Next Article in Journal
Hybrid Lattice Boltzmann Model for Nonlinear Diffusion and Image Denoising
Previous Article in Journal
Mathematical and Stability Analysis of Dengue–Malaria Co-Infection with Disease Control Strategies
Previous Article in Special Issue
Fejér-Type Inequalities for Some Classes of Differentiable Functions
 
 
Font Type:
Arial Georgia Verdana
Font Size:
Aa Aa Aa
Line Spacing:
Column Width:
Background:
Article

Lipschitz Transformations and Maurey-Type Non-Homogeneous Integral Inequalities for Operators on Banach Function Spaces

by
Roger Arnau
and
Enrique A. Sánchez-Pérez
*
Instituto Universitario de Matemática Pura y Aplicada, Universitat Politècnica de València, Camino de Vera s/n, 46022 València, Spain
*
Author to whom correspondence should be addressed.
Mathematics 2023, 11(22), 4599; https://doi.org/10.3390/math11224599
Submission received: 19 September 2023 / Revised: 7 November 2023 / Accepted: 8 November 2023 / Published: 9 November 2023

Abstract

We introduce a method based on Lipschitz pointwise transformations to define a distance on a Banach function space from its norm. We show how some specific lattice geometric properties (p-convexity, p-concavity, p-regularity) or, equivalently, some types of summability conditions (for example, when the terms of the terms in the sums in the range of the operator are restricted to the interval [ 1 , 1 ] ) can be studied by adapting the classical analytical techniques of the summability of operators on Banach lattices, which recalls the work of Maurey. We show a technique to prove new integral dominations (equivalently, operator factorizations), which involve non-homogeneous expressions constructed by pointwise composition with Lipschitz maps. As an example, we prove a new family of integral bounds for certain operators on Lorentz spaces.

1. Introduction

Lattice geometric properties of Banach function spaces and operators on them (including concepts such as p-convexity and p-concavity, as well as p-regularity) serve as a rich source of results on the structure of such spaces and find numerous applications in functional analysis. These properties are usually given by vector norm inequalities, which always contain homogeneous transformations involving finite sets of functions in their expressions. Then, classical Krivine calculus allows the definition of certain homogeneous expressions that are given for finite sequences of real numbers as abstracts elements of Banach lattices, extending in this way geometric theory to the general case of Banach lattices (see [1,2]). In the case of spaces of (classes of μ -a.e. equal) integrable functions, the pointwise definition plays the role of this abstract construction. The usual expressions that are normally taken into account are the ones associated with lattice geometric properties of Banach lattices (as p-concave or p-convex operators, which involve expressions as ( i = 1 n | f i | p ) 1 / p ) and also have direct relations with the summability properties of these operators (p-summing and p , q -mixing operators, for example, see [3,4]). These expressions have in common that they are positively homogeneous. This fact allows the extension of some of the geometrical lattice properties of L p -spaces to other spaces, with applications in different fields, such as in [5], but hinders the analysis of other transformations that could also be of interest. Introducing non-homogeneous expressions would allow an analysis of other kinds of inequalities and properties, such as the summability of operators when the range of functions in their images is cut by a certain interval.
Thus, the aim of the present paper is to present new tools for the analysis of integral inequalities and lattice summability properties (equivalently, factorization theorems of operators through L p -spaces) involving non-homogeneous (Lipschitz) maps on R . We will focus our attention on operators that control the bounds of the functions in the range of operators preserving some geometric lattice properties, obtaining a general procedure that presents new integral domination formulas for classical Banach lattices. Nowadays, there is a growing interest in the summability of Lipschitz operators, as can be seen from the relevant number of publications on the subject in recent times [6,7,8,9,10,11,12]. However, the present paper is not concerned with this problem, but, as we said, with the composition of functions with (scalar) Lipschitz maps to open up some well-known factorization theorems to the use of non-homogeneous expressions in the required geometric inequalities.
The paper is split into four sections. After this introductory section, in Section 2, we show how the pointwise composition of functions with Lipschitz maps in L i p 0 ( R ) can be used to define new (pseudo)distances on function lattices, and we explain the relations with the original lattice norms on them. Section 3 is devoted to showing the separation results that transform vector norm inequalities (that represent geometric lattice properties) into integral dominations of operators, involving, in our case, non-homogeneous expressions (and this is the main difference with the classical Maurey-type arguments [13,14] for factorization through L p -spaces). All these results can be written in terms of the factorization of operators, which we also show. Finally, in Section 4, we prove an integral inequality for operators in which the range of functions is restricted to a certain interval and we write a new inequality for q-regular operators on Lorentz spaces to show a concrete example.
Let us introduce now some definitions and recall some known results. If X is a Banach space, we will write I d X for the identity map in it; we will simply write I d if the space X is clear in the context. X * is the dual of X . Consider a σ -finite measure space ( Ω , Σ , μ ) and the space L 0 ( μ ) of all (classes of) measurable real functions on Ω , where functions which are equal, μ -a.e., are identified. The μ -a.e. pointwise order is considered in this space. We use the definition of a Banach function space given in [2] (p. 28) (Köthe function space). A Banach function space over μ is a Banach space X ( μ ) of locally integrable functions in L 0 ( μ ) containing all characteristic functions of measurable sets of finite measure if | f | | g | with f L 0 ( μ ) and g X ( μ ) then f X ( μ ) and f     g . Since we restrict our attention to the case of finite measures in this paper, the condition of being locally integrable is simply to be integrable. The space X ( μ ) is order-continuous if for every sequence ( f n ) n X ( μ ) such that f n 0 satisfies that f n X ( μ ) 0 . For the case of σ -finite measures, the set of all simple functions is dense in any σ -order-continuous Banach function space. In particular, order continuity is equivalent to the equality X ( μ ) * = X ( μ ) , that is, all the functionals of the dual space can be represented as integrals in which the functions of the dual space appear. These functions inside the integrals define the so-called Köthe dual space X ( μ ) . All these and related matters that are needed for the understanding of this paper can be found in [15] (Ch. 2) and [2] (pp. 1–28).
For 0 < p < , the p-th power of X ( μ ) is defined as the set of functions
X [ p ] : = { f L 0 ( μ ) : | f | 1 / p X ( μ ) } .
This is a Banach function space over μ with the norm f X ( μ ) [ p ] : = | f | 1 / p X ( μ ) p , f X ( μ ) [ p ] whenever X ( μ ) is p-convex with a p-convexity constant equal to 1. (We will recall later on what p-convexity is.) The p-th power of X ( μ ) is order-continuous if and only if X ( μ ) is so (see [15] (Ch. 2) or the first chapter of [2]). The main references for the separation arguments used in the proof of the main results of the paper—for the linear case—are [3,16]. We refer to [17] for issues on Lipschitz operators and to [4,18,19] for general questions on factorization schemes and summability for linear operators on Banach lattices.
Let us recall now some metric notions. A pseudometric satisfies the same axioms as a metric but it could happen that d ( x , y ) = 0 and x y . A Lipschitz operator φ : X ( μ ) ( M , d ) from a Banach function space X ( μ ) to a pseudometric space ( M , d ) is a map such that for every pair of functions f , g X ( μ )
d φ ( f ) , φ ( g ) K f ( w ) g ( w ) X ( μ )
for a certain constant K > 0 . The smallest value of constant K is called the Lipschitz norm, and we write L i p ( φ ) for it. If it is defined between Banach function spaces φ : X ( μ ) Y ( μ ) ; this means that for every pair of functions f , g X ( μ ) ,
φ ( f ) ( w ) φ ( g ) ( w ) Y ( μ ) K f ( w ) g ( w ) X ( μ ) .
We write L i p 0 ( R ) for the space of real Lipschitz functions of one real variable that are zero at 0.

