Statistical Image Watermark Algorithm for FAPHFMs Domain Based on BKF–Rayleigh Distribution
Abstract
1. Introduction
2. Related Work
3. Robustness Analysis of the FAPHFM Magnitudes
3.1. Fast and Accurate Polar Harmonic Fourier Moments (FAPHFMs)
3.2. Analysis of the Magnitudes of FAPHFMs
4. Modeling the Magnitudes of FAPHFMs
4.1. Statistical Analysis of the FAPHFM Magnitudes
4.2. Statistical Modeling of FAPHFM Magnitudes
4.3. Model Parameter Estimation
5. Digital Watermark Embedding
| Algorithm 1 Watermark embedding algorithm |
|
6. Digital Watermark Detection
6.1. Locally Optimal Watermark Detector
6.2. Watermark Detection
| Algorithm 2 Watermark detection algorithm |
| Input: Watermarked image ; |
| Output: Containing watermark information , no watermark information ; |
| 1: Image segmentation ; |
| 2: High-entropy block selection by Equation (16); |
| 3: FAPHFM magnitude; |
| 4: Magnitude moment selection; |
| 5: MMLE based on RSS by Equation (8); |
| 6: Threshold value selection; |
| 7: Construction of LO detector; |
| 8: if then |
| 9: ; |
| 10: else |
| 11: ; |
| 12: end if |
| 13: return or . |
6.3. Performance Analysis of Watermark Detector
7. Experimental Results
7.1. Watermark Detector Performance Evaluation
7.1.1. Accuracy
7.1.2. Imperceptibility
7.1.3. Robustness
7.1.4. Capacity and Time
7.2. Comparison with State-of-the-Art Methods
7.2.1. Probability of Detection for Varying Watermark Strengths
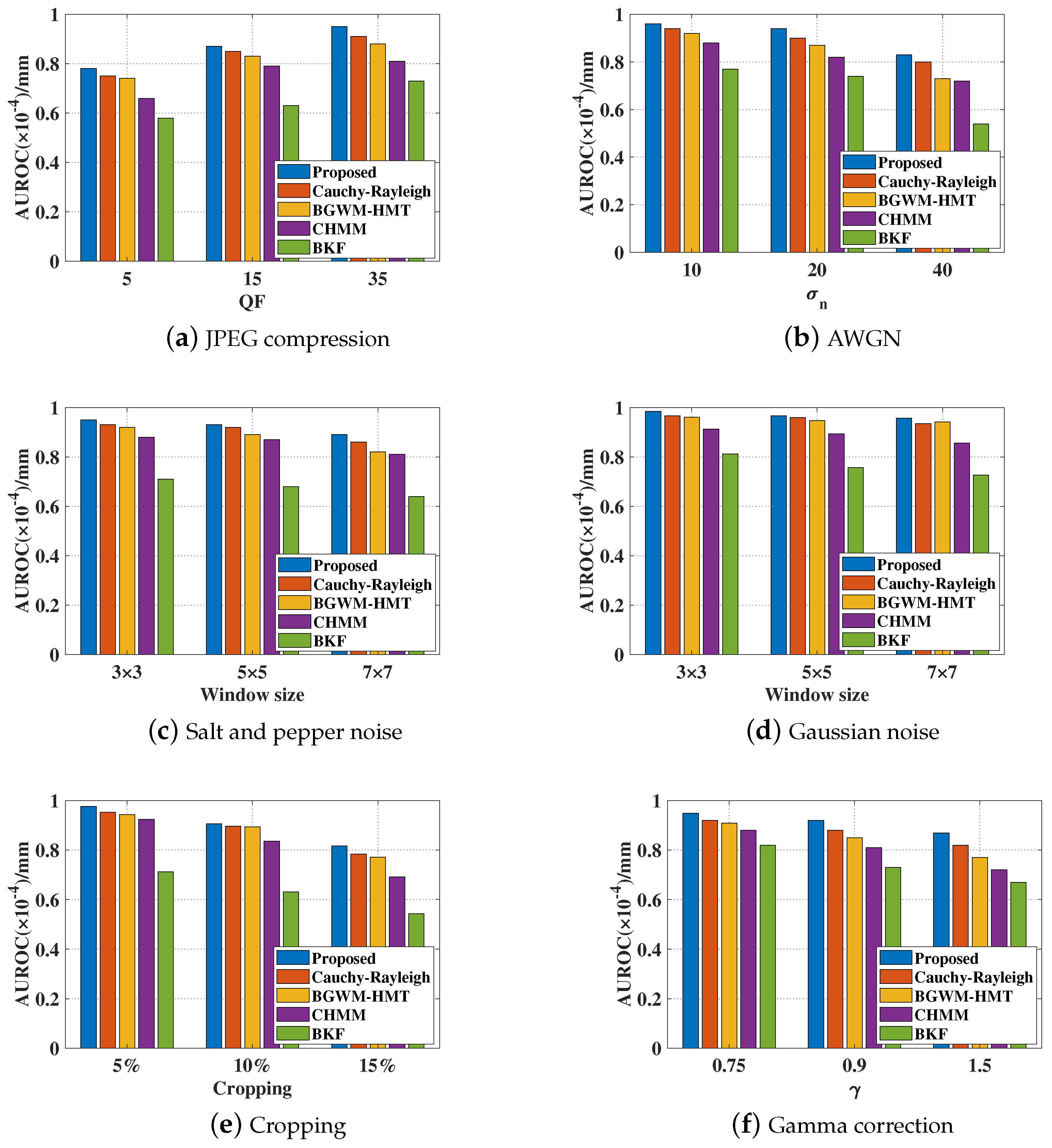
7.2.2. AUROC Values under Various Attacks
8. Conclusions
Author Contributions
Funding
Institutional Review Board Statement
Informed Consent Statement
Data Availability Statement
Conflicts of Interest
References
- Zhang, X.; Zhang, W.; Sun, W.; Sun, X.; Jha, S.K. A robust 3-D medical watermarking based on wavelet transform for data protection. Comput. Syst. Sci. Eng. 2022, 41, 1043–1056. [Google Scholar] [CrossRef]
- Tavakoli, A.; Honjani, Z.; Sajedi, H. Convolutional neural network-based image watermarking using discrete wavelet transform. Int. J. Inf. Technol. 2023, 15, 2021–2029. [Google Scholar] [CrossRef]
- Begum, M.; Ferdush, J.; Uddin, M.S. A hybrid robust watermarking system based on discrete cosine transform, discrete wavelet transform, and singular value decomposition. J. King Saud-Univ.-Comput. Inf. Sci. 2022, 34, 5856–5867. [Google Scholar] [CrossRef]
- Dong, L.; Yan, Q.; Lv, Y.; Deng, S. Full band watermarking in DCT domain with Weibull model. Multimed. Tools Appl. 2017, 76, 1983–2000. [Google Scholar] [CrossRef]
- Thanki, R.; Kothari, A.; Trivedi, D. Hybrid and blind watermarking scheme in DCuT–RDWT domain. J. Inf. Secur. Appl. 2019, 46, 231–249. [Google Scholar] [CrossRef]
