Abstract
The occurrence of rock burst hazards is closely related to the brittleness of rocks. Current research has paid less attention to the in-depth relationship between rock brittleness and acoustic emission (AE) signal characteristics and precursor information caused by rock fracture. Therefore, in order to further improve the accuracy of the AE monitoring of rockburst hazards, uniaxial compression tests were carried out and AE were monitored for rocks with different brittleness (yellow sandstone, white sandstone, marble, and limestone) in this paper. The relationship between the mechanical properties and the time-frequency characteristics of the AE was analyzed. In addition, the multi-fractal theory was introduced to further deconstruct and mine the AE signals, and the multi-fractal characteristics of AE from rocks with different brittleness were investigated. The results show that the stronger the brittleness of the rock, the higher the main frequency and main frequency amplitude of the AE. Brittleness is positively correlated with the multi-fractal parameter Δα (uniformity of data distribution) and negatively correlated with Δf (frequency difference between large and small data). In addition, the dynamics of Δα and Δf provide new indicators for AE monitoring of rock stability, and their abrupt changes can be regarded as precursors of failure. The weaker the brittleness of the rock, the earlier the failure precursor is and the more significant it is. This has potential engineering application value, which can help identify rockburst precursors and take timely protective measures to ensure engineering safety.
MSC:
37F05
1. Introduction
With the depletion of shallow coal resources, coal mining worldwide is gradually moving into the deeper parts of the earth [1,2]. Concerning the rupture of rock under high-stress environments, in deep underground conditions, it is very easy to induce a rock burst disaster, which seriously threatens the safety of the project [3,4,5,6]. Acoustic emission (AE), which is generated by microcrack propagation, is a ubiquitous phenomenon associated with brittle fracture and reflects a wealth of information about rock fracture [7]. AE is widely used in engineering as well as in laboratories as a favorable tool for rockburst monitoring [8,9,10]. An in-depth understanding of AE signal characteristics, identification of precursor information of rock failure, and timely adoption of risk avoidance means are crucial to reducing the risk of rock burst disasters.
Research on the characteristics of AE signals during rock loading has been carried out extensively. He et al. [11] investigated the AE characteristics of strainbursts under true triaxial unloading conditions, including the time series parameters and frequency characteristics of the signals. Brittle fracture processes in rocks during uniaxial compression testing were identified and characterized by combined AE and strain gauge monitoring by Eberhardt et al. [12]. Dong et al. [13] studied the AE b-value characteristics of granite under true triaxial compression conditions, and the decrease in AE b-value can be used as a precursor of rock instability. Li et al. [14] studied the AE response and AE weakening mechanism under uniaxial compression of sandstones with different water contents. Du et al. [15] carried out a series of rock tests to determine the fracture patterns and hence elucidate the microcracking characteristics of the rocks through AE RA/AF values.
In fact, the disaster occurrence of a rock burst is closely related to the inherent properties of the rock itself, such as strength and brittleness [16,17,18]. Due to the complexity of the strata, it is important to study the AE characteristics of different types of rocks to improve the accuracy of monitoring. In addition, fractal theory has been proposed to describe the existence of irregularities and complex systems in nature and has been widely used in the field of rock mechanics [19]. Several studies have been conducted to show that signals such as acoustic emission and electromagnetic radiation during rock fracture have fractal characteristics [14,20]. Therefore, in this paper, uniaxial compression tests and AE monitoring were carried out on four rocks (yellow sandstone, white sandstone, marble, and greywacke) with different brittleness. The relationship between brittleness and AE time-frequency characteristics is analyzed. Importantly, the multi-fractal theory was introduced to further explore the AE signal characteristics. The results of this study can provide new indicators for the AE monitoring of rock mass stability and further improve the effectiveness of disaster warnings.
2. Experimental Materials and Procedures
2.1. Sample Preparation
Four rocks were selected for the follow-up study, which were yellow sandstone, white sandstone, marble, and limestone. Their densities were 1.8 g/cm3, 2.7 g/cm3, 3.1 g/cm3, and 2.4 g/cm3, respectively. They were machined into standard samples with a diameter of 50 mm and a height of 100 mm for uniaxial compression testing according to the standards of the International Society of Rock Mechanics (ISRM). They were tested and analyzed by X-ray diffraction (XRD) in order to clarify their material composition. Figure 1 shows the physical objects of the four specimens as well as their XRD spectra. The mineral compositions obtained from the analyses are specifically listed in Table 1. The mineral components of the yellow sandstone are quartz (59.5%), k-feldspar (37.5%), calcite (0.8%), and clay (2.1%). The mineral components of the white sandstone are quartz (32%), k-feldspar (4.5%), plagioclase (52.8%), calcite (0.5%), and clay (10.3%). The mineral component of the marble is calcite (100%). The mineral components of the limestone are quartz (1.1%), calcite (96.1%), and clay (2.8%).
