You are currently viewing a new version of our website. To view the old version click .
Mathematics
  • Article
  • Open Access

5 February 2023

Double Risk Catastrophe Reinsurance Premium Based on Houses Damaged and Deaths

,
and
1
Master of Mathematics Study Program, Department of Mathematics, Faculty of Mathematics and Natural Sciences, Universitas Padjadjaran, Sumedang 45363, Indonesia
2
Department of Mathematics, Faculty of Mathematics and Natural Sciences, Universitas Padjadjaran, Sumedang 45363, Indonesia
*
Author to whom correspondence should be addressed.

Abstract

The peaks over threshold (POT) model for catastrophe (CAT) reinsurance pricing has been widely used, but has mainly focused on univariate CAT reinsurance pricing. We provide further justification and support for the model by considering the addition of more than one type of CAT risk in the context of extreme value theory. We further extend the applicability of the CAT reinsurance premium model by considering house damage and deaths as CAT risk. Using the proposed model, we present a simulation framework for pricing double risk CAT reinsurance, based on excess-of-loss reinsurance contract. Furthermore, we fit the POT model to the earthquake loss data in Indonesia. Finally, we provide the price of the double risk CAT reinsurance premium under the standard deviation premium principle. The framework results obtained show that the pricing formulas in this study are appropriate for the double risk claim and may be used as a basis for the pricing of double risk CAT excess-of-loss reinsurance contracts.

1. Introduction

Referring to Zhao [1], a catastrophe (CAT) is an event or series of events caused by nature. CATs are events such as floods, earthquakes, volcanic eruptions, storms, and others. CAT can be categorized as extreme events due to their low frequency but high severity [2]. For example, the earthquake in Indonesia in 2018 caused at least 577 deaths. In addition, based on the data from BNPB (Badan Nasional Penanggulangan Bencana) or the National Board for Disaster Management, earthquakes in Indonesia in 2018 caused losses of nearly IDR 10 billion. This encourages a country to buy CAT insurance.
CAT insurance can provide relief funds if a catastrophic event occurs. However, in recent years, CAT events have tended to increase in terms of both frequency and severity [3]. These catastrophic and unpredictable losses have placed an enormous financial strain on the insurance business and can even lead to bankruptcy. Therefore, the ceding company needs to transfer the CAT risk to the reinsurer, which can be conducted by buying excess loss protection from the CAT, also known as CAT reinsurance.
Reinsurance is closely related to contracts. One type of reinsurance contract is excess of loss. This type of contract is often used by researchers because of its apparent transparency [4]. Several studies on excess of loss CAT reinsurance have been carried out. Lin et al. [5] studied excess of loss catastrophic reinsurance contracts using an extreme risk financial approach, while Ekheden et al. [6] developed an excess of loss CAT reinsurance model for annual claim costs based on the compound Poisson process of catastrophic losses. Furthermore, Leppisaari [7] developed the model that had been developed by Ekheden et al. [6] using a microsimulation approach. Yue [2] determined excess of loss catastrophic reinsurance premiums with different approximation points based on the extreme value model. Then, Saputra et al. [8] used an aggregate claims model on the excess of loss catastrophic reinsurance contracts. Khare et al. [9] presented a new model based on loss per event in determining the excess of loss catastrophic reinsurance contract premiums. Another study was conducted by Chao [10] to determine the excess of loss CAT reinsurance premium under the standard deviation premium principle.
Based on the literature review that has been conducted, research conducted by Chao (2022) has the advantage that the choice of claim distribution has a significant impact on excess of loss catastrophic reinsurance premiums. The addition of the standard deviation is a significant factor that provides higher and fairer excess of loss CAT reinsurance premiums. The gap found was that the research has focused on determining univariate disaster reinsurance premiums. Meanwhile, according to Chao [3], CAT events often cause more than one type of claim. This statement is supported by Chan et al. [11], where Chan explained in his research that claims on extreme events can lead to more than one type of claim. In his research, Chan provides an example of motor vehicle insurance. An accident as a trigger for a claim can pose a risk in the form of vehicle damage and bodily injury. According to Chan, this is similar to CAT insurance or reinsurance as CAT events have several risks that can cause losses including death, illness, injury, and damage or loss of property.
Research on multi risk CAT reinsurance premiums has been conducted by Chao [3]. In his research, Chao determined the multi risk CAT reinsurance premium based on stochastic interest rates using the Cox–Ingersoll–Ross (CIR) model. Then, Monte Carlo simulation was used in the premium calculation. The gaps found in this study were the methods used in the premium calculations. The Monte Carlo simulation has a low degree of convergence that causes the Monte Carlo simulation to be less efficient in obtaining accurate solutions, while the CAT reinsurance premium is very important because it has a big impact on the ceding company and reinsurer.
Based on the research advantages and gaps that have been described, this research aimed to develop an excess of loss CAT reinsurance premium model that had been carried out by Chao [10], and the existing model was improved by adding one other risk so that it became a double risk CAT reinsurance premium model with an excess of loss contract. The risk added to the model was the number of people who died due to the CAT event. This risk was chosen because it can help calculate the mortality rate. The death rate can describe the number of people at risk and the length of time a disaster occurs (BNPB, 2022). In addition, the death rate is important because it is used to determine the magnitude of the risk problem due to a CAT event. This can then be a consideration for the ceding company and reinsurer in underwriting the CAT reinsurance premium. Then, the risk that was used in the model was economic loss. In this study, we changed the data to the number of houses damaged by one CAT event.
Therefore, this study aimed to develop the CAT reinsurance premium that had been carried out by Chao (2022) into a double risk CAT reinsurance premium. The risks involved in pricing the premium were the number of people who died and the number of houses damaged due to CAT events. These two risks were assumed to be independent of each other. The number of deaths and the house damage were approached using the peaks over threshold (POT) model. The choice of this model was due to the extreme risk of the CAT event. Then, the estimation of the generalized Pareto distribution (GPD) parameter contained in the POT model was carried out using the maximum likelihood estimation (MLE) method. The standard deviation premium principle was used as the premium calculation method. In addition, the retention of each risk was assumed to be equal to the threshold value of the data on the number of deaths and the house damage due to CAT events. This research is expected to help the ceding company and reinsurer in pricing double-risk CAT reinsurance premiums.

