Next Article in Journal
Community Detection in Multilayer Networks Based on Matrix Factorization and Spectral Embedding Method
Previous Article in Journal
Efficient Method for Derivatives of Nonlinear Stiffness Matrix
 
 
Font Type:
Arial Georgia Verdana
Font Size:
Aa Aa Aa
Line Spacing:
Column Width:
Background:
Article

Robust (Q,S,R)-γ-Dissipative and H2 Performances for Switched Systems with Mixed Time Delays

1
Department of Marine Engineering, National Kaohsiung University of Science and Technology, Kaohsiung 811, Taiwan
2
Research and Development Centre, Vel Tech University, Chennai 600 062, India
3
Ph.D. Program of Maritime Science and Technology, National Kaohsiung University of Science and Technology, Kaohsiung 811, Taiwan
4
Department of Intelligent Commerce, National Kaohsiung University of Science and Technology, Kaohsiung 824, Taiwan
*
Author to whom correspondence should be addressed.
Mathematics 2023, 11(7), 1574; https://doi.org/10.3390/math11071574
Submission received: 22 February 2023 / Revised: 20 March 2023 / Accepted: 22 March 2023 / Published: 23 March 2023

Abstract

This paper investigates the switching on switching rule and sampling input to guarantee (Q,S,R)- γ -dissipative and H 2 performances for switched systems with mixed time delays. Synchronous switching can be used to overcome the difficulty in implementation of real-time switching for signals and sampling. The design of sampling input under arbitrary switching for a switched system is also considered in this paper. A new proposal for a full matrix formulation approach and inequality are applied to achieve the main results. Finally, some numerical examples are illustrated to show the efficiency of the main contribution.

1. Introduction

Switched systems are usually confronted in many practical and physical models, such as automatic engine control systems, chemical processes, constrained robotics, multi--rate control systems, power electronics systems, robot manufacture systems, stepper motors, and water quality control systems [1,2,3]. Switched systems consist of various subsystems and use a switching rule to supervise the switching of dynamics between these subsystems. Switched systems may produce many complicated nonlinear dynamic behaviors, such as chaos and multiple limit cycles, which may be caused due to switching between subsystems [2,3]. On the other hand, delay phenomena are usually encountered in many practical systems such as chemical systems, hydraulic engineering systems, inferred grinding models, the Mackey–Glass equation, network dynamics, reaction-diffusion systems, nuclear reactors, and rolling mills. Time delay may cause bad performance or instability in many dynamic control systems [4,5,6]. It is also well that interval time-varying delay is a more useful formulation for a practical environment regarding signal transmission [1,7,8,9,10]. Hence, some results for stability analysis and performance for switched systems with interval time-varying delay have been proposed and developed in recent years [1,7,8,9,10].
The following two interesting facts can be noticed in switched systems: (1) the stability of a switched system can be reached by selecting a suitable switching method, even when each subsystem is unstable [1,7,8,10], (2) the stability of each subsystem cannot guarantee the overall system under arbitrary switching [9]. Hence, some valuable stability analysis and performance considerations have been proposed for switched systems in recent years. In [11], the average dwell time approach was used to identify the stability of the switched time-delay system under consideration. In [1], the asymptotic analysis of switched systems with state-dependent switching was studied using a Lyapunov-based approach. In [7,8,10,12,13,14,15], some useful design schemes for switching rules are developed to achieve good performance in the switched systems under consideration. The design schemes developed in [7,8,12,13,14] for switching signals are useful and can be studied in discrete and continuous switched systems with time delay.
In the recent years, passivity theory was proposed to guarantee the internal stability of systems. The passive theory has also been investigated in circuit analysis and practical applications [14,16]. On the other hand, H performance was usually used to improve the effect of the disturbance input on the regulated output of the systems under consideration [7,8,12,13,17]. Hence, it will be interesting to consider (Q,S,R)- γ -dissipative performance, which guarantees the integrated property of the system under consideration [18,19,20]. The H performance and passivity can be seen as two special cases for setting parameters in (Q,S,R)- γ -dissipative performance. On the other hand, H 2 performance can be used to minimize the dynamics of a system under consideration for some given initial conditions [3,8,18]. For the proposed non-negative inequality approach in [12], more linear matrix inequalities and running times were necessary. In [21], less conservative results were developed by using Wirtinger-based integral inequality instead of the previous Jensen method. The mixed performances of a switched system with time-varying delay were investigated by using real-time switching for rule and feedback control [12]. It is well known that real-time switching is difficult to use in all practical engineering systems. Synchronous switching would be a feasible way to deal with real-time [7,13,14,22]. In [13,14], a proposed aperiodic sampling was considered instead of the periodic system in [23]. Pointwise sampling is relaxed to interval one in this paper. On the other hand, linear fractional perturbation was a more general representation than norm-bounded in our considered systems [7,12,13,14,17,24,25].A major contribution and research motivation is provided as follows:
(1)
Based on many performances and approaches considered in the past, the full matrix formulation approach is developed to achieve (Q,S,R)- γ -dissipative and H 2 performances of a switched time-delay system with linear fractional perturbations. Linear matrix inequality conditions can be proposed to directly solve our main consideration.
(2)
In practical systems, real-time switching depending on state is difficult to implement. Hence the synchronous switching on rule and sampling input can be used to achieve (Q,S,R)- γ -dissipative and H 2 performance of a switched time-delay system, instead of a real-time system. The sampled-data input for arbitrary switching in a switched system can be switched at each sampling instant.
(3)
For more practical results for the considered systems, some upper bounds for sampling intervals can be provided and evaluated using the proposed results. It is interesting to consider the interval time-varying delay, instead of the constant one in [13,14]. The linear matrix inequality results developed in this paper are less conservative and better than other published examples.
(4)
A new inequality in Lemma 2 and Lyapunov-Krasovskii functional, with X T t P X t , is proposed to improve the main results obtained in this paper. Possible information on systems has been included in X t , from which the conservativeness of the results obtained can be improved. As in the proposed numerical examples, our approach is efficient and potentially useful.
This paper will be organized as follows. The problem description for our considered system is provided in Section 2. The synchronous switching on rule and sampling input for a switched time-delay system is developed in Section 3. Some examples are illustrated to show the main results in Section 4. A final conclusion is provided in Section 5.
The notation used throughout this paper is provide as follows. For matrix A, we denote a symmetric positive (negative) definite by A > 0 ( A < 0 ), the transpose by A T , S y m A = A + A T . A B means that matrix B A is symmetric positive semi-definite, I and 0 denote the identity matrix and zero matrix with appropriate dimensions, respectively, Φ denotes the empty set, E q , i = 0 n × i 1 n I 0 n × q i n R n × q n , i = 1 , 2 , , q , q = 2 , 3 , , 18 , 0 n × q i n denotes the zero matrix with dimension n × q i n , and 0 n = [ 0   0 0   0 ] n denotes the matrix composed by n zero matrices with appropriate dimensions, L 2 0 , = w R m 0 w T t w t d t < , A \ B = x x A a n d x B , and N _ = 1 , 2 , , N .