2. Distances on Banach Function Spaces Defined by Pointwise Lipschitz Transformations

Let ( Ω , Σ , μ ) be a finite measure space. Consider a Banach function space X ( μ ) over the measure μ with lattice norm · X ( μ ) and μ -a.e. order μ . Now, take a Lipschitz map φ : R R such that φ ( 0 ) = 0 and with Lipschitz constant L i p ( φ ) . If f : Ω R is a function, we consider the (pointwise defined) composition
φ f ( w ) = φ ( f ( w ) ) , w Ω ,
which we will denote as φ ( f ) = φ f for simplicity.
Remark 1. 
A measurable real function of a real variable is a function that is measurable when considered from the (real) Lebesgue measurable space L ( R ) , R on the (real) Borel measurable space B ( R ) , R . Therefore, if B B ( R ) , we have that, if f is measurable and φ : R R is a Lipschitz map (and so in particular continuous), φ 1 ( B ) B ( R ) , which gives that
( φ f ) 1 ( B ) = f 1 φ 1 ( B ) L ( R ) .
Therefore, φ f is measurable. When we consider φ f as a member of a Banach function space, we have to consider it as a class of measurable functions that are equal, μ-a.e. However, if f = g is μ-a.e. equal, we clearly have that φ f and φ g are too, and so they belong to the same μ-equivalence class. This means that the (pointwise) composition
i φ : X ( μ ) L 0 ( μ ) given by i φ ( f ) = φ f , f X ( μ ) ,
is a well-defined map.
In the next Proposition 1, we introduce a pseudometric in X ( μ ) associated with both the function φ and the norm of X ( μ ) .
Proposition 1. 
For a Banach function space X ( μ ) and a Lipschitz map φ : R R , we have that
(i) 
The operator i φ given by i φ ( f ) = φ f , f X ( μ ) is well defined and Lipschitz as the operator
i φ : X ( μ ) X ( μ ) .
(ii) 
The function d φ X ( μ ) : X ( μ ) × X ( μ ) R defined by the formula
d φ X ( μ ) ( f , g ) : = φ ( f ( · ) ) φ ( g ( · ) ) X ( μ ) for f , g X ( μ ) .
is a pseudometric in X ( μ ) , and it is a distance if φ is injective. Thus, i φ : ( X ( μ ) , · X ( μ ) ) ( X ( μ ) , d φ X ( μ ) ) is continuous (and Lipschitz).
Proof. 
(i) By Remark 1, we know that for every f , g X ( μ ) , φ f and φ g are well-defined measurable functions, and this formula preserves the classes of functions in L 0 ( μ ) . Consequently,
| φ f ( w ) φ g ( w ) | L i p ( φ ) | f ( w ) g ( w ) | μ a . e .
Since · X ( μ ) is a lattice norm, we then have that
φ f ( w ) φ g ( w ) X ( μ ) L i p ( φ ) f ( w ) g ( w ) X ( μ ) μ a . e .
Therefore, i φ is a well-defined Lipschitz operator.
(ii) Let us show now that d φ X ( μ ) ( f , g ) = φ ( f ( · ) ) φ ( g ( · ) ) X ( μ ) for f , g X ( μ ) is a pseudo metric. If f , g , h X ( μ ) , since · X ( μ ) is a norm, we have that
d φ X ( μ ) ( f , g ) φ ( f ( · ) ) φ ( h ( · ) ) X ( μ ) + φ ( h ( · ) ) φ ( g ( · ) ) X ( μ ) = d φ X ( μ ) ( f , h ) + d φ X ( μ ) ( h , g )
and so d φ X ( μ ) is a pseudometric. The inequality provided in the proof of (i) shows then that i φ is continuous as stated. □
Example 1. 
Let us show two examples of the construction presented above; the second one will be useful for the application that we present at the end of the paper.
(a) 
Take the function φ 0 L i p 0 ( R ) given by φ 0 ( r ) : = | r | | r | + 1 for all r R . Take X ( μ ) = L p [ 0 , 1 ] for any 1 p < . Then, we have that
i φ 0 ( f ( v ) ) = φ 0 f ( v ) = φ 0 f ( v ) = | f ( v ) | | f ( v ) | + 1 , f X ( μ ) , v s . [ 0 , 1 ] μ a . e .
For every f , g X ( μ ) and v [ 0 , 1 ] ,
| φ 0 ( f ( v ) ) φ 0 ( g ( v ) ) | = | 1 | f ( v ) | + 1 1 | g ( v ) | + 1 | = | | g ( v ) | | f ( v ) | ( | f ( v ) | + 1 ) ( | g ( v ) | + 1 ) | | g ( v ) f ( v ) | ( | f ( v ) | + 1 ) ( | g ( v ) | + 1 ) | g ( v ) f ( v ) | ,
and so
d φ 0 L p ( μ ) ( f , g ) = φ 0 ( f ( v ) ) φ 0 ( g ( v ) ) L p ( μ ) = [ 0 , 1 ] | ( | g ( v ) | | f ( v ) | ) ( | f ( v ) | + 1 ) ( | g ( v ) | + 1 ) | p d v 1 / p [ 0 , 1 ] | g ( v ) f ( v ) | p d v 1 / p = f ( v ) g ( v ) L p ( μ ) .
Thus, we have that the constant appearing in the Lipschitz-type inequality for the pointwise evaluation equals L i p ( φ 0 ) = 1 , and this is also the Lipschitz constant of the operator i φ 0 .
(b) 
Consider the function φ 1 : R R given by
φ 1 ( r ) = r if 1 r 1 1 if 1 < r 1 if r < 1 r R .
Some direct computations show that φ 1 is a Lipschitz map with a Lipschitz constant equal to 1 . When we compose it with a measurable function, we get the same function but “range-shortened”, that is, with the range restricted to the interval [ 1 , 1 ] . For every Banach function space X ( μ ) , we get the pointwise inequality | φ 1 ( f ( w ) ) φ 1 ( g ( w ) ) | | g ( w ) f ( w ) | for each pair of measurable functions f and g . For example, if both functions are non-negative, we get | min { 1 , f ( w ) } min { 1 , g ( w ) } | | g ( w ) f ( w ) | and the distance inequality
d φ 1 X ( μ ) ( f , g ) = min { 1 , f ( w ) } min { 1 , g ( w ) } X ( μ ) f ( w ) g ( w ) X ( μ ) .
In general, φ 1 f ( w ) = s i g n { f ( w ) } · min { 1 , | f ( w ) | } , where s i g n { f ( w ) } is the sign of the real number f ( w ) , and so
d φ 1 X ( μ ) ( f , g ) = s i g n { f ( w ) } · min { 1 , | f w ) | } s i g n { g ( w ) } · min { 1 , | g ( w ) | } } X ( μ ) .
Remark 2. 
Let φ , ϕ L i p 0 ( R ) , with Lipschitz constants equal to one, and consider two Banach function spaces X ( μ ) and Y ( ν ) . A linear (continuous) operator T : X ( μ ) Y ( ν ) satisfies the inequality
d ϕ Y ( ν ) T ( f ) , T ( g ) = ϕ ( T ( f ) ) ϕ ( T ( g ) ) Y ( ν ) Q φ ( f ) φ ( g ) X ( μ ) = Q d φ X ( μ ) ( f , g ) ,
for f , g X ( μ ) if and only if the following factorization scheme commutes and all the maps involved in it are well defined and continuous,Mathematics 11 04599 i001
This is the basic factorization provided by the composition with Lipschitz functions. In the next section, it will be refined by adding new lattice geometric properties to obtain a generalization of the Maurey–Rosenthal factorization for non-homogeneous functions, which opens a wide horizon of suitable applications in the geometry of Banach functions lattices. Note that in particular the inequality gives that the equivalence classes provided by the distances d φ X ( μ ) and d ϕ Y ( ν ) are preserved through the factorization diagram.