2. Literature Review

2.1. CAT Reinsurance

Drexler et al. [12] stated that reinsurance is insurance for a ceding company. The ceding company uses reinsurance to reduce their exposure to risk. There is some literature indicating several reasons ceding companies have for using reinsurance, the most common one being that they are risk averse. Furthermore, Drexler also explained that reinsurance is generally divided into two types: proportional and non-proportional contracts. In a proportional contract, the ceding company surrenders a fixed percentage of the premium to the reinsurer. Instead, the reinsurer bears the same proportion of losses. For the non-proportional, the proportion of losses borne by the reinsurer is generally higher when the ceding company suffers larger losses.
In order to reduce the risk of possible large losses caused by CAT events, the ceding company may purchase CAT contracts from reinsurers. CAT reinsurance is a traditional mechanism for transferring CAT risk and has an important role in protecting CAT risk [1]. By transferring risk through reinsurance, the ceding company can use reinsurance to reduce the bankruptcy risk and still comply with the agreement. In addition, reinsurance also improves the underwriting capabilities of the ceding company.

Excess of Loss CAT Reinsurance Scheme

Excess of loss reinsurance is a type of non-proportional reinsurance contract, where the ceding company will obtain a compensation from the reinsurer, if the amount of the claim submitted by the policyholder exceeds the retention of a certain nominal that can be borne by the ceding company. Let X be a total claim submitted by the policyholder and D is the retention, the excess X D will be paid by the reinsurer. Therefore, the total claim paid by the reinsurer can be written as
X R = X D +
where X D + = max X D , 0 .

2.2. Extreme Value Theory

The extreme value theory (EVT) approach is used to depict the tail characteristic of extreme events [3]. A CAT is one example of an extreme event because their risk frequency is low but the loss impact is high, which has the characteristic of heavy-tailed distributions [13]. The losses cannot be modeled with the usual approximation such as a normal distribution or a heavy-tailed distribution (e.g., log-normal, gamma distribution). These distributions cannot well describe the huge losses of CAT risk [10]. Meanwhile, the distribution of the EVT approach is able to cover this flaw. One of the advantages of EVT are that it does not require any assumption on the overall distribution, and it directly uses sample data to deduce the tail characteristic of the distribution [10].
The EVT approach provides two types of models for extreme data identification, namely, the block maxima method (BMM) and peaks over threshold (POT). The BMM model uses only the maximum (or minimum) data that can be assessed as extreme data. This may cause a large amount of data to be lost [10]. Therefore, the POT model is used in order to make full use of the data. The POT model applies the Pickands–Dalkema–DeHann theorem.

Peaks over Threshold

The POT model applies the Pickands–Dalkema–DeHann theorem. This model was first introduced by Pickands [14] as follows.
Assume that X 1 , X 2 , X 3 , , X n are independent and identically distributed random variables with the distribution function F and u as the threshold value u 0 . Then, Y = X u is an excess, so the distribution of Y is called the conditional excess distribution function.
F u y = P X u y ,   X > u = P u < X u + y 1 P X u = F u + y F u 1 F u
F u y = F x F u 1 F u ,         y 0 ,
which yields
F x = 1 F u F u y + F u ,         x u > 0 .
Let 0 y x * and x * = sup   x   : F x < 1 . According to Pickands–Balkema–DeHaan, for large enough 𝑢, F u y can be well-approximated by the generalized Pareto distribution (GPD).
G P D ξ , β y = 1 1 + ξ y β 1 ξ ,   ξ 0 ; 1 exp   y β ,   ξ = 0 ,
and probability density function (pdf) for GPD
g ξ , β y = 1 β 1 + ξ y β 1 1 ξ   ξ 0 ; 1 β exp y β   ξ = 0 ,    
where β > 0 and y 0 if ξ 0 ,   0   y β / ξ if ξ < 0 , ξ and β are the shape parameter and scale parameter, respectively.

2.3. The Standard Deviation Premium Principle

Dickson [15] states that for each θ > 0 , the standard deviation premium principle can be expressed by Equation (6).
P X = E X + θ V a r X
where E X and V a r X denote the pure premium and variance of the loss distribution X , respectively, and θ is a loading factor.
According to [10], the heavy-tailed characteristic caused the reinsurer who used excess of loss contracts to face huge risks. This also caused a low interest in underwriting the CAT reinsurance. In order to increase the underwriting willingness, the pricing of CAT excess of loss reinsurance premiums is usually conducted under the standard deviation premium principle.

3. Materials and Methods

3.1. Materials

In this study, the improvement and modification of CAT reinsurance established in Chao [10] was conducted. In his study, Chao used the economic losses due to the CAT event as the risk that triggered the claim. The improvement of this study was to add one more risk that could be a trigger to the claim of CAT reinsurance. The risks used in this study were the number of houses damaged and the number of deaths due to CAT events. These risks were chosen so the claims submitted were more obvious. Some slight modifications of Chao’s work were undertaken in this study, with the addition of the claim coefficient of the pricing formula.
In order to carry out the numerical simulation of the proposed model, we collected the recorded national direct losses of earthquake events throughout 38 provinces in Indonesia from 2002 to 2022 (https://dibi.bnpb.go.id accessed on 1 January 2023) from the official website of the National Board of Disaster Management of Indonesia. Accordingly, the data per event were recorded to estimate the expected and variance of the losses due to earthquake events.
We can see from Table 1 that the average house damage and deaths caused by earthquake events in Indonesia from 2002 to 2022 was 67,682 and 171, respectively. Houses damaged had a large range from 364 to 580,153 houses, while the range of deaths was from 0 to 3131 people. Figure 1 shows that both house damage and deaths seemed roughly right skewed with a positive association for the data. Death is something that definitely happens every day, not only affected by earthquake events.
Table 1. Descriptive statistic of houses damaged and deaths.
Figure 1. Histogram of (a) the houses damaged and (b) deaths.
In summary, the houses damaged and deaths caused by earthquake is highly associated with extreme damage and death. We established the premium model in the context of extreme events to conduct CAT (earthquake) risk management through reinsurance contracts.

