Mathematical and Stability Analysis of Dengue–Malaria Co-Infection with Disease Control Strategies
Abstract
:1. Introduction
2. Formulation of Dengue–Malaria Model
3. Theoretical Properties of the Dengue–Malaria Co-Infection Model
3.1. Existence of a Unique Solution
Uniqueness
3.2. Boundedness and Positivity
4. Equilibrium Points
Reproduction Number R0
5. Stability Analysis
5.1. Local Stability at DFE
5.2. Global Stability at DFE
5.3. Global Stability at EE
6. Sensitivity Analysis
7. Effects of the Control Strategies
7.1. Numerical Discretization and Results
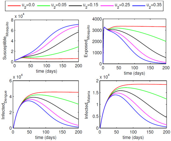
7.2. Effect of Spray (Case 1)
7.3. Self-Protection (Case 2)
7.4. Reduction in the Infectious Interactions (Case 3)
8. Conclusions
Author Contributions
Funding
Data Availability Statement
Acknowledgments
Conflicts of Interest
References
- Modahl, C.M.; Chowdhury, A.; Low, D.H.W.; Manuel, M.C.; Missé, D.; Kini, R.M.; Mendenhall, I.H.; Pompon, J. Midgut transcriptomic responses to dengue and chikungunya viruses in the vectors Aedes albopictus and Aedes malayensis. Sci. Rep. 2023, 13, 11271. [Google Scholar] [CrossRef]
- Pinho, S.T.R.; Ferreira, C.P.; Esteva, L.; Barreto, F.R.; Silva, V.M.e.; Teixeira, M.G.L. Modelling the dynamics of dengue real epidemics, Philos. Transact. R. Soci. Math. Phys. Eng. Sci. 2010, 368, 5679–5693. [Google Scholar]
- Kongnuy, R.; Pongsumpun, P. Mathematical modeling for dengue transmission with the effect of season. Int. J. Biol. life Sci. 2011, 7. Available online: https://api.semanticscholar.org/CorpusID:53350234 (accessed on 2 October 2023).
- Side, S.; Noorani, S.M. A SIR model for spread of dengue fever disease (simulation for South Sulawesi, Indonesia and Selangor, Malaysia). World J. Model. Simul. 2013, 9, 96–105. [Google Scholar]
- Gakkhar, S.; Chavda, N.C. Impact of awareness on the spread of dengue infection in human population. Appl. Math. 2013, 4, 142–147. [Google Scholar] [CrossRef]
- Hanif, A.; Butt, A.I.K. Atangana-Baleanu fractional dynamics of dengue fever with optimal control strategies. AIMS Math. 2023, 8, 15499–15535. [Google Scholar] [CrossRef]
- Khan, M.A.; Fatmawati. Dengue infection modeling and its optimal control analysis in East Java, Indonesia. Heliyon 2021, 7, e06023. [Google Scholar] [CrossRef]
- Fatmawati; Jan, R.; Khan, M.A.; Khan, Y.; ullah, S. A new model of dengue fever in terms of fractional derivative. Math. Biosci. Eng. 2020, 17, 5267–5287. [Google Scholar] [CrossRef]
- Rowe, D.; McDermott, C.; Veliz, Y.; Kerr, A.; Whiteside, M.; Coss, M.; Huff, C.; Leal, A.; Kopp, E.; LaCrue, A.; et al. Dengue Outbreak Response during COVID-19 Pandemic, Key Largo, Florida, USA, 2020. Emerg. Infect. Dis. 2023, 29, 1643–1647. [Google Scholar] [CrossRef]
- Disease Outbreak News: Dengue-Bangladesh, World Heath Organization Report. Available online: https://www.who.int/emergencies/disease-outbreak-news/item/2023-DON481 (accessed on 11 August 2023).