2. Problem Description

The following switched system with discrete and distributed delays is considered:
x ˙ t = A ¯ 0 σ t x t + A ¯ 1 σ t x t h t + A ¯ 2 σ t t θ t x s d s + B ¯ u σ t u t + B ¯ w σ t w t , t 0 ,
z t = A ¯ z 0 σ t x t + A ¯ z 1 σ t x t h t + A ¯ z 2 σ t t θ t x s d s + B ¯ z u σ t u t + B ¯ z w σ t w t , t 0 ,
x t = φ t , t H , 0 ,
where A ¯ 0 σ t = A 0 σ + Δ A 0 σ t , A ¯ 1 σ t = A 1 σ + Δ A 1 σ t , A ¯ 2 σ t = A 2 σ + Δ A 2 σ t , B ¯ u σ t = B u σ + Δ B u σ t , B ¯ w σ t = B w σ + Δ B w σ t , A ¯ z 0 σ t = A z 0 σ + Δ A z 0 σ t , A ¯ z 1 σ t = A z 1 σ + Δ A z 1 σ t , A ¯ z 2 σ t = A z 2 σ + Δ A z 2 σ t , B ¯ z u σ t = B z u σ + Δ B z u σ t , B ¯ z w σ t = B z w σ + Δ B z w σ t , x t R n is the state of system, u t R p is the input, w t R m is disturbance, z t R q is regulated output, and σ is the switching rule. The rule σ will take its value in the finite set N _ and is a piecewise constant function. The interval time-varying delay h t > 0 belongs to 0 < h m h t h M , h ˙ t h D < 1 , where h m , h M , and h D are positive constants and can be estimated or given in advance. The distributed delay θ > 0 is given, along with the initial vector φ C 0 , where C 0 will be a set of continuous functions from H , 0 to R n , H = m a x { h M , θ } . Matrices A 0 i , A 1 i , A 2 i R n × n , B u i R n × p , B w i R n × m , A z 0 i , A z 1 i , A z 2 i R q × n , B z u i R q × p , and B z w i R q × m , i N _ , are constant matrices. Δ A 0 i t , Δ A 1 i t , Δ A 2 i t , Δ B u i t , Δ B w i t , Δ A z 0 i t , Δ A z 1 i t , Δ A z 2 i t , Δ B z u i t , and Δ B z w i t , i N _ , are perturbed matrices. These linear fractional perturbations satisfy:
Δ A 0 i t Δ A 1 i t Δ A 2 i t Δ B u i t Δ B w i t = M x i Δ x i t N x 0 i N x 1 i N x 2 i N x u i N x w i ,
Δ A z 0 i t Δ A z 1 i t Δ A z 2 i t Δ B z u i t Δ B z w i t = M z i Δ z i t N z 0 i N z 1 i N z 2 i N z u i N z w i ,
Δ x i t = I Γ x i t Ξ x i 1 Γ x i t ,   Ξ x i Ξ x i T < I ,
Δ z i t = I Γ z i t Ξ z i 1 Γ z i t ,   Ξ z i Ξ z i T < I ,
where the matrices M x i , M z i , N x 0 i , N x 1 i , N x 2 i , N x u i , N x w i , N z 0 i , N z 1 i , N z 2 i , N z u i , N z w i , Ξ x i , and Ξ z i , i N _ are constant with appropriate dimensions. The matrices Γ x i t and Γ z i t , i N _ are unknown and satisfy the following parameter perturbations:
Γ x i ( t ) T Γ x i ( t ) I ,   i N _ ,   t 0 ,
Γ z i ( t ) T Γ z i ( t ) I ,   i N _ ,   t 0 .
Some domains of the system by
Ω i Z i = x R n : x T Z i x 0 ,   i = 1 , 2 , , N ,
where matrices Z i = Z i T , i = 1 , 2 , , N are selected from the proposed results in this paper. Hence the switching domains of system can be selected as follows:
Ω ¯ 1 = Ω 1 ,   Ω ¯ 2 = Ω 2 \ Ω ¯ 1 ,   Ω ¯ 3 = Ω 3 \ Ω ¯ 1 \ Ω ¯ 2 , ,   and   Ω ¯ N = Ω N \ Ω ¯ 1 \ Ω ¯ N 1
Defining the sampling instant by 0 = T 0 < T 1 < T 2 < , we can select the following time-varying function:
τ t = t T k , t [ T k , T k + 1 .
Defining τ k = T k + 1 T k , τ M = max k = 0 k = τ k >0, we have 0 τ t τ M , t 0 , and T k = t τ t , t [ T k , T k + 1 .
From the above definitions, we can provide a simple synchronous sampling for rule sampled-data input as follows:
When
x T k Ω ¯ i ,   σ t = i ,   for   all   t [ T k , T k + 1 ,
when
x T k Ω ¯ i ,   u t = K i x T k ,   for   all   t [ T k , T k + 1 ,
where Ω ¯ i is defined in (3b), K i R p × n , i m _ , will be selected from the main proposed results.
The following lemmas will be used to derive the main results in this paper.
Lemma 1.
[22] Let x t be a differentiable function from t h 2 , t h 1 R n . For a matrix R > 0 and some matrices N 1 , N 2 , N 3 R 4 n × n , and constants 0 h 1 h 2 , the following inequality is satisfied:
t h 2 t h 1 x ˙ T s R x ˙ s d s δ T t Ω δ t ,
where
δ T t = x T t h 1 x T t h 1 1 h t h 2 t h 1 x T s d s 2 h 2 t h 2 t h 1 t h 2 s x T u d u d s ,
h = h 2 h 1 0 ,
Ω = h N 1 R 1 N 1 T + 1 3 N 2 R 1 N 2 T + 1 5 N 3 R 1 N 3 T + S y m N 1 Π 1 + N 2 Π 2 + N 3 Π 3 ,
Π 1 = E 4,1 E 4,2 ,   Π 2 = E 4,1 + E 4,2 2 E 4,3 ,   Π 3 = E 4,1 E 4,2 6 E 4,3 + 6 E 4,4 .
Lemma 2.
[18] Let x t be a differentiable function from t h M , t h m R n . For matrices R > 0 and S and constants 0 h m h M with
R S * R > 0 ,
the following inequality is satisfied:
h M h m t h M t h m x ˙ T s R x ˙ s d s
x t h t x t h M x t h m x t h t T R S * R x t h t x t h M x t h m x t h t = Z 2 T t Ω 2 Z 2 t ,
where
Z 2 T t = x T t h t x T t h m x T t h M ,
Ω 2 = 2 R + S + S T R S R S T * R S T * * R .
Lemma 3.
[21] Let x t be a differentiable function from t τ 1 , t τ 2 R n . For a matrix R > 0 and constants 0 τ 2 τ 1 , the following inequality is satisfied:
τ 1 τ 2 t τ 1 t τ 2 x ˙ T s R x ˙ s d s x t τ 2 x t τ 1 T R x t τ 2 x t τ 1 3 Ψ T R Ψ = Z t T Ω Z t ,
where
Ψ = x t τ 2 + x t τ 1 2 τ 1 τ 2 t τ 1 t τ 2 x s d s ,
Z T t = x T t τ 2 x T t τ 1 1 τ t τ 1 t τ 2 x T s d s ,
Ω = 4 R 2 R 6 R * 4 R 6 R * * 12 R ,   τ = τ 1 τ 2 .
Lemma 4.
[12] For constants 0 α i 1 , i N _ , i = 1 N α i = 1 , matrices Z i = Z i T , i N _ , and
i = 1 N α i Z i > 0 ,
we have
i = 1 N Ω ¯ i = R n   and   Ω ¯ i Ω ¯ j = Φ ,   i j ,   x T t Ζ i x t 0   and   σ x t = i ,   x t Ω ¯ i
where  Ω ¯ i  has been defined in definition (3b).
Lemma 5.
[24,25] For the matrix Δ x i t defined in (2a) and satisfied in (2c), matrices U i , W i , X i , and X i = X i T , we have the following equivalent conditions:
(I)
X i + U i Δ x i t W i + W i T Δ x i T t U i T < 0 .
(II)
With a constant  ε i > 0 , we have
X i ε i U i W i T * ε i I ε i Ξ x i T * * ε i I < 0 ,
where the matrix  Ξ x i  has been defined in condition (2c).
In this paper, the (Q,S,R)– γ dissipative and H 2 performances for our considered switched time-delay system are defined as follows.
Definition 1.
[18,19] Consider the switched system (1) with (2), switching signal in (5a), and sampled-data control in (5b). Assume
(i)
With  w t = 0 , the system (1) with (2) is asymptotically stable due to the switching signal in (5a) and sampled-data control in (5b).
(ii)
With  φ t = 0 , H t 0 , andgiven constant  γ , matrices  S Q = Q T 0 , and  R = R T , the signals  w t  and  z t  are constrained in
γ 0 l 1 w T t w t d t 0 l 1 [ z T t Q z t + 2 z T t S w t + w T t R w t ] d t ,   w 0
for all constants  l 1 > 0 . With the parameter  l 1 = , w should be defined in  L 2 0 , .
(iii)
Under zero disturbance  w t = 0 , an upper bound  α > 0  can be found to satisfy the following condition
0 l 2 z T t z t d t α
for all constant  l 2 > 0 .
Then we can state that system (1) with (2) is asymptotically stabilizable by the switching signal in (5a) and sampled-data control in (5b) with strictly (Q,S,R)– γ  dissipative performance and H 2  measure α .