3.2. Methods

The premium model framework that we used in this study consisted of three steps. The first step of the analysis was to determine the number of extreme values and the excess loss data using the percentage method. In the second step, we fit the excess loss data using the Kolmogorov–Smirnov test. After fitting the excess loss data to the POT model, we used the maximum likelihood estimation to estimate the GPD parameter of the POT model.

3.2.1. Threshold Value Selection Method

To determine the number of extreme value data, it remained to check whether the kurtosis of the recorded data was more than three (to see the characteristic of heavy-tailed distribution). We used the percentage method to select the threshold value. The extreme value data had values greater than the threshold value. According to [16], 10% of the data was extreme values. The step of the percentage method (10%) are as follows.
  • Sort data from largest to smallest.
  • Calculate the number of extreme data with the following equation.
    k = 10 % × N
    where k and N are the number of extreme data and the number of samples, respectively.
  • Determine the threshold value with the following equation.
      u = k + 1

3.2.2. Goodness of Fit Test

The goodness of fit test can be carried out using the Kolmogorov–Smirnov test. This test is conducted by adjusting the empirical distribution function F y with a certain theoretical distribution F 0 y . Hypothesis testing for certain distributions is as follows.
H 0   :   F y = F 0 y  
H 1   :   F y F 0 y  
To test the compatibility, we used the Kolmogorov–Smirnov D n test statistic as follows.
D n = max   F y F 0 y  
The conclusion was obtained by comparing D n with D 1 α , then rejecting H 0 if D n > D 1 α .

3.2.3. Maximum Likelihood Estimation

Maximum likelihood estimation methods are used to estimate the parameter of distribution. Assume that Y j ,   j = 1 , 2 , 3 , ,   k are independent and are identically distributed random variables with GPD ξ , β . The likelihood function of Y j can be written as follows:
L ξ , β = j = 1 k   f y j ; ξ , β
The l n -likelihood function is
l n   L ξ , β = j = 1 k l n   f y j ; ξ ,   β
Then, we can derive the first l n -likelihood to its parameters ξ and β for ξ 0 .
  l n   L ξ = 1 ξ 2 j = 1 k l n 1 + ξ y j β 1 ξ + 1 j = 1 k y j β + ξ y j
  l n   L β = 1 β k + 1 + ξ j = 1 k y j β + ξ y j
Equations (11) and (12) are equally zero until a closed form equation is formed to obtain the estimate parameter as follows.
ξ ^ = j = 1 k l n 1 + ξ ^ y j β 1 + ξ ^ j = 1 k y j β ^ + ξ ^ y j   ,   β ^ = 1 + ξ ^ k ξ ^ j = 1 k y j k 2
Equation 12 is not a closed form because there is still a parameter included. According to [17], the Newton–Raphson method can be used to solve this problem. The use of the Newton–Raphson method is carried out by carrying out iterations until a convergent result is obtained with the following equation.
θ l + 1 = θ l H 1 θ l g θ l
where g θ is the gradient vector containing the first derivative of the probability density function GPD to its parameters. H θ is the Hessian matrix containing the second derivative to its parameters.
g θ l =   l n   L ξ   l n   L β
H θ l =   2 l n   L ξ 2   2 l n   L ξ   β   2 l n   L β   ξ   2 l n   L β 2
The second l n -likelihood function
  2 l n   L ξ 2 = 2 ξ 3 ξ j = 1 k y j β + ξ y j j = 1 k l n 1 + ξ y j β + 1 ξ + 1 j = 1 k y j 2 β + ξ y j 2
  2 l n   L β 2 = ξ 2 k 1 + ξ j = 1 k y j β + ξ y j 1 + ξ β j = 1 k y j β + ξ y j 2
    2 l n   L ξ   β =   2 l n   L   β   ξ = β 1 j = 1 k y j β y j β + ξ y j 2
The Newton–Raphson iteration starts by determining the value of θ 0 . θ 0 is the vector with elements ξ ^ 0 and β ^ 0 . The initial estimate values are substituted to the gradient vector and Hessian matrix. According to [18], θ 0 can be estimated by Equation (20).
θ 0 = ξ ^ 0 = 1 2   y ¯ j s 2 1 β ^ 0 = 1 2   y ¯ j   y ¯ j s 2 + 1 ,  
where y ¯ j and s are the mean and standard deviation y j , respectively. Let ε be a tolerable error and the error value for each iteration can be determined by Equation (21).
ε l = θ l + 1 θ l = ξ ^ l + 1 ξ ^ l 2 + β ^ l + 1 β ^ l 2 ;   l = 0 , 1 , 2 ,
The iteration stops if ε l < ε for the first time. The value of θ θ ^   l is the maximum solution of Equation (10) if   b = b 1 b 2 2 ,   b T H ( θ ^   l ) b 0 .

