A Pell–Lucas Collocation Approach for an SIR Model on the Spread of the Novel Coronavirus (SARS CoV-2) Pandemic: The Case of Turkey
Abstract
1. Introduction
2. Fundamental Matrix Relations
3. The Method for the Solutions of the SIR Model
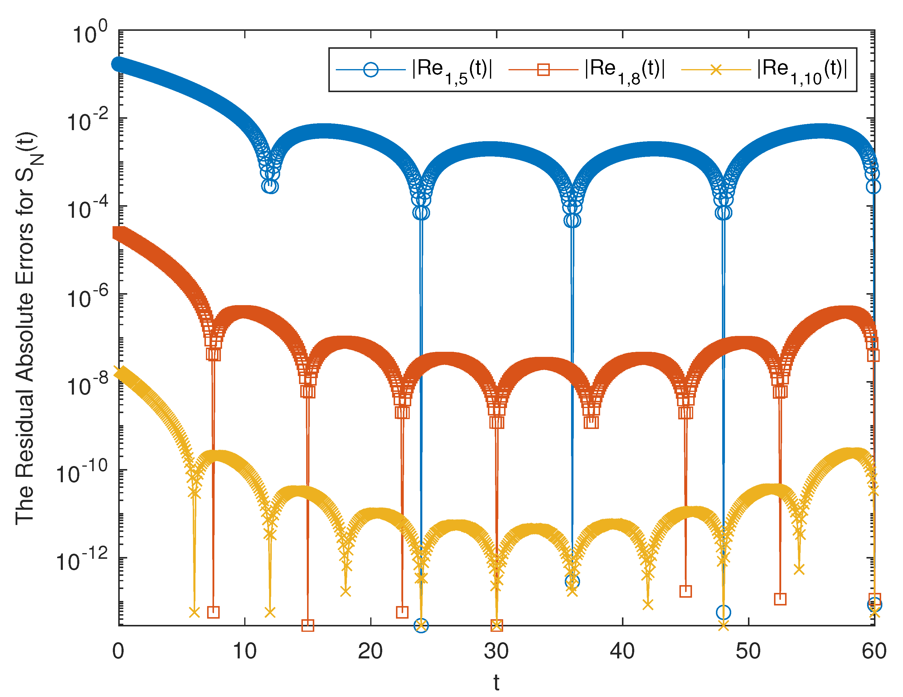
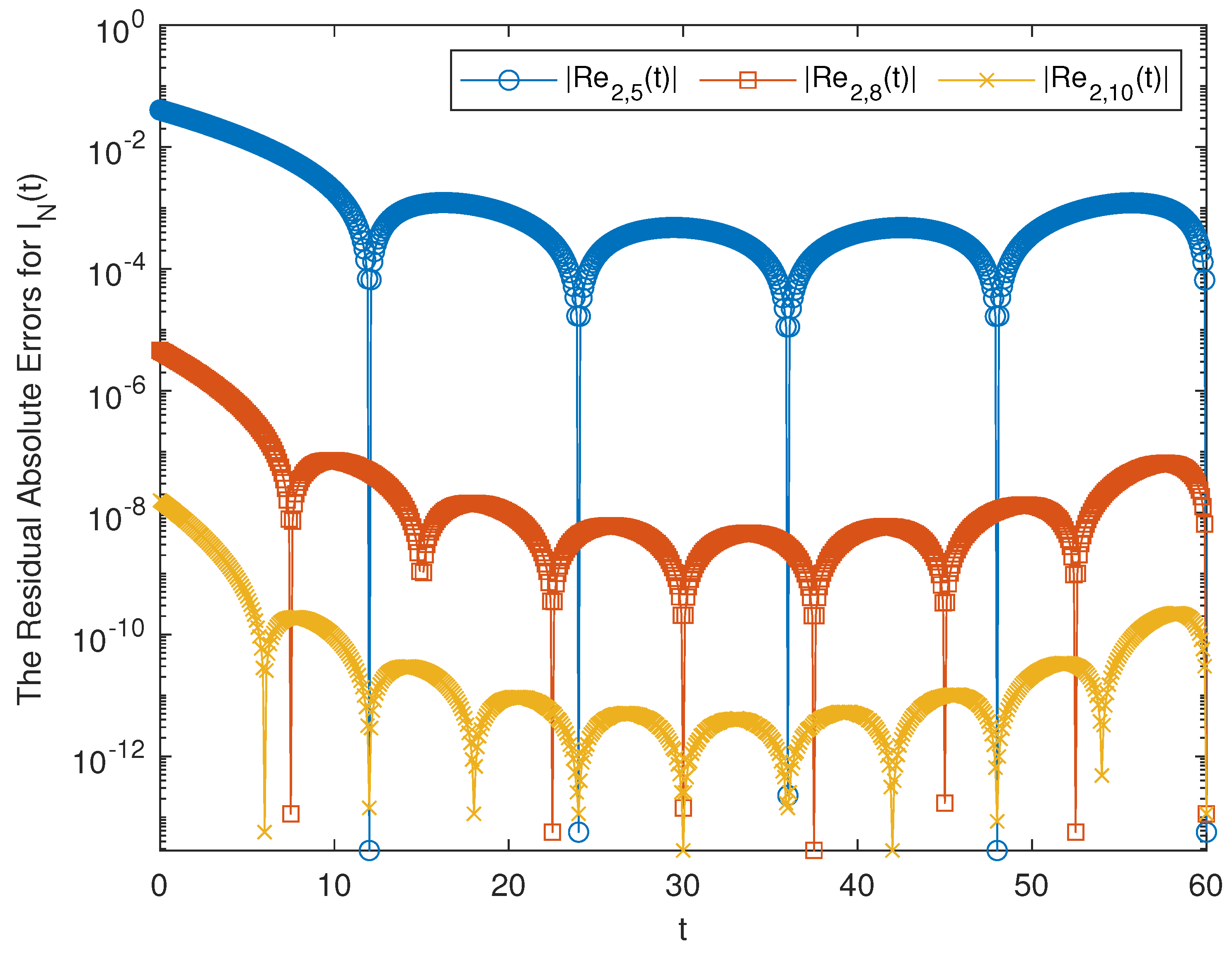
4. Error Analysis
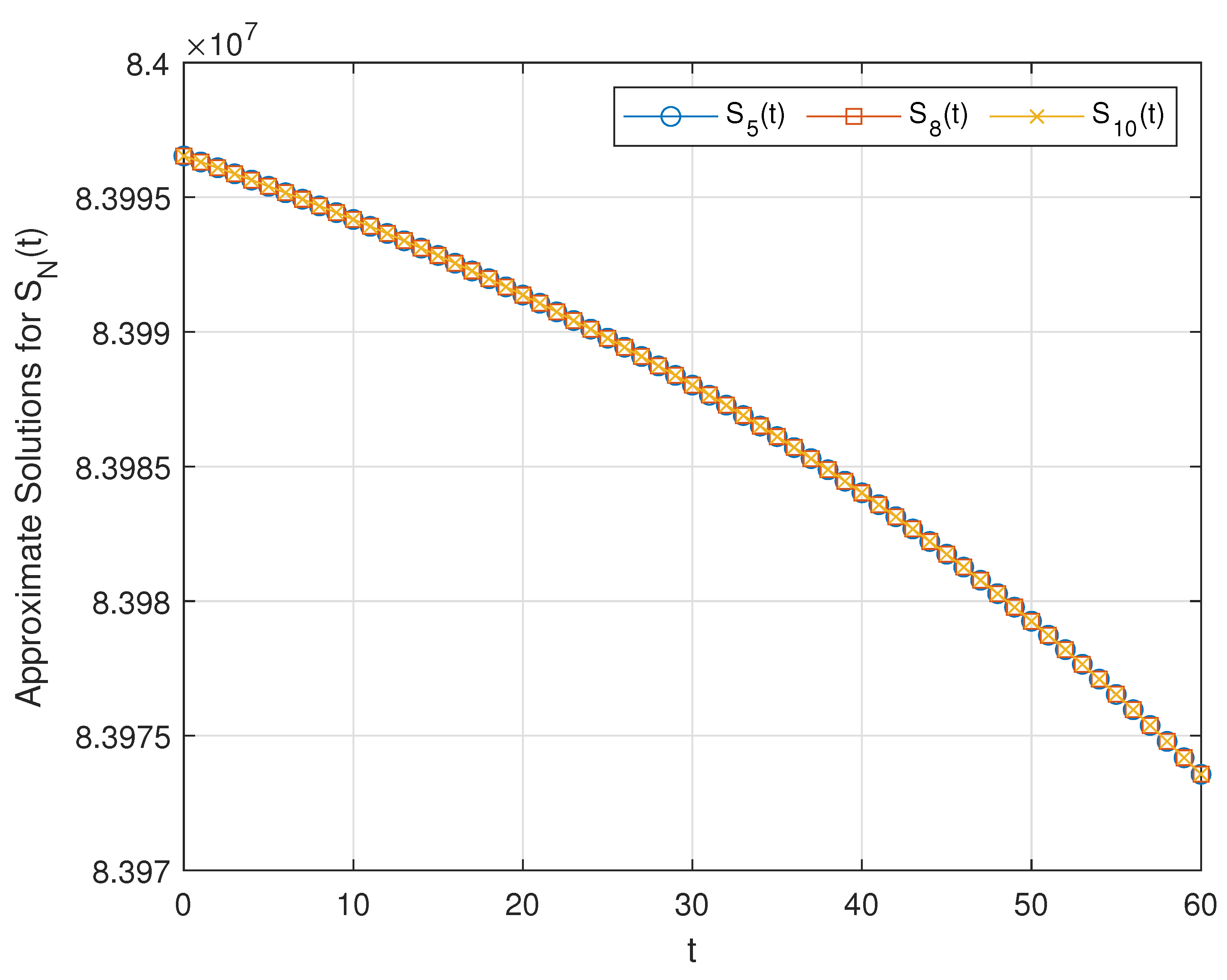
5. Numerical Verification and Discussion
6. Conclusions
Author Contributions
Funding
Institutional Review Board Statement
Informed Consent Statement
Data Availability Statement
Conflicts of Interest
References
- Hassan, H.N.; El-Tawil, M.A. Series solution for continuous population models for single and interacting species by the homotopy analysis method. Commun. Numer. Anal. 2012, 2012, 1–21. [Google Scholar] [CrossRef]
- Pamuk, S. The decomposition method for continuous population models for single and interacting species. Appl. Math. Comput. 2005, 163, 79–88. [Google Scholar] [CrossRef]
- Pamuk, S.; Pamuk, N. He’s homotopy perturbation method for continuous population models for single and interacting species. Comput. Math. Appl. 2010, 59, 612–621. [Google Scholar] [CrossRef]
- Ramadan, M.A.; Abd El Salam, M.A. Spectral collocation method for solving continuous population models for single and interacting species by means of exponential Chebyshev approximation. Int. J. Biomath. 2018, 11, 1850109. [Google Scholar] [CrossRef]
- Yuzbasi, S.; Karacayir, M. A Galerkin-like approach to solve continuous population models for single and interacting species. Kuwait J. Sci. 2017, 44, 9–26. [Google Scholar]
- Yüzbaşı, Ş. Bessel collocation approach for solving continuous population models for single and interacting species. Appl. Math. Model. 2012, 36, 3787–3802. [Google Scholar] [CrossRef]
- Yüzbaşı, Ş.; Yıldırım, G. Pell–Lucas collocation method for numerical solutions of two population models and residual correction. J. Taibah Univ. Sci. 2020, 14, 1262–1278. [Google Scholar] [CrossRef]
- Biazar, J.; Montazeri, R. A computational method for solution of the prey and predator problem. Appl. Math. Comput. 2005, 163, 841–847. [Google Scholar] [CrossRef]
- Biazar, J. Solution of the epidemic model by Adomian decomposition method. Appl. Math. Comput. 2006, 173, 1101–1106. [Google Scholar] [CrossRef]
- Kanth, A.R.; Devi, S. A practical numerical approach to solve a fractional Lotka–Volterra population model with non-singular and singular kernels. Chaos Solitons Fractals 2021, 145, 110792. [Google Scholar] [CrossRef]
- Kumar, S.; Kumar, R.; Agarwal, R.P.; Samet, B. A study of fractional Lotka-Volterra population model using Haar wavelet and Adams-Bashforth-Moulton methods. Math. Methods Appl. Sci. 2020, 43, 5564–5578. [Google Scholar] [CrossRef]