3. Main Results

Now we will provide a delay-dependent linear matrix inequality result to show the asymptotic stability and (Q,S,R)– γ dissipative performance of switched system (1) with (2), using our developed synchronous switching on rule and sampling input in (5).
Theorem 1.
With constants  η , 0 α i 1 , i N _ , and  i = 1 N α i = 1 , the following linear matrix inequality conditions:
i = 1 N α i Z ^ i > 0 ,
R ^ 5 S ^ 1 * R ^ 5 > 0 ,
R ^ 6 S ^ 2 * R ^ 6 > 0 ,
Ψ ^ i = Ψ ^ 11 i Ψ ^ 12 i Ψ ^ 13 i Ψ ^ 14 i Ψ ^ 15 i Ψ ^ 16 i Ψ ^ 17 * ( I Q ) 1 0 ε i M z i 0 0 0 * * ε i I 0 ε i Ξ x i 0 0 * * * ε i I 0 ε i Ξ z i 0 * * * * ε i I 0 0 * * * * * ε i I 0 * * * * * * Ψ ^ 66 < 0 ,   i N _ ,
where
Ψ ^ 11 i = S y m Δ 2 T P ^ Δ 1 + η E 18,1 T + E 18,18 T Γ ^ 1 i S y m ( E 18,17 T Γ ^ 2 i ) + Ω ^ 1 + Ω ^ 2 + Ω ^ 3 + Ω ^ 4 , Ψ ^ 12 i = Γ ^ 2 i T ,   Ψ ^ 13 i = ε i η E 18,1 T + E 18,18 T M x i ,   Ψ ^ 14 i = ε i E 18,17 T S T M z i , Ψ ^ 15 i T = [ N x 0 i U ^ T N x 1 i U ^ T 0 2 N x u i K ^ i 0 6 θ · N x 2 i U ^ T 0 4 N x w i 0 ] , Ψ ^ 16 i T = N z 0 i U ^ T N z 1 i U ^ T 0 2 N z u i K ^ i 0 6 θ · N z 2 i U ^ T 0 4 N z w i 0 , Ψ ^ 17 = [ h m Λ 1 T N ^ 11 h m Λ 1 T N ^ 12 h m Λ 1 T N ^ 13 h M Λ 2 T N ^ 21 h M Λ 2 T N ^ 22 h M Λ 2 T N ^ 23 h M h m Λ 3 T N ^ 31 h M h m Λ 3 T N ^ 32 h M h m Λ 3 T N ^ 33 τ M Λ 4 T N ^ 41 τ M Λ 4 T N ^ 42 τ M Λ 4 T N ^ 43 ] Ψ ^ 66 = d i a g R ^ 1 3 R ^ 1 5 R ^ 1 R ^ 2 3 R ^ 2 5 R ^ 2 R ^ 3 3 R ^ 3 5 R ^ 3 R ^ 4 3 R ^ 4 5 R ^ 4 , Ω ^ 1 = i = 1 3 S y m Λ 1 T N ^ 1 i Π i Λ 1 + Λ 2 T N ^ 2 i Π i Λ 2 + Λ 3 T N ^ 3 i Π i Λ 3 + Λ 4 T N ^ 4 i Π i Λ 4 , Ω ^ 2 = Λ 5 T 2 R ^ 5 + S ^ 1 + S ^ 1 T R ^ 5 S ^ 1 R ^ 5 S ^ 1 T * R ^ 5 S ^ 1 T * * R ^ 5 Λ 5 + Λ 6 T 2 R ^ 6 + S ^ 2 + S ^ 2 T R ^ 6 S ^ 2 R ^ 6 S ^ 2 T * R ^ 6 S ^ 2 T * * R ^ 6 Λ 6 , Ω ^ 3 = E 18,1 T Q ^ 0 E 18,1 1 h D · E 18,2 T Q ^ 4 E 18,2 E 18,3 T ( Q ^ 1 Q ^ 3 ) E 18,3 E 18,4 T ( Q ^ 2 + Q ^ 3 ) E 18,4 E 18,6 T Q ^ 5 E 18,6 E 18,7 T Q ^ 6 E 18,7 + E 18,5 T Ζ ^ i E 18,5 E 18,17 T ( R γ I ) E 18,17 η S y m E 18,1 T U ^ T E 18,18 E 18,18 T U ^ + U ^ T R ^ 0 E 18,18 , Ω ^ 4 = Λ 7 T 4 R ^ 7 2 R ^ 7 6 R ^ 7 * 4 R ^ 7 6 R ^ 7 * * 12 R ^ 7 Λ 7 , Q ^ 0 = Q ^ 1 + Q ^ 2 + Q ^ 4 + Q ^ 5 + Q ^ 6 , R ^ 0 = h m R ^ 1 + h M R ^ 2 + h M h m ( R ^ 3 + R ^ 5 ) + τ M ( R ^ 4 + R ^ 6 ) + θ 2 R ^ 7 , Π 1 = E 4,1 E 4,2 ,   Π 2 = E 4,1 + E 4,2 2 E 4,3 ,   Π 3 = E 4,1 E 4,2 6 E 4,3 + 6 E 4,4 ,
Δ 1 = E 18,1 T h m E 18,8 T h M E 18,9 T ( h M h m E 18,10 T τ M E 18,11 T θ E 18,12 T 0.5 h m 2 E 18,13 T 0.5 h M 2 E 18,14 T 0.5 h M h m 2 E 18,15 T 0.5 τ M 2 E 18,16 T ] T , Δ 2 = [ E 18,18 T E 18,1 E 18,3 T E 18,1 E 18,4 T E 18,3 E 18,4 T E 18,1 E 18,6 T E 18,1 E 18,7 T h m E 18,8 E 18,3 T h M E 18,9 E 18,4 T ( h M h m ) E 18,10 E 18,4 T τ M E 18,11 E 18,6 T T ,
Λ 1 = E 18,1 T E 18,3 T E 18,8 T E 18,13 T T ,   Λ 2 = E 18,1 T E 18,4 T E 18,9 T E 18,14 T T , Λ 3 = E 18,3 T E 18,4 T E 18,10 T E 18,15 T T ,   Λ 4 = E 18,1 T E 18,6 T E 18,11 T E 18,16 T T , Λ 5 = E 18,2 T E 18,3 T E 18,4 T T ,   Λ 6 = E 18,5 T E 18,1 T E 18,6 T T , Λ 7 = E 18,1 T E 18,7 T E 18,12 T T ,
Γ ^ 1 i = A 0 i U ^ T A 1 i U ^ T 0 2 B u i K ^ i 0 6 θ · A 2 i U ^ T 0 4 B w i 0 ,
Γ ^ 2 i = A z 0 i U ^ T A z 1 i U ^ T 0 2 B z u i K ^ i 0 6 θ · A z 2 i U ^ T 0 4 B z w i 0 ,
are feasible with constants  ε i > 0 , i N _ , a nonsingular matrix  U ^ R n × n , positive definite symmetric matrices  P ^ R 10 n × 10 n , Q ^ i , R ^ j R n × n , i 6 _ , j 7 _ , symmetric matrices  Z ^ i R n × n , i N _ , and matrices  S ^ 1 , S ^ 2 R n × n , N ^ i j R 4 n × n , i 4 _ , j 3 _ , K ^ i R p × n , i N _ . Then the system (1) with (2) is asymptotically stabilizable by the switching rule  Ζ i = U ^ 1 Ζ ^ i U ^ T in (5a) and sampling input  K i = K ^ i U ^ T in (5b), with strictly (Q,S,R) γ  dissipative performance and  H 2  measure
α = X T 0 P X 0 + h m 0 φ T s Q 1 φ s d s + h M 0 φ T s Q 2 φ s d s + h M h m φ T s Q 3 φ s d s + h M 0 φ T s Q 4 φ s d s + τ M 0 φ T s Q 5 φ s d s + θ 0 φ T s Q 6 φ s d s + h m 0 s 0 φ ˙ T u R 1 φ ˙ u d u d s + h M 0 s 0 φ ˙ T u R 2 φ ˙ u d u d s + h M h m s 0 φ ˙ T u R 3 + R 5 φ ˙ u d u d s + τ M 0 s 0 φ ˙ T u ( R 4 + R 6 ) φ ˙ u d u d s + θ · θ 0 s 0 φ ˙ T u R 7 φ ˙ u d u d s ,
where some notations are defined as follows:
P = U ^ ^ ^ P ^ U ^ ^ ^ T > 0 ,   U ^ ^ ^ = d i a g U U U U U U U U U U ,   U = U ^ 1 , Q i = U Q ^ i U T > 0 ,   R j = U R ^ j U T > 0 ,   i 6 _ ,   j 7 _ , X 0 = [ φ T 0 h m 0 φ T s d s h M 0 φ T s d s h M h m φ T s d s τ M 0 φ T s d s θ 0 φ T s d s h m 0 h m s φ T u d u d s h M t h M s φ T u d u d s h M h m h M s φ T u d u d s τ M 0 τ M s φ T u d u d s T
Proof. 
Define the Lyapunov functional
V x t = X T t P X t + t h m t x T s Q 1 x s d s + t h M t x T s Q 2 x s d s + t h M t h m x T s Q 3 x s d s + t h t t x T s Q 4 x s d s + t τ M t x T s Q 5 x s d s + t θ t x T s Q 6 x s d s + h m 0 t + s t x ˙ T u R 1 x ˙ u d u d s + h M 0 t + s t x ˙ T u R 2 x ˙ u d u d s + h M h m t + s t x ˙ T u R 3 + R 5 x ˙ u d u d s + τ M 0 t + s t x ˙ T u ( R 4 + R 6 ) x ˙ u d u d s + θ · θ 0 t + s t x ˙ T u R 7 x ˙ u d u d s ,
where some notations are defined as follows:
P = U ^ ^ ^ P ^ U ^ ^ ^ T > 0 ,   U ^ ^ ^ = d i a g U U U U U U U U U U ,   U = U ^ 1 ,
Q i = U Q ^ i U T > 0 ,   R j = U R ^ j U T > 0 ,   i 6 _ ,   j 7 _ ,
X t = [ x T t t h m t x T s d s t h M t x T s d s t h M t h m x T s d s t τ M t x T s d s t θ t x T s d s t h m t t h m s x T u d u d s t h M t t h M s x T u d u d s t h M t h m t h M s x T u d u d s t τ M t t τ M s x T u d u d s T
The time derivatives of V x t in (8) along system (1) with (2) will satisfy the following conditions:
V ˙ x t = X ˙ T t P X t + X T t P X ˙ t + x T t Q x t 1 h ˙ t · x T t h t Q 4 x t h t x T t h m Q 1 Q 3 x t h m x T t h M ( Q 2 + Q 3 ) x t h M x T t τ M Q 5 x t τ M x T t θ Q 6 x t θ + x ˙ T t R x ˙ t [ t + t h M t h m x ˙ T s R 5 x ˙ s d s + t τ M t x ˙ T s R 6 x ˙ s d s + θ · t θ t x ˙ T s R 7 x ˙ s d s ] ,
where
Q 0 = Q 1 + Q 2 + Q 4 + Q 5 + Q 6 ,
R 0 = h m R 1 + h M R 2 + h M h m ( R 3 + R 5 ) + τ M ( R 4 + R 6 ) + θ 2 R 7 ,
t = t h m t x ˙ T s R 1 x ˙ s d s + t h M t x ˙ T s R 2 x ˙ s d s + t h M t h m x ˙ T s R 3 x ˙ s d s + t τ M t x ˙ T s R 4 x ˙ s d s .
Define
Y t = x T t x T t h t x T t h m x T t h M ) x T t τ t x T t τ M x T t θ 1 h m t h m t x T s d s 1 h M t h M t x T s d s 1 h M h m t h M t h m x T s d s 1 τ M t τ M t x T s d s 1 θ t θ t x T s d s 2 h m 2 t h m t t h m s x T u d u d s 2 h M 2 t h M t t h M s x T u d u d s 2 h M h m 2 t h M t h m t h M s x T u d u d s 2 τ M 2 t τ M t t τ M s x T u d u d s w T t x ˙ T t T , Γ 1 i t = A ¯ 0 i t A ¯ 1 i t 0 2 B u i t K i 0 6 θ · A ¯ 2 i t 0 4 B w i t 0 , Γ 2 i t = A ¯ z 0 i t A ¯ z 1 i t 0 2 B z u i t K i 0 6 θ · A ¯ z 2 i t 0 4 B w i t 0 ,
we have
X t = Δ 1 Y t ,
X ˙ t = Δ 2 Y t ,
where the above matrices Δ i , i 2 _ , have been defined in (7f). By using Lemma 1 with the matrix t defined in (9a), we have
t Y T t Ω 1 Y t ,
where some matrices are defined as follows:
Ω 1 = h m Λ 1 T 1 Λ 1 + h M Λ 2 T 2 Λ 2 + h M h m Λ 3 T 3 Λ 3 + τ M Λ 4 T 4 Λ 4 + Ω 1 ,
i = N i 1 R i 1 N i 1 T + 1 3 N i 2 R i 1 N i 2 T + 1 5 N i 3 R i 1 N i 3 T ,   i 4 _ ,
Ω 1 = i = 1 3 S y m Λ 1 T N 1 i Π i Λ 1 + Λ 2 T N 2 i Π i Λ 2 + Λ 3 T N 3 i Π i Λ 3 + Λ 4 T N 4 i Π i Λ 4 ,
N i j R 4 n × n , i 4 _ , j 3 _ , can be chosen, and Λ i , Π j , i 4 _ , j 3 _ , have been defined in (7g) and (7e), respectively. From Lemmas 2–3, we have
t h M t h m x ˙ T s R 5 x ˙ s d s + t τ M t x ˙ T s R 6 x ˙ s d s Y T t Ω 2 Y t ,
where
Ω 2 = Λ 5 T 2 R 5 + S 1 + S 1 T R 5 S 1 R 5 S 1 T * R 5 S 1 T * * R 5 Λ 5 + Λ 6 T 2 R 6 + S 2 + S 2 T R 6 S 2 R 6 S 2 T * R 6 S 2 T * * R 6 Λ 6 ,
