Improved Beluga Whale Optimization for Solving the Simulation Optimization Problems with Stochastic Constraints
Abstract
1. Introduction
2. Literature Review
3. Integrating Beluga Whale Optimization and Ordinal Optimization
3.1. Mathematical Formulation
3.2. Polynomial Chaos Expansion
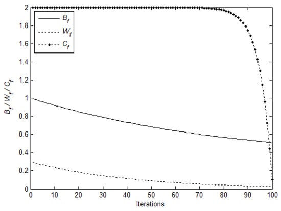
3.3. Improved Beluga Whale Optimization
| Algorithm 1: The IBWO |
| Step 1: Configuration of parameters Set parameters to , , , , , , , and . Create an index variable and initialize it to 0. Step 2: Initialize the population Initialization of a population with beluga whales. Step 3: Ranking
Step 4: Modify three algorithmic parameters Step 5: Exploration and exploitation If , perform exploration. Else if , perform exploitation. Step 6: Whale fall If , Step 7: Replace elitism Compute and cooperated with PCE and adopt the greedy approach between and . If , set . Step 8: Termination If , terminate; else, set and return to Step 2. |
3.4. Advanced Optimal Computing Budget Allocation
| Algorithm 2: The AOCBA |
| Step 1. Define the values of , set , , , and calculate the available computational effort . Step 2. Add a one-time incremental computing budget to , and update the replications. Step 3. Perform incremental replications of to the nth candidate, and calculate the incremental mean () and incremental standard deviation (). Step 4. Compute the updated mean () and updated standard deviation () of the th candidate for overall replications. |
3.5. The BWOO Algorithm
| Algorithm 3: The BWOO |
| Step 1: Define the values of , , , , , , , , , , , and . Step 2: Randomly select ’s from the search space, evaluate using exact evaluation, and train the PCE offline using these designs. Step 3: Generate ’s to be the initial population, then apply the IBWO algorithm to those beluga whales that cooperated with PCE. After the IBWO algorithm terminates, rank all the final ’s based on their approximate fitness from the lowest to the highest, and choose the prior ’s to construct a candidate subset. Step 4: Apply the AOCBA algorithm to the candidates and determine the optimum , which is the superior design. |
4. Optimal Staffing Cost in the Emergency Department Healthcare
4.1. Emergency Department Healthcare
4.2. Application of the BWOO Method
4.2.1. Constitute the Emulator
4.2.2. Construct the Candidate Subset
4.2.3. Find the Superior Design
5. Practical Applications
5.1. Practical Example
5.2. Performance Comparison
6. Conclusions and Outlooks
Author Contributions
Funding
Institutional Review Board Statement
Informed Consent Statement
Data Availability Statement
Conflicts of Interest
Nomenclature
| A design vector | |
| Deterministic cost function | |
| The expectations of the ith constrained function | |
| I | Number of constraints (unit) |
| Pre-specified requirement values | |
| Lower bound | |
| Upper bound | |
| Sample mean | |
| L | Number of replications (unit) |
| Estimation of the th replication | |
| Penalty factor | |
| Penalized cost function | |
| Quadratic penalty function | |
| The replications of the exact evaluation (unit) | |
| Penalized cost function through an exact evaluation | |
| P | The number of PCE terms (unit) |
| Expansion coefficients | |
| Multivariate orthogonal polynomial basis functions | |
| Hermite polynomials | |
| Number of training samples (unit) | |
| Mapping vector of the expansion coefficients | |
| Bf | Balance factor between exploration and exploitation |
| Wf | Probability of whale fall (percentage) |
| Cf | Jump strength of Levy flight |
| Total number of beluga whales (unit) | |
| Maximum number of iterations (unit) | |
| The position of the ith beluga whale at iteration t | |