- Rafei, M.; Daniali, H.; Ganji, D.D. Variational iteration method for solving the epidemic model and the prey and predator problem. Appl. Math. Comput. 2007, 186, 1701–1709. [Google Scholar] [CrossRef]
- Rafei, M.; Daniali, H.; Ganji, D.D.; Pashaei, H. Solution of the prey and predator problem by homotopy perturbation method. Appl. Math. Comput. 2007, 188, 1419–1425. [Google Scholar] [CrossRef]
- Yusufoğlu, E.; Erbaş, B. He’s variational iteration method applied to the solution of the prey and predator problem with variable coefficients. Phys. Lett. A 2008, 372, 3829–3835. [Google Scholar] [CrossRef]
- Abramson, G.; Kenkre, V.M. Spatiotemporal patterns in the Hantavirus infection. Phys. Rev. E 2002, 66, 011912. [Google Scholar] [CrossRef] [PubMed]
- Abramson, G.; Kenkre, V.M.; Yates, T.L.; Parmenter, R.R. Traveling waves of infection in the hantavirus epidemics. Bull. Math. Biol. 2003, 65, 519–534. [Google Scholar] [CrossRef] [PubMed]
- Gökdoğan, A.; Merdan, M.; Yildirim, A. A multistage differential transformation method for approximate solution of Hantavirus infection model. Commun. Nonlinear Sci. Numer. Simul. 2012, 17, 1–8. [Google Scholar] [CrossRef]
- Yüzbasi, Ş. Bessel collocation approach for approximate solutions of Hantavirus infection model. New Trends Math. Sci. 2017, 5, 89–96. [Google Scholar] [CrossRef]
- Yüzbaşi, Ş.; Sezer, M. An exponential matrix method for numerical solutions of Hantavirus infection model. Appl. Appl. Math. Int. J. (AAM) 2013, 8, 9. [Google Scholar]
- Doğan, N. Numerical treatment of the model for HIV infection of CD4+ T cells by using multistep Laplace Adomian decomposition method. Discret. Dyn. Nat. Soc. 2012, 2012, 976352. [Google Scholar] [CrossRef]
- Gokdogan, A.; Yildirim, A.; Merdan, M. Solving a fractional order model of HIV infection of CD4+ T cells. Math. Comput. Model. 2011, 54, 2132–2138. [Google Scholar] [CrossRef]
- Hassani, H.; Mehrabi, S.; Naraghirad, E.; Naghmachi, M.; Yüzbaşi, S. An Optimization Method Based on the Generalized Polynomials for a Model of HIV Infection of CD4+ T Cells. Iran. J. Sci. Technol. Trans. A Sci. 2020, 44, 407–416. [Google Scholar] [CrossRef]
- Jan, R.; Yüzbaşı, Ş. Dynamical behaviour of HIV Infection with the influence of variable source term through Galerkin method. Chaos Solitons Fractals 2021, 152, 111429. [Google Scholar]
- Mastroberardino, A.; Cheng, Y.; Abdelrazec, A.; Liu, H. Mathematical modeling of the HIV/AIDS epidemic in Cuba. Int. J. Biomath. 2015, 8, 1550047. [Google Scholar] [CrossRef]
- Merdan, M. Homotopy perturbation method for solving a model for HIV infection of CD4+ T cells. Istanb. Commer. Univ. J. Sci. 2007, 6, 39–52. [Google Scholar]