- Brady, O.J.; Gething, P.W.; Bhatt, S.; Messina, J.P.; Brownstein, J.S.; Hoen, A.G.; Moyes, C.L.; Farlow, A.W.; Scott, T.W.; Hay, S.I. Refining the Global Spatial Limits of Dengue Virus Transmission by Evidence-Based Consensus. PLoS Negl. Trop. Dis. 2012, 6, e1760. [Google Scholar] [CrossRef]
- Bonyah, E.; Khan, M.A.; Okosun, K.O.; Go´mez-Aguilar, J.F. On the co-infection of dengue fever and Zika virus, Optim. Control. Appl. Methods 2019, 40, 394–421. [Google Scholar] [CrossRef]
- CDC Report. Available online: https://www.cdc.gov/dengue/symptoms/index.html (accessed on 20 September 2021).
- Pongsumpun, P. Mathematical model of dengue disease with the incubation period of virus. World Aca. Sci.Eng. Tech. 2008, 44, 328–332. [Google Scholar]
- Adom-Konadu, A.; Yankson, E.; Naandam, S.M.; Dwomoh, D. A Mathematical Model for Effective Control and Possible Eradication of Malaria. Hindawi J. Math. 2022. [Google Scholar] [CrossRef]
- Traor, B.; Sangar, B.; Traor, S. A Mathematical Model of Malaria Transmission with Structured Vector Population and Seasonality. Hindawi J. Appl. Math. 2017, 2017, 6754097. [Google Scholar] [CrossRef]
- Al Basir, F.; Abraha, T. Mathematical Modelling and Optimal Control of Malaria Using Awareness-Based Interventions. Mathematics 2023, 11, 1687. [Google Scholar] [CrossRef]
- World Health Organisation. Malaria. 2021. Available online: https://www.who.int/news-room/fact-sheets/detail/malaria (accessed on 29 March 2023).
- Al-Arydah, M.; Smith, R. Controlling malaria with indoor residual spraying in spatially heterogenous environments. Math. Biosci. Eng. 2011, 8, 889–914. [Google Scholar] [CrossRef]
- Selvaretnam, A.A.; Sahu, P.S.; Sahu, M.; Ambu, S. A review of concurrent infections of malaria and dengue in Asia. Asian Pac. J. Trop. 2016, 6, 633–638. [Google Scholar] [CrossRef]
- Wiwanitkit, V. Concurrent malaria and dengue infection: A brief summary and comment. Asian Pac. J. Trop. Biomed. 2011, 1, 326–327. [Google Scholar] [CrossRef]
- Centers for Disease Control and Prevention. Biology; Centers for Disease Control and Prevention: Atlanta, GA, USA, 2015. [Google Scholar]
- Gautam, A.; Aryal, U.; Bhandari, S.; Pradhan, S.; Bhattarai, U.; Mishra, A.; Sharma, S.K. Dengue and malaria coinfection: The first case report in Nepal. Oxf Med Case Rep. 2022, 2022, omac022. [Google Scholar] [CrossRef]
- Handari, B.D.; Vitra, F.; Ahya, R.; Nadya, T.; Aldila, D. Optimal control in a malaria model, intervention of fumigation and bed nets. Adv. Differ. Equ. 2019, 2019, 497. [Google Scholar] [CrossRef]
- Sheoran, N.; Satia, M.H. Stability Analysis of Co-Infection of Malaria-Dengue. In Mathematical Models of Infectious Diseases and Social Issues; IGI Global: Hershey, PA, USA, 2020; pp. 138–177. ISBN 13: 9781799837411. [Google Scholar] [CrossRef]
- Butt, A.I.K.; Ahmad, W.; Rafiq, M.; Baleanu, D. Numerical analysis of Atangana-Baleanu fractional model to understand the propagation of a novel corona virus pandemic. Alex. Eng. J. 2022, 61, 7007–7027. [Google Scholar] [CrossRef]
- Rafiq, M.; Ahmad, W.; Abbas, M.; Baleanu, D. A reliable and competitive mathematical analysis of Ebola epidemic model. Adv. Differ. Equ. 2020, 2020, 540. [Google Scholar] [CrossRef]
