Analysis and Optimal Control Measures of a Typhoid Fever Mathematical Model for Two Socio-Economic Populations
Abstract
:1. Introduction
2. Model Formulation
3. Model Analysis
4. Numerical Illustrations
5. Optimal Control Analysis
5.1. Existence of the Optimal Control
5.2. Uniqueness of the Optimal Control System
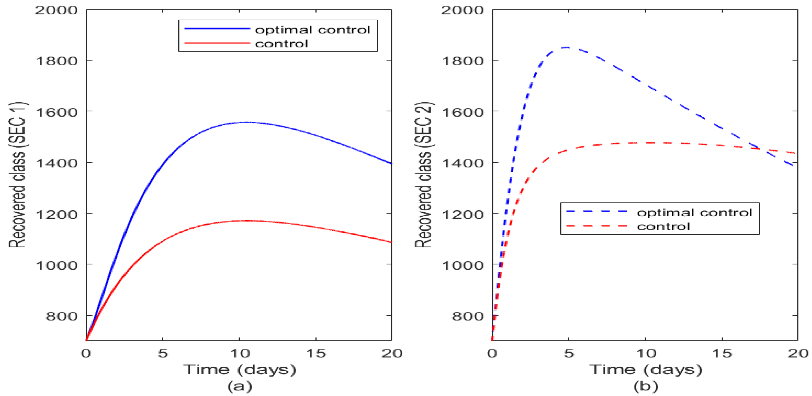
6. Numerical Illustration of Optimal Control
7. Discussion
Author Contributions
Funding
Data Availability Statement
Conflicts of Interest
References
- World Health Organisation (WHO). August 2020. Available online: https://www.who.int/health-topics/typhoid#tab=tab$_1$ (accessed on 1 September 2023).
 - Wain, J.; Hendriksen, R.S.; Mikoleit, M.L.; Keddy, K.H.; Ochiai, R.L. Typhoid fever. Lancet 2015, 385, 1136–1145. [Google Scholar] [CrossRef]
 - Edward, S. A deterministic mathematical model for direct and indirect transmission dynamics of typhoid fever. Open Access Libr. J. 2017, 4, 1–16. [Google Scholar] [CrossRef]
 - Moyer, C.A.; Johnson, C.; Kaselitz, E.; Aborigo, R. Using social autopsy to understand maternal, newborn, and child mortality in low-resource settings: A systematic review of the literature. Glob. Health Action 2017, 10, 1413917. [Google Scholar] [CrossRef]
 - Snavely, M.E.; Maze, M.J.; Muiruri, C.; Ngowi, L.; Mboya, F.; Beamesderfer, J.; Rubach, M.P. Sociocultural and health system factors associated with mortality among febrile inpatients in Tanzania: A prospective social biopsy cohort study. Bmj Glob. Health 2018, 3, e000507. [Google Scholar] [CrossRef]
 - Snavely, M.E.; Oshosen, M.; Msoka, E.F.; Karia, F.P.; Maze, M.J.; Blum, L.S.; Muiruri, C. If You Have No Money, You Might Die: A Qualitative Study of Sociocultural and Health System Barriers to Care for Decedent Febrile Inpatients in Northern Tanzania. Am. J. Trop. Med. Hyg. 2020, 103, 494. [Google Scholar] [CrossRef]
 - Collins, O.C.; Robertson, S.L.; Govinder, K.S. Analysis of a waterborne disease model with socioeconomic classes. Math. Biosci. 2015, 269, 86–93. [Google Scholar] [CrossRef]
 - Crump, J.A. Progress in typhoid fever epidemiology. Clin. Infect. Dis. 2019, 68 (Suppl. S1), S4–S9. [Google Scholar] [CrossRef]
 - Crump, J.A.; Sjölund-Karlsson, M.; Gordon, M.A.; Parry, C.M. Epidemiology, clinical presentation, laboratory diagnosis, antimicrobial resistance, and antimicrobial management of invasive Salmonella infections. Clin. Microbiol. Rev. 2015, 28, 901–937. [Google Scholar] [CrossRef]
 - Pitzer, V.E.; Feasey, N.A.; Msefula, C.; Mallewa, J.; Kennedy, N.; Dube, Q.; Heyderman, R.S. Mathematical modeling to assess the drivers of the recent emergence of typhoid fever in Blantyre, Malawi. Clin. Infect. Dis. 2015, 61 (Suppl. S4), S251–S258. [Google Scholar] [CrossRef]
 - Bakach, I.; Just, M.R.; Gambhir, M.; Fung, I.C.H. Typhoid transmission: A historical perspective on mathematical model development. Trans. R. Soc. Trop. Med. Hyg. 2015, 109, 679–689. [Google Scholar] [CrossRef]
 - Brauer, F. Mathematical epidemiology: Past, present, and future. Infect. Dis. Model. 2017, 2, 113–127. [Google Scholar]
 - Kermack, W.O.; McKendrick, A.G. Contributions to the mathematical theory of epidemics. III—Further studies of the problem of endemicity. Proceedings of the Royal Society of London. Ser. Contain. Pap. Math. Phys. Character 1991, 141, 94–122. [Google Scholar]
 - Kermack, W.O.; McKendrick, A.G. A contribution to the mathematical theory of epidemics. Proceedings of the royal society of london. Ser. Contain. Pap. Math. Phys. Character 1927, 115, 700–721. [Google Scholar]
 - Cvjetanovic, B.B. Field trial of typhoid vaccines. Am. J. Public Health Nations Health 1957, 47, 578–581. [Google Scholar] [CrossRef]
 - Matsebula, L.; Nyabadza, F.; Mushanyu, J. Mathematical analysis of typhoid fever transmission dynamics with seasonality and fear. Commun. Math. Biol. Neurosci. 2021. Available online: https://www.scik.org/index.php/cmbn/article/view/5590 (accessed on 12 September 2023).