Λ 5 and Λ 6 are defined in (7f). Then from system (1) with (2) and (5), we have
x ˙ t + Γ 1 i t Y t T U T η x t + x ˙ t + η x t + x ˙ t T U x ˙ t + Γ 1 i t Y t = 0 .
By (9a)–(9d), we can obtain the following result:
V ˙ x t + z T t z t [ z T t Q z t + 2 z T t S w t + w T t R γ I w t Y T t Π i t Y t ,
where
Π i t = Δ 2 T P Δ 1 + Δ 1 T P Δ 2 + Ω 1 + Ω 2 + Ω 3 + Ω 4 + S y m η E 18,1 T + E 18,18 T U Γ 1 i t S y m ( E 18,17 T Γ 2 i ( t ) ) + Γ 2 i T t ( I Q ) Γ 2 i t ,
Ω 3 = E 18,1 T Q 0 E 18,1 1 h D · E 18,2 T Q 4 E 18,2 E 18,3 T ( Q 1 Q 3 ) E 18,3 E 18,4 T ( Q 2 + Q 3 ) E 18,4 E 18,6 T Q 5 E 18,6 E 18,7 T Q 6 E 18,7 + E 18,5 T Z i E 18,5 E 18,17 T R γ I E 18,17 η S y m E 18,1 T U T E 18,18 E 18,18 T U + U T R 0 E 18,18 ,
Ω 4 = Λ 7 T 4 R 7 2 R 7 6 R 7 * 4 R 7 6 R 7 * * 12 R 7 Λ 7 ,
Λ 7 is defined in (7f). Define the following matrices:
Σ i t = Π i Γ ¯ 2 i T * ( I Q ) 1 + Δ x z i t ,
Π i = Δ 2 T P Δ 1 + Δ 1 T P Δ 2 + Ω 1 + Ω 2 + Ω 3 + Ω 4 + S y m η E 18,1 T + E 18,18 T U Γ 1 i S y m ( E 18,17 T Γ 2 i ) ,
Γ ¯ 1 i = A 0 i A 1 i 0 2 B u i K i 0 6 θ · A 2 i 0 4 B w i 0 ,
Γ ¯ 2 i = A z 0 i A z 1 i 0 2 B z u i K i 0 6 θ · A z 2 i 0 4 B z w i 0 ,
Δ x z i t = S y m η E 18,1 T + E 18,18 T U M x i E 18,17 T S T M z i 0 M z i Δ x i t 0 0 Δ z i t N x z i ,
N x z i = N x 0 i N x 1 i 0 2 N x u i K i 0 6 θ · N x 2 i 0 4 N x w i 0 N z 0 i N z 1 i 0 2 N z u i K i 0 6 θ · N z 2 i 0 4 N z w i 0 .
Then the enlarged matrices can be defined as follows:
Ψ i = Π i Γ ¯ 2 i T ε i η E 18,1 T + E 18,18 T U M x i ε i E 16,15 T S T M z i Ψ 15 i Ψ 16 i * I Q 1 0 ε i M y i 0 0 * * ε i I 0 ε i Ξ x i 0 * * * ε i I 0 ε i Ξ y i * * * * ε i I 0 * * * * * ε i I ,
where
Ψ 15 i T = N x 0 i N x 1 i 0 2 N x u i K i 0 6 θ · N x 2 i 0 4 N x w i 0 ,
Ψ 16 i T = N z 0 i N z 1 i 0 2 N z u i K i 0 6 θ · N z 2 i 0 4 N z w i 0 .
By using the switching rule in (5a) for condition (7a) and Ζ ^ i = U ^ Ζ i U ^ T , we have
i = 1 N α i Ζ i > 0 .
When x T k Ω ¯ i with Lemma 4 and (4), we have
x T T k Ζ i x T k = x T t τ t Ζ i x t τ t 0 , σ x t = i ,   for   all   t [ T k , T k + 1 .
By using conditions defined in (7c), (10d), and the following definitions
U ^ ^ = d i a g U U U U U U U U U U U U U U U U I U I I I I ,
U ^ = U 1 ,   U ^ ^ ^ = d i a g U U U U U U U U U U ,   P ^ = U ^ ^ ^ 1 P U ^ ^ ^ T > 0 ,
S ^ i = U 1 S i U T ,   Q ^ i = U 1 Q i U T > 0 ,   R ^ i = U 1 R i U T > 0 ,   Ζ ^ i = U 1 Ζ i U T ,
we can obtain
U ^ ^ 1 Ψ i U ^ ^ T < 0 .
This condition Ψ i < 0 in (10b) is satisfied. By using Lemma 5 and the Schur complement of [26] with the conditions (10b), we can obtain
Σ i t < 0 ,   Π i t < 0 .
With w t = 0 , and from (9e) with Π i t < 0 , we have
V ˙ x t < 0 ,   x t 0 ,   for   all   t [ T k , T k + 1 .
The system (1) with (2)–(3) is asymptotically stable by switching rule (5a) with Ζ i = U ^ 1 Ζ ^ i U ^ T and samping input (5b) with K i = K ^ i U ^ T . From the condition (9e) with Π i t < 0 , the integrate of the equation in (9e) from 0 to l > 0 will yield
V x l V φ + 0 l z T t z t d t 0 l [ z T t Q z t + 2 z T t S w t + w T t ( R γ I ) w t ] d t 0 .
With φ t = 0 , H t 0 , we can obtain
V φ = 0 ,   V x l 1 0 .
By using the derivations above, we can obtain the following condition from (11) with l = l 1
0 l 1 [ z T t Q z t + 2 z T t S w t + w T t [ R γ I ] w t ] d t 0 ,   w 0 ,
for all constants l 1 > 0 . The condition (ii) of Definition 1 has been guaranteed. From (11), with l = l 2 , w t = 0 , and Q = Q T 0 in Definition 1, we have
V x l 2 V φ + 0 l 2 z T t z t d t 0 .
From (7h) with V x l 2 0 , we have
0 l 2 z T t z t d t V φ α .
The condition (iii) of Definition 1 has been guaranteed. This completes the proof. □
If the switching signal is captured at each sampling instant, the sampling input is selected by
when   σ T k = i ,   u t = K i x T k ,   for   all   t [ T k , T k + 1 .
If we consider (Q,S,R)- γ -dissipative and H 2 performances by the proposed sampling input in (12), the delay-dependent conditions are provided as follows.
Corollary 1.
With a constant  η , the following linear matrix inequality conditions apply:
R ^ 5 S ^ 1 * R ^ 5 > 0 ,
R ^ 6 S ^ 2 * R ^ 6 > 0 ,
Ψ ^ i j = Ψ ^ 11 i j Ψ ^ 12 i j Ψ ^ 13 i Ψ ^ 14 i Ψ ^ 15 i j Ψ ^ 16 i j Ψ ^ 17 * ( I Q ) 1 0 ε i M z i 0 0 0 * * ε i I 0 ε i Ξ x i 0 0 * * * ε i I 0 ε i Ξ z i 0 * * * * ε i I 0 0 * * * * * ε i I 0 * * * * * * Ψ ^ 77 < 0 ,   i N _ ,   j N _
where
Ψ ^ 11 i j = S y m Δ 2 T P ^ Δ 1 + η E 18,1 T + E 18,18 T Γ ^ 1 i j S y m ( E 18,17 T Γ ^ 2 i j ) + Ω ^ 1 + Ω ^ 2 + Ω ~ 3 + Ω ^ 4 ,
Ψ ^ 12 i j = Γ ^ 2 i j T ,
Ψ ^ 15 i j T = [ N x 0 i U ^ T N x 1 i U ^ T 0 2 N x u i K ^ j 0 6 θ · N x 2 i U ^ T 0 4 N x w i 0 ] ,
Ψ ^ 16 i j T = N z 0 i U ^ T N z 1 i U ^ T 0 2 N z u i K ^ j 0 6 θ · N z 2 i U ^ T 0 4 N z w i 0 ,
Ω ~ 3 = E 18,1 T Q ^ 0 E 18,1 1 h D · E 18,2 T Q ^ 4 E 18,2 E 18,3 T ( Q ^ 1 Q ^ 3 ) E 18,3 E 18,4 T ( Q ^ 2 + Q ^ 3 ) E 18,4 E 18,6 T Q ^ 5 E 18,6 E 18,7 T Q ^ 6 E 18,7 E 18,17 T ( R γ I ) E 18,17 η S y m E 18,1 T U ^ T E 18,18 E 18,18 T U ^ + U ^ T R ^ 0 E 18,18 ,
Γ ^ 1 i j = A 0 i U ^ T A 1 i U ^ T 0 2 B u i K ^ j 0 6 θ · A 2 i U ^ T 0 4 B w i 0 ,
Γ ^ 2 i j = A z 0 i U ^ T A z 1 i U ^ T 0 2 B z u i K ^ j 0 6 θ · A z 2 i U ^ T 0 4 B z w i 0 ,
Ψ ^ 13 i , Ψ ^ 14 i , Ψ ^ 17 , Ψ ^ 77 , Ω ^ 1 , Ω ^ 2 , and  Ω ^ 4  defined in Theorem 1, are feasible with some constants  ε i > 0 , i N _ , a nonsingular matrix  U ^ R n × n , some positive definite symmetric matrices  P ^ R 10 n × 10 n , Q ^ i , R ^ j R n × n , i 6 _ , j 7 _ , and some matrices  S ^ 1 , S ^ 2 R n × n , N ^ i j R 4 n × n , i 4 _ , j 3 _ , K ^ i R p × n , i N _ . Then. system (1) with (2) is asymptotically stabilizable by the sampling input  K i = K ^ i U ^ T in (12), with strictly (Q,S,R) γ  dissipative performance and  H 2  measure  α  in (7h).
Remark 1.
(a) With  Q = 0 ,  S = I , and  R = 2 γ · I , the inequality (6) can be rewritten as
γ 0 l 1 w T t w t d t 2 0 l 1 z T t w t d t , w 0 ,
System (1) with (2) is asymptotically stabilizable by the switching signal in (5a) and sampling input in (5b) with passivity performance  γ  and H 2  measure α . (b) For more efficient results in  H  performance, we can use inequality in (11) with  Q = 0 , S = 0 , and  R = 2 γ · I = 2 γ 2 · I , and the following inequality can be given by 
0 l 1 z T t z t d t γ 2 0 l 1 w T t w t d t , w 0 ,
System (1) with (2) is asymptotically stabilizable by the switching signal in (5a) and sampling input in (5b) with  H performance  γ and  H 2 measure  α [7].
Remark 2.
If  h D 1 or is unknown, our main results in Theorem 1 and Corollary 1 are still valid by choosing  Q ^ 4 = 0 . With  Q ^ 4 = 0 , the proposed results will be independent, with respect to the parameter  h D .
Remark 3.
The rule of switching and sampling input in (5) only happens synchronously at instant  T k  of sampling [7]. Hence our proposed approach is easier to implement than the real-time sampling in [12].
Remark 4.
In our past results in [13,14], pointwise sampling was developed to relax the constraint of fixed-time sampling. Interval sampling  0 , τ M  is proposed to allow sampling period limitation. This will be more useful than some published materials in [13,14].
Remark 5.
In this paper, some free weighting matrices   P ^ R 10 n × 10 n , Q ^ i , R ^ j R n × n , i 6 _ , j 7 _ , Z ^ i R n × n , i N _ , S ^ 1 , S ^ 2 R n × n , N ^ i j R 4 n × n , i 4 _ , j 3 _ , have been provided to improve the proposed results. The proposed results may be conservative for fewer variables in our provided linear matrix inequalities.