- Merdan, M.; Gökdoğan, A.; Yildirim, A. On the numerical solution of the model for HIV infection of CD4+ T cells. Comput. Math. Appl. 2011, 62, 118–123. [Google Scholar] [CrossRef]
- Ongun, M.Y. The Laplace Adomian decomposition method for solving a model for HIV infection of CD4+ T cells. Math. Comput. Model. 2011, 53, 597–603. [Google Scholar] [CrossRef]
- Srivastava, V.K.; Awasthi, M.K.; Kumar, S. Numerical approximation for HIV infection of CD4+ T cells mathematical model. Ain Shams Eng. J. 2014, 5, 625–629. [Google Scholar] [CrossRef]
- Thirumalai, S.; Seshadri, R.; Yuzbasi, S. Spectral solutions of fractional differential equations modelling combined drug therapy for HIV infection. Chaos Solitons Fractals 2021, 151, 111234. [Google Scholar] [CrossRef]
- Umar, M.; Sabir, Z.; Amin, F.; Guirao, J.L.; Raja, M.A.Z. Stochastic numerical technique for solving HIV infection model of CD4+ T cells. Eur. Phys. J. Plus 2020, 135, 403. [Google Scholar] [CrossRef]
- Yüzbaşı, Ş. A numerical approach to solve the model for HIV infection of CD4+ T cells. Appl. Math. Model. 2012, 36, 5876–5890. [Google Scholar] [CrossRef]
- Yüzbaşı, Ş. An exponential collocation method for the solutions of the HIV infection model of CD4+ T cells. Int. J. Biomath. 2016, 9, 1650036. [Google Scholar] [CrossRef]
- Yüzbaşı, Ş.; Ismailov, N. A numerical method for the solutions of the HIV infection model of CD4+ T-cells. Int. J. Biomath. 2017, 10, 1750098. [Google Scholar] [CrossRef]
- Yüzbaşı, Ş.; Karaçayır, M. An exponential Galerkin method for solutions of HIV infection model of CD4+ T-cells. Comput. Biol. Chem. 2017, 67, 205–212. [Google Scholar] [CrossRef]
- Yüzbaşı, Ş.; Karaçayır, M. A Galerkin-Type Method for Solving a Delayed Model on HIV Infection of CD 4+ T-cells. Iran. J. Sci. Technol. Trans. A Sci. 2018, 42, 1087–1095. [Google Scholar] [CrossRef]
- Akinboro, F.S.; Alao, S.; Akinpelu, F.O. Numerical solution of SIR model using differential transformation method and variational iteration method. Gen. Math. Notes 2014, 22, 82–92. [Google Scholar]
- Harko, T.; Lobo, F.S.; Mak, M. Exact analytical solutions of the Susceptible-Infected-Recovered (SIR) epidemic model and of the SIR model with equal death and birth rates. Appl. Math. Comput. 2014, 236, 184–194. [Google Scholar] [CrossRef]
- Hasan, S.; Al-Zoubi, A.; Freihet, A.; Al-Smadi, M.; Momani, S. Solution of fractional SIR epidemic model using residual power series method. Appl. Math. Inf. Sci. 2019, 13, 153–161. [Google Scholar] [CrossRef]
- Khan, S.U.; Ali, I. Numerical analysis of stochastic SIR model by Legendre spectral collocation method. Adv. Mech. Eng. 2019, 11, 1687814019862918. [Google Scholar] [CrossRef]
