiny for SDM with Expansion Using Casetti’s Approach
- Description of model: This section explains the formulation of the SDM with expansion using Casetti’s approach.
- Import data: In this section, users can upload data files in .csv or .txt format. The data should contain the coordinate of location (latitude and longitude), dependent variable and exogenous variables.
- Vector and matrixConstruct vectors and matrices based on the data, as follows:
- a.
- Vector defines the dependent variable at each location.
- b.
- Matrix and represent the exogenous variables.
- c.
- Matrix consists of location coordinate entries in latitude and longitude.
- d.
- Matrix is an identity matrix with a size of as many as four exogenous variables according to the matrix or matrix .
- e.
- Matrix is the result of calculating the inverse distance weight matrix using the equation with input location coordinates (latitude and longitude).
- f.
- Kronecker is the expression obtained from the multiplication of the Kronecker with the identity matrix of exogenous variables .
- g.
- Matrix is the product of matrix , , and .
- h.
- Matrix is the combination of vector 1, matrix , and the product of matrix and .
- Result of prediction: This includes the calculation of results of parameter estimation , , , and obtaining the prediction results , absolute error, and MAPE.
- Download data: This menu allows users to download the prediction calculation data.
- Created by: This section lists the names of the RShiny development team.
3.4. KDD for SDM with Expansion Using Casetti’s Approach
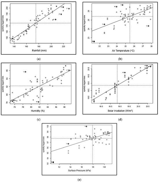
3.5. Result of Moran’s Index and Scatterplot
3.6. Prediction Result of SDM with Expansion Using Casetti’s Approach
4. Discussion
5. Conclusions
6. Patents
Author Contributions
Funding
Data Availability Statement
Acknowledgments
Conflicts of Interest
Appendix A
| No | Locations | SDM with Expansion Using Casetti’s Approach for Predicting Rainfall |
|---|---|---|
| 1 | Serang City | |
| 2 | Pandeglang | |
| 3 | Tangerang City | |
| 4 | South Tangerang City | |
| 5 | Kepulauan Seribu | |
| 6 | Central Jakarta | |
| 7 | Bekasi City | |
| 8 | Bogor City | |
| 9 | Indramayu | |
| 10 | Karawang | |
| … | … | … |
| 64 | Ponorogo |
Appendix B
References
- Gunawan, D. Peta Curah Hujan Ekstrem Indonesia Periode 1991–2020; BMKG: Jakarta, Indonesia, 2022. [Google Scholar]
- Nurlatifah, A.; Hatmaja, R.B.; Rakhman, A.A. Analisis Potensi Kejadian Curah Hujan Ekstrem di Masa Mendatang Sebagai Dampak dari Perubahan Iklim di Pulau Jawa Berbasis Model Iklim Regional CCAM. J. Ilmu Lingkung. 2023, 21, 980–986. [Google Scholar] [CrossRef]
- Kasa, A.N.G. Buletin Informasi Iklim November, No. 2. 2023; BMKG: Jakarta, Indonesia, 2023. [Google Scholar]
- Kartika, Q.A.; Faqih, A.; Santikayasa, I.P.; Setiawan, A.M. Sea Surface Temperature Anomaly Characteristics Affecting Rainfall in Western Java, Indonesia. Agromet 2023, 37, 54–65. [Google Scholar] [CrossRef]
- Aldrian, E.; Susanto, R.D. Identification of three dominant rainfall regions within Indonesia and their relationship to sea surface temperature. Int. J. Clim. 2003, 23, 1435–1452. [Google Scholar] [CrossRef]