3. Separation Arguments for Lipschitz Pointwise Transformations of Operators

Let us first introduce some adaptations of the definition of p-convex and p-concave Banach lattices and operators. Mimicking the case of the classical definitions for Banach function spaces, we say that an operator T : X ( μ ) Y ( ν ) is ( p ϕ , q φ ) -convex if there is a constant K > 0 such that for f 1 , , f n , g 1 , , g n X ( μ ) ,
i = 1 n | ϕ ( T ( f i ) ) ϕ ( T ( g i ) ) | p 1 / p Y ( ν ) K i = 1 n φ ( f i ) φ ( g i ) X ( μ ) q 1 / q
and ( p ϕ , q φ ) -concave if there is a constant Q > 0 such that for f 1 , , f n , g 1 , , g n X ( μ ) ,
i = 1 n ϕ ( T ( f i ) ) ϕ ( T ( g i ) ) Y ( ν ) p 1 / p Q i = 1 n | φ ( f i ) φ ( g i ) | q 1 / q X ( μ ) .
A Banach function space is ( p ϕ , q φ ) -convex if the identity map in it is, and the same for p φ -concavity. For when φ = ϕ is the identity in R , and p = q , we get the classical definitions of p-convexity and p-concavity.
For a linear operator T : X ( μ ) Y ( ν ) , we say that it is ( p ϕ , q φ ) -regular if there exists a constant R such that for f 1 , , f n , g 1 , , g n X ( μ ) ,
i = 1 n | ϕ ( T ( f i ) ) ϕ ( T ( g i ) ) | p 1 / p Y ( ν ) R i = 1 n | φ ( f i ) φ ( g i ) | q 1 / q X ( μ ) .
For φ = ϕ = I d R , we get the definition of a ( p , q ) -regular operator [20,21]; the case p = q is the most relevant from the point of view of the classical theory [2].