- Sharma, N.K.; Kumar, S.; Rajpal, A.; Kumar, N. MantaRayWmark: An image adaptive multiple embedding strength optimization based watermarking using Manta Ray Foraging and bi-directional ELM. Expert Syst. Appl. 2022, 200, 116860. [Google Scholar] [CrossRef]
- Luo, Y.; Li, L.; Liu, J.; Tang, S.; Cao, L.; Zhang, S.; Qiu, S.; Cao, Y. A multi-scale image watermarking based on integer wavelet transform and singular value decomposition. Expert Syst. Appl. 2021, 168, 114272. [Google Scholar] [CrossRef]
- Hu, F.; Cao, H.; Chen, S.; Sun, Y.; Su, Q. A robust and secure blind color image watermarking scheme based on contourlet transform and schur decomposition. Vis. Comput. 2022, 39, 4573–4592. [Google Scholar] [CrossRef]
- Wang, X.; Zhang, S.; Wang, L.; Yang, H.; Niu, P. Locally optimum image watermark decoder by modeling NSCT domain difference coefficients with vector based cauchy distribution. J. Vis. Commun. Image Represent. 2019, 62, 309–329. [Google Scholar] [CrossRef]
- Hamza, Y.A.; Tewfiq, N.E.; Ahmed, M.Q. An enhanced approach of image steganographic using discrete shearlet transform and secret sharing. Baghdad Sci. J. 2022, 19, 197–207. [Google Scholar] [CrossRef]
- Wang, X.; Shen, X.; Niu, P.; Yang, H. BGGMM-HMT based locally optimum image watermark detector in high-order NSST difference domain. J. Vis. Commun. Image Represent. 2022, 83, 103450. [Google Scholar] [CrossRef]
- Alghoniemy, M.; Tewfik, A.H. Image watermarking by moment invariants. In Proceedings of the Proceedings 2000 International Conference on Image Processing (Cat. No. 00CH37101), Vancouver, BC, Canada, 10–13 September 2000; Volume 2, pp. 73–76. [Google Scholar]
- Wang, X.; Niu, P.; Tian, J.; Tian, J. A new statistical image watermark detector in RHFMs domain using beta-exponential distribution. Soft Comput. 2022, 26, 9707–9727. [Google Scholar] [CrossRef]
- Zebbiche, K.; Khelifi, F.; Loukhaoukha, K. Robust additive watermarking in the DTWCT domain based on perceptual masking. Multimed. Tools Appl. 2018, 77, 21281–21304. [Google Scholar] [CrossRef]
- Hamidreza, S.; Ahmad; Omair, M.; Shanmukha, S.M.N. Optimum multiplicative watermark detector in contourlet domain using the normal inverse Gaussian distribution. In Proceedings of the 2015 IEEE International Symposium on Circuits and Systems (ISCAS), Lisbon, Portugal, 24–27 May 2015; pp. 1050–1053. [Google Scholar]
- Yakoh, T.; Oi, M. Re-shooting resistant blind watermarking framework based on feature separation with gaussian mixture model. IEEJ Trans. Electr. Electron. Eng. 2022, 17, 556–565. [Google Scholar] [CrossRef]
- Wang, X.; Zhang, S.; Wen, T.; Xu, H.; Yang, H. Synchronization correction-based robust digital image watermarking approach using bessel k-form PDF. Pattern Anal. Appl. 2020, 23, 933–951. [Google Scholar] [CrossRef]