4. Some Numerical Examples

Example 1.
The uncertain switched system (1) with (2) and the following parameters are considered:
N = 2 ,   τ M = 0.3 ,   φ t = 0.1   0.5 T , h M = 1 t 0 , A 01 = 1.1 0.1 0.2 1 ,   A 02 = 1.2 0 0.1 1.1 ,   A 11 = 0.9 0.05 0.2 1 , A 12 = 1 0.1 0.25 1 ,   A 21 = A 22 = 0 0 0 0 ,   B w 1 = 0.2 0.01 ,   B w 2 = 0.2 0.02 , B u 1 = 1 0.1 ,   B u 2 = 1 0.1 ,   A z 01 = 1 0 ,   A z 02 = 0.8 0.1 , A z 11 = 0.8 0.6 ,   A z 12 = 0.2 1 ,   A z 21 = A z 22 = 0 0 , B z w 1 = B z w 2 = 0.5 ,   B z u 1 = B z u 2 = 0.3 , M x i = 0.01 0 0 0.02 ,   M z i = 0.01 ,   N x 0 i = 0.1 0 0 0 ,   N x 1 i = 0 0 0 0.1 , N x 2 i = N x w i = N x u i = 0 ,   N z 2 i = N z w i = N z u i = 0 ,   Ξ x i = 0.1 I ,   Ξ z i = 0.1 , N z 0 i = N z 1 i = 0.1 0 ,   i = 1 , 2 .
(1)
H 2 measure and passive switching control. From Theorem 1 and Remarks 1–2 with T k + 1 T k = τ k 0.3 = τ M , γ = 1 , η = 1 , and α 1 = α 2 = 0.5 , the proposed linear matrix inequality conditions in (7a)–(7d) with (14) are feasible h M = 1.4889 . The feasible solution is provided as follows:
K ^ 1 = 0.093   0.0305 ,   K ^ 2 = 0.0161   0.0055 ,   U ^ = 0.1345 0.0275 0.0033 0.1152 ,
Ζ ^ 1 = 0.00855 0.00216 0.00216 0.001496 ,   Ζ ^ 2 = 0.00857 0.00215 0.00215 0.0015 .
System (1) with (2) and (14) can be stabilizable by the switching rule
σ x t = 1 , x T k Ω ¯ 1 , 2 , x T k Ω ¯ 2 , f o r a l l t [ T k , T k + 1 ,
where
Ω ¯ 1 = Ω 1 ,   Ω ¯ 2 = Ω 2 \ Ω ¯ 1 = R 2 \ Ω ¯ 1 ,
Ζ i = U ^ 1 Ζ ^ i U ^ T , i = 1 , 2 , with
Ω 1 = x = x 1 x 2 T R 2 : x T Ζ 1 x = 0.5408 x 1 2 0.3582 x 1 x 2 0.1226 x 2 2 0 ,
Ω 2 = x = x 1 x 2 T R 2 : x T Ζ 2 x = 0.5416 x 1 2 + 0.3572 x 1 x 2 + 0.1231 x 2 2 0 .
The switching sampling input is given by
u t = K 1 x T k , x T k Ω ¯ 1 , K 2 x T k , x T k Ω ¯ 2 , f o r a l l t [ T k , T k + 1 ,
with
K 1 = K ^ 1 U ^ T = 0.7497   0.2861 ,   K 2 = K ^ 2 U ^ T = 0.1305   0.0514 .
Then, system (1) with (2) and (14)–(16) is passive with γ = 1 and H 2 measure α = 10.3784 .
(2)
H 2 measure and passive control with arbitrary switching. By the same formulation, Corollary 1 and Remarks 1-2 with τ k = T k + 1 T k τ M = 0.3 , γ = 1 , and η = 1 are feasible with h M = 1.3541 . The switching sampling input is given by
u t = K 1 x T k , σ T k = 1 , K 2 x T k , σ T k = 2 , f o r a n y t [ T k , T k + 1 ,
with
K 1 = K ^ 1 U ^ T = 0.5919 0.2428 × 10 4 , K 2 = K ^ 2 U ^ T = 0.5929 0.2434 × 10 4 .
System (1) with (2) and (14) is passive, with  γ = 1  and  H 2  measure  α = 10.5365 . Some comparisons are made in Table 1 to show the improvement of the proposed results. These are less conservative for the conditions in this paper. The proposed switching rule and sampling input can be implemented synchronously.
Example 2.
The uncertain switched time-delay system (1) with (2) and the following parameters can be considered:
N = 2 ,   τ M = 0.5 ,   h m = 4 ,   φ t = 1 1 T , h M t 0 , A 01 = 1.1 0 0.2 0.25 ,   A 02 = 0.35 0.1 0 1.1 ,   A 11 = 0.6 0.1 0.2 0.2 , A 12 = 0.3 0.1 0.1 0.6 ,   A 21 = A 22 = 0 0 0 0 ,   A z 01 = 0.1 0.1 0.1 0.1 , A z 02 = 0.1 0.1 0.1 0,1 ,   A z 11 = 0.1 0.1 0.1 0.1 , A z 12 = 0.1 0.1 0.1 0.1 ,   A z 21 = A z 22 = 0 0 0 0 ,   B w 1 = B w 2 = 0.2 0 0 0.3 , B u 1 = B u 2 = 0.2 0 0 0.3 ,   B z w 1 = B z w 2 = 0.2 0 0 0.3 ,   M x i = N x 0 i = 0.1 0 0 0.1 , N x 1 i = 0 0.1 0.1 0 ,   N x 2 i = 0 0 0 0 ,   N x w i = 0.1 0.1 0 0 ,   N x u 1 = N x u 2 = 0 0 0.1 0.1 , B z u i = M z i = N z 0 i = N z 1 i = Ξ z i = 0 ,   Ξ x i = 0.01 ,   i = 1 , 2 .
Now, we would like to show the  H 2 measure and passivity of switched system. From Theorem 1 and Remarks 1–2 with  T k + 1 T k = τ k τ M = 0.5 , η = 1 , γ = 5 , and  α 1 = α 2 = 0.5 , the proposed linear matrix inequality conditions in (7a)–(7d) with (18) are feasible, with  h M = 5.4776 . The feasible solution is provided as follows:
K ^ 1 = 0.0521 0.0106 0.2387 0.6051 ,   K ^ 2 = 0.9112 0.3739 0.0647 0.0455 ,   U ^ = 0.166 0.0341 0.042 0.1823 ,
Ζ ^ 1 = 0.019703 0.002 0.002 0.012026 ,   Ζ ^ 2 = 0.019702 0.002 0.002 0.012032 .
System (1) with (2) and (18) can be stabilizable by the switching rule
σ x t = 1 , x T k Ω ¯ 1 , 2 , x T k Ω ¯ 2 , f o r a l l t [ T k , T k + 1
where
Ω ¯ 1 = Ω 1 ,   Ω ¯ 2 = Ω 2 \ Ω ¯ 1 = R 2 \ Ω ¯ 1 ,
Ζ i = U ^ 1 Ζ ^ i U ^ T , i = 1 , 2 , with
Ω 1 = x = x 1 x 2 T R 2 : x T Ζ 1 x = 0.7414 x 1 2 + 0.0476 x 1 x 2 0.3903 x 2 2 0 ,
Ω 2 = x = x 1 x 2 T R 2 : x T Ζ 2 x = 0.7413 x 1 2 0.0474 x 1 x 2 + 0.3905 x 2 2 0 .
The switching sampling input is given by
u t = K 1 x T k , x T k Ω ¯ 1 , K 2 x T k , x T k Ω ¯ 2 , f o r a l l t [ T k , T k + 1 ,
with
K 1 = K ^ 1 U ^ T = 0.3418 0.1368 0.7936 3.1369 ,   K 2 = K ^ 2 U ^ T = 5.32 0.8257 0.4628 0.3561 .
Then, system (1) with (2) and (18)–(20) is passive, with  γ = 1 and  H 2 measure  α = 2734.8 . Some comparisons are made in Table 2 to show the improvement of the proposed results.
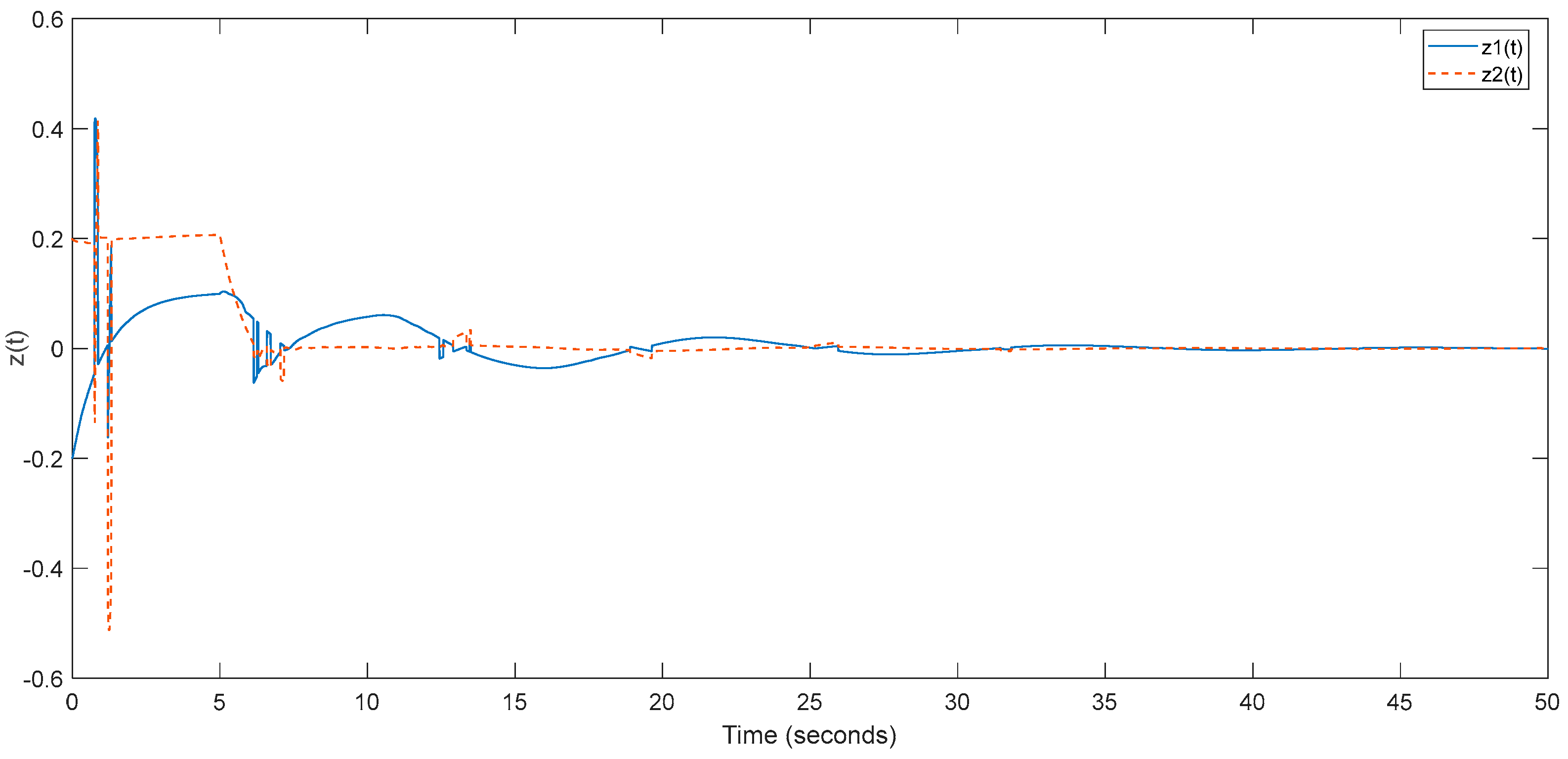
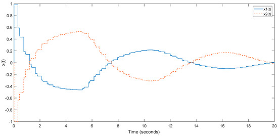
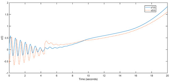
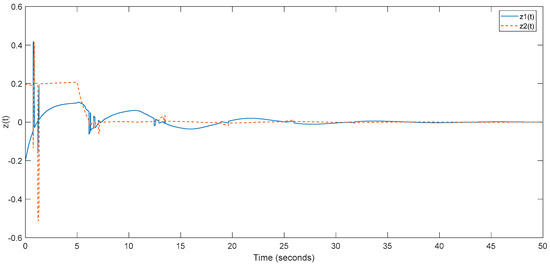
With the unperturbed condition and disturbance w t = 2 e 0.2 t sin ( 10 t ) 2 e 0.2 t cos ( 10 t ) illustrated in Figure 1, the output z t R 2 for arbitrary switching signal and no sampling input has been illustrated in Figure 2. With our proposed synchronous switching rule in (19), sampling input in (20), and the above disturbance, the output z t R 2 with φ t = 0 is illustrated in Figure 3. With these results and φ t = 1 - 1 T , 5.4776 t 0 , the output z t R 2 and state x t R 2 with φ t = 0 are illustrated in Figure 4 and Figure 5, respectively. The sampling state x t = x T k R 2 , t [ T k , T k + 1 , T k + 1 T k 0.5 , and switching rule σ t = σ T k 1 , 2 , t [ T k , T k + 1 , with w t = 0 and φ t = 1 1 T , 5.4776 t 0 , are illustrated in Figure 6 and Figure 7, respectively. With the disturbance in Figure 1, the regulated output will be unbounded for an arbitrary switching signal and no control input in Figure 2. The performances of passivity and H 2 measure for our proposed synchronous signal in (19) and input in (20) have been shown in Figure 3 and Figure 4, respectively. Some simulation diagrams for state, sampled-data state and switching signal have been provided in Figure 5, Figure 6 and Figure 7. From the simulation, the switching rule in (19) and sampling input in (20) will be effective in achieving the performance of the switched time-delay system.
Example 3.
The unperturbed switched time-delay system (1) with the following parameters is considered:
N = 2 , h m = 2 , τ M = 0.3 , φ t = 0.5   0.1 T , h M t 0 , h M will be evaluated,