3.1. Direct Adaptation for Lipschitz Pointwise Transformations of the Classical Maurey–Rosenthal Factorizations

Let us start with the natural extension to the considered case of a factorization through an L p -space. In the case that φ = ϕ and it is the identity map in R , we have a well-known result: the factorization of every p-concave operator from an order-continuous p-convex space through an L p -space (see, for example, [3]).
Theorem 1. 
Let 1 p < . Let X ( μ ) be an order-continuous p-convex Banach function space and Y ( ν ) be a Banach function space. Let T : X ( μ ) Y ( ν ) be a linear (continuous) operator. The following statements are equivalent.
(i) 
T is ( p ϕ , p φ ) -concave.
(ii) 
There is a function h B ( X ( μ ) [ p ] ) * such that
ϕ ( T ( f ) ) ϕ ( T ( g ) ) Y ( ν ) R Ω | φ ( f ) φ ( g ) | p h d μ 1 / p for all f , g X ( μ ) .
Proof. 
Now, let us present the standard proof, which will serve as the basis for the more advanced versions that we will introduce later. (For similar proofs, see [3,10,16].) (ii) ⇒ (i) is just a direct computation, so let us see (i) ⇒ (ii). We can assume without loss of generality that the p-convexity constant of X ( μ ) is equal to one. (Otherwise, we renorm the space with an equivalent norm with a p-convexity constant equal to 1.) Then, we have that its p-th power X ( μ ) [ p ] is a Banach function space with the norm f X ( μ ) [ p ] = | f | 1 / p X ( μ ) p , f X ( μ ) [ p ] (see [15] (Ch. 2)). X ( μ ) is order-continuous, then its q-th power is so (see [15] (Ch. 2)), from which we have that X ( μ ) [ p ] * is defined by integrable functions, that is, the dual space coincides with the Köthe dual (see [2] (p. 28)), and the duality is given by the integral of the product.
For each finite family f 1 , , f n , g 1 , , g n X ( μ ) and positive real numbers α 1 , , α n such that i = 1 n α i = 1 , we define the function
Φ ( f 1 , , f n , g 1 , , g n , α 1 , , α n ) : B ( X ( μ ) [ p ] ) * R h i = 1 n α i ϕ ( T ( f i ) ) ϕ ( T ( g i ) ) Y ( ν ) p Q i = 1 n α i Ω | φ ( f i ) φ ( g i ) | p h d μ .
Now, fix Φ ( f 1 , , f n , g 1 , , g n , α 1 , , α n ) as a function as before. We claim that there is an element h for which ( f 1 , , f n , g 1 , , g n , α 1 , , α n ) ( h ) 0 . Since we have the inequalities for single finite sets of functions and coefficients equal to one on the ( p ϕ , p φ ) -concavity of T, we need to use an easy approximation trick for real numbers using rational numbers to show that
i = 1 n α i ϕ ( T ( f i ) ) ϕ ( T ( g i ) ) Y ( ν ) p Q q i = 1 n α i | φ ( f i ) φ ( g i ) | p X ( μ ) [ p ] .
(Although it is not explicitly proven in [10], there is a reference in this paper to this trick.) Take a convex combination as the one above, and find an approximation of each α i by rational numbers up to an ε > 0 as as small as we want. Note that by the definition of ( p ϕ , p φ ) -concave operators, we have that we can repeat as many terms as we want. We can find rational numbers r i for each i = 1 , , n such that the denominator s is the same for all of them, and | r i α i | < ε . Thus, we only need to repeat each term r i · s times in the inequality and divide the whole inequality by s to obtain an approximation of the inequality with the coefficients α i that are controlled by ε . Since ε is arbitrary, we obtain the inequality that we need. Therefore, the functional h 0 that attains the norm in the right part of the the definition of Φ satisfies Φ ( f 1 , , f n , g 1 , , g n , α 1 , , α n ) ( h 0 ) 0 , as a consequence of the (new) ( p ϕ , p φ ) -concavity condition.
A Ky Fan lemma argument (see [4]) applies: each of these functions is convex and continuous with respect to the weak* topology and is defined in the ball of the dual space X ( μ ) [ p ] * (weak* compact and convex), and the family of these functions is closed under convex combinations, so it forms a concave family of functions. Thus, there exists h B ( X ( μ ) [ p ] ) * such that Φ ( h ) 0 for all the functions Φ defined in the argument above. Considering single functions f , g and α = 1 , we obtain the desired integral inequality in (ii). □
Note also that, due to the duality in X ( μ ) [ p ] and the property that the function h indices a norm one (and so continuous) map, we have
Ω | φ ( f ) φ ( g ) | p h d μ 1 / p φ ( f ) φ ( g ) X ( μ ) for all f , g X ( μ ) .
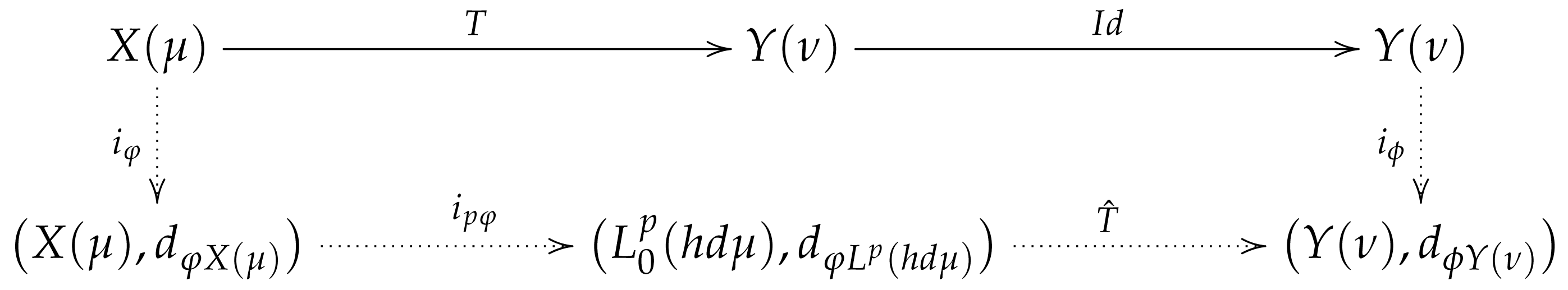
Theorem 1 can be written again as a factorization result using the general diagram provided by Remark 2. Indeed, we have that T can be factored as Mathematics 11 04599 i002 where L 0 p ( h d μ ) , d φ L p ( h d μ ) is a (metric) subspace of L p ( h d μ ) , d φ L p ( h d μ ) (defined as the closure of the range of i p φ ) and T ^ is a continuous map (the inequality in part (ii) of the theorem clearly implies this) defined from T to obtain a commutative diagram. It can be seen that it is well defined and continuous because of the domination obtained in (ii).
Corollary 1. 
If X ( μ ) is p-convex and order-continuous, and φ L i p 0 ( R ) , there is a function h B ( X ( μ ) [ p ] ) * such that the spaces ( X ( μ ) , d φ X ( μ ) ) and ( L 0 p ( h d μ ) , d φ L p ( h d μ ) ) can be metrically identified (that is, the equivalence classes defined by the corresponding pseudometrics can be identified).
Proof. 
This is just a consequence of Theorem 1. Indeed, in this case, we get the factorization Mathematics 11 04599 i003 where I d ^ is a Lipschitz map that identifies the equivalence classes in both the spaces involved. □