- Secer, A.; Ozdemir, N.; Bayram, M. A Hermite polynomial approach for solving the SIR model of epidemics. Mathematics 2018, 6, 305. [Google Scholar] [CrossRef]
- Side, S.; Utami, A.M.; Pratama, M.I. Numerical solution of SIR model for transmission of tuberculosis by Runge-Kutta method. J. Phys. Conf. Ser. 2018, 1040, 012021. [Google Scholar] [CrossRef]
- Osemwinyen, A.C.; Diakhaby, A. Mathematical modelling of the transmission dynamics of ebola virus. Appl. Comput. Math. 2015, 4, 313–320. [Google Scholar] [CrossRef]
- Tulu, T.W.; Tian, B.; Wu, Z. Modeling the effect of quarantine and vaccination on Ebola disease. Adv. Differ. Equ. 2017, 2017, 178. [Google Scholar] [CrossRef]
- Wang, P.; Jia, J. Stationary distribution of a stochastic SIRD epidemic model of Ebola with double saturated incidence rates and vaccination. Adv. Differ. Equ. 2019, 2019, 1–16. [Google Scholar] [CrossRef]
- Yan, Q.L.; Tang, S.Y.; Xiao, Y.N. Impact of individual behaviour change on the spread of emerging infectious diseases. Stat. Med. 2018, 37, 948–969. [Google Scholar] [CrossRef]
- Canto, F.J.A.; Avila-Vales, E.J.; Garcıa-Almeida, G.E. SIRD-Based models of COVID-19 in Yucatan and Mexico. Available online: https://www.researchgate.net/profile/Fernando-Aguilar-Canto/publication/342624600_SIRD-based_models_of_COVID-19_in_Yucatan_and_Mexico/links/5efd98d0a6fdcc4ca444a022/SIRD-based-models-of-COVID-19-in-Yucatan-and-Mexico.pdf (accessed on 29 January 2023).
- Canto, F.J.A.; Avila-Vales, E.J. Fitting parameters of SEIR and SIRD models of COVID-19 pandemic in Mexico. 2020, 1–11, Preprint. [Google Scholar]
- Calafiore, G.C.; Novara, C.; Possieri, C. A modified SIR model for the COVID-19 contagion in Italy. In Proceedings of 2020 59th IEEE Conference on Decision and Control (CDC), Jeju, Republic of Korea, 14–18 December 2020; pp. 14–18. [Google Scholar]
- Calafiore, G.C.; Novara, C.; Possieri, C. A time-varying SIRD model for the COVID-19 contagion in Italy. Annu. Rev. Control 2020, 50, 361–372. [Google Scholar] [CrossRef]
- Mohammadi, H.; Rezapour, S.; Jajarmi, A. On the fractional SIRD mathematical model and control for the transmission of COVID-19: The first and the second waves of the disease in Iran and Japan. ISA Trans. 2021, 124, 103–114. [Google Scholar] [CrossRef]
- Pacheco, C.C.; de Lacerda, C.R. Function estimation and regularization in the SIRD model applied to the COVID-19 pandemics. Inverse Probl. Sci. Eng. 2021, 29, 1613–1628. [Google Scholar] [CrossRef]
- Faruk, O.; Kar, S. A Data Driven Analysis and Forecast of COVID-19 Dynamics during the Third Wave Using SIRD Model in Bangladesh. COVID 2021, 1, 503–517. [Google Scholar] [CrossRef]