Figure 1.
Physical specimens (a) and their XRD spectra (b).
Table 1.
Mineral components.
2.2. Test Scheme
The test system consists of a press and an AE monitoring instrument. The physical object is shown in Figure 2. The press adopted the new SANS microcomputer-controlled electro-hydraulic servo pressure testing machine. The AE monitoring instrument adopted the 24-channel Micro-II type AE monitoring host of the American Physical Acoustics Corporation with a NANO-30 AE probe and a preamplifier. The loading rate of the press was set to 500 N/s. The AE acquisition parameters, including threshold, amplification, and acquisition frequency, were set to 40 dB, 40 dB, and 2 × 106/s, respectively. The AE probe was affixed to the surface of the sample by means of a special coupling agent. The instrument was connected, and the AE was calibrated. Afterwards, loading and AE acquisition were synchronized until the specimen was completely destroyed. Three replicate experiments were performed for each rock type, totaling 12 samples. The mechanical test results of all specimens are shown in Table 2.
Figure 2.
Physical test system.
Table 2.
Mechanical test results.
3. Mechanical Properties of Different Rocks
Figure 3a shows typical stress–strain curves for a set of different rocks. The curve of the yellow sandstone (YS) sample in the figure is used as an example for annotation. All samples went through four stages [21]: compaction (o-a), elastic deformation (a-b), crack propagation (b-c), and ultimate failure (c-d). The curve in the compaction stage showed an upward concave shape due to the closure of the original pores and cracks. The stress in the elastic deformation stage increased linearly with strain. After the end of elastic deformation, the crack inside the specimen developed and expanded. The damage intensified and the curve gradually became non-linear. Strain-hardening behavior was exhibited. Massive propagation and penetration of cracks within the specimen occurs when the stress is loaded to the limit of the specimen’s capacity, i.e., the uniaxial compressive strength UCS of the specimen. This leads to a reduction in the load-carrying capacity of the specimen, which is shown in the stress–strain curve by an increase in strain and a gradual fall in stress.
Figure 3.
Mechanical properties: (a) stress–strain curves; (b) uniaxial compressive strength; (c) elastic modulus; (d) brittleness index.
The UCS, elastic modulus E, and brittleness of all samples are statistically presented in Figure 3b–d. Among them, the brittleness was characterized using a classical index BI [22]:
where Uep is the elastic energy stored at peak stress, Up is the total amount of work done by the outside world at peak stress, and εp is the strain at peak stress. It reflects the energy storage capacity of the material. The UCS of yellow sandstone, white sandstone, marble, and limestone averaged 38 MPa, 70.1 MPa, 51.6 MPa, and 45.5 MPa, respectively, whereas the E were 5.8 GPa, 11.3 GPa, 13.3 GPa, and 8.6 GPa, respectively. Furthermore, the order of brittleness of the four rocks from largest to smallest was white sandstone, limestone, yellow sandstone, and marble.
4. AE Time-Frequency Response of Different Rocks
4.1. Time-Series Variation of AE Energy
Figure 4 shows the time series of changes in AE energy during the loading process of different rock samples. Usually, the change in AE energy reflects the deformation and fracture process of the specimen well. In the early stage of loading, due to the randomness of the original cracks and pores, there were some fluctuations in the AE energy during the compaction stage. During the elastic deformation stage, there was basically no fracture inside the specimen [21], so the AE was not very active, and the energy value remained at a very low level. In the later loading stage, a large number of cracks propagated and penetrated inside the specimen, resulting in a strong AE response and high energy values. In addition, after loading to peak stress, the AE energy also reached its peak when failure occurred. The sudden increase in AE energy of the white sandstone sample during the later stage of loading was more sudden and violent, due to its higher strength and brittleness. The brittleness of marble was the weakest, so its sudden increase in AE was more advanced due to its greater damage and energy dissipation before peak stress.
Figure 4.
AE energy variations characteristics: (a) yellow sandstone; (b) white sandstone; (c) marble; (d) limestone.