- Lee, H.S. General Rainfall Patterns in Indonesia and the Potential Impacts of Local Seas on Rainfall Intensity. Water 2015, 7, 1751–1768. [Google Scholar] [CrossRef]
- Aldrian, E. Pemahaman Dinamika Iklim di Negara Kepulauan Indonesia Sebagai Modalitas Ketahanan Bangsa. J. Ilmu Pertan. Indones. 2016, 27, 606–613. [Google Scholar]
- BMKG. Pemutakhiran Zona Musim Indonesia Periode 1991–2020; BMKG: Jakarta, Indonesia, 2022; p. 126. [Google Scholar]
- SDGs Indonesia. Sustainable Development Goals (SDGs)-Tujuan 13; SDGs Indonesia: Jakarta, Indonesia, 2021. [Google Scholar]
- Hatfield, G. Spatial statistics. In Practical Mathematics for Precision Farming; SSSA: Madison, WI, USA, 2018; pp. 75–104. [Google Scholar] [CrossRef]
- Stohlgren, T.J. Spatial Analysis and Modeling. In Measuring Plant Diversity: Lessons from the Field; Oxford Academic: Oxford, UK, 2007; pp. 254–270. [Google Scholar] [CrossRef]
- Triyatno, T.; Berd, I.; Idris. Spatial Model of Flood Hazard Due To Land Cover Change in the Tarusan Watershed, West Sumatra—Indonesia. Int. J. GEOMATE 2023, 25, 21–29. [Google Scholar] [CrossRef]
- Bonsoms, J.; Ninyerola, M. Comparison of linear, generalized additive models and machine learning algorithms for spatial climate interpolation. Theor. Appl. Clim. 2024, 155, 1777–1792. [Google Scholar] [CrossRef]
- Anna, A.N.; Fikriyah, V.N.; Ibrahim, M.H.; Ismail, K.; Pamekar, M.S.; Asshodiq, A.D.T. Spatial Modelling of Local Flooding for Hazard Mitigation in Surakarta, Indonesia. Int. J. GEOMATE 2021, 21, 145–152. [Google Scholar] [CrossRef]
- Jalbert, J.; Genest, C.; Perreault, L. Interpolation of Precipitation Extremes on a Large Domain Toward IDF Curve Construction at Unmonitored Locations. J. Agric. Biol. Environ. Stat. 2022, 27, 461–486. [Google Scholar] [CrossRef]
- Falah, A.N.; Ruchjana, B.N.; Abdullah, A.S.; Rejito, J. The Hybrid Modeling of Spatial Autoregressive Exogenous Using Casetti’ s Model Approach for the Prediction of Rainfall. Mathematics 2023, 11, 3783. [Google Scholar] [CrossRef]
- Hermawan, E.; Lubis, S.W.; Harjana, T.; Purwaningsih, A.; Risyanto; Ridho, A.; Andarini, D.F.; Ratri, D.N.; Widyaningsih, R. Large-Scale Meteorological Drivers of the Extreme Precipitation Event and Devastating Floods of Early-February 2021 in Semarang, Central Java, Indonesia. Atmosphere 2022, 13, 1092. [Google Scholar] [CrossRef]
- Anselin, L. Spatial Econometrics: Methods and Models. J. Am. Stat. Assoc. 1988, 85, 905. [Google Scholar]
- LeSage, J. Spatial Econometrics Toolbox. In A Companion to Theoretical Econometrics; Blackwell: Oxford, UK, 1999; p. 273. [Google Scholar]
- Lu, G.Y.; Wong, D.W. An adaptive inverse-distance weighting spatial interpolation technique. Comput. Geosci. 2008, 34, 1044–1055. [Google Scholar] [CrossRef]
- Maria, E.; Budiman, E.; Haviluddin; Taruk, M. Measure distance locating nearest public facilities using Haversine and Euclidean Methods. J. Phys. Conf. Ser. 2020, 1450, 12080. [Google Scholar] [CrossRef]
- Rosmanah, R.; Djara, V.A.D.; Andriyana, Y.; Jaya, I.G.N.M. The spatial econometrics of economic growth in Sumatera Utara province. J. Math. Comput. Sci. 2022, 12, 7283. [Google Scholar] [CrossRef]