- Ahmad, W.; Rafiq, M.; Abbas, M. Mathematical analysis to control the spread of Ebola virus epidemic through voluntary vaccination. Eur. Phys. J. Plus. 2020, 135, 775. [Google Scholar]
- Ahmad, W.; Abbas, M.; Rafiq, M.; Baleanu, D. Mathematical analysis for the effect of voluntary vaccination on the propagation of Corona virus pandemic. Results Phys. 2021, 31, 104917. [Google Scholar] [CrossRef]
- Gul, N.; Khan, S.U.; Ali, I.; Khan, F.U. Transmission dynamic of stochastic hepatitis C model by spectral collocation method. Comput. Biomech. Biomed. Eng. 2022, 25, 578–592. [Google Scholar] [CrossRef] [PubMed]
- Ali, I.; Khan, S.U. Threshold of Stochastic SIRS Epidemic Model from Infectious to Susceptible Class with Saturated Incidence Rate Using Spectral Method. Symmetry 2022, 14, 1838. [Google Scholar] [CrossRef]
- Butt, A.I.K.; Ahmad, W.; Rafiq, M.; Ahmad, N.; Imran, M. Optimally analyzed fractional Coronavirus model with Atangana–Baleanu derivative. Results Phys. 2023, 53, 106929. [Google Scholar] [CrossRef]
- Osman, T.; Cemil, T. Solution estimates to Caputo proportional fractional derivative delay integro-differential equations. Rev. Real Acad. Cienc. Exactas FíSicas Nat. Ser. Matemá Ticas 2023, 117, 12. [Google Scholar]
- Tun, C.; Tun, O. On the Fundamental Analyses of Solutions to Nonlinear Integro-Differential Equations of the Second Order. Mathematics 2022, 10, 4235. [Google Scholar] [CrossRef]
- Bohner, M.; Tun, O. Qualitative analysis of integro-differential equations with variable retardation. Discret. Contin. Dyn. Syst.—B 2022, 27, 639–657. [Google Scholar] [CrossRef]
- Martchva, M. An Introduction to Mathematical Epidemiology; Springer Science+Bussiness Media: New York, NY, USA, 2015. [Google Scholar]
- Samui, P.; Mondal, J.; Khajanchi, S. A mathematical modeling of Covid-19 transmission dynamics with a case study of Wuhan. Chaos Solitons Ractal 2020, 140, 110173. [Google Scholar] [CrossRef] [PubMed]
- Agusto, F.B. Optimal chemoprophylaxis and treatment control strategies of a tuberculosis transmission model. World J. Model Simul. 2009, 5, 163–173. [Google Scholar]
- Butt, A.I.K.; Chamaleen, D.B.D.; Batool, S.; Nuwairan, M.A. A new design and analysis of optimal control problems arising from COVID-19 outbreak. Math. Meth. Appl. Sci. 2023, 46, 16957–16982. [Google Scholar] [CrossRef]
- Arnold, V.I. Ordinary Differential Equations. Translated and Edited by Richard A.Silverman; The M.I.T. Press: Cambridge, MA, USA, 1998. [Google Scholar]
- Kreyszig, E. Introductry Functional Analysis with Application; John Wiley and Sons: New York, NY, USA, 1993. [Google Scholar]
- Castillo-Chavez, C.; Feng, Z.; Huanz, W.; Driessche, P.V.D.; Kirschner, D.E. On the computation of RO and its role in global stability. In Mathematical Approaches for Emerging and Reemerging Infectious Diseases: An Introduction, IMA. 2002, 125; Springer: Berlin/Heidelberg, Germany, 2002. [Google Scholar]
- Wiggins, S. Introduction to Applied Nonlinear Dynamical Systems and Chaos; Princeton University Press: Princeton, Japan, 2003. [Google Scholar]
- Van Den Drissche, P. Reproduction numbers of infectious disease models. Infect. Dis. Model. 2017, 2, 288–303. [Google Scholar] [CrossRef] [PubMed]