- Ferrari, L.; Gerardi, G.; Manzi, G.; Micheletti, A.; Nicolussi, F.; Biganzoli, E.; Salini, S. Modeling provincial covid-19 epidemic data using an adjusted time-dependent sird model. Int. J. Environ. Res. Public Health 2021, 18, 6563. [Google Scholar] [CrossRef] [PubMed]
- Kovalnogov, V.N.; Simos, T.E.; Tsitouras, C. Runge–Kutta pairs suited for SIR-type epidemic models. Math. Methods Appl. Sci. 2021, 44, 5210–5216. [Google Scholar] [CrossRef]
- Martinez, V. A Modified SIRD Model to Study the Evolution of the COVID-19 Pandemic in Spain. Symmetry 2021, 13, 723. [Google Scholar] [CrossRef]
- Pei, L.; Zhang, M. Long-Term Predictions of COVID-19 in Some Countries by the SIRD Model. Complexity 2021, 2021, 6692678. [Google Scholar] [CrossRef]
- Chatterjee, S.; Sarkar, A.; Chatterjee, S.; Karmakar, M.; Paul, R. Studying the progress of COVID-19 outbreak in India using SIRD model. Indian J. Phys. 2020, 95, 1941–1957. [Google Scholar] [CrossRef]
- Fernández-Villaverde, J.; Jones, C.I. Estimating and simulating a SIRD model of COVID-19 for many countries, states, and cities. J. Econ. Dyn. Control 2022, 140, 104318. [Google Scholar]
- Acemoglu, D.; Chernozhukov, V.; Werning, I.; Whinston, M.D. Optimal targeted lockdowns in a multigroup SIR model. Am. Econ. Rev. Insights 2021, 3, 487–502. [Google Scholar] [CrossRef]
- Krueger, D.; Uhlig, H.; Xie, T. Macroeconomic dynamics and reallocation in an epidemic: Evaluating the ‘Swedish solution’. Econ. Policy 2022, 37, 341–398. [Google Scholar] [CrossRef]
- Lazebnik, T.; Bunimovich-Mendrazitsky, S.; Shami, L. Pandemic management by a spatio–temporal mathematical model. Int. J. Nonlinear Sci. Numer. Simul. 2021. [Google Scholar] [CrossRef]
- Lazebnik, T.; Bunimovich-Mendrazitsky, S. The Signature Features of COVID-19 Pandemic in a Hybrid Mathematical Model—Implications for Optimal Work–School Lockdown Policy. Adv. Theory Simul. 2021, 4, 2000298. [Google Scholar] [CrossRef]
- O’Dowd, K.; Nair, K.M.; Forouzandeh, P.; Mathew, S.; Grant, J.; Moran, R.; Bartlett, J.; Bird, J.; Pillai, S.C. Face masks and respirators in the fight against the COVID-19 pandemic: A review of current materials, advances and future perspectives. Materials 2020, 13, 3363. [Google Scholar] [CrossRef] [PubMed]
- Tutsoy, O.; Çolak, Ş.; Polat, A.; Balikci, K. A novel parametric model for the prediction and analysis of the COVID-19 casualties. IEEE Access 2020, 8, 193898–193906. [Google Scholar] [CrossRef] [PubMed]
- Özdinç, M.; Senel, K.; Ozturkcan, S.; Akgul, A. Predicting the progress of COVID-19: The case for Turkey. Turk. Klin. J. Med Sci. 2020, 40, 117–119. [Google Scholar] [CrossRef]
- Niazkar, M.; Eryılmaz Türkkan, G.; Niazkar, H.R.; Türkkan, Y.A. Assessment of three mathematical prediction models for forecasting the COVID-19 outbreak in Iran and Turkey. Comput. Math. Methods Med. 2020, 2020, 7056285. [Google Scholar] [CrossRef] [PubMed]