4.2. AE Frequency Domain Characteristics
The frequency domain characteristics of AE were investigated by time-frequency transforming the AE hits at different stress level points (including at 20%, 60%, and 100% of the peak stress) during the loading process. The classical fast Fourier transform (FFT) method was used for the time-frequency transformation, and the spectrum obtained after the transformation is shown in Figure 5. The maximum amplitude of the AE signal and the corresponding frequency (i.e., the dominant frequency) were mainly explored. The dominant frequencies and dominant amplitudes for different rocks are summarized in Figure 6. In general, the amplitude of the AE signal gradually increased with increasing stress, while the frequency gradually decreased [23]. In terms of frequency specifically, the main frequency of the acoustic emission signal was above 250 KHz at the beginning of loading, while at the peak stress moments, the frequencies of the signals were all below 40 KHz. This is related to the scale of the crack, that is, the size of the crack. In the early stages of rock loading, the scale of the crack within the rock is small and tends to be a grain-wide fracture. Later in the loading period, a large number of cracks propagate and penetrate, and macroscopic cracks visible to the naked eye will appear. In general, large-scale cracks correspond to low-frequency, high-amplitude signals, while the opposite is true for small-scale cracks [23]. The evolution of AE signals during the loading process of all rocks has a basically similar law, i.e., it evolves from high-frequency, low-energy signals to low-frequency, high-energy signals with the increase of the fracture scale. The dominant frequency of the AE and its amplitude were correlated with the brittleness of the material when comparing different rocks. Specifically, the more brittle the rock, the higher the dominant frequency and the higher the amplitude of the signal, regardless of the stress level. White sandstone was the most brittle, and it had the highest dominant frequency and amplitude. Marble was the least brittle and had the lowest dominant frequency and amplitude.
Figure 5.
Frequency spectrum characteristics of AE at different stress levels: (a) yellow sandstone; (b) white sandstone; (c) marble; (d) limestone.
Figure 6.
(a) AE dominant frequency and (b) dominant frequency amplitude for different stress levels.
5. AE Multi-Fractal Analysis of Different Rocks
5.1. Multi-Fractal Theory
In order to further reveal the AE characteristics of different brittle rocks, multi-fractal theory was introduced to deconstruct and analyze the AE energy data sequence. According to Hu et al. [20], the multi-fractal map α–f (α) can reflect the uneven distribution characteristics of the data. The width of the spectrum Δα (Δα = αmax − αmin) reflects the uniformity of the data distribution. The larger the width of the spectrum, the more diverse the data and the more pronounced the multi-fractal characteristics. The ∆f value (∆f = f (αmax) − f (αmin)) of the spectrum reflects the relationship between the occurrence frequency of big data and small data. A smaller value of ∆f means that big data occurs more frequently, and a larger value means that small data occurs more frequently. Moreover, ∆f > 0 indicates that small data is dominant; ∆f < 0 indicates that big data is dominant. It should be noted that big data refers to higher AE energy values, which usually imply large-scale rock fracturing events, while small data refers to lower AE energy values, which often imply small-scale rock fracturing events.
In this paper, the box dimension method is used to calculate the multi-fractal spectrum [14,20]. The AE energy data sequence is divided into N subsets, each of size k. The probability distribution {Pi(k)} is calculated for each subset:
where i is a time stamp reflecting the amount of data. The Xq(k) is the defined partition function, i.e., the statistical moments. τ (q) is the quality index, ∞ < q < +∞. α is a constant called the singularity index that controls the singularity of {Pi(k)}. It reflects the inhomogeneity of the subset of {xi} probabilities for different k. The f (α) denotes the frequency of the subset represented by α over all subsets, and it is also the fractal dimension of the subset α.
5.2. Multi-Fractal Feature
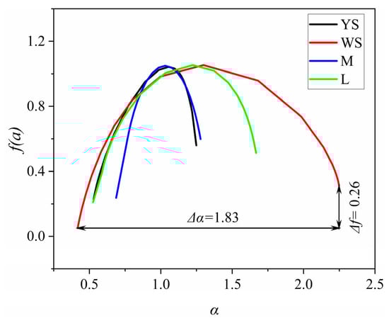
Figure 7 shows the multi-fractal maps of the AE energy sequences for a set of different rocks for the whole loading process. The values of the multi-fractal parameters Δα and ∆f for all specimens of different rocks are counted in Figure 8. The white sandstone has the largest Δα value and the widest multi-fractal spectrum, which means that it has the most inhomogeneous distribution of the AE energy, with obvious multi-fractal features. The order of Δα value size is white sandstone, limestone, yellow sandstone, and marble. In terms of ∆f values, all rocks have an ∆f greater than 0. This suggests that it is the smaller AE energy data that occur more frequently and that their performance is dominant. The order of size of ∆f value is marble, yellow sandstone, limestone, and white sandstone. This is the exact reverse of the situation with the Δα value. White sandstone has excellent AE signals for large energy values. Marble has excellent AE signals for small energy values. Figure 9 shows the relationship between the brittleness index BI and the multi-fractal parameter, BI is positively proportional to Δα and inversely proportional to ∆f. The following significant linear relationship exists between them:
Figure 7.