4. Results

4.1. Premium Model Framework

4.1.1. Single Risk CAT Reinsurance Premium Model

This model was first introduced by Chao [10]. In this study, we applied some slight modifications to this model as follows. Let N t be a Poisson process with parameter λ and D be the ceding company’s retention. X i denotes the houses damaged of the i th CAT events and X i is independent of N . The CAT reinsurance premium used the excess of loss contract. If the aggregate claim of the ceding company of a single catastrophic event exceeds the retention D, the excess XiD will be paid by the reinsurer, where c is the claim coefficient of the houses damaged. The reinsurer must pay the total amount of claims that can be written by
Z = i = 1 N t c X i D + = :   i = 1 N t C i
where X i D + =   max   X i D ,   0 .
Through Equation (22), the single risk CAT reinsurance premium under the standard deviation premium principle can be expressed by
V = E Z + ρ × S D Z
It is well-known that
E Z = E N E C i = λ E C i
and
V a r Z = E 2 C i V a r N + E N V a r C i = λ E C i 2
Moreover, by the total expectation formula, one has
E C i = E c X i D + X i > D P X i > D + E c X i D + X i D P ( X i D )   = E c X i D + X i > D P X i > D   = c E X i D + X i > D P X i > D
E C i 2 = E c X i D + 2 X i > D P X i > D + E c X i D + 2 X i D P ( X i D )   = E c X i D + 2 X i > D P X i > D   = c 2 E X i D + 2 X i > D P X i > D
Similarly,
E Z = λ c E X i D + X i > D P X i > D
V a r Z = λ c 2 E X i D + 2 X i > D P X i > D
Combining Equations (24) and (25), we can see that
V = λ c E X i D + X i > D P X i > D + ρ × λ c 2 E X i D + 2 X i > D P X i > D  
To proceed with Equation (26), we need the following proposition.
Proposition 1.
(Chao, 2022):
If a random variable X obeys the generalized Pareto distribution, then it holds that
E X k = β m ξ 1 m m ! ξ m + 1 Γ 1 + ξ 1
where m + , ξ < 1 / m , dan Γ is the Gamma function.
The correlation between the retention D and the threshold value u is uncertain. Motivated by [10], we assumed that the pricing formula of the CAT excess of loss contract was D = u . For this, by Proposition 1, one has
E X i D + X i > D = D + x D f x F ¯ D d x = 0 + t   f u t d t = E X = β 1 ξ
E X i D + 2 X i > D = D + x D 2 f x F ¯ D d x = 0 + t 2 f u t d t = E X 2 = 2 β 2 1 ξ 1 2 ξ
where F ¯ D = 1 F D .
Furthermore, using the historical simulation method, F ¯ D can be estimated by k N , where N is the sample size and k is the number of samples exceeding the threshold value u . It then follows from Equations (25)–(27) that
V = k c λ β N 1 ξ + ρ β c λ 2 k N 1 ξ 1 2 ξ

4.1.2. Double Risk CAT Reinsurance Premium Model

The previous model only involved one risk; in this section, the CAT reinsurance premium model was developed to involve other risks, namely in the form of death due to a CAT event. The premium model framework involved two risks: houses damaged and deaths. A double risk CAT reinsurance contract with a term of T years was used. Suppose that t   X i denotes the houses damaged of the i th CAT events and X i is independent of N . W i denotes the number of people who died due to the i th CAT event and W i is also independent of N . Then, X i and W i are independent random variables and identically distributed, and F X and F W are cumulative distribution functions, respectively. The claim coefficient of the houses damaged and death are c 1 and c 2 , respectively. The reinsurer must pay the total amount of claims that can be written by
Z = i = 1 N t c 1 X i D ) + c 2 ( W i R   + = :   i = 1 N t C i
where X i D + =   max   c 1 X i D ) + c 2 ( W i R ,   0 .
Based on Equation (30), the double risk CAT reinsurance premium under the standard deviation premium principle can be expressed by
V = E Z + ρ × S D Z
The pricing formula was carried out like the previous model in Section 4.1.2. Moreover, by the total expectation formula, one has
E C i   = E c 1 X i D ) + c 2 ( W i R + X i > D ,   W i > R P X i > D P W i > R   + E c 1 X i D ) + c 2 ( W i R + X i < D ,   W i < R P X i < D P W i < R = E c 1 X i D ) + c 2 ( W i R + X i > D ,   W i > R P X i > D P W i > R = c 1 E X i D + X i > D P X i > D + c 2 E W i R + W i > R P W i > R
E C i 2 = E c 1 X i D ) + c 2 ( W i R + 2 X i > D ,   W i > R P X i > D P Y i > R + E c 1 X i D ) + c 2 ( W i R + 2 X i D , W i R P X i D P W i R = E c 1 X i D ) + c 2 ( W i R + 2 X i > D ,   W i > R P X i > D P W i > R = c 1 2 E X i D + 2 X i > D P X i > D + c 2 2 E W i R + 2 W i > R P W i > R
Similarly,
E Z = λ c 1 E X i D + X i > D P X i > D + c 2 E W i R + W i > R P W i > R
V a r Z = λ c 1 2 E X i D + 2 X i > D , P X i > D + c 2 2 E W i R + 2 W i > R P W i > R
Combining Equations (32) and (33), we have
V = λ c 1 E X i D + X i > D P X i > D + c 2 E W i R + W i > R P W i > R   + ρ × λ c 1 2 E X i D + 2 X i > D , P X i > D + c 2 2 E W i R + 2 W i > R P W i > R
Equation (34) is solved using Proposition 1. Based on the assumption that each retention is equal to the threshold value of the data on the number of houses damaged and the number of deaths due to CAT events, respectively, ( D = u X dan R = u W ) .
E X i D + X i > D = D + x D f x F ¯ D d x = 0 + t   f u t d t = E X = β X 1 ξ X
E X i D + 2 X i > D = D + x D 2 f x F ¯ D d x = 0 + t 2 f u t d t = E X 2 = 2 β X 2 1 ξ X 1 2 ξ X
E W i R + W i > R = R + w R f w F ¯ R d w = 0 + t   f u W t d t = E W = β W 1 ξ W
E W i R + 2 W i > R = R + w R 2 f w F ¯ R d w = 0 + t 2 f u W t d t = E W 2 = 2 β W 2 1 ξ W 1 2 ξ W
Furthermore, using the historical simulation method, F ¯ D can be estimated by k X N X and F ¯ R can be estimated by k W N W . N X and N w are the sample size of the houses damaged and deaths, respectively. k X and k W are the number of sample of houses damaged and deaths exceeding the threshold value u . It then follows from Equations (31)–(35) that
V = λ   c 1 k X β X N X 1 ξ X + c 2 k W β W N W 1 ξ W + ρ λ c 1 2 2 β X 2 1 ξ X 1 2 ξ X + c 2 2 2 β W 2 1 ξ W 1 2 ξ W