- Ahmed, A.; Salam, B.; Mohammad, M.; Akgul, A.; Khoshnaw, S.H. Analysis coronavirus disease (COVID-19) model using numerical approaches and logistic model. Aims Bioeng 2020, 7, 130–146. [Google Scholar] [CrossRef]
- Atangana, A.; Araz, S.İ. Mathematical model of COVID-19 spread in Turkey and South Africa: Theory, methods, and applications. Adv. Differ. Equ. 2020, 2020, 659. [Google Scholar] [CrossRef]
- Djilali, S.; Ghanbari, B. Coronavirus pandemic: A predictive analysis of the peak outbreak epidemic in South Africa, Turkey, and Brazil. Chaos Solitons Fractals 2020, 138, 109971. [Google Scholar] [CrossRef]
- Aslan, I.H.; Demir, M.; Wise, M.M.; Lenhart, S. Modeling COVID-19: Forecasting and analyzing the dynamics of the outbreak in Hubei and Turkey. Math. Methods Appl. Sci. 2022, 45, 6481–6494. [Google Scholar] [CrossRef]
- Atangana, A.; Araz, S.İ. Modeling third waves of Covid-19 spread with piecewise differential and integral operators: Turkey, Spain and Czechia. Results Phys. 2021, 29, 104694. [Google Scholar] [CrossRef]
- Dönmez Demir, D.; Lukonde, A.P.; Kürkçü, Ö.K.; Sezer, M. Pell–Lucas series approach for a class of Fredholm-type delay integro-differential equations with variable delays. Math. Sci. 2021, 15, 55–64. [Google Scholar] [CrossRef]
- Şahin, M.; Sezer, M. Pell-Lucas collocation method for solving high-order functional differential equations with hybrid delays. Celal Bayar Univ. J. Sci. 2018, 14, 141–149. [Google Scholar] [CrossRef]
- Taghipour, M.; Aminikhah, H. Application of Pell collocation method for solving the general form of time-fractional Burgers equations. Math. Sci. 2022, 1–19. [Google Scholar] [CrossRef]
- Yüzbaşı, Ş.; Yildirim, G. Pell-Lucas collocation method to solve high-order linear Fredholm-Volterra integro-differential equations and residual correction. Turk. J. Math. 2020, 44, 1065–1091. [Google Scholar] [CrossRef]
- Yüzbaşı, Ş.; Yıldırım, G. A collocation method to solve the parabolic-type partial integro-differential equations via Pell–Lucas polynomials. Appl. Math. Comput. 2022, 421, 126956. [Google Scholar] [CrossRef]
- Yüzbaşı, Ş.; Yıldırım, G. Pell-Lucas Collocation Method to Solve Second-Order Nonlinear Lane-Emden Type Pantograph Differential Equations. Fundam. Contemp. Math. Sci. 2022, 3, 75–97. [Google Scholar] [CrossRef]
- Horadam, A.F.; Mahon Bro, J.M. Pell and Pell-Lucas Polynomials. Fibonacci Quart. 1985, 23, 7–20. [Google Scholar]
- Horadam, A.F.; Swita, B.; Filipponi, P. Integration and Derivative Sequences for Pell and Pell-Lucas Polynomials. Fibonacci Quart. 1994, 32, 130–135. [Google Scholar]