 - Irena, T.K.; Gakkhar, S. Modelling the dynamics of antimicrobial-resistant typhoid infection with environmental transmission. Appl. Math. Comput. 2021, 401, 126081. [Google Scholar]
 - Collins, O.C.; Govinder, K.S. Stability analysis and optimal vaccination of a waterborne disease model with multiple water sources. Nat. Resour. Model 2016, 29, 426–447. [Google Scholar] [CrossRef]
 - Onah, I.S.; Collins, O.C.; Madueme, P.G.U.; Mbah, G.C.E. Dynamical System Analysis and Optimal Control Measures of Lassa Fever Disease Model. Int. J. Math. Math. Sci. 2020, 2020, 7923125. [Google Scholar] [CrossRef]
 - Van den Driessche, P.; Watmough, J. Reproduction numbers and sub-threshold endemic equilibria for compartmental models of disease transmission. Math. Biosci. 2002, 180, 29–48. [Google Scholar] [CrossRef]
 - Tien, J.H.; Earn, D.J.D. Multiple Transmission Pathways and Disease Dynamics in a Waterborne Pathogen Model. Bull. Math. Biol. 2010, 72, 1506–1533. [Google Scholar]
 - Castillo-Chavez, C.; Feng, Z.; Huang, W. On the Computation of R0 and Its Role on Global Stability. In Mathematical Approaches for Emerging and Reemerging Infectious Diseases. An Introduction, IMA; Springer: Berlin/Heidelberg, Germany, 2002; Volume 125. [Google Scholar]
 - Robertson, S.L.; Eisenberg, M.C.; Tien, J.H. Heterogeneity in Multiple Transmission Pathways: Modelling the Spread of Cholera and Other Waterborne Disease in Networks with a Common Water Source. J. Biol. Dyn. 2013, 7, 254–275. [Google Scholar] [CrossRef] [PubMed]
 - Onah, I.S.; Collins, O.C. Dynamical system analysis of a Lassa fever model with varying socioeconomic classes. J. Appl. Math. 2020, 2020, 2601706. [Google Scholar] [CrossRef]
 - Collins, O.C.; Okeke, J.E. Analysis and control measures for Lassa fever model under socio-economic conditions. J. Physics: Conf. Ser. 2021, 1734, 012049. [Google Scholar] [CrossRef]
 - Collins, O.C.; Okeke, J.E. Analysis and multiple control measures for a typhoid fever disease model. J. Physics: Conf. Ser. 2021, 1734, 012053. [Google Scholar] [CrossRef]
 - King, A.A.; Lonides, E.L.; Pascual, M.; Bouma, M.J. Inapparent Infections and Cholera Dynamics. Nature 2008, 454, 877–881. [Google Scholar] [CrossRef]
 - Mukandavire, Z.; Garira, W. HIV/AIDS model for assessing the effects of prophylactic sterilizing vaccines, condoms and treatment with amelioration. J. Biol. Syst. 2006, 14, 323–355. [Google Scholar] [CrossRef]
 - Mutua, J.M.; Barker, C.T.; Vaidya, N.K. Modeling impacts of socioeconomic status and vaccination programs on typhoid fever epidemics. Electron. J. Differ. Equ. Conf. 2017, 24, 63–74. [Google Scholar]
 - Lucas, M.E.S.; Deen, J.L.; Seidlein, L.; Wang, X.; Ampuero, J.; Puri, M.; Ali, M.; Ansaruzzaman, M.; Amos, J.; Macuamule, A.; et al. Effectiveness of Mass Oral Cholera Vaccination in Beira, Mozambique. N. Engl. J. Med. 2005, 352, 757–767. [Google Scholar] [CrossRef]
 - Miller Neilan, R.L.; Schaefer, E.; Gaff, H.; Fister, K.R.; Lenhart, S. Modeling optimal intervention strategies for cholera. Bull. Math. Biol. 2010, 72, 2004–2018. [Google Scholar] [CrossRef]
 - Kar, T.K.; Batabyal, A. Stability analysis and optimal control of an SIR epidemic model with vaccination. Biosystems 2011, 104, 127–135. [Google Scholar] [CrossRef]
 - Agusto, F.B. Optimal chemoprophylaxis and treatment control strategies of a tuberculosis transmission model. World J. Model. Simul. 2009, 5, 163–173. [Google Scholar]
 - Joshi, H.R. Optimal control of an HIV immunology model. Optim. Control. Appl. Methods 2002, 23, 199–213. [Google Scholar] [CrossRef]
 - Onah, I.S.; Aniaku, S.E.; Ezugorie, O.M. Analysis and optimal control measures of diseases in cassava population. Optim. Control. Appl. Methods 2022, 43, 1450–1478. [Google Scholar] [CrossRef]
 - Pontryagin, L.S. Mathematical Theory of Optimal Processes; CRC Press: Boca Raton, FL, USA, 1962. [Google Scholar]