| The position of a randomly selected beluga whale at iteration t | |
| The position of the elite beluga whale | |
| The lower bound of Bf | |
| The upper bound of Bf | |
| The lower bound of Wf | |
| The upper bound of Wf | |
| The lower bound of Cf | |
| The upper bound of Cf | |
| LF | Levy flight function |
| The available computational effort (units) | |
| Number of candidates (unit) | |
| The essential replications (units) | |
| The replications allocated to the nth candidate (units) | |
| Δ | A one-time incremental computational effort |
| A speed-up factor | |
| Incremental mean | |
| Incremental standard deviation | |
| Updated mean for overall replications | |
| The updated standard deviation for overall replications | |
| The arrival interval rate of a patient (1/unit time) | |
| A design vector | |
| Average waiting time of critical patients (time unit) | |
| Average waiting time of treatment patients (time unit) | |
| Number of randomly chosen samples (unit) | |
| A representative subset | |
| The rank of a superior design in |
References
- Ta, T.A.; Mai, T.; Bastin, F.; L’Ecuyer, P. On a multistage discrete stochastic optimization problem with stochastic constraints and nested sampling. Math. Program. 2021, 190, 1–37. [Google Scholar] [CrossRef]
- Lu, X.N.; Peng, Z.L.; Zhang, Q.; Yang, S.L. Event-based optimization approach for solving stochastic decision problems with probabilistic constraint. Optim. Lett. 2021, 15, 569–590. [Google Scholar] [CrossRef]
- Latour, A.L.D.; Babaki, B.; Fokkinga, D.; Anastacio, M.H.; Hoos, H.H.; Nijssen, S. Exact stochastic constraint optimisation with applications in network analysis. Artif. Intell. 2022, 304, 103650. [Google Scholar] [CrossRef]
- Ho, Y.C.; Zhao, Q.C.; Jia, Q.S. Ordinal Optimization: Soft Optimization for Hard Problems; Springer: New York, NY, USA, 2007. [Google Scholar]
- Long, T.; Jia, Q.S.; Wang, G.M.; Yang, Y. Efficient real-time EV charging scheduling via ordinal optimization. IEEE Trans. Smart Grid 2021, 2, 4029–4038. [Google Scholar] [CrossRef]
- Horng, S.C.; Lee, C.T. Integration of ordinal optimization with ant lion optimization for solving the computationally expensive simulation optimization problems. Appl. Sci. 2021, 11, 136. [Google Scholar] [CrossRef]
- Horng, S.C.; Lin, S.S. Coupling elephant herding with ordinal optimization for solving the stochastic inequality constrained optimization problems. Appl. Sci. 2020, 10, 2075. [Google Scholar] [CrossRef]
- Horng, S.C.; Lin, S.S. Ordinal optimization to optimize the job-shop scheduling under uncertain processing times. Arab. J. Sci. Eng. 2022, 47, 9659–9671. [Google Scholar] [CrossRef]
- Horng, S.C.; Lin, S.S. Incorporate seagull optimization into ordinal optimization for solving the constrained binary simulation optimization problems. J. Supercomput. 2023, 79, 5730–5758. [Google Scholar] [CrossRef]
- Liu, Y.; Zhao, G.; Li, G.; He, W.X.; Zhong, C.T. Analytical robust design optimization based on a hybrid surrogate model by combining polynomial chaos expansion and Gaussian kernel. Struct. Multidiscip. Optim. 2022, 65, 335. [Google Scholar] [CrossRef]
- Yao, W.; Zheng, X.H.; Zhang, J.; Wang, N.G.; Tang, G.J. Deep adaptive arbitrary polynomial chaos expansion: A mini-data-driven semi-supervised method for uncertainty quantification. Reliab. Eng. Syst. Saf. 2023, 229, 108813. [Google Scholar] [CrossRef]
- Geiersbach, C.; Loayza-Romero, E.; Welker, K. Stochastic approximation for optimization in shape spaces. SIAM J. Optim. 2021, 31, 348–376. [Google Scholar] [CrossRef]