4.2. Simulation

4.2.1. Data Description

Our focus was on the observations of houses damaged and deaths due to earthquake events in Indonesia. Usually, the cases where at least three lives are lost in a one event are often considered as a CAT (see [6]). In general, we can use the kurtosis of data to see the heavy-tailed characteristic. From Table 1, we found that the kurtoses of houses damaged and deaths were 9.0613 and 27.2195, respectively, which were both larger than three, thus indicating the heavy-tailed characteristic [19]. Moreover, Figure 2 shows the QQ plots appearing in a convex shape. Thus, we determined that the houses damaged and deaths during earthquake possess the characteristic of a heavy-tail [19].
Figure 2. (a) QQ plot of the houses damaged and (b) deaths.

4.2.2. Threshold Value Selection

It is well-known that the selection of the threshold value plays an important role in the POT model [3]. Moreover, the selection of the threshold value affects the variance of data and the systematic bias. If we take a larger threshold, less data can be adapted in the inference, which leads to a larger variance in the estimation. In other ways, choosing a lower threshold implies that more data are available to estimate in the analysis, consequently decreasing the variance of the results [3]. Nevertheless, choosing a threshold value too low will lead to invalidity of the GPD parameter estimation of the excess distribution.
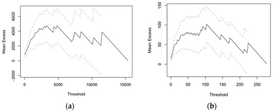
Therefore, how to choose an appropriate threshold value for the POT model is a serious problem. In actual implementation, there are many ways to choose the threshold. The most common way is based on the mean residual plot. The threshold is justified if the mean excess plot becomes roughly linear, which starts from a certain threshold level [3]. For more details, see the work by Embrechts et al. [20]. Figure 2 shows the mean excess plots of the houses damaged and deaths, respectively.
We can see from Figure 3a that the plot curved up until around the values of 1000, 5000, 10,000, 12,000, and straightened up after that. Therefore, we could select 150,000 as a threshold value of the houses damaged. By using similar arguments to the case of houses damaged and referring to Figure 3b, we could select a threshold value of death of 244.
Figure 3. Mean excess plot of (a) the houses damaged and (b) deaths.
The other approach and easier step is to use the method conducted by [16]. Based on Equations (5) and (6), the number of extreme data was 20. Therefore, the threshold value was the 21st data. Through this, we had an exact value of the threshold than though the first way. For the houses damaged and deaths, the threshold values were 1487 and 27, respectively. Therefore, we can conclude that the least amount of houses damaged due to the earthquake was 1487 houses. Then, the number of people who died was at least 27 people.

4.2.3. Goodness of Fit Test

In this section, the threshold values of the houses damaged and death, which help to identify the GPD excess losses Y = X u   |   X > u , followed Equation (6), and the threshold value was selected to ensure the number of exceedances out of n sample size [21]. In order to check the appropriateness of the GPD excess loss, we selected 1487 and 27 as the threshold values. We used the Kolmogorov–Smirnov test at a significance level of α = 95%, and the results are shown in Table 2.
Table 2. The Kolmogorov–Smirnov Test for houses damaged and deaths.
Based on Table 2, it shows the excess loss data on the houses damaged and deaths following the GPD ξ , β . Moreover, Figure 2 shows the GPD fitted to those threshold values.
Observing the histogram from Figure 4a, we can see that the histogram of houses damaged obtained from the selection of threshold values showed that the empirical distribution was fit to the GPD. A similar analysis was conducted for the histogram of deaths from Figure 1b. It was obvious that the selected threshold value was appropriately fit.
Figure 4. Histogram of excess loss on (a) the houses damaged and (b) deaths.

4.2.4. Parameter Estimation of General Pareto Distribution

After obtaining an appropriate threshold value, the maximum likelihood estimation method used to estimate the GPD parameters. The estimation of the GPD parameters was obtained by maximizing Equation (9) using Newton–Raphson iteration in Equation (14) with the tolerable error of 0.00001. First, we used the data of the houses damaged. The obtained results are presented in Table 3.
Table 3. The Newton–Raphson iteration for houses damaged.
Based on Table 3, θ ^ 6 is the maximum solution of Equation (9). To check whether θ ^ 6 is the maximum solution,   b = b 1 b 2 2 ,   b T H θ ^ 6 b 0 must be satisfied. Here, it is the inspection process. Let b = b 1 b 2 2 . Based on the iteration results, H ( θ ^ 6 ) = 23.513744 0.00049785 0.00049785 0.00000015 . Furthermore, it is checked whether b T H ( θ ^ 6 ) b 0 .
b T H ( θ ^ 6 ) b = b 1 b 2 23.513744 0.00049785 0.00049785 0.00000015 b 1 b 2 = 23.513744 b 1 2 0.009957 b 1 b 2 0.00000015 b 2 2 = 23.513744 b 1 2 + 0.009957 b 1 b 2 + 0.00000015 b 2 2
It is well-known that A b 1 2 + 2 B b 1 b 2 + C b 2 2 = A b 1 + B A b 2 2 + C B 2 A b 2 2 . Let A = 23.513744 , B = 0.009957 2 = 0.00049785 , and C = 0.00000015 , then Equation (40) can be expressed by Equation (41).
23.513744 b 1 + 0.00021 b 2 2 + 0.0000015 0.0000010 b 2 2 = 23.513744 b 1 + 0.00021 b 2 2 + 0.0000005 b 2 2
By Equation (41), it appears that Equation (41) will always be negative or zero. Therefore,   b = b 1 b 2 2 ,   b T H ( θ ^ 6 ) b 0 , and we can conclude that θ ^ 6 is the maximum solution of Equation 9 . The shape parameter of the houses damaged was less than 0.5. Therefore, it can be used to calculate the premium under the standard deviation premium principle. Similar steps were conducted for the data of the deaths. The obtained estimates of the GPD parameters are given in Table 4.
Table 4. Estimated parameter of the generalized Pareto distribution.