A 01 = 0.1 0.001 0.001 0.15 , A 02 = 0.15 0.001 0.001 0.05 ,   A 11 = 0.7 0.001 0.001 0.7 , A 12 = 0.6 0.001 0.001 0.6 ,   A 21 = A 22 = 0 0 0 0 ,   A z 01 = 0.1 0.1 0.1 0.1 , A z 02 = 0.1 0.1 0.1 0,1 ,   A z 11 = A z 12 = A z 21 = A z 22 = 0 0 0 0 , B w 1 = B w 2 = 0.1 0 0 0.1 ,   B u 1 = B u 2 = 0.1 0 0 0.2 , B z w 1 = B z w 2 = 0.2 0 0 0.3 ,   A z 1 i = B z u i = 0 ,   i = 1 , 2 .
We provide some comparisons in Table 3 to show the less conservative nature of the results in this paper.
Some observations can be provided in the following from Table 1, Table 2 and Table 3.
With the following matrices A 01 , A 02 , A 01 + A 11 , and A 02 + A 12 not being Hurwitz, the developed approach for arbitrary switching in Corollary 1 has no feasible solution under any sampling input in Example 2. The design of the switching rule is very important in this example.
The sampling input is more efficient than the design of the switching rule in Example 3.
In this paper, the proposed synchronous switching on rule and sampling input is used to achieve the stabilization and performance of an uncertain switched system with mixed time delay. The developed scheme is implemented more easily than a real-time scheme.
A sampling input can be used to achieve the performance of a switched system in arbitrary switching.
Example 4.
The switched time-delay system (1) with (2) is considered as follows:
N = 2 ,   h m = 1 ,   h M = 1.2 ,   τ M = 0.3 ,   φ t = 0.1   0.5 T , h M t 0 , A 01 = 1.1 0.1 0.2 1 ,   A 02 = 1.2 0 0.1 1.1 ,   A 11 = 0.9 0.05 0.2 1 , A 12 = 1 0.1 0.25 1 ,   A 21 = A 22 = 0 0 0 0 ,   B w 1 = 0.2 0.01 , B w 2 = 0.2 0.02 ,   B u 1 = 1 0.1 ,   B u 2 = 1 0.1 , A z 01 = 1 0 ,   A z 02 = 0.8 0.1 ,   A z 11 = 0.8 0.6 ,   A z 12 = 0.2 1 , A z 21 = A z 22 = 0 0 0 0 ,   B z w 1 = B z w 2 = 0.5 ,   B z u 1 = B z u 2 = 0.3 , M x i = 0.01 0 0 0.02 ,   M z i = 0.01 ,   N x 0 i = 0.1 0 0 0 ,   N x 1 i = 0 0 0 0.1 , N x 2 i = 0 0 0 0 N x w i = N x u i = 0 ,   N z w i = N z u i = 0 ,   Ξ x i = 0.1 I ,   Ξ z i = 0.1 , N z 0 i = N z 1 i = 0.1 0 ,   N z 2 i = 0 0 ,   i = 1 , 2 .
In this example, we would like to achieve H 2 measure and H switching control. With synchronous switching (5) for rule and input with conditions 1 h ( t ) 1.2 and τ k 0.3 , k, the linear matrix inequality conditions in (7) of Theorem 1 and Remark 1 with η = 1 and α 1 = α 2 = 0.5 have a feasible solution with
γ = 0.268 ,   K ^ 1 = 11.9239   4.6429 ,   K ^ 2 = 16.9141   6.7406 ,
U ^ = 5.3986 1.9342 0.6831 2.3326 ,   Ζ ^ 1 = 8.1649 3.4668 3.4668 0.6176 ,   Ζ ^ 2 = 12.3651 5.0374 5.0374 2.0327
.
The switched delay system in (1) with (2) and (22) is asymptotically stabilizable by the switching rule given by
σ x t = 1 , x T k Ω ¯ 1 , 2 , x T k Ω ¯ 2 , t [ T k , T k + 1 ,
where
Ω ¯ 1 = Ω 1 ,   Ω ¯ 2 = Ω 2 \ Ω ¯ 1 = R 2 \ Ω ¯ 1
Ζ i = U ^ 1 Ζ ^ i U ^ T ,   i = 1 , 2 ,
with
Ω 1 = x = x 1 x 2 T R 2 : x T Ζ 1 x = 0.9072 x 1 2 0.7704 x 1 x 2 0.0686 x 2 2 0 ,
Ω 2 = x = x 1 x 2 T R 2 : x T Ζ 2 x = 1.3739 x 1 2 + 1.1194 x 2 + 0.2259 x 2 2 0 ,
and sampling input is given by:
u t = K 1 x T k , x T k Ω ¯ 1 , K 2 x T k , x T k Ω ¯ 2 , t [ T k , T k + 1 ,
with
K 1 = K ^ 1 U ^ T = 3.9746   1.5476 ,   K 2 = K ^ 2 U ^ T = 5.638   2.2469 .
In the above analysis, system (1) with (2) and (22) is stabilized, with H performance γ ¯ = γ = 0.5177 and H 2 measure α = 2.9174 by the switching rule in (23) and input in (24a), with K i = K ^ i U ^ T in (24b). We make some comparisons in Table 4 to show the contribution of the proposed results. The considered switched system with interval time-varying delay 1 h t 1.2 can be studied instead of constant delay h t = h = 1 in [13]. Interval sampling 0 < τ i 0.3 can also be investigated instead of pointwise-sampling τ i = 0.2 and τ j = 0.3 in [13].
Example 5.
The switched time-delay system (1) with (2) is considered as follows:
N = 2 ,   h m = 3 ,   h M = 3.5 ,   τ M = 0.1 ,   φ t = 1 1 T , h M t 0 , A 01 = 1.1 0 0.2 0.25 ,   A 02 = 0.35 0.1 0 1.1 ,   A 11 = 0.6 0.1 0.2 0.2 , A 12 = 0.3 0.1 0.1 0.6 ,   A 21 = A 22 = 0 0 0 0 ,   A z 01 = 0.1 0.1 0.1 0.1 , A z 02 = 0.1 0.1 0.1 0,1 ,   A z 11 = 0.1 0.1 0.1 0.1 , A z 12 = 0.1 0.1 0.1 0.1 ,   A z 21 = A z 22 = 0 0 0 0 ,   B x w 1 = B x w 2 = 0.2 0 0 0.3 , B x u 1 = B x u 2 = 0.2 0 0 0.3 ,   B z w 1 = B z w 2 = 0.2 0 0 0.3 , M x i = N x 0 i = 0.1 0 0 0.1 ,   N x 1 i = 0 0.1 0.1 0 ,   N x 2 i = 0 0 0 0 , N x w i = 0.1 0.1 0 0 ,   N x u 1 = N x u 2 = 0 0 0.1 0.1 , B z u i = M z i = N z 0 i = N z 1 i = N z 2 i = Ξ z i = 0 ,   Ξ x i = 0.01 ,   i = 1 , 2 .
Case 1.
H 2 measure and H switching control. With synchronous switching (5) for rule and input, with 3 h ( t ) 3.5 and τ k 0.1 , k, the linear matrix inequality conditions in (7) of Theorem 1 and Remark 1 with η = 1 and α 1 = α 2 = 0.5 have a feasible solution with
γ = 0.4031 ,   K ^ 1 = 1.5028 0.68 0.7354 2.4712 ,   K ^ 2 = 3.9972 0.2226 0.0169 0.905 , U ^ = 0.3467 0.1381 0.1516 0.6975 ,   Ζ ^ 1 = 0.2564 0.245 0.245 0.4702 ,   Ζ ^ 2 = 0.2563 0.245 0.245 0.4703 .
The switched delay system in (1) with (2) and (14) is asymptotically stabilizable by the switching rule given by
σ x t = 1 , x T k Ω ¯ 1 , 2 , x T k Ω ¯ 2 , t [ T k , T k + 1 ,
where
Ω ¯ 1 = Ω 1 ,   Ω ¯ 2 = Ω 2 \ Ω ¯ 1 = R 2 \ Ω ¯ 1 ,   Ζ i = U ^ 1 Ζ ^ i U ^ T ,   i = 1 , 2 ,
with
Ω 1 = x = x 1 x 2 T R 2 : x T Ζ 1 x = 0.0285 x 1 2 + 0.0544 x 1 x 2 0.0522 x 2 2 0 ,
Ω 2 = x = x 1 x 2 T R 2 : x T Ζ 2 x = 0.0285 x 1 2 0.0544 x 1 x 2 + 0.0523 x 2 2 0 ,
and switching input is provided in the following:
u t = K 1 x T k , x T k Ω ¯ 1 , K 2 x T k , x T k Ω ¯ 2 , t [ T k , T k + 1 ,
with
K 1 = K ^ 1 U ^ T = 0.5009 0.2267 0.2451 0.8237 ,   K 2 = K ^ 2 U ^ T = 1.3324 0.0742 0.0056 0.3017 .
We conclude that system (1) with (2) and (25) is stabilized with H performance γ ¯ = γ = 0.6349 and H 2 measure α = 23.4139 by the switching rule in (26) and sampling input in (27a), with K i = K ^ i U ^ T in (27b).
Case 2.
The switching rule σ t is arbitrary and captured at the sampling instant. We would like to consider H 2 measure and H sampled-data switching control. With the above statement in Theorem 1 with Corollary 1 and Remark 1, the system (1) with (2) and (25) is stabilizing by switching input given by:
u t = K 1 x T k , σ T k = 1 , K 2 x T k , σ T k = 2 , t [ T k , T k + 1 ,
with γ = 0.7201 ,
K 1 = K ^ 1 U ^ T = 0.671 0.0073 0.0796 0.6107 ,   K 2 = K ^ 2 U ^ T = 0.671 0.0073 0.0796 0.6107 .
The system (1) with (2) and (25) is stabilized with H performance γ ¯ = γ = 0.8486 and H 2 measure α = 27.2064 by the sampling input in (28a), with K i = K ^ i U ^ T in (28b). We make some comparisons in Table 5 to show the contribution of the developed results. The considered switched system with interval time-varying delay 3 h t 3.5 can be studied instead of constant delay h t = h = 3.4 in [13]. The interval sampling 0 < τ i 0.1 can also be investigated instead of pointwise-sampling τ i = 0.03 and τ j = 0.05 in [13].

