Hybrid Lattice Boltzmann Model for Nonlinear Diffusion and Image Denoising
Abstract
:1. Introduction
2. Lattice Boltzmann Scheme for Nonlinear Diffusion
3. Applications of Image Denoising
3.1. The Hybrid Method
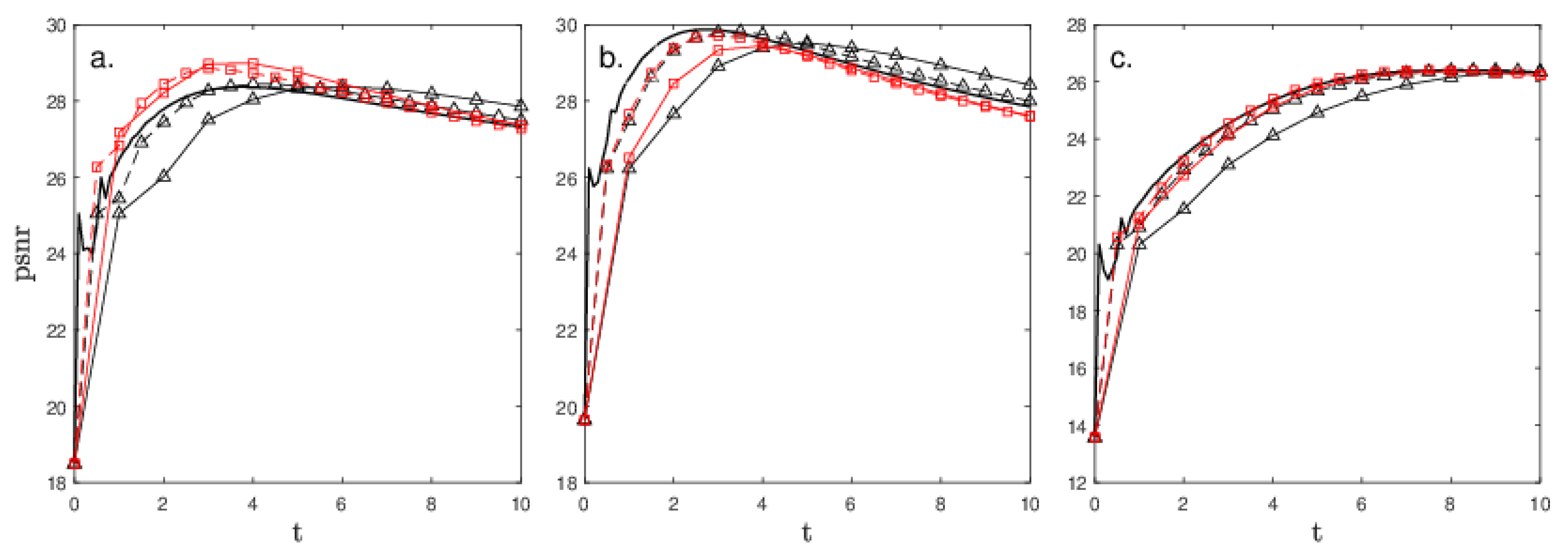
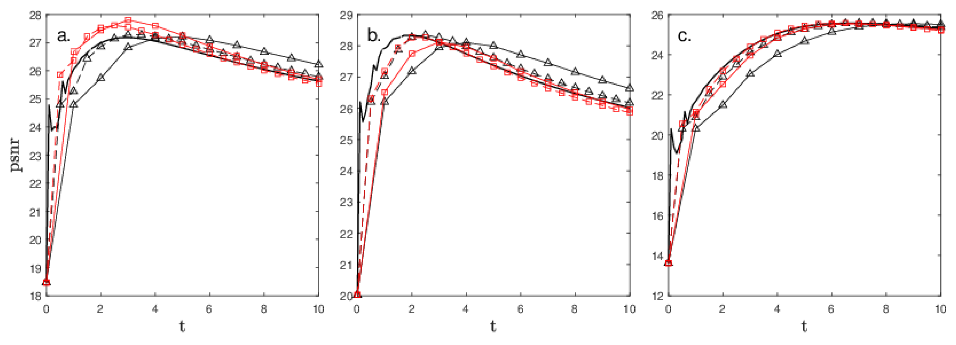
3.2. Numerical Experiments
4. Discussion
Funding
Data Availability Statement
Conflicts of Interest
Abbreviations
| LB | Lattice Boltzmann |
| MRT | Multiple relaxation time |
| PSNR | Peak signal-to-noise ratio |
References
- Succi, S. The Lattice Boltzmann Equation: For Complex States of Flowing Matter; Oxford University Press: Oxford, UK, 2018. [Google Scholar]
- Succi, S. Lattice Fluid Dynamics: Thirty-five Years Down the Road. C. R. Méc. 2022, 350, 1–12. [Google Scholar] [CrossRef]
- Flekkøy, E. Lattice Bhatnagar–Gross–Krook models for miscible fluids. Phys. Rev. E 1993, 47, 4247–4257. [Google Scholar] [CrossRef] [PubMed]
- Wolf-Gladrow, D. Lattice Boltzmann Equation for Diffusion. J. Stat. Phys. 1995, 79, 1023–1032. [Google Scholar] [CrossRef]
- Suga, S. Numerical Schemes Obtained from Lattice Boltzmann Equations for Advection Diffusion Equations. Int. J. Mod. Phys. C 2006, 17, 1563–1577. [Google Scholar] [CrossRef]
- Suga, S. Stability and accuracy of lattice Boltzmann schemes for anisotropic advection-diffusion equations. Int. J. Mod. Phys. C 2009, 20, 633–650. [Google Scholar] [CrossRef]
- Holdych, D.; Noble, D.; Georgiadis, J.; Buckius, R. Truncation error analysis of lattice Boltzmann methods. J. Comput. Phys. 2004, 193, 595–619. [Google Scholar] [CrossRef]
- Zhao, F. Optimal relaxation collisions for lattice Boltzmann methods. Comput. Math. Appl. 2013, 65, 172–185. [Google Scholar] [CrossRef]
- Silva, G.; Semiao, V. Truncation errors and the rotational invariance of three-dimensional lattice models in the lattice Boltzmann method. J. Comput. Phys. 2014, 269, 259–279. [Google Scholar] [CrossRef]
- Bauer, M.; Silva, G.; Rúde, U. Letter to the Editor: Truncation errors of the D3Q19 lattice model for the lattice Boltzmann method. J. Comput. Phys. 2020, 405, 109111. [Google Scholar] [CrossRef]
- Wissocq, G.; Sagaut, P. Hydrodynamic limits and numerical errors of isothermal lattice Boltzmann schemes. J. Comput. Phys. 2022, 450, 110858. [Google Scholar] [CrossRef]
- Silva, G. Discrete effects on the source term for the lattice Boltzmann modelling of one-dimensional reaction–diffusion equations. Comput. Fluids 2023, 251, 105735. [Google Scholar] [CrossRef]
- Suga, S. An Accurate Multi-level Finite Difference Scheme for 1D Diffusion Equations Derived from the Lattice Boltzmann Method. J. Stat. Phys. 2010, 140, 494–503. [Google Scholar] [CrossRef]