4.2.5. Pricing of CAT Reinsurance Premium

The last step of the model framework is to calculate the premium given by Equations (26) and (39). Before the calculation, some related parameter values need to be set. According to the relative data of the real situation in Indonesia and using an assumption, the related parameters are given in Table 5.
Table 5. Related parameter values.
  • The calculation of the single risk CAT reinsurance premium is shown as follows.
Case of houses damaged:
V = λ c 2 k β N 1 ξ + ρ β c 1 λ 2 k N 1 ξ 1 2 ξ = 29 30 20 3375.3668228 200 1 0.075904605 + 0.3 3375.3668228 30 29 2 20 200 1 0.075904605 1 2 0.075904605 = 58 , 731 , 382.7 184.819079 + 1 , 034 , 647.66 12.520485 = 317 , 777.705 + 82 , 636.388 = 400 , 414.094
Case of deaths:
V = λ c 2 k β N 1 ξ + ρ β c 2 λ 2 k N 1 ξ 1 2 ξ = 29 10 20 53.70041312 200 1 0.207918832 + 0.3 53.70041312 28 29 2 20 200 1 0.207918832 1 2 0.207918832 = 311 , 483.961 1158.416234 + 5 , 487.2904 9.61981274 = 1966.23764 + 570.415511 = 2536.65315
2.
The calculation of the double risk CAT reinsurance premium is shown as follows.
V = λ   c 1 k X β X N X 1 ξ X + c 2 k W β W N W 1 ξ W + ρ λ c 1 2 2 β X 2 1 ξ X 1 2 ξ X + c 2 2 2 β W 2 1 ξ W 1 2 ξ W = 29 30 20 3375.3668228 200 1 0.075904605 + 10 20 53.70041312 200 1 0.207918832 + 0.3 32 28 2 2 3375.3668228 2 1 0.0759046058 1 2 0.075904605 + 10 2 2 53.70041312 2 1 0.207918832 1 2 0.2079188328 = 29 11 , 026.6713 + 0.3 871 , 086.726 = 319 , 773.469 + 261 , 326.0178 = 581 , 099.487
Table 6 shows that the price of the double risk CAT premium is higher than both the single risk CAT premiums. A higher premium is appropriate with the risks covered by a premium contract, where the more risk, the more losses need to be borne by the reinsurer. Moreover, a higher premium can increase the reinsurers’ willingness to cover the CAT risks and then elevate the market capacity of the CAT reinsurance contract [10]. Therefore, the double risk CAT premium can be greatly applied in underwriting the CAT reinsurance contract, which is appropriate for the claim of CAT risk that involves not just one (see [3]).
Table 6. CAT reinsurance premium.

5. Discussion

5.1. The Benefit of Double Risk CAT Premium

In this section, we analyze the double risk CAT reinsurance premium from the point of view of the ceding company and reinsurer. Based on the calculation, the premiums earned amounted to IDR 581 billion. The premium paid involved two claim triggers at once. The ceding company pays a premium to the reinsurer as an annual premium. If an earthquake occurs in a year, which results in extreme losses in the form of houses damaged and the deaths of people, the reinsurer will bear all the excess losses.
Next, based on the simulation data, the minimum and maximum number of houses damaged due to earthquake were obtained. The minimum number of houses damaged that will occur was 1518, while the maximum number of houses damaged reached 15,404 houses. By using the related parameter given in Table 5, the funds that must be prepared by the ceding company are in the range of IDR 1.5–15.4 billion in a year. This causes the ceding company to prepare large funds in the event of losses due to an earthquake. Compared to the double risk CAT reinsurance premium paid, the funds that must be prepared by the ceding company come in at an exact value. This situation is much more favorable for the ceding company. If the ceding company does not underwrite the reinsurance contract, they will suffer losses, which will lead to the bankruptcy of the ceding company [22].
Furthermore, this premium model also has advantages when viewed from the claim trigger involved. Based on the simulation data, the minimum number of deaths of people due to earthquake was two people, while the maximum number was 3131 people. Using a similar argument as above, the funds that must be prepared as a cash value is IDR 1.53–15.68 billion in a year. If in a year the earthquake event occurs several times (assuming that the intensity is 29), the maximum cash value paid by the reinsurer is IDR 454.72 billion. Then, the reinsurer surely can pay the cash, because it is only one percent of the premium that has been received. The claims reserve of the reinsurer may be the solution of the payment of death risk if houses damaged takes a great loss. The reinsurer, as an insurance company, has a duty to provide funds that will be taken as a reserve (see [23]).
The total losses of houses damaged and deaths were around IDR 44–454.72 billion. For the reinsurer, they can consider the risks when underwriting the reinsurance contract. Since the probability of total losses is large enough, the reinsurer has many possibilities. The first possibility is to obtain a huge profit; when the total losses due to the earthquake is less than IDR 44 billion, the reinsurer will not bear any loss. The other possibility is that when the total loss is in range IDR 44–454.72 billion, the reinsurer may still receive a profit. Another possibility is that the reinsurer must prepare large funds if the total losses are greater than IDR 454.72 billion or over the premium that has been paid.