5. Conclusions

In this paper, synchronous switching on signal and sampling input has been investigated to reach robust (Q,S,R)- γ -dissipative and H 2 performances for a switched delay system. Under the capture of switching rule, the sampling input with arbitrary switching has also been proposed. In this paper, a full matrix formulation approach has been used to show the improvement in the proposed results. Novel inequality and Lyapunov-Krasovskii functional have been investigated to derive the main contribution of this paper.

Author Contributions

Conceptualization, C.-H.L. and S.V.; methodology, K.-W.Y. and C.-R.Y.; software, Y.-Y.H.; validation, K.-W.Y. and H.-C.L.; formal analysis, C.-H.L. and H.-C.C.; investigation, Y.-Y.H.; resources, K.-W.Y.; data curation, H.-C.C. and C.-C.K.; writing—original draft preparation, C.-H.L.; writing—review and editing, C.-H.L.; visualization, H.-C.C.; supervision, C.-H.L. and S.V.; project administration, C.-H.L.; funding acquisition, K.-W.Y. and C.-H.L. The authors declare that the study was realized in collaboration with the same responsibility. All authors have read and agreed to the published version of the manuscript.

Funding

The research reported here was supported by the Ministry of Science and Technology of Taiwan, R.O.C. under grant nos. MOST 110-2221-E-992-087 and MOST 111-2218-E-006-009-MBK.

Data Availability Statement

Data are contained within the article.

Conflicts of Interest

The authors declare no conflict of interest.