3.2. Non-Homogeneous Expressions and Factorization for the Metric Extensions of Linear Operators

We have shown in the previous section how the pointwise composition with Lipschitz maps provides new cases and opens the door to possible applications. However, the main purpose of introducing this type of transformation has not yet been revealed. As we announced in the Introduction, this technique allows one to work with such kinds of metric factorization involving non-homogeneous transformations. Note that, although φ and ϕ do not in general give a homogeneous transformation, the “outer” part of the inequalities (i.e., the action of the norm and the operation | · | p 1 / p ) are positively homogeneous. From a technical point of view, this is why the same arguments used in the classical Maurey–Rosenthal theory are still applicable here.
We will work now with a different non-homogeneous vector norm inequality involving different powers. We will say that a linear operator T : X ( μ ) Y ( ν ) is ( p ϕ , q φ ) -Lip-concave if for f 1 , , f n , g 1 , , g n X ( μ ) , the following condition is satisfied:
i = 1 n ϕ ( T ( f i ) ) ϕ ( T ( g i ) ) Y ( μ ) p R i = 1 n | φ ( f i ) φ ( g i ) | q 1 / q X ( μ ) q .
An example—in fact, our main reference—of such a kind of operator is the identity map in X ( μ ) when φ = φ 1 in Example 1(b), which “cuts” the functions in the range. Let us write φ k with 0 < k for the general version of the function φ 1 , which we define as φ k ( r ) = s i g n { r } · min { k , | r | } , r R . For simplicity, we consider the case k = 1 / 2 , which has the property that the maximal variation in the corresponding function φ 1 / 2 equals 1 .
Take now 1 q p < . Then, for every couple of functions f , g X ( μ ) and w Ω ,
| φ 1 / 2 ( f ( w ) ) φ 1 / 2 ( g ( w ) ) | p = | s i g n { f ( w ) } · min { 1 / 2 , | f ( w ) | } s i g n { f ( w ) } · min { 1 / 2 , | f ( w ) | } | p | s i g n { f ( w ) } · min { 1 / 2 , | f ( w ) | } s i g n { f ( w ) } · min { 1 / 2 , | f ( w ) | } | q = | φ 1 / 2 ( f ( w ) ) φ 1 / 2 ( g ( w ) ) | q | f ( w ) g ( w ) | q .
The relevant part of this example is that the order of the indices p and q can be opposite to the usual order for which this factorization holds. Due to the ordering of the L p norms of probability measure spaces, the inequalities for the norms are exactly the other way round; if 1 q p , then · L q · L p . This is why we are interested in considering such a type of Lipschitz function, which could be used to obtain different kinds of results.
Theorem 2. 
Let 1 p , q < . Let X ( μ ) be an order continuous q-convex Banach function space and Y ( ν ) be a Banach function space. Let T : X ( μ ) Y ( ν ) be a linear (continuous) operator. The following statements are equivalent.
(i) 
T is ( p ϕ , q φ ) -Lip-concave, that is, for f 1 , , f n , g 1 , , g n X ( μ ) , we have
i = 1 n ϕ ( T ( f i ) ) ϕ ( T ( g i ) ) Y ( μ ) p R i = 1 n | φ ( f i ) φ ( g i ) | q 1 / q X ( μ ) q .
(ii) 
There is a function h B ( X ( μ ) [ q ] ) * such that for all f , g X ( μ ) , we have that
ϕ ( T ( f ) ) ϕ ( T ( g ) ) Y ( ν ) p R Ω | φ ( f ) φ ( g ) | q h d μ .
Proof. 
The proof follows the same steps as the one of Theorem 1. Assume (i). Since X ( μ ) is q-concave (with constant equal to 1), we have that X ( μ ) [ q ] is an order-continuous Banach function space, and so its dual space is composed of integrals. The inequality then appears to be
i = 1 n ϕ ( T ( f i ) ) ϕ ( T ( g i ) ) Y ( μ ) p R i = 1 n | φ ( f i ) φ ( g i ) | q X ( μ ) [ q ] = R · sup h B ( X [ q ] ) * i = 1 n Ω | φ ( f i ) φ ( g i ) | q h d μ .
The functions Φ can be defined as in Theorem 1, and the argument in it for proving that the convex combinations also belong to the same class of functions can also be used here. The Ky Fan lemma applies again to give (ii). The converse if given by a direct calculation. □
Inspired by the inequality
ϕ ( T ( f ) ) ϕ ( T ( g ) ) Y ( ν ) R 1 / p Ω | φ ( f ) φ ( g ) | q h d μ 1 / q q / p
that is equivalent to the one obtained in (ii), let us define a new type of (pseudo)metric associated with the (pseudo)distances d φ X ( μ ) . Suppose that q p , which is a relevant case since it is the opposite one to the natural inequalities for the L p norms. Note that q / p = t 1 , and then the right hand side of this inequality gives d φ L q ( h d μ ) t , which is again a pseudometric. The inequality above can be then read as
d ϕ Y ( ν ) ( T ( f ) , T ( g ) ) R 1 / p d φ L q ( h d μ ) t ( f , g ) , f , g X ( μ ) ,
which evidences the commutativity of the following diagram and the Lipschitz condition of all the arrows in it. Indeed, for t = q / p , and taking into account that by the ( p ϕ , q φ ) -Lip-concavity of T we have
ϕ ( T ( f ) ) ϕ ( T ( g ) ) Y ( μ ) R 1 / p φ ( f ) φ ( g ) X ( μ ) t
we get the factorization scheme Mathematics 11 04599 i004
Let us show an example of a ( p ϕ , q φ ) -Lip-concave operator.
Example 2. 
Let X ( μ ) , Y ( ν ) be Banach function spaces over probability measures μ and ν , and T : X ( μ ) Y ( ν ) be a linear and continuous operator.
(a) 
Consider the hyperbolic tangent function ϕ h ( r ) = tanh ( r ) = e x e x e x + e x that is Lipschitz with a constant equal to 1 . Take 1 q p < . For every function T ( f ) Y ( μ ) , we have that for f 1 , , f n , g 1 , , g n X ( μ ) ,
i = 1 n | ϕ h ( T ( f i ) ) ϕ h ( T ( g i ) ) | p = 2 p i = 1 n 1 2 ϕ h ( T ( f i ) ) 1 2 ϕ h ( T ( g i ) ) p 2 p i = 1 n 1 2 ϕ h ( T ( f i ) ) 1 2 ϕ h ( T ( g i ) ) q 2 p q i = 1 n | ϕ h ( T ( f i ) ) ϕ h ( T ( g i ) ) | q 2 p q i = 1 n | T ( f i ) T ( g i ) | q .
If we consider the case X ( μ ) = L q ( μ ) and Y ( μ ) = L p ( μ ) , with μ being a probability measure, ϕ = ϕ h and φ = I d R . Assume also that T is a q-regular operator T : L p ( μ ) L q ( ν ) with q-regularity constant 1 . Then, just by integrating the expression above, we get
i = 1 n ϕ h ( T ( f i ) ) ϕ h ( T ( g i ) ) L q ( μ ) p i = 1 n ϕ h ( T ( f i ) ) ϕ h ( T ( g i ) ) L p ( μ ) p i = 1 n Γ | ϕ h ( T ( f i ) ) ϕ h ( T ( g i ) ) | p d ν 2 p q Γ i = 1 n | T ( f i ) T ( g i ) | q d ν = 2 p q i = 1 n | T ( f i ) T ( g i ) | q 1 / q L q ( ν ) q 2 p q i = 1 n | f i g i | q 1 / q L p ( μ ) q .
Therefore, T is a ( p ϕ h , q I d R ) -Lip-concave operator.
(b) 
Consider now the exponential function ϕ α ( r ) = exp ( α | r | ) , and T : L p ( μ ) L q ( μ ) is a q-regular operator with constant 1, we obtain a similar result:
i = 1 n ϕ e ( T ( f i ) ) ϕ e ( T ( g i ) ) L q ( μ ) p α q i = 1 n | f i g i | q 1 / q L p ( μ ) q ,
for f 1 , , f n , g 1 , , g n L q ( μ ) . Thus, T is a ( p ϕ e , q I d R ) -Lip-concave operator with constant α q .