- Zhou, X.J.; Wang, X.Y.; Huang, T.W.; Yang, C.H. Hybrid intelligence assisted sample average approximation method for chance constrained dynamic optimization. IEEE Trans. Industr. Inform. 2021, 17, 6409–6418. [Google Scholar] [CrossRef]
- Yu, C.L.; Lahrichi, N.; Matta, A. Optimal budget allocation policy for tabu search in stochastic simulation optimization. Comput. Oper. Res. 2023, 150, 106046. [Google Scholar] [CrossRef]
- Cheng, D.L. Water allocation optimization and environmental planning with simulated annealing algorithms. Math. Probl. Eng. 2022, 2022, 2281856. [Google Scholar] [CrossRef]
- Zhang, Q.B.; Yang, S.X.; Liu, M.; Liu, J.X.; Jiang, L. A new crossover mechanism for genetic algorithms for Steiner tree optimization. IEEE Trans. Cybern. 2022, 52, 3147–3158. [Google Scholar] [CrossRef]
- Xu, H.Q.; Gu, S.; Fan, Y.C.; Li, X.S.; Zhao, Y.F.; Zhao, J.; Wang, J.J. A strategy learning framework for particle swarm optimization algorithm. Inf. Sci. 2023, 619, 126–152. [Google Scholar] [CrossRef]
- Wang, Y.; Liu, Z.; Wang, G.G. Improved differential evolution using two-stage mutation strategy for multimodal multi-objective optimization. Swarm Evol. Comput. 2023, 78, 101232. [Google Scholar] [CrossRef]
- Daneshyar, S.A.; Charkari, N.M. Biogeography based optimization method for robust visual object tracking. Appl. Soft Comput. 2022, 122, 108802. [Google Scholar] [CrossRef]
- Beccaria, M.; Niccolai, A.; Zich, R.E.; Pirinoli, P. Shaped-beam reflectarray design by means of social network optimization (SNO). Electronics 2021, 10, 744. [Google Scholar] [CrossRef]
- Tang, J.; Liu, G.; Pan, Q.T. A review on representative swarm intelligence algorithms for solving optimization problems: Applications and trends. IEEE/CAA J. Autom. Sin. 2021, 8, 1627–1643. [Google Scholar] [CrossRef]
- Chopraa, N.; Ansarib, M.M. Golden jackal optimization: A novel nature-inspired optimizer for engineering applications. Expert Syst. Appl. 2022, 198, 116924. [Google Scholar] [CrossRef]
- Zamani, H.; Nadimi-Shahraki, M.H.; Gandomi, A.H. Starling murmuration optimizer: A novel bio-inspired algorithm for global and engineering optimization. Comput. Methods Appl. Mech. Eng. 2022, 392, 114616. [Google Scholar] [CrossRef]
- Braik, M.; Hammouri, A.; Atwan, J.; Al-Betar, M.A.A.; Awadallah, M.A. White shark optimizer: A novel bio-inspired meta-heuristic algorithm for global optimization problems. Knowl.-Based Syst. 2022, 243, 18457. [Google Scholar] [CrossRef]
- Zhao, S.J.; Zhang, T.R.; Ma, S.L.; Chen, M. Dandelion Optimizer: A nature-inspired metaheuristic algorithm for engineering applications. Eng. Appl. Artif. Intell. 2022, 114, 105075. [Google Scholar] [CrossRef]
- Ahwazian, A.; Amindoust, A.; Tavakkoli-Moghaddam, R.; Nikbakht, M. Search in forest optimizer: A bioinspired metaheuristic algorithm for global optimization problems. Soft Comput. 2022, 26, 2325–2356. [Google Scholar] [CrossRef]
- Hashim, F.A.; Hussien, A.G. Snake Optimizer: A novel meta-heuristic optimization algorithm. Knowl.-Based Syst. 2022, 242, 108320. [Google Scholar] [CrossRef]
- Zhong, C.T.; Li, G.; Meng, Z. Beluga whale optimization: A novel nature-inspired metaheuristic algorithm. Knowl.-Based Syst. 2022, 251, 109215. [Google Scholar] [CrossRef]
- Sasanfar, S.; Bagherpour, M.; Moatari-Kazerouni, A. Improving emergency departments: Simulation-based optimization of patients waiting time and staff allocation in an Iranian hospital. Int. J. Healthc. Manag. 2021, 14, 1449–1456. [Google Scholar] [CrossRef]
- Wang, H.X.; Xie, F.; Li, J.; Miu, F. Modelling, simulation and optimisation of medical enterprise warehousing process based on FlexSim model and greedy algorithm. Int. J. Bio-Inspired Comput. 2022, 19, 59–66. [Google Scholar] [CrossRef]