References

  1. Liu, C.; Liu, X. Stability of switched systems with time-varying delays under state-dependent switching. Mathematics 2022, 10, 2722. [Google Scholar] [CrossRef]
  2. Mahmoud, M.S. Switched Time-Delay Systems; Springer: Boston, MA, USA, 2010. [Google Scholar]
  3. Sun, Z.; Ge, S.S. Stability Theory of Switched Dynamical Systems; Springer: London, UK, 2011. [Google Scholar]
  4. Gu, K.; Kharitonov, V.L.; Chen, J. Stability of Time-Delay Systems; Birkhauser: Boston, MA, USA, 2003. [Google Scholar]
  5. Hale, J.K.; Verduyn Lunel, S.M. Introduction to Functional Differential Equations; Springer: New York, NY, USA, 1993. [Google Scholar]
  6. Kolmanovskii, V.B.; Myshkis, A. Introduction to the Theory and Applications of Functional Differential Equations; Kluwer Academic Publishs: Dordrecht, The Netherlands, 1999. [Google Scholar]
  7. Lien, C.H.; Chang, H.C.; Yu, K.W.; Lee, H.C.; Hou, Y.Y. Robust H controller design of switched delay systems with linear fractional perturbations by synchronous switching on rule and sampling input. Fractal Fract. 2022, 6, 479. [Google Scholar] [CrossRef]
  8. Liu, C.; Yang, Z.; Liu, X.; Huang, X. Stability of delayed switched systems with state-dependent switching. IEEE/CAA J. Autom. Sin. 2020, 7, 872–881. [Google Scholar] [CrossRef]
  9. Phat, V.; Ratchagit, K. Stability and stabilization of switched linear discrete-time systems with interval time-varying delay. Nonlinear Anal. Hybrid Syst. 2011, 5, 605–612. [Google Scholar] [CrossRef]
  10. Sun, X.M.; Wang, W.; Liu, G.P.; Zhao, J. Stability analysis for linear switched systems with time-varying delay. IEEE Trans. Syst. Man Cybern. Part B 2008, 38, 528–533. [Google Scholar]
  11. Zhang, L.; Shi, P.; Basin, M. Robust stability and stabilisation of uncertain switched linear discrete time-delay systems. IET Proc. Control Theory Appl. 2008, 2, 606–614. [Google Scholar] [CrossRef]
  12. Lien, C.H.; Yu, K.W.; Hsieh, J.G.; Chung, L.Y.; Chen, J.D. Simple switching signal design for H performance and control of switched time-delay systems. Nonlinear Anal. Hybrid Syst. 2018, 29, 203–220. [Google Scholar] [CrossRef]
  13. Lien, C.H.; Hou, Y.Y.; Yu, K.W.; Chang, H.C. Aperiodic sampled-data robust H control of uncertain continuous switched time-delay systems. Int. J. Syst. Sci. 2020, 51, 2005–2024. [Google Scholar] [CrossRef]
  14. Lien, C.H.; Hou, Y.Y.; Yu, K.W.; Chang, H.C. Novel switching signal selection for robust passive sampled-data control of uncertain continuous switched time-delay systems. Asian J. Control 2022, 24, 1165–1182. [Google Scholar] [CrossRef]
  15. Phat, V.N.; Botmart, T.; Niamsup, P. Switching design for exponential stability of a class of nonlinear hybrid time-delay systems. Nonlinear Anal. Hybrid Syst. 2009, 3, 1–10. [Google Scholar] [CrossRef]
  16. Karimi, H.R. Passivity-based output feedback control of Markovian jump systems with discrete and distributed time-varying delays. Int. J. Syst. Sci. 2013, 44, 1290–1300. [Google Scholar] [CrossRef]
  17. Chang, X.H. Robust nonfragile H filtering of fuzzy systems with linear fractional parametric uncertainties. IEEE Trans. Fuzzy Syst. 2012, 20, 1001–1011. [Google Scholar] [CrossRef]
  18. Lien, C.H.; Chang, H.C.; Yu, K.W.; Lee, H.C.; Hou, Y.Y. Robust (Q,S,R)-γ-dissipative control of T-S fuzzy systems with interval time-varying delay and sampling. Optim. Control Appl. Methods 2022, in press.
  19. Wu, Z.G.; Shi, P.; Su, H.; Lu, R. Dissipativity-based sampled-data fuzzy control design and its application to truck-trailer system. IEEE Trans. Fuzzy Syst. 2015, 23, 1669–1679. [Google Scholar] [CrossRef]
  20. Zeng, H.B.; Teo, K.L.; He, Y.; Wang, W. Sampled-data based dissipative control of T-S fuzzy systems. Appl. Math. Model. 2019, 65, 415–427. [Google Scholar] [CrossRef]
  21. Seuret, A.; Gouaisbaut, F. Wirtinger-based integral inequality: Application to time-delay systems. Automatica 2013, 49, 2860–2866. [Google Scholar] [CrossRef]
  22. Zeng, H.B.; Teo, K.L.; He, Y. A new looped-functional for stability analysis of sampled-data systems. Automatica 2017, 82, 328–331. [Google Scholar] [CrossRef]
  23. Lam, H.K.; Leung, F.H.F. Sampled-data fuzzy controller for time-delay nonlinear system: LMI-based and fuzzy-model-based approaches. IEEE Trans. Syst. Man Cybern. Part B 2007, 37, 617–629. [Google Scholar] [CrossRef] [PubMed]
  24. Li, T.; Guo, L.; Sun, C. Robust stability for neural networks with time-varying delays and linear fractional uncertainties. Neurocomputing 2007, 71, 421–427. [Google Scholar] [CrossRef]
  25. Yang, J.; Luo, W.; Li, G.; Zhong, S. Reliable guaranteed cost control for uncertain fuzzy neutral systems. Nonlinear Anal. Hybrid Syst. 2010, 4, 644–658. [Google Scholar] [CrossRef]
  26. Boyd, S.P.; Ghaoui, L.E.; Feron, E.; Balakrishnan, V. Linear Matrix Inequalities in System and Control Theory; SIAM: Philadelphia, PA, USA, 1994. [Google Scholar]
Figure 1. Disturbance input.
Figure 1. Disturbance input.
Mathematics 11 01574 g001
Figure 2. Regulated output for arbitrary switching signal and no control input.
Figure 2. Regulated output for arbitrary switching signal and no control input.
Mathematics 11 01574 g002
Figure 3. Regulated output for synchronous signal in (19) and input in (20) with zero initial condition.
Figure 3. Regulated output for synchronous signal in (19) and input in (20) with zero initial condition.
Mathematics 11 01574 g003
Figure 4. Regulated output for synchronous signal in (19) and input in (20) with zero disturbance input.
Figure 4. Regulated output for synchronous signal in (19) and input in (20) with zero disturbance input.
Mathematics 11 01574 g004
Figure 5. State for synchronous signal in (19) and input in (20) with zero disturbance input.
Figure 5. State for synchronous signal in (19) and input in (20) with zero disturbance input.
Mathematics 11 01574 g005
Figure 6. Sampled-data state for synchronous signal in (19) and input in (20) with zero disturbance input.
Figure 6. Sampled-data state for synchronous signal in (19) and input in (20) with zero disturbance input.
Mathematics 11 01574 g006
Figure 7. The selected switching signal in (19).
Figure 7. The selected switching signal in (19).
Mathematics 11 01574 g007
Table 1. Comparisons of switched time-delay system (1) with (2) and (14).
Table 1. Comparisons of switched time-delay system (1) with (2) and (14).
Comparisons about the Sampled-Data Switched Time-Delay System (1) with (2) and (14).
ResultsSampling Interval Time   Delay   h t Approaches
Results of [14] τ i = 0.2
τ j = 0.3
for some i and j
pointwise sampling
h = 1
constant delay
Synchronous switching for:
1. Switching signal
2. Sampled-data input
Results of Theorem 1
in this paper
0 < τ i 0.3 1 h t 1.4889 unknown time-varying delaySynchronous switching for:
1. Switching signal (15)
2. Sampled-data input (16)
Results of Corollary 1
in this paper
1 h t 1.3541
unknown time-varying delay
1. Arbitrary switching can be captured at each sampling instant
2. Sampled-data input (17)
Table 2. Comparisons of the switched time-delay system (1) with (2) and (18).
Table 2. Comparisons of the switched time-delay system (1) with (2) and (18).
ResultsSampling IntervalTime DelayApproach and Delay
Results of [14] τ i = 0.01 and τ j = 0.012 for some i and j
pointwise sampling
h = 4.2136 Constant delaySynchronous switching:
1. Switching signal
2. Sampled-data input
The proposed results in Theorem 1 0 < τ i 0.5 4 h t 5.4776 unknown time-varying delaySynchronous switching:
1. Switching signal in (19)
2. Sampled-data input in (20)
The proposed results in Corollary 1 0 < τ i 0.2197 4 h t 4.8371
unknown time-varying delay
1. Arbitrary switching can be captured at each sampling instant
2. Sampled-data input
Table 3. Comparing previous results with this paper.
Table 3. Comparing previous results with this paper.
Comparisons of the Switched Time-Delay System (1) with (2) and (22)–(24)
ResultsSampling IntervalTime DelayUpper Bounds of Time Delay and Performance
[15]No sampling h = 1.37 Fail
[12]No sampling h = 1.37 Real-time state dependent switching signal (No input)
[14] τ i = 0.025 and τ j = 0.03 for some i and j
pointwise sampling
h = 2.8233 Sampled-data switching on switching signal with passive performance γ = 2
(No input)
h = 3.4432 Synchronous switching on switching signal and sampled-data input with passive performance γ = 2
h = 3.4277 Switching is arbitrary can be captured anytime for sampled-data input
The proposed results in this paper 0 < τ i 0.2 2 h t 3.5998 unknown time-varying delaySynchronous switching on switching signal and sampled-data input
Passive performance γ = 2
H 2 measure α = 70.9514
2 h t 3.5783 unknown time-varying delaySwitching is arbitrary and can be captured only at each sampling instant for sampled-data input
Passive performance γ = 2
H 2 measure α = 69.5848
Table 4. Some comparisons of the sampled-data switched time-delay system.
Table 4. Some comparisons of the sampled-data switched time-delay system.
Comparisons about the Switched Time-Delay System (1) with (2) and (22)–(24).
ResultsTime Delay h t Sampling PeriodDisturbance Attenuation
Results of [13]
(Synchronous switching for signal and sampled-data input)
h t = 1
Constant delay
τ i = 0.2
τ j = 0.3
for some i and j
pointwise sampling
γ ¯ = 0.632
Results of Theorem 1
in this paper
1 h t 1.2
h t unknown
0 < τ i 0.3 γ ¯ = 0.5177
Table 5. Comparing the obtained results with published ones.
Table 5. Comparing the obtained results with published ones.
ResultsSampling PeriodDisturbance AttenuationApproach and Delay
Results of [12]No sampling γ ¯ = 1.3342 1. No control input
2. Real time switching signal design
3. Constant delay h = 3.4
Results of [13]No sampling γ ¯ = 1.2989
τ i = 0.03 and τ j = 0.05 for some i and j
pointwise sampling
γ ¯ = 0.8355 Synchronous switching:
1. Novel switching signal
2. Sampled-data input
3. Constant delay h = 3.4
γ ¯ = 1.0951 1. Arbitrary switching
2. Sampled-data input
3. Constant delay h = 3.4
The proposed results in Theorem 1 0 < τ i 0.1 γ ¯ = 0.6349 Synchronous switching:
1. Novel switching signal
2. Sampled-data input
3.  3 h t 3.5
The proposed results in Corollary 1 γ ¯ = 0.8486 1. Arbitrary switching ( σ can be captured at sampling instant)
2. Sampled-data input
3.  3 h t 3.5
Disclaimer/Publisher’s Note: The statements, opinions and data contained in all publications are solely those of the individual author(s) and contributor(s) and not of MDPI and/or the editor(s). MDPI and/or the editor(s) disclaim responsibility for any injury to people or property resulting from any ideas, methods, instructions or products referred to in the content.

Share and Cite

MDPI and ACS Style

Yu, K.-W.; Lien, C.-H.; Chang, H.-C.; Ku, C.-C.; Vaidyanathan, S.; Yu, C.-R.; Li, H.-C.; Hou, Y.-Y. Robust (Q,S,R)-γ-Dissipative and H2 Performances for Switched Systems with Mixed Time Delays. Mathematics 2023, 11, 1574. https://doi.org/10.3390/math11071574

AMA Style

Yu K-W, Lien C-H, Chang H-C, Ku C-C, Vaidyanathan S, Yu C-R, Li H-C, Hou Y-Y. Robust (Q,S,R)-γ-Dissipative and H2 Performances for Switched Systems with Mixed Time Delays. Mathematics. 2023; 11(7):1574. https://doi.org/10.3390/math11071574

Chicago/Turabian Style

Yu, Ker-Wei, Chang-Hua Lien, Hao-Chin Chang, Cheung-Chieh Ku, Sundarapandian Vaidyanathan, Cheng-Ruei Yu, Hung-Chih Li, and Yi-You Hou. 2023. "Robust (Q,S,R)-γ-Dissipative and H2 Performances for Switched Systems with Mixed Time Delays" Mathematics 11, no. 7: 1574. https://doi.org/10.3390/math11071574

APA Style

Yu, K.-W., Lien, C.-H., Chang, H.-C., Ku, C.-C., Vaidyanathan, S., Yu, C.-R., Li, H.-C., & Hou, Y.-Y. (2023). Robust (Q,S,R)-γ-Dissipative and H2 Performances for Switched Systems with Mixed Time Delays. Mathematics, 11(7), 1574. https://doi.org/10.3390/math11071574

Note that from the first issue of 2016, this journal uses article numbers instead of page numbers. See further details here.

Article Metrics

Back to TopTop