- Notonegoro, Y.; Andriyana, Y.; Ruchjana, B.N. Comparison of distance-based spatial weight matrix in modeling Internet signal strengths in Tasikmalaya regency using logistic spatial autoregressive model. Int. J. Data Netw. Sci. 2024, 8, 893–906. [Google Scholar] [CrossRef]
- Kopczewska, K. Applied Spatial Statistics and Econometrics; Routledge: London, UK, 2020. [Google Scholar]
- Lesage, J.; Pace, R.K. Introduction to Spatial Econometrics; CRC Press: Boca Raton, FL, USA, 2009. [Google Scholar]
- Ord, K. Estimation Methods for Models of Spatial Interaction. J. Am. Stat. Assoc. 1975, 70, 120. [Google Scholar] [CrossRef]
- Smirnov, O.; Anselin, L. Fast maximum likelihood estimation of very large spatial autoregressive models: A characteristic polynomial approach. Comput. Stat. Data Anal. 2001, 35, 301–319. [Google Scholar] [CrossRef]
- Robinson, P.M.; Rossi, F. Refinements in maximum likelihood inference on spatial autocorrelation in panel data. J. Econ. 2015, 189, 447–456. [Google Scholar] [CrossRef]
- Qiu, F.; Ding, H.; Hu, J. Asymptotic Properties of Quasi-Maximum Likelihood Estimators for Heterogeneous Spatial Autoregressive Models. Symmetry 2022, 14, 1894. [Google Scholar] [CrossRef]
- Ezcurra, R.; Le Gallo, J.; Abate, G.D.; Chasco, C.; González-Val, R.; Elhorst, J.P. Theory and Practice of Spatial Econometrics. Spat. Econ. Anal. 2015, 10, 400. [Google Scholar] [CrossRef]
- Lawrence, K.D.; Klimberg, R.K.; Lawrence, S.M. Fundamentals of Forecasting Using Excel; Industrial Press Inc.: New York, NY, USA, 2009. [Google Scholar]
- Ishwarappa; Anuradha, J. A brief introduction on big data 5Vs characteristics and hadoop technology. Procedia Comput. Sci. 2015, 48, 319–324. [Google Scholar] [CrossRef]
- Rohit, R.; Kapil, N.K.; Sandeep, K.; Ramya, L.K. Data Mining and Machine Learning Applications; Wiley-Scrivener: New York, NY, USA, 2022. [Google Scholar]
- Qin, Y.; Zhang, P.; Liu, W.; Guo, Z.; Xue, S. The application of elevation corrected MERRA2 reanalysis ground surface temperature in a permafrost model on the Qinghai-Tibet Plateau. Cold Reg. Sci. Technol. 2020, 175, 103067. [Google Scholar] [CrossRef]
- Zhang, C.; Hu, C.; Wu, T.; Zhu, L.; Liu, X. Achieving Efficient and Privacy-Preserving Neural Network Training and Prediction in Cloud Environments. IEEE Trans. Dependable Secur. Comput. 2022, 20, 4245–4257. [Google Scholar] [CrossRef]
- Hu, C.; Zhang, C.; Lei, D.; Wu, T.; Liu, X.; Zhu, L. Achieving Privacy-Preserving and Verifiable Support Vector Machine Training in the Cloud. IEEE Trans. Inf. Forensics Secur. 2023, 18, 3476–3491. [Google Scholar] [CrossRef]





| No. | Locations | Latitude | Longitude | Climate Variables (Averages) | ||||
|---|---|---|---|---|---|---|---|---|
| Rainfall (mm) | Air Temperature (°C) | Humidity (%) | Solar Irradiation (W/m2) | Surface Pressure (kPa) | ||||
| 1 | Serang City | −6.15 | 106 | 166.53 | 27.08 | 81.47 | 17.63 | 100.51 |
| 2 | Pandeglang | −6.3092 | 106.1047 | 173.91 | 25.49 | 84.50 | 17.63 | 98.27 |
| 3 | Tangerang City | −6.171389 | 106.640556 | 175.80 | 27.20 | 81.44 | 17.63 | 100.81 |
| 4 | South Tangerang City | −6.28577727 | 106.7122607 | 178.34 | 24.66 | 85.15 | 17.63 | 96.82 |