5.2. The Effect of Loading Factor

Moreover, we studied how the double risk CAT reinsurance premium was affected by loading factor ρ . It is clear to see that the premium V is linear in ρ . If ρ increases by a loading factor of 9 (i.e., from 0.1 to 0.9), V increases by an approximate factor of around 1.2. This indicates that the choice of ρ has a significant impact on the double risk CAT reinsurance premiums. To be specific, the pricing results are heavily influenced by the standard deviation S D Z [10]. We illustrate the effect in Figure 5.
Figure 5. Effect of the loading factor.
The correlation between the loading factor and double risk CAT reinsurance premiums shows that the greater the loading factor, the greater the double risk CAT reinsurance premiums. Eden et al. [24] stated that the loading factor is a significant value and plays an important role in covering up the losses of the risks. Therefore, reinsurers must be able to determine the appropriate loading factor to avoid large losses due to the risk of CAT events.

5.3. The Effect of the Percentage of Threshold Value

Referring to [25,26,27], the chosen threshold value must be high enough for the excesses to be well-approximated by the GPD to minimize bias. In this section, we studied how the threshold value affects the double risk CAT reinsurance premium. We set a few options of the percentage of threshold selection. From Table 7, it is obvious that the threshold value plays an important key to the premium V .
Table 7. Different percentages of threshold selection.
Table 7 shows that a large percentage of the threshold resulted in a high double risk CAT reinsurance premium. Based on the premium calculation results, the ceding company and reinsurer may choose which threshold value is the most suitable for the double risk CAT reinsurance premium. Based on Table 7, we suggest that the ceding company and reinsurer select a percentage 10% or 15% because the CAT premium is not too high for the ceding company, and the reinsurer has a high enough retention to avoid bankruptcy.

6. Conclusions

We obtained the heavy-tailed characteristic of the risk in the form of houses damaged and deaths, which are suitable to apply in pricing the double risk CAT reinsurance premium. These findings suggest a great underwriting and mechanism between the national government, reinsurer, and ceding company as well as the financial markets. The reinsurer and ceding company can utilize our model framework for pricing double risk CAT (earthquake) reinsurance to either diversify the risk or gain in the underwriting process using their real data (e.g., CAT intensity or frequency, houses damaged loss, death loss, and cash value). Moreover, they can adjust the premium according to their deal in their contract in terms of which risks they want to include in the premium. For instance, the reinsurer has the desire to include more risk with a greater loading factor to cover the risks. Otherwise, they may change the trigger claim with another risk, which reduces the losses of risk to the reinsurer. Moreover, we also remark that this model framework in the context of EVT works for other CAT events including flood, hurricanes, and typhoons [21,25]. For academics, as a further study of suggestions, the risk as a trigger for claims can affect the price of a double risk CAT premium. The involvement of risk as a trigger claim in modeling the double risk CAT reinsurance premium can be used as an opportunity to develop a double risk CAT reinsurance premium model in future research.
This study sets a reference for further studies on double risk CAT reinsurance modeling. We can add the interest rate to the premium model because for a reinsurance contract with a longer term, the interest rate has a great influence on the price of the premium. Although this study only discussed CAT excess of loss contract prices, the model framework obtained here may require other modifications to apply to other types of CAT reinsurance contracts. Quota-share is a commonly used type of reinsurance contract in other cases of mixed CAT reinsurance contracts that are proportional and non-proportional such as a mix of quota-share and excess of loss contracts.

Author Contributions

Conceptualization, H.A.S. and S.; Methodology, H.A.S. and S.; Software, H.A.S. and H.N.; Validation, S.; Formal analysis, S.; Investigation, H.N.; Resources, S.; Data curation, H.A.S.; Writing—original draft preparation, H.A.S.; Writing—review and editing, S. and H.N.; Visualization, H.A.S. and H.N.; Supervision, S.; Project administration, H.A.S. and S.; Funding acquisition, S. All authors have read and agreed to the published version of the manuscript.

Funding

This research was funded by Universitas Padjadjaran, grant number 2203/UN6.3.1/PT.00/2022, and the APC was funded by Universitas Padjadjaran through IOAP MDPI.

Data Availability Statement

Not applicable.

Acknowledgments

We would like to thank Universitas Padjadjaran, who provided the Universitas Padjadjaran Internal Research Grant, Fiscal Year 2022, the “ACADEMIC LEADERSHIP GRANT (ALG)” program under Sukono, MM., M.Si., with contract number: 2203/UN6.3.1/PT.00/2022.

Conflicts of Interest

The authors declare no conflict of interest.