 - Mugabi, F.; Mugisha, J.; Nannyonga, B.; Kasumba, H.; Tusiime, M. Parameter-dependent transmission dynamics and optimal control of foot and mouth disease in a contaminated environment. J. Egypt. Math. Soc. 2019, 27, 53. [Google Scholar] [CrossRef]
 - Lenhart, S.; Workman, J.T. Optimal Control Applied to Biological Models; CRC Press: New York, NY, USA, 2007. [Google Scholar]
 











| Variable | Meaning | 
|---|---|
| Total population of individuals in SEC i | |
| Susceptible population in SEC i | |
| Vaccinated population in SEC i | |
| Infected population in SEC i | |
| Treated population in SEC i | |
| Recovered population in SEC i | |
| Pathogens in the environment in SEC i | 
| Parameter | Meaning | 
|---|---|
| Contact rate of susceptible with infected population in SEC i | |
| Contact rate of susceptible population with pathogens in SEC i | |
| Natural mortality rate of humans in the SEC i | |
| Vaccination rate of individuals in the SEC i | |
| Efficacy of vaccination in the SEC i | |
| Natural recovery rate of infected population in SEC i | |
| Recovery rate of infected population due to treatment in SEC i | |
| Treatment rate of infected population in SEC i | |
| Rate at which recovered population becomes susceptible in SEC i | |
| Shedding rate of by the infected population in SEC i | |
| Natural death rate of pathogens in the environment | |
| Decay rate of due to sanitation | |
| Movement rate of susceptible population from to | |
| Movement rate of infected population from to | 
| Symbol of the Parameters | Parameter Values | Source | 
|---|---|---|
| 0.0200 | [18,23] | |
| 0.00002 | Estimated | |
| 1.6 | Estimated | |
| 0.4 | Estimated | |
| 0.00001 | Estimated | |
| 1.6 | Estimated | |
| 0.4 | Estimated | |
| 0.001 | Estimated | |
| 0.4 | Estimated | |
| 1.6 | Estimated | |
| 0.0445 | [21] | |
| 0.4 | Estimated | |
| 1.6 | Estimated | |
| 0.0333 | [18,21] | |
| 0.20 | [7] | |
| 0.20 | [7] | |
| 0.20 | [7] | |
| 0.20 | [7] | |
| 0.78 | [30] | |
| 0.4 | Estimated | |
| 1.6 | Estimated | |
| 0.20 | Estimated | |
| 0.80 | Estimated | |
| 0.04 | Estimated | |
| 0.16 | Estimated | |
| 0.18 | Estimated | |
| 0.72 | Estimated | |
| [21] | ||
| 1.6 | Estimated | |
| 0.4 | Estimated | 
Disclaimer/Publisher’s Note: The statements, opinions and data contained in all publications are solely those of the individual author(s) and contributor(s) and not of MDPI and/or the editor(s). MDPI and/or the editor(s) disclaim responsibility for any injury to people or property resulting from any ideas, methods, instructions or products referred to in the content.  | 
© 2023 by the authors. Licensee MDPI, Basel, Switzerland. This article is an open access article distributed under the terms and conditions of the Creative Commons Attribution (CC BY) license (https://creativecommons.org/licenses/by/4.0/).
Share and Cite
Aniaku, S.E.; Collins, O.C.; Onah, I.S. Analysis and Optimal Control Measures of a Typhoid Fever Mathematical Model for Two Socio-Economic Populations. Mathematics 2023, 11, 4722. https://doi.org/10.3390/math11234722
Aniaku SE, Collins OC, Onah IS. Analysis and Optimal Control Measures of a Typhoid Fever Mathematical Model for Two Socio-Economic Populations. Mathematics. 2023; 11(23):4722. https://doi.org/10.3390/math11234722
Chicago/Turabian StyleAniaku, Stephen Ekwueme, Obiora Cornelius Collins, and Ifeanyi Sunday Onah. 2023. "Analysis and Optimal Control Measures of a Typhoid Fever Mathematical Model for Two Socio-Economic Populations" Mathematics 11, no. 23: 4722. https://doi.org/10.3390/math11234722
APA StyleAniaku, S. E., Collins, O. C., & Onah, I. S. (2023). Analysis and Optimal Control Measures of a Typhoid Fever Mathematical Model for Two Socio-Economic Populations. Mathematics, 11(23), 4722. https://doi.org/10.3390/math11234722
        