- The Turkey Ministry of Health, COVID-19 Information Platform. Available online: https://covid19.saglik.gov.tr/TR-66935/genel-koronavirus-tablosu.html (accessed on 29 January 2023).
- Ndiaye, B.M.; Tendeng, L.; Seck, D. Comparative prediction of confirmed cases with COVID-19 pandemic by machine learning, deterministic and stochastic SIR models. arXiv 2020, arXiv:2004.13489. [Google Scholar]
- Ngonghala, C.N.; Iboi, E.; Eikenberry, S.; Scotch, M.; MacIntyre, C.R.; Bonds, M.H.; Gumel, A.B. Mathematical assessment of the impact of non-pharmaceutical interventions on curtailing the 2019 novel Coronavirus. Math. Biosci. 2020, 325, 108364. [Google Scholar] [CrossRef]
- Karcıoğlu, Ö. COVID-19: Its epidemiology and course in the world. J. ADEM 2020, 1, 55–70. [Google Scholar]












| Parameter/Variable | Explanation |
|---|---|
| t | The independent variable in units of days |
| The dependent variable showing the number of the susceptible individuals at time t | |
| The dependent variable showing the number of individuals infected with COVID-19 at time t | |
| The dependent variable showing the number of individuals removed (recovered and died) from COVID-19 at time t | |
| The rate of contact or transmission | |
| The rate of recovery |
| Data | Explanation |
|---|---|
| The susceptible individuals at time t | |
| The individuals infected with COVID-19 at time t | |
| The individuals removed (recovered and died) from COVID-19 at time t | |
| The susceptible individuals at time t according to the method in Section 3 | |
| The individuals infected with COVID-19 at time t according to the method in Section 3 | |
| The individuals removed (recovered and died) from COVID-19 at time t according to the method in Section 3 | |
| The estimated error function for the susceptible population according to the method in Section 4 | |
| The estimated error function for the infected population according to the method in Section 4 | |
| The estimated error function for the removed population (recovered and died) according to the method in Section 4 |
| Parameters | |||||
|---|---|---|---|---|---|
| Values | 83,996,609 | 3013 | 378 | 1287/23,934 | |
| [1/day] | [Total Removed/Total Infected] | ||||
| [80] | [80] | [80] | Estimated [81,82] | Estimated [80,83] |
| Residual Absolute Errors | Estimated Absolute Errors | |||
|---|---|---|---|---|
| 0 | 2.5055 × 10 | 1.7821 × 10 | 2.7755 × 10 | 6.9117 × 10 |
| 10 | 3.9551 × 10 | 1.0382 × 10 | 5.4301 × 10 | 3.0992 × 10 |
| 20 | 5.4811 × 10 | 1.0065 × 10 | 5.3574 × 10 | 3.1013 × 10 |
| 30 | 1.7356 × 10 | 1.7963 × 10 | 5.3476 × 10 | 3.1007 × 10 |
| 40 | 2.7206 × 10 | 5.4862 × 10 | 5.3568 × 10 | 3.1005 × 10 |