- Liu, Y.; Zhang, S.; Yang, J. Color image watermark decoder by modeling quaternion polar harmonic transform with BKF distribution. Signal Process. Image Commun. 2020, 88, 115946. [Google Scholar] [CrossRef]
- Etemad, S.; Amirmazlaghani, M. A new multiplicative watermark detector in the contourlet domain using t location-scale distribution. Pattern Recognit. 2018, 77, 99–112. [Google Scholar] [CrossRef]
- Jiang, M.; Feng, X.; Wang, C.; Fan, X.; Zhang, H. Robust color image watermarking algorithm based on synchronization correction with multi-layer perceptron and cauchy distribution model. Appl. Soft Comput. 2023, 140, 110271. [Google Scholar] [CrossRef]
- Ahmaderaghi, B.; Kurugollu, F.; Rincon, J.M.D.; Bouridane, A. Blind image watermark detection algorithm based on discrete shearlet transform using statistical decision theory. IEEE Trans. Comput. Imaging 2018, 4, 46–59. [Google Scholar] [CrossRef]
- Sedighi, V.; Fridrich, J.; Cogranne, R. Content-adaptive pentary steganography using the multivariate generalized gaussian cover model. In Media Watermarking, Security, and Forensics 2015; SPIE: Philadelphia, PA, USA, 2015; Volume 9409, pp. 144–156. [Google Scholar]
- Al-Wesabi, F.N. A smart English text zero-watermarking approach based on third-level order and word mechanism of Markov model. Comput. Mater. Contin. 2020, 65, 1137–1156. [Google Scholar] [CrossRef]
- Amini, M.; Sadreazami, H.; Ahmad, M.O.; Swamy, M. A channel-dependent statistical watermark detector for color images. IEEE Trans. Multimed. 2018, 21, 65–73. [Google Scholar] [CrossRef]
- Wang, X.; Wen, T.; Wang, L.; Niu, P. Yang, H. Contourlet domain locally optimum image watermark decoder using cauchy mixtures based vector HMT model. Signal Process. Image Commun. 2020, 88, 115972. [Google Scholar] [CrossRef]
- Amirmazlaghani, M. Additive watermark detection in the wavelet domain using 2D-GARCH model. Inf. Sci. 2016, 370, 1–17. [Google Scholar] [CrossRef]
- Xia, Z.; Wang, C.; Li, Y.; Yu, B.; Zhang, Y.; Li, Q.; Wang, X.; Ma, B. Geometrical attacks resilient statistical watermark decoder using polar harmonic Fourier moments. J. Frankl. Inst. 2023, 360, 4493–4518. [Google Scholar] [CrossRef]
- Yang, H.; Wei, T.; Shen, Y.; Niu, P.; Wang, X. Vector SENM-HMT-based statistical watermark decoder in NSST–PLCT magnitude domain. Circuits Syst. Signal Process. 2023, 42, 3926–3962. [Google Scholar] [CrossRef]
- Wang, X.; Ma, R.; Shen, Y.; Niu, P. Image watermarking using DNST-PHFMs magnitude domain vector AGGM-HMT. J. Vis. Commun. Image Represent. 2023, 91, 10377. [Google Scholar] [CrossRef]
- Shaik, A.; V, M. A robust multiplicative watermarking technique for digital images in curvelet domain using normal inverse Gaussian distribution. Multimed. Tools Appl. 2023, 82, 9223–9241. [Google Scholar] [CrossRef]