4. Application: Pointwise Restrictions in the Range of Linear Operators between Banach Function Spaces

Maurey’s classical factorization of linear operators between spaces of integrable functions allows the reduction of the study of general Banach function lattices to the case of operators between L p -spaces. Under adequate lattice-type geometric requirements, such as p-convexity, p-concavity or p-regularity, we finally reduce the general operators to simple integral inequalities. The aim of this section is to show how we can apply the general staff of the lattice geometry of function spaces to obtain such kinds of simplifications of general operators when we apply Lipschitz transformations to the functions involved. Although the same technique can be used for other transformations (as we have shown in the previous sections), we will focus our attention on restrictions in the range of the functions that are in the image of linear operators.
Recall the definition of the the functions φ k given at the beginning of Section 3.2. For every k R + , we define φ k ( r ) = s i g n { r } · min { k , | r | } , r R . When applied to any measurable function f , we have that φ k f ( w ) is a measurable function that coincides with f ( w ) if k f ( w ) k , and equals k or k if f ( w ) > k or f ( w ) < k , respectively.
Lemma 1. 
Let k > 0 , 1 q p < and consider the function φ k defined above. Then, for every measurable function f , g and w Ω , we have | φ k ( f ( w ) ) φ k ( g ( w ) ) | p ( 2 k ) p q | f ( w ) g ( w ) | q .
Proof. 
This is a consequence of the following straightforward calculations.
| φ k ( f ( w ) ) φ k ( g ( w ) ) | p = ( 2 k ) p | s i g n { f ( w ) } · min { k , | f ( w ) | } 2 k s i g n { f ( w ) } · min { k , | f ( w ) | } 2 k | p ( 2 k ) p | s i g n { f ( w ) } · min { k , | f ( w ) | } 2 k s i g n { f ( w ) } · min { k , | f ( w ) | } 2 k | q = ( 2 k ) p q | φ k ( f ( w ) ) φ k ( g ( w ) ) | q ( 2 k ) p q | f ( w ) g ( w ) | q .
Theorem 3. 
Let 1 q p < . Let X ( μ ) be an order-continuous q-convex Banach function space with constant 1 and Y ( ν ) be a p-convex Banach function space with constant 1. Suppose for simplicity that the inclusion Y ( ν ) [ q ] Y ( ν ) [ p ] has norm one. Let T : X ( μ ) Y ( ν ) be a linear q-regular operator with constant R , that is, for f 1 , , f n X ( μ ) , we have
i = 1 n | T ( f i ) | q 1 / q Y ( μ ) R i = 1 n | f i | q 1 / q X ( μ ) .
Then, there is a function h B ( X ( μ ) [ q ] ) * such that for all f , g X ( μ ) ,
φ k ( T ( f ) ) φ k ( T ( g ) ) Y ( ν ) p ( 2 k ) p q R q Ω | f g | q h d μ .
Proof. 
First, note that the inequality defining the q-regularity can also be written for difference of vectors f i g i instead of single functions, due to the fact that T is linear. Recall that, since the measure ν is finite, we have that Y ( ν ) [ q ] Y ( ν ) [ p ] (see [15] (Lem. 2.21)), and so we have that · Y ( ν ) [ p ] N · Y ( ν ) [ q ] for a certain N that we assume to be 1 without loss of generality for the aim of simplicity. Furthermore, observe that if a Banach lattice is p-convex for 1 q p , then it is also q-convex (see [2] (Sec. 1.d)). Taking into account that T is q-regular, Lemma 1 and the definition of the p-th and q-th powers of the spaces involved ( Y ( ν ) and X ( μ ) ) , we get for f 1 , , f n , g 1 , , g n X ( μ )
i = 1 n | φ k ( T ( f i ) ) φ k ( T ( g i ) ) | p Y ( ν ) [ p ] ( 2 k ) p q i = 1 n | T ( f i ) ) T ( g i ) | q Y ( ν ) [ p ] ( 2 k ) p q i = 1 n | T ( f i ) ) T ( g i ) | q Y ( ν ) [ q ] = ( 2 k ) p q i = 1 n | T ( f i ) ) T ( g i ) | q 1 / q Y ( ν ) q ( 2 k ) p q R q i = 1 n | f i ( w ) g i ( w ) | q 1 / q X ( μ ) q .
On the other hand, since Y ( ν ) is p-convex with constant 1, we get
i = 1 n φ k ( T ( f i ) ) φ k ( T ( g i ) ) Y ( ν ) p i = 1 n | φ k ( T ( f i ) ) φ k ( T ( g i ) ) | p 1 / p Y ( ν ) p = i = 1 n | φ k ( T ( f i ) ) φ k ( T ( g i ) ) | p Y ( ν ) [ p ] .
Summing up this information, we get
i = 1 n φ k ( T ( f i ) ) φ k ( T ( g i ) ) Y ( ν ) p ( 2 k ) p q R q i = 1 n | f i ( w ) g i ( w ) | q 1 / q X ( μ ) q ,
that is, T is ( p φ k , q I d ) -Lip-concave. By Theorem 2, there is a function h B ( X ( μ ) [ q ) * such that for all f , g X ( μ ) ,
φ k ( T ( f ) ) φ k ( T ( g ) ) Y ( ν ) p ( 2 k ) p q R q Ω | f g | q h d μ .
Remark 3. 