- d’Humières, D. Generalized lattice-Boltzmann equations. In Proceedings of the 18th International Symposium, Rarefied Gas Dynamics, Vancouver, BC, Canada, 26–30 July 1992; Volume 159, pp. 450–458. [Google Scholar]
- Chai, Z.; Shi, B. Multiple-relaxation-time lattice Boltzmann method for the Navier-Stokes and nonlinear convection-diffusion equations: Modeling, analysis, and elements. Phys. Rev. E 2020, 102, 023306. [Google Scholar] [CrossRef] [PubMed]
- Servan-Camas, B.; Tsai, F. Lattice Boltzmann method with two relaxation times for advection–diffusion equation: Third order analysis and stability analysis. Adv. Water Res. 2008, 31, 1113–1126. [Google Scholar] [CrossRef]
- Servan-Camas, B.; Tsai, F.T.-C. Non-negativity and stability analyses of lattice Boltzmann method for advection–diffusion equation. J. Comput. Phys. 2009, 228, 236–256. [Google Scholar] [CrossRef]
- Ginzburg, I.; d’Humières, D.; Kuzmin, A. Optimal Stability of Advection-Diffusion Lattice Boltzmann Models with Two Relaxation Times for Positive/Negative Equilibrium. J. Stat. Phys. 2010, 139, 1090–1143. [Google Scholar] [CrossRef]
- Kuzmin, A.; Ginzburg, I.; Mohamad, A. The role of the kinetic parameter in the stability of two-relaxation-time advection–diffusion lattice Boltzmann schemes. Comput. Math. Appl. 2011, 61, 3417–3442. [Google Scholar] [CrossRef]
- Ginzburg, I. Truncation Errors, Exact and Heuristic Stability Analysis of Two-Relaxation-Times Lattice Boltzmann Schemes for Anisotropic Advection-Diffusion Equation. Commun. Comput. Phys. 2012, 11, 1439–1502. [Google Scholar] [CrossRef]
- Lin, Y.; Hong, N.; Shi, B.; Chai, Z. Multiple-relaxation-time lattice Boltzmann model-based four-level finite-difference scheme for one-dimensional diffusion equations. Phys. Rev. E 2021, 104, 015312. [Google Scholar] [CrossRef]
- Chen, Y.; Chai, Z.; Shi, B. Fourth-order multiple-relaxation-time lattice Boltzmann model and equivalent finite-difference scheme for one-dimensional convection-diffusion equations. Phys. Rev. E 2023, 107, 055305. [Google Scholar] [CrossRef]
- Ilyin, O. Lattice Boltzmann model for diffusion equation with reduced truncation errors: Applications to Gaussian filtering and image processing. Appl. Math. Comput. 2023, 456, 128123. [Google Scholar] [CrossRef]
- Perona, P.; Malik, J. Scale-space and edge detection using anisotropic diffusion. IEEE Trans. Pattern Anal. Mach. Intell. 1990, 12, 629–639. [Google Scholar] [CrossRef]
- Weickert, J. Anisotropic Diffusion in Image Processing; B.G. Teubner: Stuttgart, Germany, 1998. [Google Scholar]
- Jawerth, B.; Lin, P.; Sinzinger, E. Lattice Boltzmann Models for Anisotropic Diffusion of Images. J. Math. Imag. Vis. 1999, 11, 231–237. [Google Scholar] [CrossRef]