| 5 | Kepulauan Seribu | −5.662900 | 106.568300 | 202.67 | 27.80 | 80.03 | 18.25 | 100.96 |
| 6 | Central Jakarta | −6.170000 | 106.820000 | 175.80 | 27.20 | 81.44 | 17.63 | 100.81 |
| 7 | Bekasi City | −6.241586 | 106.992416 | 175.80 | 27.20 | 81.44 | 17.63 | 100.81 |
| 8 | Bogor City | −6.899541 | 107.533867 | 178.34 | 24.66 | 85.15 | 17.63 | 96.82 |
| 9 | Indramayu | −6.327583 | 108.324936 | 184.87 | 26.40 | 80.98 | 18.75 | 99.66 |
| 10 | Karawang | −6.32273 | 107.337579 | 190.09 | 25.25 | 83.46 | 18.28 | 97.86 |
| … | … | … | … | … | … | … | … | … |
| 64 | Ponorogo | −7.8686 | 111.4619 | 163.89 | 24.98 | 82.55 | 19.48 | 97.43 |
| No | Climate Variables | p-Value | |||
|---|---|---|---|---|---|
| 1 | (rainfall) | 0.703 | −0.016 | 0.004 | * |
| 2 | (air temperature) | 0.376 | −0.016 | 0.004 | * |
| 3 | (humidity) | 0.527 | −0.016 | 0.004 | * |
| 4 | (solar irradiation) | 0.806 | −0.015 | 0.005 | * |
| 5 | (surface pressure) | 0.337 | −0.016 | 0.004 | * |
| Coefficient | Parameter Estimated Value | ||
|---|---|---|---|
| (air temperature) | −7.994 | 11.969 | |
| 17.524 | |||
| (humidity) | 2.312 | −0.227 | |
| 7.295 | |||
| (solar irradiation) | −0.570 | −6.869 | |
| −0.570 | |||
| (surface pressure) | 0.191 | −8.393 | |
| 0.456 | |||
Disclaimer/Publisher’s Note: The statements, opinions and data contained in all publications are solely those of the individual author(s) and contributor(s) and not of MDPI and/or the editor(s). MDPI and/or the editor(s) disclaim responsibility for any injury to people or property resulting from any ideas, methods, instructions or products referred to in the content. |
© 2024 by the authors. Licensee MDPI, Basel, Switzerland. This article is an open access article distributed under the terms and conditions of the Creative Commons Attribution (CC BY) license (https://creativecommons.org/licenses/by/4.0/).
Share and Cite
Andriyana, Y.; Falah, A.N.; Ruchjana, B.N.; Sulaiman, A.; Hermawan, E.; Harjana, T.; Lim-Polestico, D.L. Spatial Durbin Model with Expansion Using Casetti’s Approach: A Case Study for Rainfall Prediction in Java Island, Indonesia. Mathematics 2024, 12, 2304. https://doi.org/10.3390/math12152304
Andriyana Y, Falah AN, Ruchjana BN, Sulaiman A, Hermawan E, Harjana T, Lim-Polestico DL. Spatial Durbin Model with Expansion Using Casetti’s Approach: A Case Study for Rainfall Prediction in Java Island, Indonesia. Mathematics. 2024; 12(15):2304. https://doi.org/10.3390/math12152304
Chicago/Turabian StyleAndriyana, Yudhie, Annisa Nur Falah, Budi Nurani Ruchjana, Albertus Sulaiman, Eddy Hermawan, Teguh Harjana, and Daisy Lou Lim-Polestico. 2024. "Spatial Durbin Model with Expansion Using Casetti’s Approach: A Case Study for Rainfall Prediction in Java Island, Indonesia" Mathematics 12, no. 15: 2304. https://doi.org/10.3390/math12152304
APA StyleAndriyana, Y., Falah, A. N., Ruchjana, B. N., Sulaiman, A., Hermawan, E., Harjana, T., & Lim-Polestico, D. L. (2024). Spatial Durbin Model with Expansion Using Casetti’s Approach: A Case Study for Rainfall Prediction in Java Island, Indonesia. Mathematics, 12(15), 2304. https://doi.org/10.3390/math12152304