Multi-fractal spectrum.
Figure 8.
Multi-fractal parameters for different rocks: (a) ∆a; (b) ∆f.
Figure 9.
Relationship between brittleness index and multi-fractal parameters: (a) ∆a; (b) ∆f.
This means that the more brittle the rock, the more heterogeneous the AE distribution and the more dominant the AE signal produced by large fractures.
5.3. Time-Varying Multi-Fractal
In order to explore the dynamics of the data characteristics of the AE energy during the loading process, dynamic multi-fractal parameters can be calculated [14,20]. Therefore, we assume that the time series of AE is {yi} and the total time length of AE is T. In the time window lt, if the sampling interval is Δt, then the set of AE sequences Xm in lt is as follows:
where n is a positive integer. Then, at time Tm = lt + nm∆t, the dynamic multi-fractal parameters are as follows:
The calculated results for different rocks are shown in Figure 10. The evolution of the multi-fractal parameters for different rocks has a similar pattern. In the early stage of loading, the rock is essentially undamaged, with only some microfractures, and the AE signals are all low, so ∆a is also maintained at a low level, while ∆f is high. In the later stages of loading, large ruptures occur, AE increases abruptly, and the signal becomes more complex, so the ∆a value increases. When a large rupture occurs, the large-energy AE signals excel, so ∆f falls abruptly. In addition, the dynamically varying multi-fractal parameters can provide new and referable indicators for AE monitoring of rock stability. The sudden increase in ∆a value and the sudden decrease in ∆f value can be used as a precursor of rock failure and instability, which is potentially valuable for engineering applications. Moreover, rocks that are less brittle have more energy dissipation and more fracture before peak stress, i.e., before failure, and their precursors are more advanced and significant. Therefore, some means of material modification, such as water injection, to reduce the brittleness of the rock and enhance its plastic characteristics [14,24,25,26,27] is not only conducive to reducing the risk of dynamic hazards, such as rock bursts, but also conducive to the identification of precursors and early warning of rock instability.
Figure 10.
Time-series variation of multi-fractal parameters: (a) yellow sandstone; (b) white sandstone; (c) marble; (d) limestone.
Moreover, The AE response of rocks is not only related to the properties of the rock itself but also to the loading mode and conditions, the water content of the rock, the temperature, and other factors. In this paper, we have only investigated the effect of the rock’s own properties by controlling the variables. More research will be conducted in the future to investigate the effects of more types of rocks and other mining conditions.
6. Conclusions and Summary
In this paper, uniaxial compression tests were carried out on rock materials with different brittleness, including yellow sandstone, white sandstone, marble, and limestone. Moreover, the monitoring of AE signals was also carried out. The correlation between their mechanical properties and the time-frequency characteristics of the AE was analyzed.
Strongly brittle rocks show a more abrupt and violent increase in AE during failure, while weakly brittle rocks have a richer AE precursor prior to failure. During the loading process, the main frequency of AE gradually decreases, and the main frequency amplitude increases. The brittleness of the rock is directly proportional to the main frequency of the AE, which is also directly proportional to the amplitude of the main frequency.
The multi-fractal theory was introduced to further data mining and deconstruction of the acoustic emission signals, and the multi-fractal features of acoustic emission from different brittle rocks were explored. It is found that rock brittleness is positively proportional to the multi-fractal parameter ∆a (uniformity of data distribution) and inversely proportional to the parameter ∆f (frequency difference between large and small data). In addition, the dynamic change of ∆a and ∆f can provide new indicators for the AE monitoring of rock stability, and their abrupt change can be regarded as a precursor of rock failure.
The new indicators are further deconstructed and analyzed from the AE data, which have potential engineering value and provide referable precursor information for an early warning of rockburst disasters. Promptly taking protective measures after sudden changes in indicators can ensure project safety. Moreover, the results in terms of signal frequency can also guide the selection of AE monitoring frequency bands in the project.