There are a lot of examples of p-regular operators between Banach function spaces. In fact, every positive operator is p-regular for every 1 p < ([2] (Prop. 1.d.9)), and by Grothendieck’s inequality, all operators are two-regular (see [2] (Thm. 1.f.14)). The numbers 1 p for which a Banach function space is p-convex are also known for a lot of classical Banach function lattices, such as Orlicz and Lorentz spaces.
Example 3. 
Another relevant example of a Banach function space that is p convex for 1 p is the space L p ( m ) of p-integrable functions with respect to a vector measure m defined on a measurable space ( Ω , Σ ) , which are Banach function spaces for every Rybakov finite (scalar positive) measure for m (see [15] (p. 128)). It is known that every order-continuous p-convex Banach lattice with weak order units can be written as such a space ([15] (Proposition 3.30)), so this class is strictly bigger than the one of the L p -spaces of finite scalar measures. If 1 q p ,   L p ( m ) L q ( m ) and the norm of the inclusion equals 1 . As in the case of the standard L p -spaces, L p / q ( m ) = ( L p ( m ) ) [ q ] ( L p ( m ) ) [ p ] = L 1 ( m ) with norm one ([15] (Lemma 2.21(iv))). Take p = 4 , q = 2 , X ( μ ) = L 2 ( m ) , and Y ( μ ) = L 4 ( m ) , and consider any operator S : L 2 ( m ) L 4 ( m ) with a two-regularity constant equal to 1 . Then, by Theorem 3, there is a function h B L 2 ( m ) * such that for every f , g L 2 ,
φ k ( S ( f ) ) φ k ( S ( g ) ) L 4 ( m ) 4 4 k 2 Ω | f g | 2 h d μ ,
where μ is a Rybakov measure for m .
Let us finish the paper by showing some concrete examples of a relevant class of Banach function spaces: the so-called Lorentz function spaces. As we said, nowadays there is a lot of work in the literature about the convexity of Lorentz and related spaces (see, for example, [22,23,24]). However, for the aim of this paper, we just need the results in [25]. Let us briefly introduce these spaces.
Let 1 < p < and 1 q < . Given a finite measure space ( Ω , Σ , μ ) , the Lorentz space L p , q ( μ ) is defined as the space of real (classes of μ -a.e. equal) measurable functions that satisfy that the functional
f p , q * = q p 0 t 1 / p f * ( t ) q d t t 1 / q
is finite, where f * ( t ) is the non-increasing rearrangement of f onto ( 0 , ) . This is defined as f * ( t ) = inf { s > 0 : μ ( { w Ω : | f ( w ) | > s } ) t } . For q > p , this has to be renormed to be a norm, but we are interested in the case when q < p . The main result on the q-convexity of the Lorentz space that we need can be found in Proposition 3.3 in [25]: L p , q ( μ ) is q-convex for 1 q < p . (A simple, direct argument using p-th powers can also be found in [3] to obtain the same result.) We assume that the q-convexity constant equals 1; otherwise, we consider the canonical renorming of the space satisfying such a property.
In view of Theorem 3, we can obtain the following integral domination for pointwise restrictions in the range of linear operators on Lorentz spaces. To prove it, just take into account that for 1 q < p < , the Lorentz space L p , q ( μ ) is order-continuous.
Corollary 2. 
Let 1 q 1 < p 1 < and 1 q 2 < p 2 < . Suppose that 1 q 1 q 2 < and let T : L p 1 , q 1 ( μ ) L p 2 , q 2 ( ν ) be a q 1 -regular operator with constant R , under the requirements of Theorem 3. Then, for every k > 0 , there is a function h B ( L p 1 , q 1 ( μ ) [ q 1 ] ) * such that for all f , g L p 1 , q 1 ( μ ) ,
φ k ( T ( f ) ) φ k ( T ( g ) ) L p 2 , q 2 ( ν ) q 2 ( 2 k ) q 2 q 1 R q 1 Ω | f g | q 1 h d μ .
Note that, if the requirement for the inclusion Y ( ν ) [ q ] Y ( ν ) [ p ] to be norm one does not hold, the constant appearing in the domination has to be recomputed according to the value of the norm N.

Author Contributions

Both the authors contributed equally to the present work. R.A. contributed to the elaboration of the theory and the final revision of the paper, and E.A.S.-P. wrote the first version after obtaining the results together with R.A. All authors have read and agreed to the published version of the manuscript.

Funding

This publication is part of the R&D&I project/grant PID2022-138342NB-I00 funded by MCIN/ AEI/10.13039/501100011033/ (Spain). R. Arnau was supported by a contract of the Programa de Ayudas de Investigación y Desarrollo (PAID-01-21), Universitat Politècnica de València.

Data Availability Statement

Data are contained within the article.

Conflicts of Interest

The authors declare that there are no conflicts of interest in relation to this research.