- Zhang, W.; Shi, B. Application of Lattice Boltzmann Method to Image Filtering. J. Math. Imag. Vis. 2012, 43, 135–142. [Google Scholar] [CrossRef]
- Chen, J.; Chai, Z.; Shi, B.; Zhang, W. Lattice Boltzmann method for filtering and contour detection of the natural images. Comput. Math. Appl. 2014, 68, 257–268. [Google Scholar] [CrossRef]
- Rudin, L.; Osher, S.; Fatemi, E. Nonlinear total variation based noise removal algorithms. Phys. D 1992, 60, 259–268. [Google Scholar] [CrossRef]
- Chang, Q.; Yang, T. A Lattice Boltzmann Method for Image Denoising. IEEE Trans. Image Process. 2009, 18, 2797–2802. [Google Scholar] [CrossRef]
- Michelet, J.; Tekitek, M.M.; Berthier, M. Multiple Relaxation Time Lattice Boltzmann Schemes for Advection-Diffusion Equations with Application to Radar Image Processing. J. Comput. Phys. 2022, 471, 111612. [Google Scholar] [CrossRef]
- Chen, Y.; Yan, Z.; Qian, Y. An Anisotropic Diffusion Model for Medical Image Smoothing by Using the Lattice Boltzmann Method. In Proceedings of the 7th Asian-Pacific Conference on Medical and Biological Engineering, Beijing, China, 22–25 April 2008; Volume 19, pp. 255–259. [Google Scholar]
- Chen, Y.; Yan, Z.; Shi, J. Application of Lattice Boltzmann Method to image segmentation. In Proceedings of the 29th Annual International Conference of the IEEE Engineering in Medicine and Biology Society, Lyon, France, 23–26 August 2007; pp. 6561–6564. [Google Scholar]
- Chen, Y.; Navarro, L.; Wang, Y.; Courbebaisse, G. Segmentation of the thrombus of giant intracranial aneurysms from CT angiography scans with lattice Boltzmann method. Med. Image Anal. 2014, 18, 1–8. [Google Scholar] [CrossRef]
- Nguyen, K.L.; Tekitek, M.M.; Delachartre, P.; Berthier, M. Multiple Relaxation Time Lattice Boltzmann Models for Multigrid Phase-Field Segmentation of Tumors in 3D Ultrasound Images. SIAM J. Image Sci. 2019, 12, 1324–1346. [Google Scholar] [CrossRef]
- Li, L.; Mei, R.; Klausner, J. Lattice Boltzmann models for the convection-diffusion equation: D2Q5 vs. D2Q9. Int. J. Heat Mass Transf. 2017, 108, 41–62. [Google Scholar] [CrossRef]
- Krüger, T.; Kusumaatmaja, H.; Kuzmin, A.; Shardt, O.; Silva, G.; Viggen, E. The Lattice Boltzmann Method. Principles and Practice; Springer: Cham, Switzerland, 2017. [Google Scholar]
- Tian, C.; Fei, L.; Zheng, W.; Xu, Y.; Zuo, W.; Lin, C.-W. Deep learning on image denoising: An overview. Neural Netw. 2020, 131, 251–275. [Google Scholar] [CrossRef] [PubMed]
- Chen, Q.; Montesinos, P.; Sun, Q.S.; Xia, D.S. Ramp preserving Perona–Malik model. Signal Process. 2010, 90, 1963–1975. [Google Scholar] [CrossRef]
- You, Y.-L.; Kaveh, M. Fourth-order partial differential equations for noise removal. IEEE Trans. Image Process. 2000, 9, 1723–1730. [Google Scholar] [CrossRef]