- Meng, Y.Z.; Chen, R.R.; Deng, T.H. Two-stage robust optimization of power cost minimization problem in gunbarrel natural gas networks by approximate dynamic programming. Pet. Sci. 2022, 19, 2497–2517. [Google Scholar] [CrossRef]
- Dey, B.K.; Seok, H. Intelligent inventory management with autonomation and service strategy. J. Intell. Manuf. 2022. [Google Scholar] [CrossRef] [PubMed]
- Estrin, R.; Friedlander, M.P.; Orban, D.; Saunders, M.A. Implementing a smooth exact penalty function for equality-constrained nonlinear optimization. SIAM J. Sci. Comput. 2020, 42, A1809–A1835. [Google Scholar] [CrossRef]
- Uemoto, T.; Naito, K. Support vector regression with penalized likelihood. Comput. Stat. Data Anal. 2022, 174, 107522. [Google Scholar] [CrossRef]
- Zuo, Q.L. Settlement prediction of the piles socketed into rock using multivariate adaptive regression splines. J. Appl. Sci. Eng. 2023, 26, 111–119. [Google Scholar]
- Zou, W.D.; Xia, Y.Q.; Cao, W.P. Back-propagation extreme learning machine. Soft Comput. 2022, 26, 9179–9188. [Google Scholar] [CrossRef]
- Huang, S.H.; Mahmud, K.; Chen, C.J. Meaningful trend in climate time series: A discussion based on linear and smoothing techniques for drought analysis in Taiwan. Atmosphere 2022, 13, 444. [Google Scholar] [CrossRef]
- Chen, C.H.; Lee, L.H. Stochastic Simulation Optimization: An Optimal Computing Budget Allocation; World Scientific: New Jersey, NJ, USA, 2010. [Google Scholar]
- Yaseri, A.; Maghami, M.H.; Radmehr, M. A four-stage yield optimization technique for analog integrated circuits using optimal computational effort allocation and evolutionary algorithms. IET Comput. Digit. Tech. 2022, 16, 183–195. [Google Scholar] [CrossRef]
- Chiu, C.C.; Lin, J.T. An efficient elite-based simulation-optimization approach for stochastic resource allocation problems in manufacturing and service systems. Asia-Pac. J. Oper. Res. 2022, 39, 2150030. [Google Scholar] [CrossRef]
- Ryan, T.P. Sample Size Determination and Power; John Wiley and Sons: New Jersey, NJ, USA, 2013. [Google Scholar]
- Al-Ebbini, L.M.K. An efficient allocation for lung transplantation using ant colony optimization. Intell. Autom. Soft Comput. 2021, 35, 1971–1985. [Google Scholar] [CrossRef]
- Wang, Y.; Li, T.; Liu, X.J.; Yao, J. An adaptive clonal selection algorithm with multiple differential evolution strategies. Inf. Sci. 2022, 604, 142–169. [Google Scholar] [CrossRef]
- Chakraborty, S.; Sharma, S.; Saha, A.K.; Saha, A. A novel improved whale optimization algorithm to solve numerical optimization and real-world applications. Artif. Intell. Rev. 2022, 55, 4605–4716. [Google Scholar] [CrossRef]
- Amroune, M. Wind integrated optimal power flow considering power losses, voltage deviation, and emission using equilibrium optimization algorithm. Energy Ecol. Environ. 2022, 7, 369–392. [Google Scholar] [CrossRef]






| Authors | Method | Category | Objectives |
|---|---|---|---|
| Geiersbach et al. [12] | Stochastic approximation | Gradient-based | Constrained optimization |
| Zhou et al. [13] | Sample average approximation | Gradient-based | Constrained optimization |
| Yu et al. [14] | Tabu search | Human | Combinatorial optimization |
| Cheng [15] | Simulated annealing | Physics | Numerical optimization |
| Zhang et al. [16] | Genetic algorithm | Evolutionary | Global optimization |
| Xu et al. [17] | Particle swarm optimization | Swarm | Global optimization |
| Wang et al. [18] | Differential evolution | Evolutionary | Global optimization |
| Daneshyar & Charkari [19] | Biogeography-based optimization | Swarm | Global optimization |
| Beccaria et al. [20] | Social network optimization | Human | Combinatorial optimization |