References

  1. Krivine, J.L. Théorèmes de Factorisation dans les Espaces Réticulés; Séminaire Maurey-Schwartz: Paris, France, 1973; pp. 22–23. [Google Scholar]
  2. Lindenstrauss, J.; Tzafriri, L. Classical Banach Spaces II: Function Spaces; Springer: Berlin/Heidelberg, Germany, 1979. [Google Scholar]
  3. Defant, A. Variants of the Maurey-Rosenthal theorem for quasi Köthe function spaces. Positivity 2001, 5, 153–175. [Google Scholar] [CrossRef]
  4. Diestel, J.; Jarchow, H.; Tonge, A. Absolutely Summing Operators; Cambridge University Press: Cambridge, UK, 1995. [Google Scholar]
  5. Agrawal, V.; Som, T. Lp-approximation using fractal functions on the Sierpiński gasket. Results Math. 2022, 77, 74. [Google Scholar] [CrossRef]
  6. Achour, D.; Rueda, P.; Yahi, R. (p, σ)-Absolutely Lipschitz operators. Ann. Funct. Anal. 2017, 8, 38–50. [Google Scholar] [CrossRef]
  7. Angulo-López, J.C.; Fernández-Unzueta, M. Lipschitz p-summing multilinear operators. J. Funct. Anal. 2020, 279, 108572. [Google Scholar] [CrossRef]
  8. Belacel, A.; Chen, D. Lipschitz (p, r, s)-integral operators and Lipschitz (p, r, s)-nuclear operators. J. Math. Anal. Appl. 2018, 461, 1115–1137. [Google Scholar] [CrossRef]
  9. Chávez-Domínguez, J.A. Duality for Lipschitz p-summing operators. J. Funct. Anal. 2011, 261, 387–407. [Google Scholar] [CrossRef][Green Version]
  10. Farmer, J.; Johnson, W. Lipschitz p-summing operators. Proc. Amer. Math. Soc. 2009, 137, 2989–2995. [Google Scholar] [CrossRef]
  11. Mastyło, M.; Pérez, E.A.S. Lipschitz (q,p)-Summing Maps from C(K)-Spaces to Metric Spaces. J. Geom. Anal. 2023, 33, 113. [Google Scholar] [CrossRef]
  12. Yahi, R.; Achour, D.; Rueda, P. Absolutely summing Lipschitz conjugates. Mediterr. J. Math. 2016, 13, 1949–1961. [Google Scholar] [CrossRef]
  13. Maurey, B. Théorèmes de factorisation pour les opérateurs linéaires à valeurs dans les spaces Lp. Astérisque 1974, 11, 1–163. [Google Scholar]
  14. Rosenthal, H.P. On subspaces of Lp. Ann. Math. 1973, 97, 344–373. [Google Scholar] [CrossRef]
  15. Okada, S.; Ricker, W.J.; Sánchez Pérez, E.A. Optimal Domain and Integral Extension of Operators Acting in Function Spaces; Operator Theory: Advances and Applications; Birkhäuser: Basel, Switzerland, 2008. [Google Scholar]
  16. Defant, A.; Sánchez Pérez, E.A. Maurey-Rosenthal factorization of positive operators and convexity. J. Math. Anal. Appl. 2004, 297, 771–790. [Google Scholar] [CrossRef][Green Version]
  17. Cobzaş, Ş.; Miculescu, R.; Nicolae, A. Lipschitz Functions; Springer: Cham, Switzerland, 2019. [Google Scholar]
  18. Aliprantis, C.D.; Burkinshaw, O. Positive Operators; Academic Press: New York, NY, USA, 1985. [Google Scholar]
  19. Defant, A.; Floret, K. Tensor Norms and Operator Ideals; Elsevier: Amsterdam, The Netherlands, 1992. [Google Scholar]
  20. Sánchez Pérez, E.A.; Tradacete, P. (p, q)-Regular operators between Banach lattices. Monatsh. Math. 2019, 188, 321–350. [Google Scholar] [CrossRef]
  21. Sánchez Pérez, E.A. p-regularity and weights for operators between Lp-spaces. Z. Anal. Anwend. 2020, 39, 41–65. [Google Scholar] [CrossRef]
  22. Kaminska, A.; Maligranda, L. Order convexity and concavity of Lorentz spaces Λp,w,0 < p < . Stud. Math. 2004, 160, 267–286. [Google Scholar]
  23. Kamińska, A.; Parrish, A.M. Convexity and concavity constants in Lorentz and Marcinkiewicz spaces. J. Math. Anal. Appl. 2008, 343, 337–351. [Google Scholar] [CrossRef][Green Version]
  24. Carro, M.J.; Raposo, J.A.; Soria, J. Recent Developments in the Theory of Lorentz Spaces and Weighted Inequalities; American Mathematical Society: Providence, RI, USA, 2007; Volume 187. [Google Scholar]
  25. Creekmore, J. Type and cotype in Lorentz Lpq spaces. Indag. Math. 1981, 84, 145–152. [Google Scholar] [CrossRef]
Disclaimer/Publisher’s Note: The statements, opinions and data contained in all publications are solely those of the individual author(s) and contributor(s) and not of MDPI and/or the editor(s). MDPI and/or the editor(s) disclaim responsibility for any injury to people or property resulting from any ideas, methods, instructions or products referred to in the content.

Share and Cite

MDPI and ACS Style

Arnau, R.; Sánchez-Pérez, E.A. Lipschitz Transformations and Maurey-Type Non-Homogeneous Integral Inequalities for Operators on Banach Function Spaces. Mathematics 2023, 11, 4599. https://doi.org/10.3390/math11224599

AMA Style

Arnau R, Sánchez-Pérez EA. Lipschitz Transformations and Maurey-Type Non-Homogeneous Integral Inequalities for Operators on Banach Function Spaces. Mathematics. 2023; 11(22):4599. https://doi.org/10.3390/math11224599

Chicago/Turabian Style

Arnau, Roger, and Enrique A. Sánchez-Pérez. 2023. "Lipschitz Transformations and Maurey-Type Non-Homogeneous Integral Inequalities for Operators on Banach Function Spaces" Mathematics 11, no. 22: 4599. https://doi.org/10.3390/math11224599

APA Style

Arnau, R., & Sánchez-Pérez, E. A. (2023). Lipschitz Transformations and Maurey-Type Non-Homogeneous Integral Inequalities for Operators on Banach Function Spaces. Mathematics, 11(22), 4599. https://doi.org/10.3390/math11224599

Note that from the first issue of 2016, this journal uses article numbers instead of page numbers. See further details here.

Article Metrics

Back to TopTop