Author Contributions
Conceptualization, J.O. and E.W.; writing—original draft, J.O.; project administration, J.O. and E.W.; investigation, J.O. and X.W. All authors have read and agreed to the published version of the manuscript.
Funding
This work was supported by the National Natural Science Foundation of China (51974305).
Data Availability Statement
The related data used to support the findings of this study are included within the article.
Conflicts of Interest
The authors declare no conflict of interest.
References
- Cai, X.; Yuan, J.; Zhou, Z.; Pi, Z.; Tan, L.; Wang, P.; Wang, S.; Wang, S. Effects of hole shape on mechanical behavior and fracturing mechanism of rock: Implications for instability of underground openings. Tunn. Undergr. Space Technol. 2023, 141, 105361. [Google Scholar] [CrossRef]
- Xie, H.P.; Li, C.; He, Z.Q.; Li, C.B.; Lu, Y.Q.; Zhang, R.; Gao, M.Z.; Gao, F. Experimental study on rock mechanical behavior retaining the in situ geological conditions at different depths. Int. J. Rock Mech. Min. Sci. 2021, 138, 104548. [Google Scholar] [CrossRef]
- Li, C.X.; Li, D.J.; Liu, X.L. Experimental study on the influence of intermediate principal stress on failure characteristics of strain rock burst for granite. Bull. Eng. Geol. Environ. 2023, 82, 340. [Google Scholar] [CrossRef]
- Li, J.Y.; Liu, D.Q.; He, M.C.; Guo, Y.P. True Triaxial Experimental Study on the Variation Characteristics of Rockburst with the Number of Fast Unloading Surfaces. Rock Mech. Rock Eng. 2023, 56, 5585–5606. [Google Scholar] [CrossRef]
- Li, H.R.; He, M.C.; Qiao, Y.F.; Cheng, T.; Xiao, Y.M.; Gu, Z.J. Mode I fracture properties and energy partitioning of sandstone under coupled static-dynamic loading: Implications for rockburst. Theor. Appl. Fract. Mech. 2023, 127, 104025. [Google Scholar] [CrossRef]
- Li, H.R.; Qiao, Y.F.; He, M.C.; Shen, R.X.; Gu, Z.J.; Cheng, T.; Xiao, Y.M.; Tang, J. Effect of water saturation on dynamic behavior of sandstone after wetting-drying cycles. Eng. Geol. 2023, 319, 1070105. [Google Scholar] [CrossRef]
- Lockner, D. The role of acoustic emission in the study of rock fracture. Int. J. Rock Mech. Min. Sci. Geomech. Abstr. 1993, 30, 883–899. [Google Scholar] [CrossRef]
- Li, X.L.; Chen, S.J.; Liu, S.M.; Li, Z.H. AE waveform characteristics of rock mass under uniaxial loading based on Hilbert-Huang transform. J. Cent. South Univ. 2021, 28, 1843–1856. [Google Scholar] [CrossRef]
- Di, Y.Y.; Wang, E.Y.; Huang, T. Identification method for microseismic, acoustic emission and electromagnetic radiation interference signals of rock burst based on deep neural networks. Int. J. Rock Mech. Min. Sci. 2023, 170, 105541. [Google Scholar] [CrossRef]
- Lu, C.P.; Liu, G.J.; Liu, Y.; Zhang, N.; Xue, J.H.; Zhang, L. Microseismic multi-parameter characteristics of rockburst hazard induced by hard roof fall and high stress concentration. Int. J. Rock Mech. Min. Sci. 2015, 76, 18–32. [Google Scholar] [CrossRef]
- He, M.C.; Miao, J.L.; Feng, J.L. Rock burst process of limestone and its acoustic emission characteristics under true-triaxial unloading conditions. Int. J. Rock Mech. Min. Sci. 2010, 47, 286–298. [Google Scholar] [CrossRef]
- Eberhardt, E.; Stead, D.; Stimpson, B. Quantifying progressive pre-peak brittle fracture damage in rock during uniaxial compression. Int. J. Rock Mech. Min. Sci. 1999, 36, 361–380. [Google Scholar] [CrossRef]
- Dong, L.J.; Zhang, L.Y.; Liu, H.N.; Du, K.; Liu, X.L. Acoustic Emission b Value Characteristics of Granite under True Triaxial Stress. Mathematics 2022, 10, 451. [Google Scholar] [CrossRef]
- Li, H.R.; Qiao, Y.F.; Shen, R.X.; He, M.C.; Cheng, T.; Xiao, Y.M.; Tang, J. Effect of water on mechanical behavior and acoustic emission response of sandstone during loading process: Phenomenon and mechanism. Eng. Geol. 2021, 294, 106386. [Google Scholar] [CrossRef]