| Chopraa & Ansarib [22] | Golden jackal optimization | Swarm | Global optimization |
| Zamani et al. [23] | Starling murmuration optimizer | Swarm | Global optimization |
| Braik et al. [24] | White shark optimizer | Swarm | Global optimization |
| Zhao et al. [25] | Dandelion optimizer | Swarm | Global optimization |
| Ahwazian et al. [26] | Search in forest optimizer | Swarm | Global optimization |
| Hashim & Hussien [27] | Snake optimizer | Swarm | Global optimization |
| Zhong et al. [28] | Beluga whale optimization | Swarm | Global optimization |
| Sasanfar et al. [29] | Exhaustive search | Other | Combinatorial optimization |
| Wang et al. [30] | Greedy approach | Other | Combinatorial optimization |
| Meng et al. [31] | Approximate dynamic programming | Gradient-based | Combinatorial optimization |
| t | 0 | 2 | 4 | 6 | 8 | 10 | 12 | 14 | 16 | 18 | 20 | 22 |
|---|---|---|---|---|---|---|---|---|---|---|---|---|
| λ(t) | 5.25 | 3.8 | 3 | 4.8 | 7 | 8.25 | 9 | 7.75 | 7.75 | 8 | 6.5 | 3.25 |
| Location | Distribution |
|---|---|
| Reception | Uni (5,10) |
| Extra tests | Tri (10,20,30) |
| Examination | Uni (10,20) |
| Re-examination | Uni (7,12) |
| Treatment | Uni (20,30) |
| Emergency | Uni (60,120) |
| Case | d1 | d2 | Cost | CPU Time (s) | |
|---|---|---|---|---|---|
| I | 2 | 2 | [3,4,4,3,8]T | 1130 | 57.3 |
| II | 2 | 2.5 | [2,5,1,4,8]T | 1090 | 55.8 |
| III | 2.5 | 2 | [2,3,2,3,6]T | 810 | 56.9 |
| IV | 2.5 | 2.5 | [1,3,1,3,3]T | 630 | 57.2 |
| V | 3 | 2 | [1,3,4,3,6]T | 870 | 55.5 |
| VI | 3 | 2.5 | [1,3,1,2,2]T | 570 | 56.4 |
| Methods | Min. | Max. | AOV † | S.D. | S.E.M. | Average Rank Percentage | Average CPU Time (s) | |
|---|---|---|---|---|---|---|---|---|
| BWOO | 1120 | 1160 | 1140 | 0 | 15 | 2.73 | 0.02% | 57.6 |
| GA with exact evaluation | 1240 | 1350 | 1290 | 13.16% | 50 | 9.13 | 4.84% | 1797 |
| ACO with exact evaluation | 1230 | 1390 | 1320 | 15.79% | 85 | 15.52 | 5.72% | 1800 |
| CSA with exact evaluation | 1310 | 1430 | 1350 | 18.42% | 70 | 12.78 | 7.37% | 1795 |
| WOA with exact evaluation | 1220 | 1310 | 1260 | 10.53% | 40 | 7.30 | 2.21% | 1798 |
| EO with exact evaluation | 1240 | 1340 | 1270 | 11.40% | 45 | 8.22 | 3.95% | 1799 |
Disclaimer/Publisher’s Note: The statements, opinions and data contained in all publications are solely those of the individual author(s) and contributor(s) and not of MDPI and/or the editor(s). MDPI and/or the editor(s) disclaim responsibility for any injury to people or property resulting from any ideas, methods, instructions or products referred to in the content. |
© 2023 by the authors. Licensee MDPI, Basel, Switzerland. This article is an open access article distributed under the terms and conditions of the Creative Commons Attribution (CC BY) license (https://creativecommons.org/licenses/by/4.0/).
Share and Cite
Horng, S.-C.; Lin, S.-S. Improved Beluga Whale Optimization for Solving the Simulation Optimization Problems with Stochastic Constraints. Mathematics 2023, 11, 1854. https://doi.org/10.3390/math11081854
Horng S-C, Lin S-S. Improved Beluga Whale Optimization for Solving the Simulation Optimization Problems with Stochastic Constraints. Mathematics. 2023; 11(8):1854. https://doi.org/10.3390/math11081854
Chicago/Turabian StyleHorng, Shih-Cheng, and Shieh-Shing Lin. 2023. "Improved Beluga Whale Optimization for Solving the Simulation Optimization Problems with Stochastic Constraints" Mathematics 11, no. 8: 1854. https://doi.org/10.3390/math11081854
APA StyleHorng, S.-C., & Lin, S.-S. (2023). Improved Beluga Whale Optimization for Solving the Simulation Optimization Problems with Stochastic Constraints. Mathematics, 11(8), 1854. https://doi.org/10.3390/math11081854