| Parameter | Description | Value | Source |
|---|---|---|---|
| Recruitment rate of mosquito | [7] | ||
| Natural death rate of mosquito | Assumed | ||
| Interaction rate of and | 1.197 × 0.8541 | [7] | |
| Interaction rate of and | [15] | ||
| Interaction rate of and | Assumed | ||
| Translation from to | [7] | ||
| Translation from to | [15] | ||
| Recruitment rate of humans | [7] | ||
| Natural death rate of humans | 1/(70.97 × 365) | [7] | |
| Interaction rate of and | 0.01971 × 0.06794 | [7] | |
| Interaction rate of and | [15] | ||
| Translation from to | [7] | ||
| Translation from to | [15] | ||
| Translation from to | Assumed | ||
| Medication rate of | [7] | ||
| Medication rate of | Assumed | ||
| Medication rate of | Assumed | ||
| Recovery rate of | [7] | ||
| Dengue induced mortality of | Assumed | ||
| Malaria induced mortality of | Assumed | ||
| Dengue–malaria induced mortality of | Assumed | ||
| Disease induced mortality of | Assumed |
| Parameter | Sensitivity Index | Relationship |
|---|---|---|
| −1.049353483 | Inverse | |
| 0.005622975459 | Direct | |
| 2.451326865 | Direct | |
| −0.6706816119 | Inverse | |
| 0.7200350942 | Direct |
| 0.100 | 1.5415 |
| 0.200 | 0.7071 |
| 0.300 | 0.4354 |
| 0.400 | 0.3034 |
| 0.500 | 0.2266 |
| 0.600 | 0.1771 |
| 0.700 | 0.1429 |
| 0.800 | 0.1181 |
| 0.900 | 0.0995 |
| 1.000 | 0.0851 |
| 0.000 | 3.0540 |
| 0.100 | 4.3437 |
| 0.200 | 5.6334 |
| 0.300 | 6.9230 |
| 0.400 | 8.2127 |
| 0.500 | 9.5024 |
| 0.600 | 10.7920 |
| 0.700 | 12.0817 |
| 0.800 | 13.3714 |
| 0.900 | 14.6611 |
| 1.000 | 15.9507 |
Disclaimer/Publisher’s Note: The statements, opinions and data contained in all publications are solely those of the individual author(s) and contributor(s) and not of MDPI and/or the editor(s). MDPI and/or the editor(s) disclaim responsibility for any injury to people or property resulting from any ideas, methods, instructions or products referred to in the content. |
© 2023 by the authors. Licensee MDPI, Basel, Switzerland. This article is an open access article distributed under the terms and conditions of the Creative Commons Attribution (CC BY) license (https://creativecommons.org/licenses/by/4.0/).
Share and Cite
Butt, A.I.K.; Imran, M.; McKinney, B.A.; Batool, S.; Aftab, H. Mathematical and Stability Analysis of Dengue–Malaria Co-Infection with Disease Control Strategies. Mathematics 2023, 11, 4600. https://doi.org/10.3390/math11224600
Butt AIK, Imran M, McKinney BA, Batool S, Aftab H. Mathematical and Stability Analysis of Dengue–Malaria Co-Infection with Disease Control Strategies. Mathematics. 2023; 11(22):4600. https://doi.org/10.3390/math11224600
Chicago/Turabian StyleButt, Azhar Iqbal Kashif, Muhammad Imran, Brett A. McKinney, Saira Batool, and Hassan Aftab. 2023. "Mathematical and Stability Analysis of Dengue–Malaria Co-Infection with Disease Control Strategies" Mathematics 11, no. 22: 4600. https://doi.org/10.3390/math11224600
APA StyleButt, A. I. K., Imran, M., McKinney, B. A., Batool, S., & Aftab, H. (2023). Mathematical and Stability Analysis of Dengue–Malaria Co-Infection with Disease Control Strategies. Mathematics, 11(22), 4600. https://doi.org/10.3390/math11224600