| 50 | 7.7954 × 10 | 2.3212 × 10 | 5.3686 × 10 | 3.0992 × 10 |
| 60 | 8.1501 × 10 | 6.2135 × 10 | 5.2078 × 10 | 3.03 × 10 |
| Residual Absolute Errors | Estimated Absolute Errors | |||
|---|---|---|---|---|
| 0 | 4.5783 × 10 | 1.5858 × 10 | 1.2801 × 10 | 4.7937 × 10 |
| 10 | 7.1278 × 10 | 9.2552 × 10 | 5.4365 × 10 | 1.5551 × 10 |
| 20 | 9.7302 × 10 | 9.0502 × 10 | 3.107 × 10 | 9.1025 × 10 |
| 30 | 1.0093 × 10 | 5.9179 × 10 | 1.7995 × 10 | 5.3174 × 10 |
| 40 | 4.6659 × 10 | 4.9293 × 10 | 1.0621 × 10 | 3.1079 × 10 |
| 50 | 1.3106 × 10 | 2.1138 × 10 | 6.4465 × 10 | 1.8073 × 10 |
| 60 | 3.4531 × 10 | 3.2251 × 10 | 1.1109 × 10 | 4.2956 × 10 |
| Residual Absolute Errors | Estimated Absolute Errors | |||
|---|---|---|---|---|
| 0 | 2.0477 × 10 | 1.9418 × 10 | 3.159 × 10 | 2.9812 × 10 |
| 10 | 3.2423 × 10 | 1.1024 × 10 | 4.8865 × 10 | 1.5403 × 10 |
| 20 | 4.5081 × 10 | 1.0284 × 10 | 5.0467 × 10 | 2.1872 × 10 |
| 30 | 1.4048 × 10 | 5.2996 × 10 | 5.1677 × 10 | 2.5652 × 10 |
| 40 | 2.254 × 10 | 5.4701 × 10 | 5.2506 × 10 | 2.786 × 10 |
| 50 | 6.4847 × 10 | 2.2316 × 10 | 5.3041 × 10 | 2.9147 × 10 |
| 60 | 2.9582 × 10 | 4.9546 × 10 | 5.1967 × 10 | 2.9831 × 10 |
Disclaimer/Publisher’s Note: The statements, opinions and data contained in all publications are solely those of the individual author(s) and contributor(s) and not of MDPI and/or the editor(s). MDPI and/or the editor(s) disclaim responsibility for any injury to people or property resulting from any ideas, methods, instructions or products referred to in the content. |
© 2023 by the authors. Licensee MDPI, Basel, Switzerland. This article is an open access article distributed under the terms and conditions of the Creative Commons Attribution (CC BY) license (https://creativecommons.org/licenses/by/4.0/).
Share and Cite
Yüzbaşı, Ş.; Yıldırım, G. A Pell–Lucas Collocation Approach for an SIR Model on the Spread of the Novel Coronavirus (SARS CoV-2) Pandemic: The Case of Turkey. Mathematics 2023, 11, 697. https://doi.org/10.3390/math11030697
Yüzbaşı Ş, Yıldırım G. A Pell–Lucas Collocation Approach for an SIR Model on the Spread of the Novel Coronavirus (SARS CoV-2) Pandemic: The Case of Turkey. Mathematics. 2023; 11(3):697. https://doi.org/10.3390/math11030697
Chicago/Turabian StyleYüzbaşı, Şuayip, and Gamze Yıldırım. 2023. "A Pell–Lucas Collocation Approach for an SIR Model on the Spread of the Novel Coronavirus (SARS CoV-2) Pandemic: The Case of Turkey" Mathematics 11, no. 3: 697. https://doi.org/10.3390/math11030697
APA StyleYüzbaşı, Ş., & Yıldırım, G. (2023). A Pell–Lucas Collocation Approach for an SIR Model on the Spread of the Novel Coronavirus (SARS CoV-2) Pandemic: The Case of Turkey. Mathematics, 11(3), 697. https://doi.org/10.3390/math11030697