- Sanivarapu, P.V. Adaptive tamper detection watermarking scheme for medical images in transform domain. Multimed. Tools Appl. 2022, 81, 11605–11619. [Google Scholar] [CrossRef]
- Hu, Y.; Lu, W.; Wei, J.; Xu, J.; Ma, M. A watermark detection scheme based on non-parametric model applied to mute machine voice. Multimed. Tools Appl. 2023, 1–20. [Google Scholar] [CrossRef]
- Bi, H.; Liu, Y.; Wu, M.; Ge, Y. NSCT domain additive watermark detection using RAO hypothesis test and cauchy distribution. Math. Probl. Eng. 2016, 2016, 4065215. [Google Scholar] [CrossRef][Green Version]
- Sadreazami, H.; Ahmad, M.O.; Swamy, M.S. A robust multiplicative watermark detector for color images in sparse domain. IEEE Trans. Circuits Syst. II Express Briefs 2015, 62, 1159–1163. [Google Scholar] [CrossRef]
- Chen, S.-T.; Hsu, C.-Y.; Huang, H.-N. Wavelet-domain audio watermarking using optimal modification on low-frequency amplitude. IET Signal Process. 2015, 9, 166–176. [Google Scholar] [CrossRef]
- Devi, K.J.; Singh, P.; Dash, J.K.; Thakkar, H.K.; Santamaría, J.; Krishna, M.V.J.; Romero, M.A. A new robust and secure 3-level digital image watermarking method based on G-BAT hybrid Optimization. Mathematics 2022, 10, 3015. [Google Scholar] [CrossRef]
- Juarez-Sandoval, O.U.; Garcia-Ugalde, F.J.; Cedillo-Hernandez, M.; Ramirez-Hernandez, J.; Hernandez-Gonzalez, L. Imperceptible–visible watermarking to information security tasks in color imaging. Mathematics 2021, 9, 2374. [Google Scholar] [CrossRef]
- Gong, L.; Tian, C.; Zou, W.; Zhou, N. Robust and imperceptible watermarking scheme based on Canny edge detection and SVD in the contourlet domain. Multimed. Tools Appl. 2021, 80, 439–461. [Google Scholar] [CrossRef]
- Niu, P.; Wang, L.; Tian, J.; Zhang, S.; Wang, X. A statistical color image watermarking scheme using local QPCET and Cauchy–Rayleigh distribution. Circuits Syst. Signal Process. 2021, 40, 4516–4545. [Google Scholar] [CrossRef]
- Huang, T.; Xu, J.; Yang, Y.; Han, B. Robust zero-watermarking algorithm for medical images using double-tree complex wavelet transform and Hessenberg decomposition. Mathematics 2022, 10, 1154. [Google Scholar] [CrossRef]
- Mun, S.-M.; Nam, S.-H.; Jang, H.; Kim, D.; Lee, H.-K. Finding robust domain from attacks: A learning framework for blind watermarking. Neurocomputing 2019, 337, 191–202. [Google Scholar] [CrossRef]
- Deeba, F.; Kun, S.; Dharejo, F.A.; Langah, H.; Memon, H. Digital watermarking using deep neural network. Int. J. Mach. Learn. Comput. 2020, 10, 277–282. [Google Scholar] [CrossRef]
- Pavlović, K.; Kovačević, S.; Djurović, I.; Wojciechowski, A. Robust speech watermarking by a jointly trained embedder and detector using a DNN. Digit. Signal Process. 2022, 122, 103381. [Google Scholar] [CrossRef]