- Du, K.; Li, X.F.; Tao, M.; Wang, S.F. Experimental study on acoustic emission (AE) characteristics and crack classification during rock fracture in several basic lab tests. Int. J. Rock Mech. Min. Sci. 2020, 133, 104411. [Google Scholar] [CrossRef]
- Meng, F.Z.; Wong, L.N.Y.; Zhou, H. Rock brittleness indices and their applications to different fields of rock engineering: A review. J. Rock Mech. Geotech. Eng. 2021, 13, 221–247. [Google Scholar] [CrossRef]
- Tang, H.M.; Wen, T.; Wang, Y.K. Brittleness evaluation based on the energy evolution throughout the failure process of rocks. J. Pet. Sci. Eng. 2020, 194, 107361. [Google Scholar]
- Xue, Y.; Liu, J.; Ranjith, P.G.; Gao, F.; Zhang, Z.Z.; Wang, S.H. Experimental investigation of mechanical properties, impact tendency, and brittleness characteristics of coal mass under different gas adsorption pressures. Geomech. Geophys. Geo-Energy Geo-Resour. 2022, 8, 131. [Google Scholar] [CrossRef]
- Xie, H.; Pariseau, W.G. Fractal character and mechanism of rock bursts. Int. J. Rock Mech. Min. Sci. Geomech. Abstr. 1993, 30, 343–350. [Google Scholar] [CrossRef]
- Hu, S.B.; Wang, E.Y.; Li, Z.H.; Shen, R.X.; Liu, J. Time-Varying Multifractal Characteristics and Formation Mechanism of Loaded Coal Electromagnetic Radiation. Rock Mech. Rock Eng. 2014, 47, 1821–1838. [Google Scholar] [CrossRef]
- Cai, M.; Kaiser, P.K.; Tasaka, Y.; Maejima, T.; Morioka, H.; Minami, M. Generalized crack initiation and crack damage stress thresholds of brittle rock masses near underground excavations. Int. J. Rock Mech. Min. Sci. 2004, 41, 833–847. [Google Scholar] [CrossRef]
- Hucka, V.; Das, B. Brittleness determination of rocks by different methods. Int. J. Rock Mech. Min. Sci. Geomech. Abstr. 1974, 11, 389–392. [Google Scholar] [CrossRef]
- Jiang, R.C.; Dai, F.; Liu, Y.; Li, A.; Feng, P. Frequency Characteristics of Acoustic Emissions Induced by Crack Propagation in Rock Tensile Fracture. Rock Mech. Rock Eng. 2021, 54, 2053–2065. [Google Scholar] [CrossRef]
- Cai, X.; Cheng, C.Q.; Zhao, Y.; Zhou, Z.L.; Wang, S.F. The role of water content in rate dependence of tensile strength of a fine-grained sandstone. Arch. Civ. Mech. Eng. 2022, 22, 58. [Google Scholar] [CrossRef]
- Li, H.R.; Shen, R.X.; Qiao, Y.F.; He, M.C. Acoustic emission signal characteristics and its critical slowing down phenomenon during the loading process of water-bearing sandstone. J. Appl. Geophys. 2021, 194, 104458. [Google Scholar] [CrossRef]
- Li, H.R.; Qiao, Y.F.; Shen, R.X.; He, M.C. Electromagnetic radiation signal monitoring and multi-fractal analysis during uniaxial compression of water-bearing sandstone. Measurement 2022, 196, 111245. [Google Scholar] [CrossRef]
- Ma, Q.; Liu, X.; Tan, Y.; Elsworth, D.; Shang, J.; Song, D.; Liu, X.; Yan, F. Numerical study of mechanical properties and microcrack evolution of double-layer composite rock specimens with fissures under uniaxial compression. Eng. Fract. Mech. 2023, 289, 109403. [Google Scholar] [CrossRef]
Disclaimer/Publisher’s Note: The statements, opinions and data contained in all publications are solely those of the individual author(s) and contributor(s) and not of MDPI and/or the editor(s). MDPI and/or the editor(s) disclaim responsibility for any injury to people or property resulting from any ideas, methods, instructions or products referred to in the content. |
© 2023 by the authors. Licensee MDPI, Basel, Switzerland. This article is an open access article distributed under the terms and conditions of the Creative Commons Attribution (CC BY) license (https://creativecommons.org/licenses/by/4.0/).