- Didas, S.; Weickert, J.; Burgeth, B. Properties of Higher Order Nonlinear Diffusion Filtering. J. Math. Imag. Vis. 2009, 35, 208–226. [Google Scholar] [CrossRef]
- Wang, Y.Q.; Guo, J.; Chen, W.; Zhang, W. Image denoising using modified Perona–Malik model based on directional Laplacian. Signal Process. 2013, 93, 2548–2558. [Google Scholar] [CrossRef]
- Wang, N.; Shang, Y.; Chen, Y.; Yang, M.; Zhang, Q.; Liu, Y.; Gui, Z. A Hybrid Model for Image Denoising Combining Modified Isotropic Diffusion Model and Modified Perona-Malik Model. IEEE Access 2018, 6, 33568–33582. [Google Scholar] [CrossRef]
- Ginzburg, I. Equilibrium-type and link-type lattice Boltzmann models for generic advection and anisotropic-dispersion equation. Adv. Water Res. 2005, 28, 1171–1195. [Google Scholar] [CrossRef]
- Li, Q.; Chai, Z.; Shi, B. Lattice Boltzmann model for a class of convection–diffusion equations with variable coefficients. Comput. Math. Appl. 2015, 70, 548–561. [Google Scholar] [CrossRef]
- Chai, Z.; Shi, B.; Guo, Z. A Multiple-Relaxation-Time Lattice Boltzmann Model for General Nonlinear Anisotropic Convection–Diffusion Equations. J. Sci. Comput. 2016, 69, 355–390. [Google Scholar] [CrossRef]
- Chen, Y.; Chai, Z.; Shi, B. A General Fourth-Order Mesoscopic Multiple-Relaxation-Time Lattice Boltzmann Model and Equivalent Macroscopic Finite-Difference Scheme for Two-Dimensional Diffusion Equations. arXiv 2023, arXiv:2308.05280. [Google Scholar]









Disclaimer/Publisher’s Note: The statements, opinions and data contained in all publications are solely those of the individual author(s) and contributor(s) and not of MDPI and/or the editor(s). MDPI and/or the editor(s) disclaim responsibility for any injury to people or property resulting from any ideas, methods, instructions or products referred to in the content. |
© 2023 by the author. Licensee MDPI, Basel, Switzerland. This article is an open access article distributed under the terms and conditions of the Creative Commons Attribution (CC BY) license (https://creativecommons.org/licenses/by/4.0/).
Share and Cite
Ilyin, O. Hybrid Lattice Boltzmann Model for Nonlinear Diffusion and Image Denoising. Mathematics 2023, 11, 4601. https://doi.org/10.3390/math11224601
Ilyin O. Hybrid Lattice Boltzmann Model for Nonlinear Diffusion and Image Denoising. Mathematics. 2023; 11(22):4601. https://doi.org/10.3390/math11224601
Chicago/Turabian StyleIlyin, Oleg. 2023. "Hybrid Lattice Boltzmann Model for Nonlinear Diffusion and Image Denoising" Mathematics 11, no. 22: 4601. https://doi.org/10.3390/math11224601
APA StyleIlyin, O. (2023). Hybrid Lattice Boltzmann Model for Nonlinear Diffusion and Image Denoising. Mathematics, 11(22), 4601. https://doi.org/10.3390/math11224601