- Hosny, K.M.; Darwish, M.M.; Fouda, M.M. Robust color images watermarking using new fractional-order exponent moments. IEEE Access 2021, 9, 47425–47435. [Google Scholar] [CrossRef]
- Wang, C.; Zhang, Q.; Ma, B.; Xia, Z.; Li, J.; Luo, T.; Li, Q. Light-field image watermarking based on geranion polar harmonic Fourier moments. Eng. Appl. Artif. Intell. 2022, 113, 104970. [Google Scholar] [CrossRef]
- Gong, L.; Luo, H. Dual color images watermarking scheme with geometric correction based on quaternion FrOOFMMs and LS-SVR. Opt. Laser Technol. 2023, 167, 109665. [Google Scholar] [CrossRef]
- Yamni, M.; Karmouni, H.; Sayyouri, M.; Qjidaa, H. Image watermarking using separable fractional moments of Charlier–Meixner. J. Frankl. Inst. 2021, 358, 2535–2560. [Google Scholar] [CrossRef]
- Wang, H.; Chen, Y.; Zhao, T. Modified Zernike moments and its application in geometrically resilient image zero-watermarking. Circuits Syst. Signal Process. 2022, 41, 6844–6861. [Google Scholar] [CrossRef]
- Yang, S.; Deng, A. Fast and accurate computation of polar harmonic Fourier moments for image description. JOSA A 2023, 40, 1714–1723. [Google Scholar] [CrossRef]
- Fadili, J.M.; Boubchir, L. Analytical form for a Bayesian wavelet estimator of images using the Bessel K form densities. IEEE Trans. Image Process. 2005, 14, 231–240. [Google Scholar] [CrossRef]
- Hoffman, D.; Karst, O.J. The theory of the Rayleigh distribution and some of its applications. J. Ship Res. 1975, 19, 172–191. [Google Scholar] [CrossRef]
- Zheng, G.; Al-Saleh, M.F. Modified maximum likelihood estimators based on ranked set samples. Ann. Inst. Stat. Math. 2002, 54, 641–658. [Google Scholar] [CrossRef]
- Bhinder, P.; Singh, K.; Jindal, N. Image-adaptive watermarking using maximum likelihood decoder for medical images. Multimed. Tools Appl. 2018, 77, 10303–10328. [Google Scholar] [CrossRef]
- Koen, J.D.; Barrett, F.S.; Harlow, I.M.; Yonelinas, A.P. The ROC Toolbox: A toolbox for analyzing receiver-operating characteristics derived from confidence ratings. Behav. Res. Methods 2017, 49, 1399–1406. [Google Scholar] [CrossRef]
- Amini, M.; Sadreazami, H.; Ahmad, M.O.; Swamy, M. Multichannel color image watermark detection utilizing vector-based hidden Markov model. In Proceedings of the 2017 IEEE International Symposium on Circuits and Systems (ISCAS), Baltimore, MD, USA, 28–31 May 2017; pp. 1–4. [Google Scholar]
- Mareen, H.; Van Kets, N.; Lambert, P.; Van Wallendael, G. Fast fallback watermark detection using perceptual hashes. Electronics 2021, 10, 1155. [Google Scholar] [CrossRef]
- Faheem, Z.B.; Ishaq, A.; Rustam, F.; de la Torre Díez, I.; Gavilanes, D.; Vergara, M.M.; Ashraf, I. Image watermarking using least significant bit and canny edge detection. Sensors 2023, 23, 1210. [Google Scholar] [CrossRef]