References

  1. Zhao, Y.; Lee, J.-P.; Yu, M.-T. Catastrophe risk, reinsurance and securitized risk-transfer solutions: A review. China Financ. Rev. Int. 2021, 11, 449–473. [Google Scholar] [CrossRef]
  2. Yue, H. EVT and Its Application to Pricing of Catastrophe (Typhoon) Reinsurance. Am. J. Appl. Math. 2016, 4, 105. [Google Scholar] [CrossRef]
  3. Chao, W. Valuing multirisk catastrophe reinsurance based on the cox-ingersoll-ross (CIR) model. Discret. Dyn. Nat. Soc. 2021, 2021, 8818486. [Google Scholar] [CrossRef]
  4. Albrecher, H.; Teugels, J.L. On excess-of-loss reinsurance. Theory Probab. Math. Stat. 2009, 79, 7–22. [Google Scholar] [CrossRef]
  5. Lin, W.C.; Lai, Y.H. Evaluating catastrophe reinsurance contracts: An option pricing approach with extreme risk. Appl. Financ. Econ. 2012, 22, 1017–1028. [Google Scholar] [CrossRef]
  6. Ekheden, E.; Hössjer, O. Pricing catastrophe risk in life (re)insurance. Scand. Actuar. J. 2014, 4, 352–367. [Google Scholar] [CrossRef]
  7. Leppisaari, M. Modeling catastrophic deaths using EVT with a microsimulation approach to reinsurance pricing. Scand. Actuar. J. 2016, 2016, 113–145. [Google Scholar] [CrossRef]
  8. Saputra, J.; Fauzia, T.; Sukono, S.; Riaman, R. Estimation of Reinsurance Risk Value Using the Excess of Loss Method. Int. J. Business, Econ. Soc. Dev. 2020, 1, 31–39. [Google Scholar] [CrossRef]
  9. Khare, S.; Roy, K. Quantifying the role of occurrence losses in catastrophe excess of loss reinsurance pricing. Risks 2021, 9, 52. [Google Scholar] [CrossRef]
  10. Chao, W. Pricing catastrophe reinsurance under the standard deviation premium principle. AIMS Math. 2022, 7, 4472–4484. Available online: https://www.aimspress.com/aimspress-data/math/2022/3/PDF/math-07-03-249.pdf (accessed on 3 January 2021). [CrossRef]
  11. Chan, W.-S.; Yang, H.; Zhang, L. Some results on ruin probabilities in a two-dimensional risk model. Insur. Math. Econ. 2003, 32, 345–358. [Google Scholar] [CrossRef]
  12. Drexler, A.; Rosen, R. Exposure to catastrophe risk and use of reinsurance: An empirical evaluation for the U.S. Geneva Pap. Risk Insur. Issues Pract. 2022, 47, 103–124. [Google Scholar] [CrossRef]
  13. Gençay, R.; Selçuk, F.; Ulugülyaǧci, A. High volatility, thick tails and extreme value theory in value-at-risk estimation. Insur. Math. Econ. 2003, 33, 337–356. [Google Scholar] [CrossRef]
  14. Pickands, J., III. Statistical Inference Using Extreme Order Statistics. Ann. Stat. 1975, 3, 119–131. [Google Scholar] [CrossRef]
  15. Dickson, D.C.M. Insurance Risk and Ruin, 2nd ed.; Cambridge University Press: Cambridge, UK, 2016. [Google Scholar] [CrossRef]
  16. Rydman, M. Application of the Peaks-Over-Threshold Method on Insurance Data. Uppsala Univ. U.U.D.M. Proj. Rep. 2018, 32, 1–21. [Google Scholar]
  17. Sodiq, J.; Setiawan, S.; Sutikno, S. Pengukuran Risiko pada Klaim Asuransi ‘X’ dengan Menggunakan Metode Generalized Extreme Value dan Generalize Pareto Dsitribution. Sains dan Seni 2012, 1, 75. [Google Scholar] [CrossRef]
  18. Jocković, J. Quantile estimation for the generalized pareto distribution with application to finance. Yugosl. J. Oper. Res. 2012, 22, 297–311. [Google Scholar] [CrossRef]
  19. Cohen, J.E.; Davis, R.A.; Samorodnitsky, G. Heavy-tailed distributions, correlations, kurtosis and Taylor’s Law of fluctuation scaling: Heavy Tails Outweigh Correlations. Proc. R. Soc. A Math. Phys. Eng. Sci. 2020, 476, 20200610. [Google Scholar] [CrossRef]
  20. Embrechts, P.; Höing, A.; Juri, A. Using copulae to bound the Value-at-Risk for functions of dependent risks. Financ. Stoch. 2003, 7, 145–167. [Google Scholar] [CrossRef]
  21. Li, J.; Cai, Z.; Liu, Y.; Ling, C. Extremal Analysis of Flooding Risk and Its Catastrophe Bond Pricing. Mathematics 2023, 11, 114. [Google Scholar] [CrossRef]
  22. Jaladri, A.S.; Nurrohmah, S.; Fithriani, I. Pricing catastrophe reinsurance risk premium using Peaks over Threshold (POT) model. J. Phys. Conf. Ser. 2021, 1725, 012086. [Google Scholar] [CrossRef]
  23. Riaman; Susanti, D.; Supriatna, A.; Ruchjana, B.N. Calculation of benefit reserves based on true m-thly benefit premiums. J. Phys. Conf. Ser. 2017, 893, 012029. [Google Scholar] [CrossRef]
  24. Eden, Y.; Katz, E.; Rosenberg, J. Loading Factors and Equilibria in Insurance Markets. J. Insur. Issues 2003, 26, 51–62. [Google Scholar]
  25. Cui, P.; Peng, J.; Shi, P.; Tang, H.; Ouyang, C.; Zou, Q.; Liu, L.; Li, C.; Lei, Y. Scientific challenges of research on natural hazards and disaster risk. Geogr. Sustain. 2021, 2, 216–223. [Google Scholar] [CrossRef]
  26. Putri, A.D.; Nurrohmah, S.; Fithriani, I. Quota-share and stop-loss reinsurance combination based on Value-at-Risk (VaR) optimization. J. Phys. Conf. Ser. 2021, 1725, 012097. [Google Scholar] [CrossRef]
  27. Bader, B.; Yan, J.; Zhang, X. Automated threshold selection for extreme value analysis via ordered goodness-of-fit tests with adjustment for false discovery rate. Ann. Appl. Stat. 2018, 12, 310–329. [Google Scholar] [CrossRef]
Disclaimer/Publisher’s Note: The statements, opinions and data contained in all publications are solely those of the individual author(s) and contributor(s) and not of MDPI and/or the editor(s). MDPI and/or the editor(s) disclaim responsibility for any injury to people or property resulting from any ideas, methods, instructions or products referred to in the content.

Article Metrics

Citations

Article Access Statistics

Multiple requests from the same IP address are counted as one view.