- Pourhashemi, S.M.; Mosleh, M.; Erfani, Y. A novel audio watermarking scheme using ensemble-based watermark detector and discrete wavelet transform. Neural Comput. Appl. 2021, 33, 6161–6181. [Google Scholar] [CrossRef]
- Wang, X.; Shen, X.; Tian, J.; Niu, P.; Yang, H. Locally optimum image watermark detector based on statistical modeling of SWT-EFMs magnitudes. J. Inf. Secur. Appl. 2022, 65, 103105. [Google Scholar] [CrossRef]










| Attack Type | Lena | Barbara | Peppers | |||
|---|---|---|---|---|---|---|
| FAPHFM | Host | FAPHFM | Host | FAPHFM | Host | |
| Magnitudes | Image | Magnitudes | Image | Magnitudes | Image | |
| JPEG compression | ||||||
| 0.0142 | 0.0521 | 0.0154 | 0.0502 | 0.0175 | 0.0564 | |
| JPEG compression | ||||||
| 0.0187 | 0.0769 | 0.0173 | 0.0836 | 0.0191 | 0.0832 | |
| Median filtering | ||||||
| 0.0107 | 0.0287 | 0.0186 | 0.0364 | 0.0122 | 0.0253 | |
| Median filtering | ||||||
| 0.0101 | 0.0232 | 0.0154 | 0.0337 | 0.0096 | 0.0121 | |
| Gaussian filtering | ||||||
| 0.0126 | 0.0293 | 0.0298 | 0.0465 | 0.0134 | 0.0303 | |
| Gaussian filtering | ||||||
| 0.0103 | 0.0244 | 0.0159 | 0.0324 | 0.0113 | 0.0226 | |
| Gamma correction | ||||||
| = 0.9 | 0.0224 | 0.0375 | 0.0237 | 0.0405 | 0.0287 | 0.0398 |
| Gamma correction | ||||||
| = 2 | 0.0414 | 0.0649 | 0.0426 | 0.0627 | 0.0408 | 0.0619 |
| Image | Rayleigh Distribution | BKF Distribution | Cauchy Distribution | Weibull Distribution | Cauchy–Rayleigh Distribution | BKF–Rayleigh Distribution |
|---|---|---|---|---|---|---|
| Lena | 0.0466 | 0.0521 | 0.0642 | 0.2135 | 0.0864 | 0.0202 |
| Barbara | 0.0457 | 0.0574 | 0.0576 | 0.3013 | 0.0953 | 0.0186 |
| Peppers | 0.0514 | 0.0493 | 0.0507 | 0.2341 | 0.0821 | 0.0124 |
| Boat | 0.0485 | 0.0471 | 0.0497 | 0.2414 | 0.0954 | 0.0203 |
| Actual Shape Parameter | MMLE Based on RSS | MMLE | ||
|---|---|---|---|---|
|
Average Error |
Average Estimated Value |
Average Error |
Average Estimated Value | |
| 5.0 | 0.0113 | 5.0113 | 0.0184 | 4.9816 |
| 4.0 | 0.0101 | 4.0101 | 0.0159 | 4.0159 |
| 3.0 | 0.0086 | 2.9914 | 0.0138 | 3.0138 |
| 2.0 | 0.0071 | 1.9929 | 0.0112 | 1.9888 |
| 1.0 | 0.0054 | 1.0054 | 0.0089 | 1.0069 |
| Watermark Capacity | Lena | Barbara | Peppers | Boat |
|---|---|---|---|---|
| 1000 | 52.3469 | 51.6486 | 52.8765 | 51.4642 |
| 5000 | 50.2632 | 48.5375 | 49.1576 | 48.9754 |
| 10,000 | 48.3165 | 45.2492 | 47.2481 | 46.3571 |
| Watermark Capacity | Lena | Barbara | Peppers | Boat |
|---|---|---|---|---|
| 1000 | 2.3642 | 2.5413 | 2.6715 | 2.3429 |
| 5000 | 3.2566 | 3.3611 | 3.2691 | 3.3615 |
| 10,000 | 4.4125 | 4.5429 | 4.3153 | 4.4362 |
| Watermark Capacity | Lena | Barbara | Peppers | Boat |
|---|---|---|---|---|
| 1000 | 2.5424 | 2.3125 | 2.1537 | 2.2153 |
| 5000 | 3.4698 | 3.2147 | 3.3243 | 3.1245 |
| 10,000 | 4.3142 | 4.2593 | 4.1244 | 4.7233 |
| Watermark Capacity | Literature [57] | Literature [56] | Literature [58] | Proposed |
|---|---|---|---|---|
| 1000 | 50.1634 | 52.6166 | 51.2947 | 52.3469 |
| 5000 | 47.6129 | 49.4824 | 48.3342 | 50.2632 |
| 10,000 | 44.3462 | 45.1937 | 43.1673 | 48.3165 |
| Methods | CHMM | BGWM-HMT | Cauchy–Rayleigh | Proposed |
|---|---|---|---|---|
| AUROC | 0.9964 | 0.9971 | 0.9978 | 0.9989 |
| Attack Type | CHMM | Cauchy–Rayleigh | Proposed | |
|---|---|---|---|---|
| Median filtering | WDR = −50 dB | 0.9367 | 0.9549 | 0.9623 |
| WDR = −45 dB | 0.9511 | 0.9862 | 0.9987 | |
| Gaussian filtering | WDR = −45 dB | 0.9476 | 0.9714 | 0.9754 |
| WDR = −40 dB | 0.9643 | 0.9942 | 0.9992 | |
| JPEG compression | WDR = −55 dB | 0.9014 | 0.9422 | 0.9535 |
| (QF = 30) | WDR = −50 dB | 0.9376 | 0.9716 | 0.9847 |
| AWGN | WDR = −50 dB | 0.9422 | 0.9843 | 0.9843 |
| WDR = −45 dB | 0.9589 | 0.9877 | 0.9962 | |
| Salt and pepper noise | WDR = −45 dB | 0.9676 | 0.9843 | 0.9981 |
| (0.01) | WDR = −40 dB | 0.9755 | 0.9936 | 0.9993 |
| Rotation | WDR = −45 dB | 0.9284 | 0.9743 | 0.9891 |
| Rotation | WDR = −45 dB | 0.8866 | 0.9578 | 0.9772 |
| Scaling 0.5 | WDR = −45 dB | 0.9128 | 0.9416 | 0.9846 |
| Scaling 2 | WDR = −45 dB | 0.7934 | 0.8423 | 0.9614 |
Disclaimer/Publisher’s Note: The statements, opinions and data contained in all publications are solely those of the individual author(s) and contributor(s) and not of MDPI and/or the editor(s). MDPI and/or the editor(s) disclaim responsibility for any injury to people or property resulting from any ideas, methods, instructions or products referred to in the content. |
© 2023 by the authors. Licensee MDPI, Basel, Switzerland. This article is an open access article distributed under the terms and conditions of the Creative Commons Attribution (CC BY) license (https://creativecommons.org/licenses/by/4.0/).
Share and Cite
Yang, S.; Deng, A.; Cui, H. Statistical Image Watermark Algorithm for FAPHFMs Domain Based on BKF–Rayleigh Distribution. Mathematics 2023, 11, 4720. https://doi.org/10.3390/math11234720
Yang S, Deng A, Cui H. Statistical Image Watermark Algorithm for FAPHFMs Domain Based on BKF–Rayleigh Distribution. Mathematics. 2023; 11(23):4720. https://doi.org/10.3390/math11234720
Chicago/Turabian StyleYang, Siyu, Ansheng Deng, and Hui Cui. 2023. "Statistical Image Watermark Algorithm for FAPHFMs Domain Based on BKF–Rayleigh Distribution" Mathematics 11, no. 23: 4720. https://doi.org/10.3390/math11234720
APA StyleYang, S., Deng, A., & Cui, H. (2023). Statistical Image Watermark Algorithm for FAPHFMs Domain Based on BKF–Rayleigh Distribution. Mathematics, 11(23), 4720. https://doi.org/10.3390/math11234720

